Marine Application Evaluation of Monocular SLAM for Underwater Robots
Abstract
:1. Introduction
2. Materials and Methods
2.1. Visual SLAM Algorithm
2.2. Image Distortion Correction
2.3. Underwater Image Enhancement Algorithm
3. Experiment
3.1. Obtain the Camera Distortion Correction Coefficients
3.2. Data Collection and Preprocessing
4. Effect Evaluation
4.1. Image Enhancement Effect Evaluation
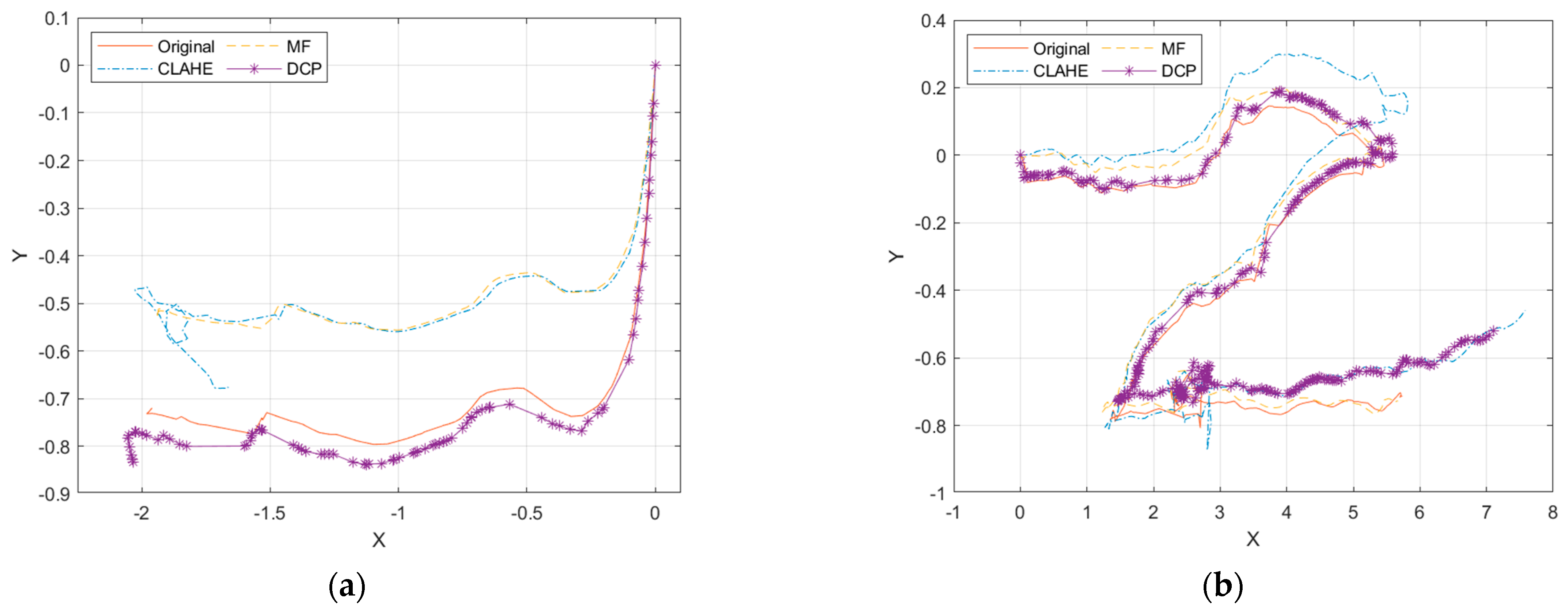
4.2. SLAM Effect Evaluation
5. Conclusions
Author Contributions
Funding
Institutional Review Board Statement
Informed Consent Statement
Data Availability Statement
Conflicts of Interest
References
- Hidalgo, F.; Bräunl, T. Review of underwater SLAM techniques. In Proceedings of the 2015 6th International Conference on Automation, Robotics and Applications (ICARA), Queenstown, New Zealand, 17–19 February 2015; pp. 306–311. [Google Scholar]
- Cheng, C.; Sha, Q.; He, B.; Li, G. Path planning and obstacle avoidance for AUV: A review. Ocean Eng. 2021, 235, 109355. [Google Scholar] [CrossRef]
- Moosmann, F.; Stiller, C. Velodyne slam. In Proceedings of the 2011 IEEE Intelligent Vehicles Symposium (IV), Baden-Baden, Germany, 5–9 June 2011; pp. 393–398. [Google Scholar]
- Fallon, M.F.; Folkesson, J.; McClelland, H.; Leonard, J.J. Relocating underwater features autonomously using sonar-based SLAM. IEEE J. Ocean. Eng. 2013, 38, 500–513. [Google Scholar] [CrossRef] [Green Version]
- Park, J.Y.; Jun, B.; Lee, P.; Oh, J. Experiments on vision guided docking of an autonomous underwater vehicle using one camera. Ocean Eng. 2009, 36, 48–61. [Google Scholar] [CrossRef]
- Mur-Artal, R.; Montiel JM, M.; Tardos, J.D. ORB-SLAM: A versatile and accurate monocular SLAM system. IEEE Trans. Robot. 2015, 31, 1147–1163. [Google Scholar] [CrossRef] [Green Version]
- Engel, J.; Schöps, T.; Cremers, D. LSD-SLAM: Large-Scale Direct Monocular SLAM. In European Conference on Computer Vision; Springer: Cham, Switzerland, 2014; pp. 834–849. [Google Scholar]
- Chiang, J.Y.; Chen, Y.C. Underwater image enhancement by wavelength compensation and dehazing. IEEE Trans. Image Processing 2011, 21, 1756–1769. [Google Scholar] [CrossRef]
- Serikawa, S.; Lu, H. Underwater image dehazing using joint trilateral filter. Comput. Electr. Eng. 2014, 40, 41–50. [Google Scholar] [CrossRef]
- Schettini, R.; Corchs, S. Underwater image processing: State of the art of restoration and image enhancement methods. EURASIP J. Adv. Signal Process. 2010, 2010, 746052. [Google Scholar] [CrossRef] [Green Version]
- Hidalgo, F.; Kahlefendt, C.; Bräunl, T. Monocular ORB-SLAM application in underwater scenarios. In Proceedings of the 2018 OCEANS-MTS/IEEE Kobe Techno-Oceans (OTO), Kobe, Japan, 28–31 May 2018; pp. 1–4. [Google Scholar]
- Roznere, M.; Li, A.Q. Real-time model-based image color correction for underwater robots. In Proceedings of the 2019 IEEE/RSJ International Conference on Intelligent Robots and Systems (IROS), Macau, China, 4–8 November 2019; pp. 7191–7196. [Google Scholar]
- Roznere, M.; Li, A.Q. Underwater Monocular Image Depth Estimation using Single-beam Echosounder. In Proceedings of the 2020 IEEE/RSJ International Conference on Intelligent Robots and Systems (IROS), Las Vegas, NV, USA, 25–29 October 2020; pp. 1785–1790. [Google Scholar]
- Davison, A.J.; Reid, I.D.; Molton, N.D.; Stasse, O. MonoSLAM: Real-time single camera SLAM. IEEE Trans. Pattern Anal. Mach. Intell. 2007, 29, 1052–1067. [Google Scholar] [CrossRef] [PubMed] [Green Version]
- Forster, C.; Pizzoli, M.; Scaramuzza, D. SVO: Fast semi-direct monocular visual odometry. In Proceedings of the 2014 IEEE International Conference on Robotics and Automation (ICRA), Hong Kong, China, 31 May–5 June 2014; pp. 15–22. [Google Scholar]
- Mur-Artal, R.; Tardós, J.D. Orb-slam2: An open-source slam system for monocular, stereo, and rgb-d cameras. IEEE Trans. Robot. 2017, 33, 1255–1262. [Google Scholar] [CrossRef] [Green Version]
- Campos, C.; Elvira, R.; Rodríguez JJ, G.; Montiel, J.M.M.; Tardós, J.D. Orb-slam3: An accurate open-source library for visual, visual–inertial, and multimap slam. IEEE Trans. Robot. 2021, 37, 1874–1890. [Google Scholar] [CrossRef]
- Muja, M.; Lowe, D.G. Fast matching of binary features. In Proceedings of the 2012 Ninth Conference on Computer and Robot Vision, Toronto, ON, Canada, 28–30 May 2012; pp. 404–410. [Google Scholar]
- Behar, V.; Adam, D.; Lysyansky, P.; Friedman, Z. Improving motion estimation by accounting for local image distortion. Ultrasonics 2004, 43, 57–65. [Google Scholar] [CrossRef] [PubMed]
- Zhang, Z. Flexible camera calibration by viewing a plane from unknown orientations. Proceedings of the seventh ieee international conference on computer vision. IEEE 1999, 1, 666–673. [Google Scholar]
- Gonzalez-Aguilera, D.; Gomez-Lahoz, J.; Rodríguez-Gonzálvez, P. An automatic approach for radial lens distortion correction from a single image. IEEE Sens. J. 2010, 11, 956–965. [Google Scholar] [CrossRef]
- He, K.; Sun, J.; Tang, X. Single image haze removal using dark channel prior. IEEE Trans. Pattern Anal. Mach. Intell. 2010, 33, 2341–2353. [Google Scholar] [PubMed]
- Kirchner, M.; Fridrich, J. On detection of median filtering in digital images. In Media Forensics and Security II; SPIE: San Diego, CA, USA, 2010; Volume 7541, pp. 1–12. [Google Scholar]
- Reza, A.M. Realization of the contrast limited adaptive histogram equalization (CLAHE) for real-time image enhancement. J. VLSI Signal Processing Syst. Signal Image Video Technol. 2004, 38, 35–44. [Google Scholar] [CrossRef]


















| Item | Parameter | |
|---|---|---|
| ROV | Size | 416 × 355 × 210 mm |
| Working depth | 75 m | |
| Weight in air | 2.8 kg | |
| Speed | 3 kn | |
| Camera | Type | Monocular |
| Resolution | 1920 × 1080 | |
| Focal length | 3.6 mm | |
| PTZ angle | ±55° |
| Dataset | Duration | Frame Rate | Number of Images | Image Quality |
|---|---|---|---|---|
| Test 1 | 57 s | 25 fps | 1433 | High |
| Test 2 | 105 s | 25 fps | 2630 | Low |
| Methods | Test 1 | Test 2 | ||
|---|---|---|---|---|
| PSNR | SSIM | PSNR | SSIM | |
| CLAHE | 21.596 | 0.879 | 21.179 | 0.891 |
| MF | 25.596 | 0.911 | 44.911 | 0.986 |
| DCP | 26.808 | 0.980 | 16.759 | 0.769 |
Publisher’s Note: MDPI stays neutral with regard to jurisdictional claims in published maps and institutional affiliations. |
© 2022 by the authors. Licensee MDPI, Basel, Switzerland. This article is an open access article distributed under the terms and conditions of the Creative Commons Attribution (CC BY) license (https://creativecommons.org/licenses/by/4.0/).
Share and Cite
Zhang, Y.; Zhou, L.; Li, H.; Zhu, J.; Du, W. Marine Application Evaluation of Monocular SLAM for Underwater Robots. Sensors 2022, 22, 4657. https://doi.org/10.3390/s22134657
Zhang Y, Zhou L, Li H, Zhu J, Du W. Marine Application Evaluation of Monocular SLAM for Underwater Robots. Sensors. 2022; 22(13):4657. https://doi.org/10.3390/s22134657
Chicago/Turabian StyleZhang, Yang, Li Zhou, Haisen Li, Jianjun Zhu, and Weidong Du. 2022. "Marine Application Evaluation of Monocular SLAM for Underwater Robots" Sensors 22, no. 13: 4657. https://doi.org/10.3390/s22134657
APA StyleZhang, Y., Zhou, L., Li, H., Zhu, J., & Du, W. (2022). Marine Application Evaluation of Monocular SLAM for Underwater Robots. Sensors, 22(13), 4657. https://doi.org/10.3390/s22134657

