A Dynamic Threshold Cancellation Technique for a High-Power Conversion Efficiency CMOS Rectifier
Abstract
:1. Introduction
2. CMOS Rectifiers
2.1. Passive Rectifiers
2.2. Active Rectifiers
2.3. Threshold Cancellation Topologies
3. Design Implementation
3.1. Negative Voltage Converter
3.2. Active Diode
3.3. Threshold Cancellation Circuit
4. Results and Discussion
4.1. Transient Behavior
4.2. Reverse Leakage Current Analysis
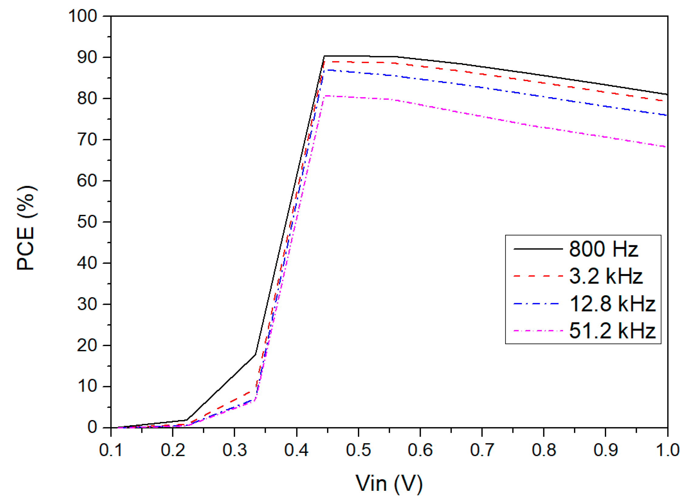
4.3. Power Efficiency
5. Conclusions
Author Contributions
Funding
Institutional Review Board Statement
Informed Consent Statement
Data Availability Statement
Acknowledgments
Conflicts of Interest
References
- Adu-Manu, K.S.; Adam, N.; Tapparello, C.; Ayatollahi, H.; Heinzelman, W. Energy-harvesting wireless sensor networks (EH-WSNs) A review. ACM Trans. Sens. Netw. 2018, 14, 1–50. [Google Scholar] [CrossRef]
- Dong, L.; Closson, A.B.; Jin, C.; Trase, I.; Chen, Z.; Zhang, J.X.J. Vibration-Energy-Harvesting System: Transduction Mechanisms, Frequency Tuning Techniques, and Biomechanical Applications. Adv. Mater. Technol. 2019, 4, 1900177. [Google Scholar] [CrossRef] [PubMed]
- Iqbal, M.; Nauman, M.M.; Khan, F.U.; Abas, P.E.; Cheok, Q.; Iqbal, A.; Aissa, B. Vibration-based piezoelectric, electromagnetic, and hybrid energy harvesters for microsystems applications: A contributed review. Int. J. Energy Res. 2021, 45, 65–102. [Google Scholar] [CrossRef]
- Toshiyoshi, H.; Ju, S.; Honma, H.; Ji, C.-H.; Fujita, H. MEMS vibrational energy harvesters. Sci. Technol. Adv. Mater. 2019, 20, 124–143. [Google Scholar] [CrossRef] [PubMed] [Green Version]
- Guyomar, D.; Jayet, Y.; Petit, L.; Lefeuvre, E.; Monnier, T.; Richard, C.; Lallart, M. Synchronized switch harvesting applied to selfpowered smart systems: Piezoactive microgenerators for autonomous wireless transmitters. Sens. Actuators A Phys. 2007, 138, 151–160. [Google Scholar] [CrossRef]
- Li, P.; Wen, Y.; Jia, C.; Li, X. A magnetoelectric composite energy harvester and power management circuit. IEEE Trans. Ind. Electron. 2010, 58, 2944–2951. [Google Scholar] [CrossRef]
- Dell’Anna, F.; Dong, T.; Li, P.; Wen, Y.; Yang, Z.; Casu, M.R.; Azadmehr, M.; Berg, Y. State-of-the-Art Power Management Circuits for Piezoelectric Energy Harvesters. IEEE Circ. Syst. Mag. 2018, 18, 27–48. [Google Scholar] [CrossRef]
- Li, Q.; Wang, J.; Ding, L.; Inoue, Y. A wide input amplitude range, highly efficient rectifier for low power energy harvesting systems. Nonlinear Theory Its Appl. IEICE 2014, 5, 499–511. [Google Scholar] [CrossRef] [Green Version]
- Oh, T.; Islam, S.K.; Mahfouz, M.; To, G. A low-power CMOS piezoelectric transducer based energy harvesting circuit for wearable sensors for medical applications. J. Low Power Electron. Appl. 2017, 7, 33. [Google Scholar] [CrossRef] [Green Version]
- Gomez-Casseres, E.A.; Arbulu, S.M.; Franco, R.J.; Contreras, R.; Martinez, J. Comparison of passive rectifier circuits for energy harvesting applications. In Proceedings of the 2016 IEEE Canadian Conference on Electrical and Computer Engineering (CCECE), Vancouver, BC, Canada, 15–18 May 2016. [Google Scholar] [CrossRef]
- Panigrahi, A.; Sarania, S.; Brahma, R.G. A Low Voltage Rectifier for Piezo-Electric Energy Harvesting Designed in CMOS Technology. In Proceedings of the 2021 Devices for Integrated Circuit (DevIC), Kalyani, India, 19–20 May 2021; pp. 170–174. [Google Scholar] [CrossRef]
- Farrarons, J.C.; Miribel-Catala, P.; Saiz-Vela, A.; Vidal, M.P.; Samitier, J. Power-Conditioning Circuitry for a Self-Powered System Based on Micro PZT Generators in a 0.13-µm Low-Voltage Low-Power Technology. IEEE Trans. Ind. Electron. 2008, 55, 3249–3257. [Google Scholar] [CrossRef]
- Yeo, K.H.; Ali, S.H.M.; Menon, P.S.; Islam, S. Comparison of CMOS rectifiers for micropower energy harvesters. In Proceedings of the 2015 IEEE Conference on Energy Conversion (CENCON), Johor Bahru, Malaysia, 19–20 October 2015; Volume 2015, pp. 419–423. [Google Scholar] [CrossRef]
- Peters, C.; Spreemann, D.; Ortmanns, M.; Manoli, Y. A CMOS integrated voltage and power efficient AC/DC converter for energy harvesting applications. J. Micromechanics Microengineering 2008, 18, 104005. [Google Scholar] [CrossRef]
- Peters, C.; Handwerker, J.; Maurath, D.; Manoli, Y. A Sub-500 mV highly efficient active rectifier for energy harvesting applications. IEEE Trans. Circ. Syst. I Regul. Pap. 2011, 58, 1542–1550. [Google Scholar] [CrossRef]
- Niu, D.; Huang, Z.; Jiang, M. Paper A sub-0. 3V Highly Effic. CMOS 2012, 3, 405–416. [Google Scholar]
- Li, Q.; Wang, J.; Niu, D.; Inoue, Y. A Two-stage CMOS Integrated Highly Efficient Rectifier for Vibration Energy Harvesting Applications. J. Int. Counc. Electr. Eng. 2014, 4, 336–340. [Google Scholar] [CrossRef]
- Fouad, H. Performance optimization of energy harvesting solutions for 0.18um CMOS circuits in embedded electronics design. Cogent Eng. 2020, 7, 1772947. [Google Scholar] [CrossRef]
- Guo, S.; Lee, H. An Efficiency-Enhanced CMOS Rectifier With Unbalanced-Biased Comparators for Transcutaneous-Powered High-Current Implants. IEEE J. Solid-State Circ. 2009, 44, 1796–1804. [Google Scholar] [CrossRef]
- Chang, R.C.-H.; Chen, W.-C.; Hsiao, W.-C. A high-performance AC-DC rectifier with fully actively controlled switches for vibration energy harvesting. In Proceedings of the 2017 IEEE Wireless Power Transfer Conference (WPTC), Taipei, Taiwan, 10–12 May 2017; pp. 12–15. [Google Scholar] [CrossRef]
- Chang, R.C.-H.; Chen, W.-C.; Liu, L.; Cheng, S.-H. An AC–DC Rectifier With Active and Non-Overlapping Control for Piezoelectric Vibration Energy Harvesting. IEEE Trans. Circ. Syst. II Express Briefs 2019, 67, 969–973. [Google Scholar] [CrossRef]
- Kotani, K.; Ito, T. High efficiency CMOS rectifier circuit with self-Vth-cancellation and power regulation functions for UHF RFIDs. In Proceedings of the 2007 IEEE Asian Solid-State Circuits Conference, Jeju, Korea, 12–14 November 2007; pp. 119–122. [Google Scholar] [CrossRef]
- Kotani, K.; Ito, T. Self-Vth-cancellation high-efficiency CMOS rectifier circuit for UHF RFIDs. IEICE Trans. Electron. 2009, E92-C, 153–160. [Google Scholar] [CrossRef] [Green Version]
- Khan, S.; Choi, G. High-efficiency CMOS rectifier with minimized leakage and threshold cancellation features for low power bio-implants. Microelectron. J. 2017, 66, 67–75. [Google Scholar] [CrossRef]
- Hashemi, S.S.; Sawan, M.; Savaria, Y. A high-efficiency low-voltage CMOS rectifier for harvesting energy in implantable devices. IEEE Trans. Biomed. Circ. Syst. 2012, 6, 326–335. [Google Scholar] [CrossRef]
- Roy, K.; Mukhopadhyay, S.; Mahmoodi, H. Leakage current mechanisms and leakage reduction techniques in deep-submicrometer CMOS circuits. Proc. IEEE 2003, 91, 305–327. [Google Scholar] [CrossRef] [Green Version]
- Lee, S.-Y.; Liao, Z.-X.; Lee, C.-H. Energy-harvesting circuits with a high-efficiency rectifier and a low temperature coefficient bandgap voltage reference. IEEE Trans. Very Large Scale Integr. (VLSI) Syst. 2019, 27, 1760–1767. [Google Scholar] [CrossRef]
- Lakshmi, N.V.; Vinoth, G.; Binoj, J.; Manikandan, N. Design of high efficiency energy harvesting circuit using dual switching technique. Mater. Today Proc. 2021, 39, 725–730. [Google Scholar] [CrossRef]
- Din, A.U.; Kamran, M.; Mahmood, W.; Aurangzeb, K.; Altamrah, A.S.; Lee, J.-W. An efficient CMOS dual switch rectifier for piezoelectric energy-harvesting circuits. Electronics 2019, 8, 66. [Google Scholar] [CrossRef] [Green Version]
- Yuen, P.W.; Chong, G.C.; Ramiah, H. A high efficient dual-output rectifier for piezoelectric energy harvesting. AEU—Int. J. Electron. Commun. 2019, 111, 152922. [Google Scholar] [CrossRef]










| Unit Size (µm/µm) | Multiply Factor | |
|---|---|---|
| M1/2/3/4 | 100/0.13 | 100 |
| M5 | 100/0.13 | 50 |
| M6/7/10/11/13/14/16 | 0.28/0.13 | 1 |
| M7/9 | 20/0.13 | 1 |
| M11/12 | 0.34/0.13 | 1 |
Publisher’s Note: MDPI stays neutral with regard to jurisdictional claims in published maps and institutional affiliations. |
© 2021 by the authors. Licensee MDPI, Basel, Switzerland. This article is an open access article distributed under the terms and conditions of the Creative Commons Attribution (CC BY) license (https://creativecommons.org/licenses/by/4.0/).
Share and Cite
Godinho, A.; Yang, Z.; Dong, T.; Gonçalves, L.; Mendes, P.; Wen, Y.; Li, P.; Jiang, Z. A Dynamic Threshold Cancellation Technique for a High-Power Conversion Efficiency CMOS Rectifier. Sensors 2021, 21, 6883. https://doi.org/10.3390/s21206883
Godinho A, Yang Z, Dong T, Gonçalves L, Mendes P, Wen Y, Li P, Jiang Z. A Dynamic Threshold Cancellation Technique for a High-Power Conversion Efficiency CMOS Rectifier. Sensors. 2021; 21(20):6883. https://doi.org/10.3390/s21206883
Chicago/Turabian StyleGodinho, António, Zhaochu Yang, Tao Dong, Luís Gonçalves, Paulo Mendes, Yumei Wen, Ping Li, and Zhuangde Jiang. 2021. "A Dynamic Threshold Cancellation Technique for a High-Power Conversion Efficiency CMOS Rectifier" Sensors 21, no. 20: 6883. https://doi.org/10.3390/s21206883
APA StyleGodinho, A., Yang, Z., Dong, T., Gonçalves, L., Mendes, P., Wen, Y., Li, P., & Jiang, Z. (2021). A Dynamic Threshold Cancellation Technique for a High-Power Conversion Efficiency CMOS Rectifier. Sensors, 21(20), 6883. https://doi.org/10.3390/s21206883
