Validity of Inertial Sensors for Assessing Balance Kinematics and Mobility during Treadmill-Based Perturbation and Dance Training
Abstract
1. Introduction
2. Materials and Methods
2.1. Participants
2.2. Instrumentation
2.3. Data Collection and Processing
2.4. Slip and Trip-Like Perturbations Protocol (Stance Perturbation Test)
2.5. Dance Protocol
2.6. Data Analysis
2.7. Statistics
3. Results
3.1. Slip and Trip-Like Perturbations (Stance Perturbation Test)
3.2. Dance
4. Discussion
5. Conclusions
Author Contributions
Funding
Institutional Review Board Statement
Informed Consent Statement
Data Availability Statement
Acknowledgments
Conflicts of Interest
References
- Alexander, B.H.; Rivara, F.P.; Wolf, M.E. The cost and frequency of hospitalization for fall-related injuries in older adults. Am. J. Public Health 1992, 82, 1020–1023. [Google Scholar] [CrossRef]
- King, M.B.; Tinetti, M.E. Falls in community-dwelling older persons. J. Am. Geriatrics Soc. 1995, 43, 1146–1154. [Google Scholar] [CrossRef]
- Yates, J.S.; Lai, S.M.; Duncan, P.W.; Studenski, S. Falls in community-dwelling stroke survivors: An accumulated impairments model. J. Rehabil. Res. Dev. 2002, 39, 385–394. [Google Scholar]
- Pai, Y.-C.; Bhatt, T.; Yang, F.; Wang, E.; Kritchevsky, S. Perturbation training can reduce community-dwelling older adults’ annual fall risk: A randomized controlled trial. J. Gerontol. Ser. A Biomed. Sci. Med. Sci. 2014, 69, 1586–1594. [Google Scholar] [CrossRef] [PubMed]
- Parijat, P.; Lockhart, T.E. Effects of moveable platform training in preventing slip-induced falls in older adults. Ann. Biomed. Eng. 2012, 40, 1111–1121. [Google Scholar] [CrossRef]
- Fitzgerald, G.K.; Childs, J.D.; Ridge, T.M.; Irrgang, J.J. Agility and perturbation training for a physically active individual with knee osteoarthritis. Phys. Ther. 2002, 82, 372–382. [Google Scholar] [CrossRef]
- Granacher, U.; Muehlbauer, T.; Bridenbaugh, S.A.; Wolf, M.; Roth, R.; Gschwind, Y.; Wolf, I.; Mata, R.; Kressig, R.W. Effects of a salsa dance training on balance and strength performance in older adults. Gerontology 2012, 58, 305–312. [Google Scholar] [CrossRef]
- Sofianidis, G.; Hatzitaki, V.; Douka, S.; Grouios, G. Effect of a 10-week traditional dance program on static and dynamic balance control in elderly adults. J. Aging Phys. Act. 2009, 17, 167–180. [Google Scholar] [CrossRef] [PubMed]
- Eyigor, S.; Karapolat, H.; Durmaz, B.; Ibisoglu, U.; Cakir, S. A randomized controlled trial of Turkish folklore dance on the physical performance, balance, depression and quality of life in older women. Arch. Gerontol. Geriatr. 2009, 48, 84–88. [Google Scholar] [CrossRef] [PubMed]
- McKinley, P.; Jacobson, A.; Leroux, A.; Bednarczyk, V.; Rossignol, M.; Fung, J. Effect of a community-based Argentine tango dance program on functional balance and confidence in older adults. J. Aging Phys. Act. 2008, 16, 435–453. [Google Scholar] [CrossRef]
- Ofori, E.K.; Subramaniam, S.; Wang, S.; Bhatt, T. Kinematic analysis of dance-based exergaming: Effect of song pace on center of mass and joint mobility. J. Phys. Ther. Sci. 2019, 31, 708–716. [Google Scholar] [CrossRef] [PubMed]
- Saber-Sheikh, K.; Bryant, E.C.; Glazzard, C.; Hamel, A.; Lee, R.Y. Feasibility of using inertial sensors to assess human movement. Man. Ther. 2010, 15, 122–125. [Google Scholar] [CrossRef] [PubMed]
- Bolink, S.; Naisas, H.; Senden, R.; Essers, H.; Heyligers, I.; Meijer, K.; Grimm, B. Validity of an inertial measurement unit to assess pelvic orientation angles during gait, sit–stand transfers and step-up transfers: Comparison with an optoelectronic motion capture system. Med. Eng. Phys. 2016, 38, 225–231. [Google Scholar] [CrossRef] [PubMed]
- Donath, L.; Faude, O.; Lichtenstein, E.; Nüesch, C.; Mündermann, A. Validity and reliability of a portable gait analysis system for measuring spatiotemporal gait characteristics: Comparison to an instrumented treadmill. J. Neuroeng. Rehabil. 2016, 13, 6. [Google Scholar] [CrossRef] [PubMed]
- Gouwanda, D.; Gopalai, A.A. A robust real-time gait event detection using wireless gyroscope and its application on normal and altered gaits. Med. Eng. Phys. 2015, 37, 219–225. [Google Scholar] [CrossRef] [PubMed]
- Coulthard, J.T.; Treen, T.T.; Oates, A.R.; Lanovaz, J.L. Evaluation of an inertial sensor system for analysis of timed-up-and-go under dual-task demands. Gait Posture 2015, 41, 882–887. [Google Scholar] [CrossRef]
- Mancini, M.; Horak, F.B. The relevance of clinical balance assessment tools to differentiate balance deficits. Eur. J. Phys. Rehabil. Med. 2010, 46, 239. [Google Scholar] [PubMed]
- Kovacs, C.R. Age-related changes in gait and obstacle avoidance capabilities in older adults: A review. J. Appl. Gerontol. 2005, 24, 21–34. [Google Scholar] [CrossRef]
- Patel, P.; Bhatt, T. Adaptation to large-magnitude treadmill-based perturbations: Improvements in reactive balance response. Physiol. Rep. 2015, 3, e12247. [Google Scholar] [CrossRef]
- Verghese, J.; Holtzer, R.; Lipton, R.B.; Wang, C. Quantitative gait markers and incident fall risk in older adults. J. Gerontol. Ser. A 2009, 64, 896–901. [Google Scholar] [CrossRef]
- Senden, R.; Savelberg, H.; Grimm, B.; Heyligers, I.; Meijer, K. Accelerometry-based gait analysis, an additional objective approach to screen subjects at risk for falling. Gait Posture 2012, 36, 296–300. [Google Scholar] [CrossRef]
- Begg, R.; Sparrow, W. Ageing effects on knee and ankle joint angles at key events and phases of the gait cycle. J. Med. Eng. Technol. 2006, 30, 382–389. [Google Scholar] [CrossRef]
- Mills, P.M.; Barrett, R.S.; Morrison, S. Toe clearance variability during walking in young and elderly men. Gait Posture 2008, 28, 101–107. [Google Scholar] [CrossRef]
- Mathie, M.J.; Coster, A.C.; Lovell, N.H.; Celler, B.G. Accelerometry: Providing an integrated, practical method for long-term, ambulatory monitoring of human movement. Physiol. Meas. 2004, 25, R1. [Google Scholar] [CrossRef]
- Alpert, P.T.; Miller, S.K.; Wallmann, H.; Havey, R.; Cross, C.; Chevalia, T.; Gillis, C.B.; Kodandapari, K. The effect of modified jazz dance on balance, cognition, and mood in older adults. J. Am. Acad. Nurse Pract. 2009, 21, 108–115. [Google Scholar] [CrossRef] [PubMed]
- Subramaniam, S.; Bhatt, T. Dance-based exergaming for upper extremity rehabilitation and reducing fall-risk in community-dwelling individuals with chronic stroke. A preliminary study. Top. Stroke Rehabil. 2019, 26, 565–575. [Google Scholar] [CrossRef]
- Brownson, R.C.; Kreuter, M.W.; Arrington, B.A.; True, W.R. From the schools of public health. Public Health Rep. 2006, 121, 97–103. [Google Scholar] [CrossRef] [PubMed]
- Schmidt, R. Motor Control and Learning: A Behavioral Emphasis, 2nd ed.; Human Kinetics Pub. Inc.: Champaign, IL, USA, 1988. [Google Scholar]
- Manual, M.U. User Guide MVN, MVN BIOMECH MVN Link, MVN Awinda. 2019, 1, 33. Available online: https://www.xsens.com/hubfs/Downloads/usermanual/MVN_User_Manual.pdf (accessed on 23 April 2021).
- Prieto, T.E.; Myklebust, J.B.; Hoffmann, R.G.; Lovett, E.G.; Myklebust, B.M. Measures of postural steadiness: Differences between healthy young and elderly adults. IEEE Trans. Biomed. Eng. 1996, 43, 956–966. [Google Scholar] [CrossRef] [PubMed]
- Bhatt, T.; Espy, D.; Yang, F.; Pai, Y.-C. Dynamic gait stability, clinical correlates, and prognosis of falls among community-dwelling older adults. Arch. Phys. Med. Rehabil. 2011, 92, 799–805. [Google Scholar] [CrossRef]
- Agner, S.; Bernet, J.; Brülhart, Y.; Radlinger, L.; Rogan, S. Spatiotemporal gait parameters during dual task walking in need of care elderly and young adults. Z. Gerontol. Geriatr. 2015, 48, 740–746. [Google Scholar] [CrossRef] [PubMed]
- Salot, P.; Patel, P.; Bhatt, T. Reactive balance in individuals with chronic stroke: Biomechanical factors related to perturbation-induced backward falling. Phys. Ther. 2016, 96, 338–347. [Google Scholar] [CrossRef] [PubMed]
- Patel, P.J.; Bhatt, T. Does aging with a cortical lesion increase fall-risk: Examining effect of age versus stroke on intensity modulation of reactive balance responses from slip-like perturbations. Neuroscience 2016, 333, 252–263. [Google Scholar] [CrossRef] [PubMed]
- Fong, D.T.-P.; Chan, Y.-Y. The use of wearable inertial motion sensors in human lower limb biomechanics studies: A systematic review. Sensors 2010, 10, 11556–11565. [Google Scholar] [CrossRef]
- Buganè, F.; Benedetti, M.G.; D’Angeli, V.; Leardini, A. Estimation of pelvis kinematics in level walking based on a single inertial sensor positioned close to the sacrum: Validation on healthy subjects with stereophotogrammetric system. Biomed. Eng. Online 2014, 13, 146. [Google Scholar] [CrossRef] [PubMed]
- Takeda, R.; Tadano, S.; Natorigawa, A.; Todoh, M.; Yoshinari, S. Gait posture estimation using wearable acceleration and gyro sensors. J. Biomech. 2009, 42, 2486–2494. [Google Scholar] [CrossRef] [PubMed]
- Papi, E.; Osei-Kuffour, D.; Chen, Y.-M.A.; McGregor, A.H. Use of wearable technology for performance assessment: A validation study. Med. Eng. Phys. 2015, 37, 698–704. [Google Scholar] [CrossRef]
- Subramaniam, S.; Bhatt, T. Does a virtual reality-based dance training paradigm increase balance control in chronic stroke survivors? A preliminary study. Int. J. Neurorehabilit. 2015, 2. [Google Scholar] [CrossRef]
- Smith, S.T.; Sherrington, C.; Studenski, S.; Schoene, D.; Lord, S.R. A novel Dance Dance Revolution (DDR) system for in-home training of stepping ability: Basic parameters of system use by older adults. Br. J. Sports Med. 2011, 45, 441–445. [Google Scholar] [CrossRef]
- Hackney, M.E.; Hall, C.D.; Echt, K.V.; Wolf, S.L. Application of adapted tango as therapeutic intervention for patients with chronic stroke. J. Geriatr. Phys. Ther. 2012, 35, 206–217. [Google Scholar] [CrossRef] [PubMed]
- Hackney, M.E.; Earhart, G.M. Effects of dance on movement control in Parkinson’s disease: A comparison of Argentine tango and American ballroom. J. Rehabil. Med. 2009, 41, 475–481. [Google Scholar] [CrossRef]
- Muyor, J.M.; Arrabal-Campos, F.M.; Martinez-Aparicio, C.; Sanchez-Crespo, A.; Villa-Perez, M. Test-retest reliability and validity of a motion capture (MOCAP) system for measuring thoracic and lumbar spinal curvatures and sacral inclination in the sagittal plane. J. Back Musculoskelet. Rehabil. 2017, 30, 1319–1325. [Google Scholar] [CrossRef] [PubMed]


| Variable | R Value | ICC | RMSE | Limits of Agreement |
|---|---|---|---|---|
| SLIP | ||||
| Stability at TD of the recovery foot | 0.59 | 0.56 * | 0.20 | −0.48–0.56 |
| Stability at TD of the slipping foot | 0.81 | 0.72 * | 0.17 | −0.23–0.45 |
| Step length at TD | 0.68 | 0.64 * | 0.11 | −0.24–0.39 |
| TRIP | ||||
| Stability at TD of the recovery foot | 0.61 | 0.50 * | 0.16 | −0.21–0.43 |
| Stability at TD of the slipping foot | 0.77 | 0.71 * | 0.15 | −035–0.42 |
| Step length at TD | 0.68 | 0.64 * | 0.11 | −0.29–0.22 |
| Variable | R Value | ICC | RMSE | Limits of Agreement |
|---|---|---|---|---|
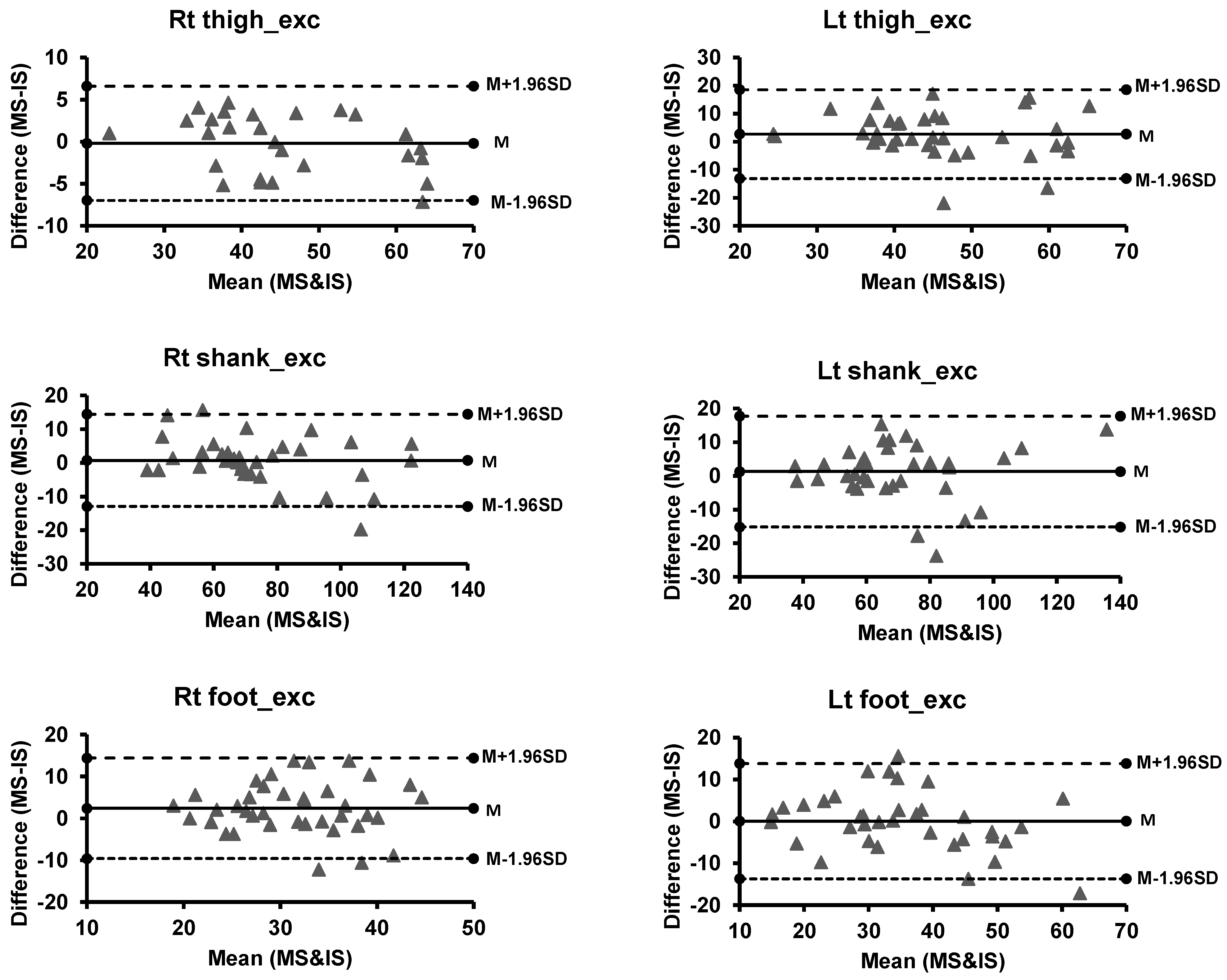
| Rt thigh_exc | 0.71 | 0.71 * | 1.9 | −6.98–6.60 |
| Rt shank_exc | 0.78 | 0.77 * | 12.46 | −12.94–14.43 |
| Rt foot_exc | 0.47 | 0.45 * | 7.69 | −9.60–14.41 |
| Lt thigh_exc | 0.60 | 0.59 * | 9.79 | −13.11–18.54 |
| Lt shank_exc | 0.85 | 0.84 * | 13.06 | −15.18–17.72 |
| Lt foot_exc | 0.79 | 0.71 * | 9.28 | 13.72–13.81 |
| Slow-Paced Song | Medium-Paced Song | Fast-Paced Song | |||||||
|---|---|---|---|---|---|---|---|---|---|
| R | ICC | Cronbach’s Alpha | R | ICC | Cronbach’s Alpha | R | ICC | Cronbach’s Alpha | |
| Rt thigh_exc | 0.28 | 0.38 | 0.44 | 0.38 | 0.53 | 0.55 | 0.77 * | 0.86 | 0.87 |
| Rt shank_exc | 0.80 * | 0.87 | 0.89 | 0.45 | 0.54 | 0.60 | 0.75 * | 0.72 | 0.72 |
| Rt foot_exc | 0.12 | 0.14 | 0.13 | 0.38 | 0.51 | 0.55 | 0.57 * | 0.67 | 0.67 |
| Lt thigh_exc | 0.41 | 0.41 | 0.52 | 0.25 | 0.36 | 0.39 | 0.53 * | 0.67 | 0.68 |
| Lt shank_exc | 0.35 | 0.47 | 0.52 | 0.79 * | 0.82 | 0.88 | 0.82 * | 0.58 | 0.86 |
| Lt foot_exc | 0.87 * | 0.93 | 0.93 | 0.73 * | 0.80 | 0.81 | 0.4 | 0.32 | 0.33 |
Publisher’s Note: MDPI stays neutral with regard to jurisdictional claims in published maps and institutional affiliations. |
© 2021 by the authors. Licensee MDPI, Basel, Switzerland. This article is an open access article distributed under the terms and conditions of the Creative Commons Attribution (CC BY) license (https://creativecommons.org/licenses/by/4.0/).
Share and Cite
Ofori, E.K.; Wang, S.; Bhatt, T. Validity of Inertial Sensors for Assessing Balance Kinematics and Mobility during Treadmill-Based Perturbation and Dance Training. Sensors 2021, 21, 3065. https://doi.org/10.3390/s21093065
Ofori EK, Wang S, Bhatt T. Validity of Inertial Sensors for Assessing Balance Kinematics and Mobility during Treadmill-Based Perturbation and Dance Training. Sensors. 2021; 21(9):3065. https://doi.org/10.3390/s21093065
Chicago/Turabian StyleOfori, Ernest Kwesi, Shuaijie Wang, and Tanvi Bhatt. 2021. "Validity of Inertial Sensors for Assessing Balance Kinematics and Mobility during Treadmill-Based Perturbation and Dance Training" Sensors 21, no. 9: 3065. https://doi.org/10.3390/s21093065
APA StyleOfori, E. K., Wang, S., & Bhatt, T. (2021). Validity of Inertial Sensors for Assessing Balance Kinematics and Mobility during Treadmill-Based Perturbation and Dance Training. Sensors, 21(9), 3065. https://doi.org/10.3390/s21093065
