The Influence of Packing Methods and Storage Time of Poultry Sausages with Liquid and Microencapsulated Fish Oil Additives on Their Physicochemical, Microbial and Sensory Properties
Abstract
1. Introduction
2. Materials and Methods
2.1. Sample Preparation
2.2. Basic Chemical Composition
2.3. pH Measurements
2.4. Water Activity Measurement
2.5. Texture Profile Analysis (TPA)
2.6. Microbiological Analysis
2.7. Sensory Assessment
- Cold assessment: the sausages were cut into equal pieces of 3 cm in length; the longitudinally cut sausage was used for the assessment of the cross section.
- Hot assessment: the sausages were immersed in boiling water for 3 min, then they were cut into pieces of 3 cm in length.
2.8. Statistical Analyses
3. Results and Discussion
3.1. Basic Composition
3.2. pH Analysis
3.3. Water Activity
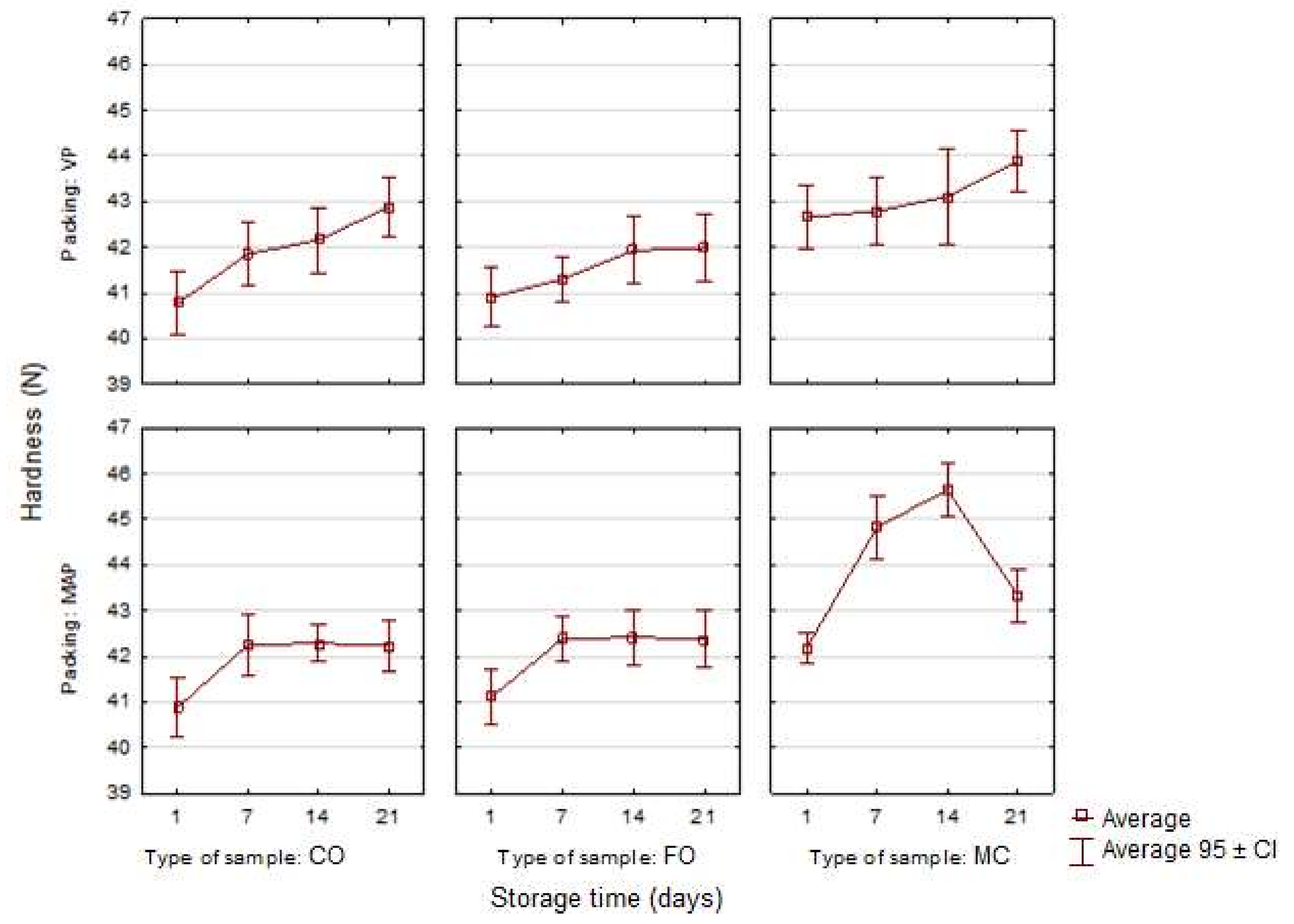
3.4. Texture Analysis
3.5. Microbiological Quality
3.6. Sensory Assessment
4. Conclusions
Author Contributions
Funding
Institutional Review Board Statement
Informed Consent Statement
Data Availability Statement
Conflicts of Interest
References
- OECD-FAO. Meat Consumption (Indicator). Available online: https://www.oecd-ilibrary.org/agriculture-and-food/meat-consumption/indicator/english_fa290fd0-en (accessed on 31 August 2020).
- Report: EU Agricultural Markets Short-Term Outlook—Autumn 2020. Available online: https://ec.europa.eu/info/news/short-term-outlook-while-many-uncertainties-remain-prospects-agri-food-sector-remain-overall-positive-2020-oct-05_en#moreinfo (accessed on 5 October 2020).
- Stangierski, J.; Lesnierowski, G. Nutritional and health-promoting aspects of poultry meat and its processed products. World’s Poult. Sci. J. 2015, 71, 71–82. [Google Scholar] [CrossRef]
- Domingez, R.; Pateiro, M.; Agregán, R.; Lorenzo, J.M. Effect of the partial replacement of pork backfat by microencapsulated fish oil or mixed fish and olive oil on the quality of frankfurter type sausage. J. Food Sci. Technol. 2017, 54, 26–37. [Google Scholar] [CrossRef]
- Stangierski, J.; Rezler, R.; Kawecki, K.; Peplińska, B. Effect of microencapsulated fish oil powder on selected quality characteristics of chicken sausages. J. Sci. Food Agric. 2020, 100, 2043–2051. [Google Scholar] [CrossRef]
- Park, J.; Rhee, K.S.; Keeton, J.T.; Rhee, K.C. Properties of low-fat frankfurters containing monounsaturated and omega-3 polyunsaturated oils. J. Food Sci. 1989, 54, 500–504. [Google Scholar] [CrossRef]
- Delgado-Pando, G.; Cofrades, S.; Ruiz-Capillas, C.; JiménezColmonero, F. Healthier lipid combination as functional ingredient influencing sensory and technological properties of low-fat frankfurters. Eur. J. Lipid Sci. Technol. 2011, 112, 859–870. [Google Scholar] [CrossRef]
- Marchetti, L.; Andrés, S.C.; Califano, A.N. Low-fat meat saudages with fish oil: Optimization of milk proteins and carrageenan contents using response surface methodology. Meat Sci. 2014, 96, 1297–1303. [Google Scholar] [CrossRef]
- Salcedo-Sandoval, L.; Cofrades, S.; Petéz, C.R.C.; Solas, M.T.; Jiménez-Colmenero, F. Healthier oils stabilized in konjac matrix as fat replacers in n-3 PUFA enriched frankfurters. Meat Sci. 2013, 93, 757–766. [Google Scholar] [CrossRef]
- Olmedilla-Alonso, B.; Jiménez-Colmenero, F.; Sánchez-Muniz, F.J. Development and assessment of healthy properties of meat and meat products designed as functional foods. Meat Sci. 2013, 95, 919–930. [Google Scholar] [CrossRef] [PubMed]
- Teixeira, A.; Rodrigues, S. Consumer perceptions towards healthier meat products. Curr. Opin. Food Sci. 2021, 38, 147–154. [Google Scholar] [CrossRef]
- Shana, L.C.; De Brúnb, A.; Henchionc, M.; Lid, C.; Murrina, C.; Walla, P.G.; Monahana, F.J. Consumer evaluations of processed meat products reformulated to be healthier—A conjoint analysis study. Meat Sci. 2017, 131, 82–89. [Google Scholar] [CrossRef]
- Tørngrena, M.A.; Darréa, M.; Gunviga, A.; Bardenshtein, A. Case studies of packaging and processing solutions to improve meat quality and safety. Meat Sci. 2018, 144, 149–158. [Google Scholar] [CrossRef] [PubMed]
- Rubio, B.; Martínez, B.; Sánchez, M.J.; Dolores García-Cachán, M.; Rovira, J.; Jaime, I. Study of the shelf life of a dry fermented sausage “salchichon” made from raw material enriched in monounsaturated and polyunsaturated fatty acids and stored under modified atmospheres. Meat Sci. 2007, 76, 128–137. [Google Scholar] [CrossRef]
- Summo, C.; Caponio, F.; Paradiso, V.M.; Pasqualone, A.; Gomes, T. Vacuum-packed ripened sausages: Evolution of oxidative and hydrolytic degradation of lipid fraction during long-term storage and influence on the sensory properties. Meat Sci. 2010, 84, 147–151. [Google Scholar] [CrossRef] [PubMed]
- Peck, M.W.; Webba, M.D.; Goodburn, K.E. Assessment of the risk of botulism from chilled, vacuum/modified atmosphere packed fresh beef, lamb and pork held at 3 °C–8 °C. Food Microbiol. 2020, 91, 103544. [Google Scholar] [CrossRef] [PubMed]
- Borch, E.; Kant-Muermans, M.L.; Blixt, Y. Bacterial spoilage of meat and cured meat products. Int. J. Food Microbiol. 1996, 33, 103–120. [Google Scholar] [CrossRef]
- Meinert, L.; Koch, A.G.; Blom-Hanssen, J.; Bejerholm, C.; Madsen, N.T.; Christensen, H. Predicting the shelf-life of pork and beef. In Proceedings of the 55th International Conference of Meat Science and Technology, Copenhagen, Denmark, 16–21 August 2009. [Google Scholar]
- Skibsted, L.H.; Mikkelsen, A.; Bertelsen, G. Lipid-derived off-flavours in meat. In Flavour of Meat, Meat Products and Seafoods; Shahidi, F., Ed.; Blacki Academic & Professional: London, UK, 1998. [Google Scholar]
- Martinsa, W.F.; Longhic, D.A.; Falcão de Aragãoa, G.M.; Melerod, B.; Rovirad, J.; Diez, A.M. A mathematical modeling approach to the quantification of lactic acid bacteria in vacuum-packaged samples of cooked meat: Combining the TaqMan-based quantitative PCR method with the plate-count method. Int. J. Food Microbiol. 2020, 318, 108466. [Google Scholar] [CrossRef]
- WHO. World Health Organization Population Nutrient Intake Goals for Preventing Diet-Related Chronic Diseases. 2010. Available online: http://www.who.int/nutrition/topics/5_population_nutrient/en/ (accessed on 12 October 2020).
- PN-ISO 1442:2000. Meat and Meat Products. The Determination of Water. Reference Method; Polish Committee for Standardization: Warszawa, Poland, 2000. [Google Scholar]
- PN-75/A-04018+Az3:2002. Food and Agricultural Products. Protein Determination by the Kjeldahl Method and Conversion to Protein Content; Polish Committee for Standardization: Warszawa, Poland, 2002. [Google Scholar]
- PN-ISO 1444:2000. Meat and Meat Products. The Determination of Fat Content; Polish Committee for Standardization: Warszawa, Poland, 2000. [Google Scholar]
- PN-ISO 936:2000. Meat and Meat Products. The Determination of Ash Content; Polish Committee for Standardization: Warszawa, Poland, 2000. [Google Scholar]
- PN-EN ISO 4833-1:2013-12. Microbiology of the Food Chain—Horizontal Method for the Enumeration of Microorganisms—Part 1: Colony Count at 30 Degrees C by the Pour Plate Technique; Polish Committee for Standardization: Warszawa, Poland, 2013. [Google Scholar]
- PN-ISO 15214:2002. Microbiology of Food and Animal Feeding Stuffs—Horizontal Method for the Enumeration of Mesophilic Lactic Acid Bacteria—Colony-Count Technique at 30 Degrees C; Polish Committee for Standardization: Warszawa, Poland, 2002. [Google Scholar]
- PN–ISO 4121: 1998. Sensory Analysis—Methodology—Evaluation of Food Products by Methods Using Scales; Polish Committee for Standardization: Warszawa, Poland, 1998. [Google Scholar]
- Jiménez-Martín, E.; Pérez-Palacios, T.; Carrascal, J.R.; Rojas, T.A. Enrichment of chicken nuggets with microencapsulated omega-3 fish oil: Effect of frozen storage time on oxidative stability and sensory quality. Food Bioprocess Technol. 2016, 9, 285–297. [Google Scholar] [CrossRef]
- Aquilani, C.; Pérez-Palacios, T.; Sirtori, F.; Jiménez-Martín, E.; Antequera, T.; Franci, O.; Pugliese, C. Enrichment of Cinta Senese burgers with omega-3 fatty acids. Effect of type of addition and storage conditions on quality characteristics. Grasas Y Aceites 2018, 69, 235. [Google Scholar] [CrossRef]
- Lorenzo, J.M.; Munekata, P.; Pateiro, M.; Campagnol, P.C.B.; Dominguez, R. Healthy Spanish salchicho´n enriched with encapsulated n-3 long chain fatty acids in konjac glucomannan matrix. Food Res. Int. 2016, 89, 289–295. [Google Scholar] [CrossRef]
- Solomando, J.C.; Antequera, T.; Perez-Palacios, T. Evaluating the use of fish oil microcapsules as omega-3 vehicle in cooked and dry-cured sausages as affected by their processing, storage and cooking. Meat Sci. 2020, 162, 108031. [Google Scholar] [CrossRef]
- Josquin, N.M.; Linssen, J.P.; Houben, J.H. Quality characteristics of Dutch-style fermented sausages manufactured with partial replacement of pork back-fat with pure, pre-emulsified or encapsulated fish oil. Meat Sci. 2012, 90, 81–86. [Google Scholar] [CrossRef]
- Muguerza, F.; Fista, G.; Ansorena, D.; Astiasaran, I.; Bloukas, J.G. Effect of fat level and partial replacement of pork backfat wito live oil on processing and quality characteristics of fermented sausages. Meat Sci. 2002, 61, 397–404. [Google Scholar] [CrossRef]
- Pelser, W.M.; Linssen, J.P.; Legger, A.; Houben, J.H. Lipid oxidation in n-3 fatty acid enriched Dutch style fermented sausages. Meat Sci. 2007, 75, 1–11. [Google Scholar] [CrossRef] [PubMed]
- Lerasle, M.; Federighi, M.; Simonin, H.; Anthoine, V.; Rezé, S.; Chéret, R.; Guillou, S. Combined use of modified atmosphere packaging and high pressure to extend the shelf-life of raw poultry sausage. Innov. Food Sci. Emerg. Technol. 2014, 23, 54–60. [Google Scholar] [CrossRef]
- Stasiewicz, M.; Lipiński, K.; Cierach, M. Quality of meat products packaged and stored under vacuum and modified atmosphere conditions. Lwt J. Food Sci. Technol. 2014, 51, 1982–1989. [Google Scholar] [CrossRef] [PubMed][Green Version]
- O’Sullivan, M.G.; Cruz-Romero, M.; Kerry, J.P. Carbon dioxide flavour taint in modified atmosphere packed beef steaks. Food Sci. Technol. 2011, 44, 2193–2198. [Google Scholar] [CrossRef]
- Fernandez-Fernandez, E.; Vázquez-Odériz, M.L.; Romero-Rodriguez, M.A. Sensory characteristics of Galician chorizo sausage packed under vacuum and under modified atmospheres. Meat Sci. 2002, 62, 67–71. [Google Scholar] [CrossRef]
- Kawecki, K.; Rezler, R.; Baranowska, H.M.; Stangierski, J. Influence of fish oil and microencapsulated fish oil additives on water binding and the rheological properties of poultry sausage batters. J. Sci. Food Agric. 2021, 101, 1127–1133. [Google Scholar] [CrossRef] [PubMed]
- Youssef, M.K.; Barbut, S. Fat reduction in comminuted meat products-effects of beef fat, regular and pre-emulsified canola oil. Meat Sci. 2011, 87, 356–360. [Google Scholar] [CrossRef]
- Cheetangdee, N. Effect of partial replacement of porcine fat with pre-emulsified soybean oil using fish protein isolate as emulsifier on characteristic of sausage. J. Food Sci. Technol. 2017, 54, 1901–1909. [Google Scholar] [CrossRef]
- Lanier, T.C.; Carvajal, P.; Yongsawatdigul, J. Surimi gelation chemistry. In Surimi and Surimi Seafood; Park, J.W., Ed.; Marcel-Dekker: New York, NY, USA, 2005; pp. 267–324. [Google Scholar]
- Sousa, S.C.; Fragoso, S.P.; Penna, C.R.A.; Arcanjo, N.M.O.; Silva, F.A.P.; Ferreira, V.C.S.; Barreto, M.D.S.; Araújo, I.B.S. Quality parameters of frankfurter-type sausages with partial replacement of fat by hydrolyzed collagen. LWT Food Sci. Technol. 2017, 76, 320–325. [Google Scholar] [CrossRef]
- Pavlik, Z.; Salákova, A.; Kamenik, J.; Pospišil, J.; Králová, M.; Steinhauserová, I. Effect of micro-encapsulated n-3 fatty acids on qualirty properties of two types of dry sausages. Acta Vet. Brno. 2014, 83, 163–169. [Google Scholar] [CrossRef]
- Abdolghafour, B.; Saghir, A. Development in sausage production and practices: A review. J. Food Sci. Technol. 2014, 2, 40–50. [Google Scholar]
- Gokoglu, N.; Yerlikaya, P.; Uran, H.; Topuz, O.K. The effect of modified atmosphere packaging on the quality and shelf-life of frankfurter type-sausages. J. Food Qual. 2010, 33, 367–380. [Google Scholar] [CrossRef]
- Martinez, L.; Djenane, D.; Cilla, I.; Brltrán, J.A.; Roncalés, P. Effect of different concentration of carbon dioxide and low concentration of carbon monoxide on the shelf-life of fresh pork sausages packaged in modified atmosphere. Meat Sci. 2005, 71, 563–570. [Google Scholar] [CrossRef] [PubMed]
- Patsias, A.; Chouliara, I.; Badeka, A.; Savvaidis, I.N.; Kontominas, M.G. Shelf-life of a chilled precooked chicken product stored in air and under modified atmospheres: Microbiological, chemical, sensory attributes. Food Microbiol. 2006, 23, 423–429. [Google Scholar] [CrossRef] [PubMed]
- Raeisi, S.; Ojagh, S.M.; Pourashouri, P.; Salaün, F.; Quek, S.Y. Shelf-life and quality of chicken nuggets fortified with encapsulated fish oil and garlic essential oil during refrigerated storage. J. Food Sci. Technol. 2021, 58, 121–128. [Google Scholar] [CrossRef]
- Luong, N.; Jeuge, S.; Coroller, L.; Feurer, C.; Desmonts, M.H.; Moriceau, N.; Anthoine, V.; Gavignet, S.; Rapin, A.; Frémaux, B.; et al. Spoilage of fresh turkey and pork sausages: Influence of potassium lactate and modified atmosphere packaging. Food Res. Int. 2020, 137, 109501. [Google Scholar] [CrossRef]
- ICMSF. Microorganisms in Foods 2. Sampling for Microbiological Analysis: Principles and Specific Application; University of Toronto Press: Toronto, ON, Canada, 1986. [Google Scholar] [CrossRef]









| Chemical | Type of Sample | ||
|---|---|---|---|
| Composition (%) | Control (CO) | Fish Oil (FO) | Microencapsulated (MC) |
| Moisture | 67.4 ± 0.7 a | 66.6 ± 0.7 a | 66.2 ± 0.6 a |
| Protein | 17.8 ± 0.3 a | 17.6 ± 0.3 a | 18.3 ± 0.4 a |
| Fat | 10.2± 0.5 a | 11.5 ± 0.6 a | 11.0 ± 0.6 a |
| Ash | 1.9 ± 0.1 a | 2.0 ± 0.1 a | 1.9 ± 0.1 a |
| Storage Time | Microbiological | VP | MAP | ||||
|---|---|---|---|---|---|---|---|
| (Days) | Analysis | CO | FO | MC | CO | FO | MC |
| 1 | TCC (log10 CFU g−1) | 2.18 ± 0.01 aA | 2.11 ± 0.02 aA | 2.04 ± 0.02 aA | 2.81 ± 0.00 aB | 2.64 ± 0.00 aB | 2.51 ± 0.01 aB |
| Mesophilic LAB (log10 CFU g−1) | 1.00 ± 0.00 aA | 1.00 ± 0.00 aA | 1.00 ± 0.00 aA | 1.00 ± 0.00 aA | 1.00 ± 0.00 aA | 1.00 ± 0.00 aA | |
| 21 | TCC (log10 CFU g−1) | 4.23 ± 0.01 bC | 4.18 ± 0.00 bC | 3.94 ± 0.00 bC | 4.90 ± 0.01 bD | 4.36 ± 0.02 bD | 4.23 ± 0.00 bD |
| Mesophilic LAB (log10 CFU g−1) | 3.57 ± 0.01 bB | 3.72 ± 0.01 bB | 3.45 ± 0.02 bB | 4.15 ± 0.03 bB | 4.48 ± 0.01 bB | 4.08 ± 0.04 bB |
Publisher’s Note: MDPI stays neutral with regard to jurisdictional claims in published maps and institutional affiliations. |
© 2021 by the authors. Licensee MDPI, Basel, Switzerland. This article is an open access article distributed under the terms and conditions of the Creative Commons Attribution (CC BY) license (https://creativecommons.org/licenses/by/4.0/).
Share and Cite
Kawecki, K.; Stangierski, J.; Cegielska-Radziejewska, R. The Influence of Packing Methods and Storage Time of Poultry Sausages with Liquid and Microencapsulated Fish Oil Additives on Their Physicochemical, Microbial and Sensory Properties. Sensors 2021, 21, 2653. https://doi.org/10.3390/s21082653
Kawecki K, Stangierski J, Cegielska-Radziejewska R. The Influence of Packing Methods and Storage Time of Poultry Sausages with Liquid and Microencapsulated Fish Oil Additives on Their Physicochemical, Microbial and Sensory Properties. Sensors. 2021; 21(8):2653. https://doi.org/10.3390/s21082653
Chicago/Turabian StyleKawecki, Krzysztof, Jerzy Stangierski, and Renata Cegielska-Radziejewska. 2021. "The Influence of Packing Methods and Storage Time of Poultry Sausages with Liquid and Microencapsulated Fish Oil Additives on Their Physicochemical, Microbial and Sensory Properties" Sensors 21, no. 8: 2653. https://doi.org/10.3390/s21082653
APA StyleKawecki, K., Stangierski, J., & Cegielska-Radziejewska, R. (2021). The Influence of Packing Methods and Storage Time of Poultry Sausages with Liquid and Microencapsulated Fish Oil Additives on Their Physicochemical, Microbial and Sensory Properties. Sensors, 21(8), 2653. https://doi.org/10.3390/s21082653

