The Application of a CMR-B-Scalar Sensor for the Investigation of the Electromagnetic Acceleration of Type II Superconductors
Abstract
1. Introduction
2. Experimental Setup
3. Experimental Results
4. Simulation Background
5. Simulation Results and Discussion
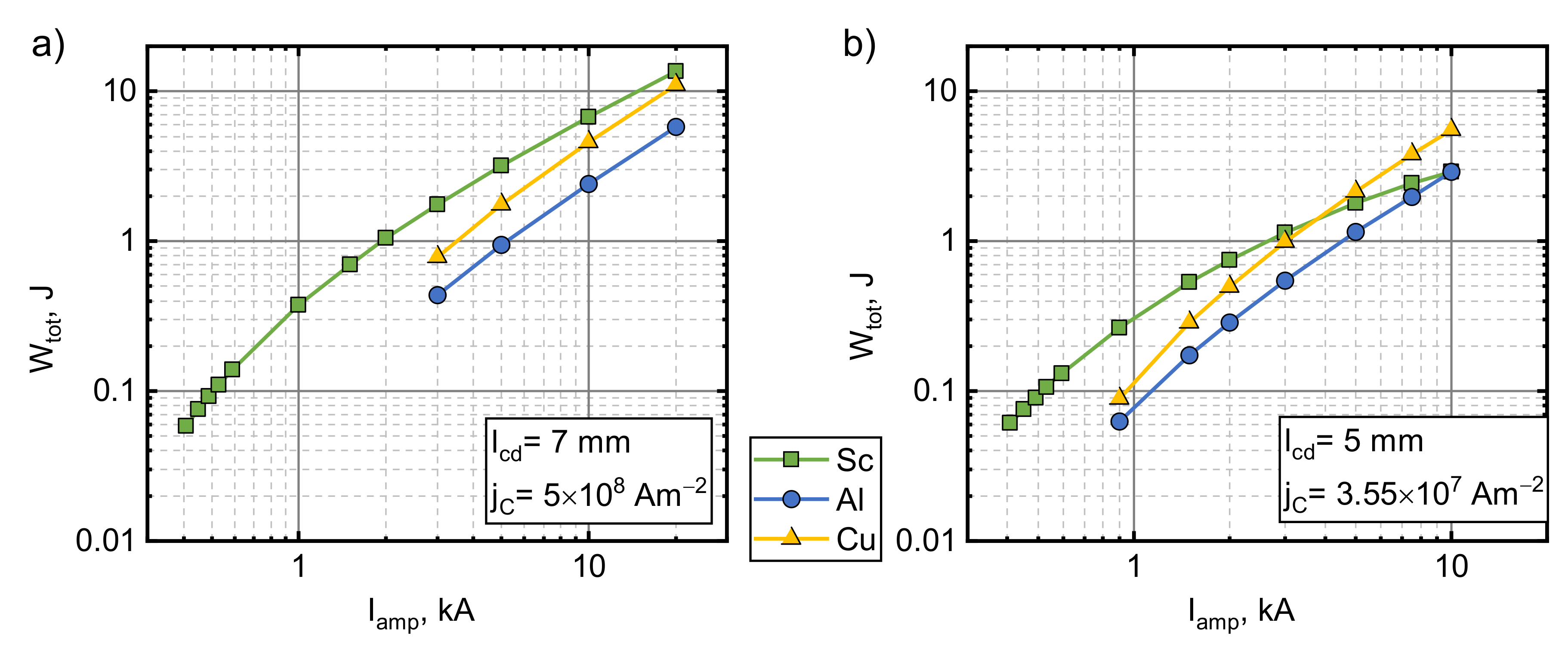
5.1. Influence of jc on Energy Conversion
5.2. Effects of Pulse Amplitude
5.3. The Influence of Pulse Duration
5.4. Step-Like Field Pulses
5.5. Magnetic Braking
6. Conclusions
Author Contributions
Funding
Conflicts of Interest
References
- Hundertmark, S. Applying railgun technology to small satellite launch. In Proceedings of the 5th International Conference on Recent Advances in Space Technologies—RAST2011, Istanbul, Turkey, 9–11 June 2011; pp. 747–751. [Google Scholar] [CrossRef]
- McNab, I.R. Progress on hypervelocity railgun research for launch to space. IEEE Trans. Magn. 2009, 45, 381–388. [Google Scholar] [CrossRef]
- Lehmann, P.; Reck, B.; Vo, M.D.; Behrens, J. Acceleration of a suborbital payload using an electromagnetic railgun. IEEE Trans. Magn. 2007, 43, 480–485. [Google Scholar] [CrossRef]
- Kaye, R.J.; Turman, B.N.; Shope, S.L. Applications of coilgun electromagnetic propulsion technology. In Proceedings of the Conference Record of the Twenty-Fifth International Power Modulator Symposium, 2002 and 2002 High-Voltage Workshop, Hollywood, CA, USA, 30 June–3 July 2002; pp. 703–707. [Google Scholar] [CrossRef]
- Bertola, L.; Cox, T.; Wheeler, P.; Garvey, S. Superconducting and conventional electromagnetic launch system for civil aircraft assisted take-off. In Proceedings of the ECCE 2016—IEEE Energy Conversion Congress & Expo, Milwaukee, WI, USA, 18–22 September 2016; Volume 26. [Google Scholar] [CrossRef]
- Gores, P.A.; Vincent, G.; Schneider, M.; Spray, J.G. Appraisal of Rapid-Fire Electromagnetic Launch Effects on Ceramic Targets. IEEE Trans. Plasma Sci. 2019, 47, 4175–4180. [Google Scholar] [CrossRef]
- Schneider, M.; Vincent, G.; Hogan, J.; Spray, J. The use of a railgun facility for dynamic fracture of brittle materials. In Proceedings of the 2014 17th IEEE International Symposium on Electromagnetic Launch Technology, La Jolla, CA, USA, 7–11 July 2014; pp. 1–5. [Google Scholar]
- Vricella, A.; Delfini, A.; Pacciani, A.; Pastore, R.; Micheli, D.; Rubini, G.; Marchetti, M.; Santoni, F. A new advanced railgun system for debris impact study. Procedia Struct. Integr. 2017, 3, 545–552. [Google Scholar] [CrossRef]
- Kaye, R.; Turman, B.; Aubuchon, M.; Lamppa, D.; Mann, G.; Van Reuth, E.; Fulton, K.; Malejko, G.; Magnotti, P.; Nguyen, D.; et al. Induction coilgun for EM mortar. In Proceedings of the PPPS-2007—IEEE International Pulsed Power Conference, Albuquerque, NM, USA, 17–22 June 2007; Volume 2, pp. 1810–1813. [Google Scholar] [CrossRef]
- Hundertmark, S.; Schneider, M.; Vincent, G. Payload acceleration using a 10-MJ des railgun. IEEE Trans. Plasma Sci. 2013, 41, 1455–1459. [Google Scholar] [CrossRef]
- Lockner, T.R.; Kaye, R.J.; Turman, B.N. Coilgun technology, status, applications, and future directions at Sandia National Laboratories. In Proceedings of the Conference Record of the Twenty-Sixth International Power Modulator Symposium, 2004 and 2004 High-Voltage Workshop, San Francisco, CA, USA, 23–26 May 2004; pp. 119–121. [Google Scholar] [CrossRef]
- Kaye, R.J. Operational requirements and issues for coilgun EM launchers. In Proceedings of the 2004 12th Symposium on Electromagnetic Launch Technology, Snowbird, UT, USA, 25–28 May 2004; Volume 41, pp. 59–64. [Google Scholar] [CrossRef]
- Williamson, S. Pulsed coilgun limits. IEEE Trans. Magn. 1997, 33, 201–207. [Google Scholar] [CrossRef]
- Zhang, T.; Guo, W.; Lin, F.; Cao, B.; Dong, Z.; Ren, R.; Huang, K.; Su, Z. Experimental results from a 4-stage synchronous induction coilgun. IEEE Trans. Plasma Sci. 2013, 41, 1084–1088. [Google Scholar] [CrossRef]
- Deng, Z.; Zhang, W.; Zheng, J.; Wang, B.; Ren, Y.; Zheng, X.; Zhang, J. A High-Temperature Superconducting Maglev-Evacuated Tube Transport (HTS Maglev-ETT) Test System. IEEE Trans. Appl. Supercond. 2017, 27, 1–8. [Google Scholar] [CrossRef]
- Durrell, J.H.; Ainslie, M.D.; Zhou, D.; Vanderbemden, P.; Bradshaw, T.; Speller, S.; Filipenko, M.; Cardwell, D.A. Bulk superconductors: A roadmap to applications. Supercond. Sci. Technol. 2018, 31. [Google Scholar] [CrossRef]
- Wera, L.; Fagnard, J.F.; Hogan, K.; Vanderheyden, B.; Namburi, D.K.; Shi, Y.; Cardwell, D.A.; Vanderbemden, P. Magnetic shielding of open and semi-closed bulk superconductor tubes: The role of a cap. IEEE Trans. Appl. Supercond. 2019, 29. [Google Scholar] [CrossRef]
- Yang, W.; Yao, L.; Fu, Z. Simulation of Dynamic and Electromagnetic Characteristics of a Superconductor Bulk in a Single-Stage Induction Coilgun. IEEE Trans. Plasma Sci. 2019, 47, 821–827. [Google Scholar] [CrossRef]
- Sadasivam, L.; Sriram, A.; Subendran, R.V. Active Space Debris Removal by Using Coil Gun Mechanism. In Proceedings of the International Conference on Advances in Engineering and Technology (ICAET’2014), Singapore, 29–30 March 2014; pp. 464–467. [Google Scholar]
- Ainslie, M.D.; Fujishiro, H. Modelling of bulk superconductor magnetization. Supercond. Sci. Technol. 2015, 28. [Google Scholar] [CrossRef]
- Zou, J.; Ainslie, M.D.; Fujishiro, H.; Bhagurkar, A.G.; Naito, T.; Hari Babu, N.; Fagnard, J.F.; Vanderbemden, P.; Yamamoto, A. Numerical modelling and comparison of MgB2 bulks fabricated by HIP and infiltration growth. Supercond. Sci. Technol. 2015, 28. [Google Scholar] [CrossRef]
- Sass, F.; Sotelo, G.G.; De Andrade, R.; Sirois, F. H-formulation for simulating levitation forces acting on HTS bulks and stacks of 2G coated conductors. Supercond. Sci. Technol. 2015, 28, 125012. [Google Scholar] [CrossRef]
- Quéval, L.; Liu, K.; Yang, W.; Zermeño, V.M.R.; Ma, G. Superconducting magnetic bearings simulation using an H-formulation finite element model. Supercond. Sci. Technol. 2018, 31, 084001. [Google Scholar] [CrossRef]
- Sass, F.; Dias, D.H.N.; Sotelo, G.G.; De Andrade Junior, R. Superconducting magnetic bearings with bulks and 2G HTS stacks: Comparison between simulations using H and A-V formulations with measurements. Supercond. Sci. Technol. 2018, 31, 025006. [Google Scholar] [CrossRef]
- Ainslie, M.; Grilli, F.; Quéval, L.; Pardo, E.; Perez-Mendez, F.; Mataira, R.; Morandi, A.; Ghabeli, A.; Bumby, C.; Brambilla, R. A new benchmark problem for electromagnetic modelling of superconductors: The high-T c superconducting dynamo. Supercond. Sci. Technol. 2020, 33, 105009. [Google Scholar] [CrossRef]
- Grilli, F.; Stavrev, S.; LeFloch, Y.; Costa-Bouzo, M.; Vinot, E.; Klutsch, I.; Meunier, G.; Tixador, P.; Dutoit, B. Finite-Element Method Modeling of Superconductors: From 2-D to 3-D. IEEE Trans. Appl. Supercond. 2005, 15, 17–25. [Google Scholar] [CrossRef]
- Liang, F.; Venuturumilli, S.; Zhang, H.; Zhang, M.; Kvitkovic, J.; Pamidi, S.; Wang, Y.; Yuan, W. A finite element model for simulating second generation high temperature superconducting coils/stacks with large number of turns. J. Appl. Phys. 2017, 122, 043903. [Google Scholar] [CrossRef]
- Berrospe-Juarez, E.; Zermeño, V.M.R.; Trillaud, F.; Grilli, F. Real-time simulation of large-scale HTS systems: Multi-scale and homogeneous models using the T–A formulation. Supercond. Sci. Technol. 2019, 32, 065003. [Google Scholar] [CrossRef]
- Berrospe-Juarez, E.; Trillaud, F.; Zermeno, V.M.R.; Grilli, F.; Weijers, H.W.; Bird, M.D. Screening Currents and Hysteresis Losses in the REBCO Insert of the 32 T All-Superconducting Magnet Using T-A Homogenous Model. IEEE Trans. Appl. Supercond. 2020, 30, 1–5. [Google Scholar] [CrossRef]
- Stankevič, T.; Medišauskas, L.; Stankevič, V.; Balevičius, S.; Žurauskienė, N.; Liebfried, O.; Schneider, M. Pulsed magnetic field measurement system based on colossal magnetoresistance-B-scalar sensors for railgun investigation. Rev. Sci. Instrum. 2014, 85, 044704. [Google Scholar] [CrossRef]
- Liebfried, O.; Loffler, M.; Schneider, M.; Balevicius, S.; Stankevic, V.; Zurauskiene, N.; Abrutis, A.; Plausinaitiene, V. B-scalar measurements by CMR-based sensors of highly inhomogeneous transient magnetic fields. IEEE Trans. Magn. 2009, 45, 5301–5306. [Google Scholar] [CrossRef]
- Vertelis, V.; Vincent, G.; Schneider, M.; Balevičius, S.; Stankevič, V.; Žurauskiene, N. Magnetic Field Expulsion from a Conducting Projectile in a Pulsed Serial Augmented Railgun. IEEE Trans. Plasma Sci. 2020, 48, 727–732. [Google Scholar] [CrossRef]
- Stankevic, V.; Lueg-Althoff, J.; Hahn, M.; Tekkaya, A.E.; Zurauskiene, N.; Dilys, J.; Klimantavicius, J.; Kersulis, S.; Simkevicius, C.; Balevicius, S. Magnetic Field Measurements during Magnetic Pulse Welding Using CMR-B-Scalar Sensors. Sensors 2020, 20, 5925. [Google Scholar] [CrossRef] [PubMed]
- Can Superconductors s.r.o. Superconducting YBCO Levitation Bulk. Available online: https://www.can-superconductors.com/levitation-bulk.html (accessed on 16 December 2020).
- Lukose, R.; Plausinaitiene, V.; Vagner, M.; Zurauskiene, N.; Kersulis, S.; Kubilius, V.; Motiejuitis, K.; Knasiene, B.; Stankevic, V.; Saltyte, Z.; et al. Relation between thickness, crystallite size and magnetoresistance of nanostructured La1−xSrxMnyO3±δ films for magnetic field sensors. Beilstein J. Nanotechnol. 2019, 10, 256–261. [Google Scholar] [CrossRef] [PubMed]
- Žurauskienė, N.; Stankevič, V.; Keršulis, S.; Klimantavičius, J.; Šimkevičius, Č.; Plaušinaitienė, V.; Vagner, M.; Balevičius, S. Increase of Operating Temperature of Magnetic Field Sensors Based on La–Sr–Mn–O Films With Mn Excess. IEEE Trans. Plasma Sci. 2019, 47, 4530–4535. [Google Scholar] [CrossRef]
- Žurauskiene, N.; Balevičius, S.; Pavilonis, D.; Stankevič, V.; Plaušinaitiene, V.; Zherlitsyn, S.; Herrmannsdörfer, T.; Law, J.M.; Wosnitza, J. Magnetoresistance and resistance relaxation of nanostructured La-Ca-MnO films in pulsed magnetic fields. IEEE Trans. Magn. 2014, 50, 18–21. [Google Scholar] [CrossRef]
- Vertelis, V.; Balevicius, S.; Stankevic, V.; Zurauskiene, N.; Schneider, M. Pulsed magnetic flux penetration dynamics inside a thin-walled superconducting tube. J. Appl. Phys. 2020, 127, 113901. [Google Scholar] [CrossRef]
- Balevicius, S.; Zurauskiene, N.; Stankevic, V.; Kersulis, S.; Baskys, A.; Bleizgys, V.; Dilys, J.; Lucinskis, A.; Tyshko, A.; Brazil, S. Hand-Held Magnetic Field Meter Based on Colossal Magnetoresistance-B-Scalar Sensor. IEEE Trans. Instrum. Meas. 2020, 69, 2808–2816. [Google Scholar] [CrossRef]
- Brandt, E.H. Superconductors of finite thickness in a perpendicular magnetic field: Strips and slabs. Phys. Rev. B Condens. Matter Mater. Phys. 1996, 54, 4246–4264. [Google Scholar] [CrossRef] [PubMed]
- Yamasaki, H.; Mawatari, Y. Current-voltage characteristics and flux creep in melt-textured YBa2Cu3O7−δ. Supercond. Sci. Technol. 2000, 13, 202–208. [Google Scholar] [CrossRef]
- Plechacek, V.; Jirsa, M.; Rames, M.; Muralidhar, M. Batch Production of YBCO Disks for Levitation Applications. Phys. Procedia 2012, 36, 538–543. [Google Scholar] [CrossRef]
- Su, Z.; Zhang, T.; Guo, W.; Yue, J.; Zhang, H.; Fan, W.; Sun, X.; Huang, K. Investigation of armature capture effect on synchronous induction coilgun. IEEE Trans. Plasma Sci. 2015, 43, 1215–1219. [Google Scholar] [CrossRef]












Publisher’s Note: MDPI stays neutral with regard to jurisdictional claims in published maps and institutional affiliations. |
© 2021 by the authors. Licensee MDPI, Basel, Switzerland. This article is an open access article distributed under the terms and conditions of the Creative Commons Attribution (CC BY) license (http://creativecommons.org/licenses/by/4.0/).
Share and Cite
Vertelis, V.; Balevicius, S.; Stankevic, V.; Zurauskiene, N.; Schneider, M. The Application of a CMR-B-Scalar Sensor for the Investigation of the Electromagnetic Acceleration of Type II Superconductors. Sensors 2021, 21, 1293. https://doi.org/10.3390/s21041293
Vertelis V, Balevicius S, Stankevic V, Zurauskiene N, Schneider M. The Application of a CMR-B-Scalar Sensor for the Investigation of the Electromagnetic Acceleration of Type II Superconductors. Sensors. 2021; 21(4):1293. https://doi.org/10.3390/s21041293
Chicago/Turabian StyleVertelis, Vilius, Saulius Balevicius, Voitech Stankevic, Nerija Zurauskiene, and Markus Schneider. 2021. "The Application of a CMR-B-Scalar Sensor for the Investigation of the Electromagnetic Acceleration of Type II Superconductors" Sensors 21, no. 4: 1293. https://doi.org/10.3390/s21041293
APA StyleVertelis, V., Balevicius, S., Stankevic, V., Zurauskiene, N., & Schneider, M. (2021). The Application of a CMR-B-Scalar Sensor for the Investigation of the Electromagnetic Acceleration of Type II Superconductors. Sensors, 21(4), 1293. https://doi.org/10.3390/s21041293

