Band Selection for Dehazing Algorithms Applied to Hyperspectral Images in the Visible Range
Abstract
:1. Introduction
2. Spectral Hazy Image Database
3. Dehazing Methods
3.1. The Dark Channel Prior (DCP) Method
3.2. The Meng Method
3.3. The DehazeNet Method
3.4. The Berman Method
3.5. The CLAHE Method
3.6. The Luzón Method
3.7. The AMEF Method
3.8. The IDE Method
4. Image Quality Metrics
4.1. Peak Signal-to-Noise Ratio (PSNR)
4.2. Multi-Scale Structural Similarity (MS-SSIM)
4.3. Visual Information Fidelity (VIF)
4.4. Multi-Scale Improved Color Image Difference (MS-iCID)
4.5. Combined Metric for Dehazed Image Evaluation (CM-DIE)
5. Algorithm Parameter Selection and Brute Force Optimization
5.1. Algorithm Parameters
5.2. Brute-Force Band Optimization
6. Results and Discussion
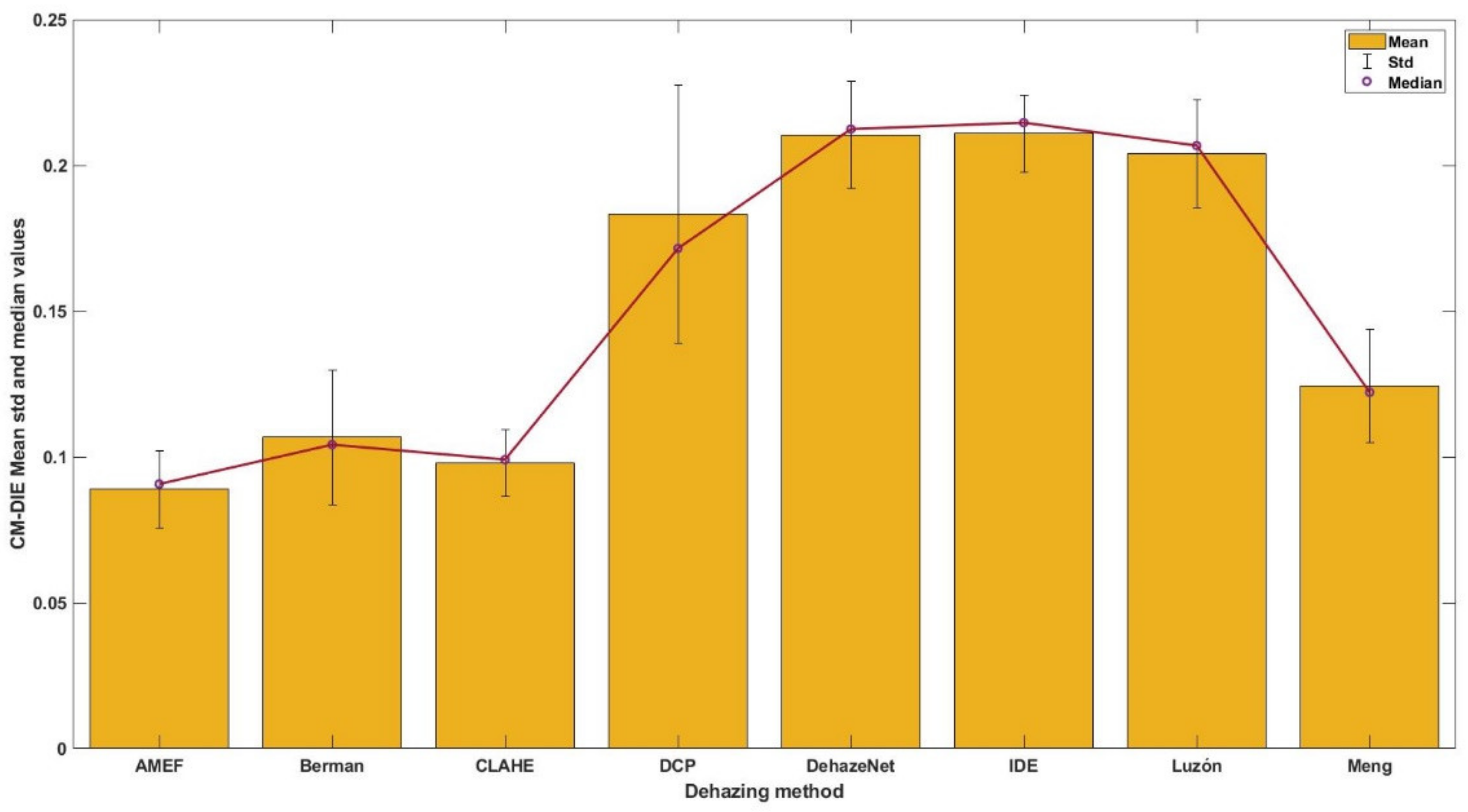
6.1. Quality Metrics for The Optimum Triplet Band for Each Dehazing Algorithm
6.2. Visualization of The Optimal Triplets
6.3. sRGB Rendering from The Spectral Image
7. Conclusions
Author Contributions
Funding
Institutional Review Board Statement
Informed Consent Statement
Data Availability Statement
Acknowledgments
Conflicts of Interest
References
- Petty, G.W. A First Course in Atmospheric Radiation; Sundog Publishing: Madison, WI, USA, 2006. [Google Scholar]
- Liou, K.-N. An Introduction to Atmospheric Radiation; Elsevier: Amsterdam, The Netherlands, 2002. [Google Scholar]
- Gomes, A.E.; Linhares, J.M.; Nascimento, S.M. Near perfect visual compensation for atmospheric color distortions. Color Res. Appl. 2020, 45, 837–845. [Google Scholar] [CrossRef]
- McCartney, E.J. Optics of the Atmosphere: Scattering by Molecules and Particles; John Wiley and Sons: New York, NY, USA, 1976. [Google Scholar]
- Martínez-Domingo, M.Á.; Valero, E.M.; Nieves, J.L.; Molina-Fuentes, P.J.; Romero, J.; Hernández-Andrés, J. Single Image Dehazing Algorithm Analysis with Hyperspectral Images in the Visible Range. Sensors 2020, 20, 6690. [Google Scholar] [CrossRef]
- Tarel, J.P.; Hautiere, N.; Cord, A.; Gruyer, D.; Halmaoui, H. Improved visibility of road scene images under heterogeneous fog. In Proceedings of the 2010 IEEE Intelligent Vehicles Symposium, La Jolla, CA, USA, 21–24 June 2010; pp. 478–485. [Google Scholar]
- Halmaoui, H.; Cord, A.; Hautière, N. Contrast restoration of road images taken in foggy weather. In Proceedings of the 2011 IEEE International Conference on Computer Vision Workshops (ICCV Workshops), Barcelona, Spain, 6–13 November 2011; pp. 2057–2063. [Google Scholar]
- Mehra, A.; Mandal, M.; Narang, P.; Chamola, V. ReViewNet: A Fast and Resource Optimized Network for Enabling Safe Autonomous Driving in Hazy Weather Conditions. IEEE Trans. Intell. Transp. Syst. 2020, 22, 4256–4266. [Google Scholar] [CrossRef]
- Jia, Z.; Wang, H.; Caballero, R.E.; Xiong, Z.; Zhao, J.; Finn, A. A two-step approach to see-through bad weather for surveillance video quality enhancement. In Proceedings of the 2011 IEEE International Conference on Robotics and Automation, Shanghai, China, 9–13 May 2011; pp. 5309–5314. [Google Scholar] [CrossRef]
- Cao, Z.; Qin, Y.; Jia, L.; Xie, Z.; Liu, Q.; Ma, X.; Yu, C. Haze Removal of Railway Monitoring Images Using Multi-Scale Residual Network. IEEE Trans. Intell. Transp. Syst. 2020. [Google Scholar] [CrossRef]
- Hajjami, J.; Napoléon, T.; Alfalou, A. Adaptation of Koschmieder dehazing model for underwater marker detection. In Pattern Recognition and Tracking XXXI; SPIE: Bellingham, WA, USA, 2020; p. 1140003. [Google Scholar]
- Ye, D.; Yang, R. Gradient Information-Orientated Colour-Line Priori Knowledge for Remote Sensing Images Dehazing. Sens. Imaging Int. J. 2020, 21, 1–17. [Google Scholar] [CrossRef]
- Makarau, A.; Richter, R.; Muller, R.; Reinartz, P. Haze Detection and Removal in Remotely Sensed Multispectral Imagery. IEEE Trans. Geosci. Remote. Sens. 2014, 52, 5895–5905. [Google Scholar] [CrossRef] [Green Version]
- Negru, M.; Nedevschi, S.; Peter, R.I. Exponential Contrast Restoration in Fog Conditions for Driving Assistance. IEEE Trans. Intell. Transp. Syst. 2015, 16, 2257–2268. [Google Scholar] [CrossRef]
- Hassan, H.; Bashir, A.K.; Ahmad, M.; Menon, V.G.; Afridi, I.U.; Nawaz, R.; Luo, B. Real-time image dehazing by superpixels segmentation and guidance filter. J. Real-Time Image Process. 2020, 1–21. [Google Scholar] [CrossRef]
- Cimtay, Y. Smart and real-time image dehazing on mobile devices. J. Real-Time Image Process. 2021, 1–10. [Google Scholar] [CrossRef]
- Xie, Z.; Li, Y.; Niu, J.; Shi, L.; Wang, Z.; Lu, G. Hyperspectral face recognition based on sparse spectral attention deep neural networks. Opt. Express 2020, 28, 36286–36303. [Google Scholar] [CrossRef]
- Puzović, S.; Petrović, R.; Pavlović, M.; Stanković, S. Enhancement Algorithms for Low-Light and Low-Contrast Images. In Proceedings of the 19th International Symposium INFOTEH-JAHORINA (INFOTEH), East Sarajevo, Bosnia and Herzegovina, 18–20 March 2020; pp. 1–6. [Google Scholar]
- Purohit, K.; Mandal, S.; Rajagopalan, A.N. Multilevel weighted enhancement for underwater image dehazing. J. Opt. Soc. Am. A 2019, 36, 1098–1108. [Google Scholar] [CrossRef]
- Wang, W.; Yuan, X. Recent advances in image dehazing. IEEE/CAA J. Autom. Sin. 2017, 4, 410–436. [Google Scholar] [CrossRef]
- Li, Y.; You, S.; Brown, M.S.; Tan, R.T. Haze visibility enhancement: A Survey and quantitative benchmarking. Comput. Vis. Image Underst. 2017, 165, 1–16. [Google Scholar] [CrossRef] [Green Version]
- Zhang, K.; Wu, C.; Miao, J.; Yi, L. Research About Using the Retinex-Based Method to Remove the Fog from the Road Traffic Video. ICTIS 2013 Improv. Multimodal Transp. Syst. Inf. Saf. Integr. 2013, 2013, 861–867. [Google Scholar] [CrossRef]
- Rong, Z.; Jun, W.L. Improved wavelet transform algorithm for single image dehazing. Optik 2014, 125, 3064–3066. [Google Scholar] [CrossRef]
- Verma, M.; Kaushik, V.D.; Pathak, V.K. An efficient deblurring algorithm on foggy images using curvelet transforms. In Proceedings of the Third International Symposium on Women in Computing and Informatics, Kochi, Kerala, India, 10–13 August 2015; pp. 426–431. [Google Scholar]
- Ju, M.; Ding, C.; Guo, Y.J.; Zhang, D. IDGCP: Image Dehazing Based on Gamma Correction Prior. IEEE Trans. Image Process. 2019, 29, 3104–3118. [Google Scholar] [CrossRef] [PubMed]
- Ju, M.; Ding, C.; Ren, W.; Yang, Y.; Zhang, D.; Guo, Y.J. IDE: Image Dehazing and Exposure Using an Enhanced Atmospheric Scattering Model. IEEE Trans. Image Process. 2021, 30, 2180–2192. [Google Scholar] [CrossRef] [PubMed]
- Feng, C.; Zhuo, S.; Zhang, X.; Shen, L.; Süsstrunk, S. Near-infrared guided color image dehazing. In Proceedings of the IEEE International Conference on Image Processing, Melbourne, Australia, 15–18 September 2013; pp. 2363–2367. [Google Scholar]
- Guo, F.; Zhao, X.; Tang, J.; Peng, H.; Liu, L.; Zou, B. Single image dehazing based on fusion strategy. Neurocomputing 2020, 378, 9–23. [Google Scholar] [CrossRef]
- Oakley, J.P.; Satherley, B.L. Improving image quality in poor visibility conditions using a physical model for contrast degradation. IEEE Trans. Image Process. 1998, 7, 167–179. [Google Scholar] [CrossRef]
- Zhang, X.; Jiang, R.; Wang, T.; Luo, W. Single Image Dehazing via Dual-Path Recurrent Network. IEEE Trans. Image Process. 2021, 30, 5211–5222. [Google Scholar] [CrossRef]
- Zhang, X.; Wang, T.; Wang, J.; Tang, G.; Zhao, L. Pyramid Channel-based Feature Attention Network for image dehazing. Comput. Vis. Image Underst. 2020, 197–198, 103003. [Google Scholar] [CrossRef]
- Deng, Z.; Zhu, L.; Hu, X.; Fu, C.-W.; Xu, X.; Zhang, Q.; Qin, J.; Heng, P.-A. Deep Multi-Model Fusion for Single-Image Dehazing. In Proceedings of the IEEE/CVF International Conference on Computer Vision, Seoul, Korea, 27–28 October 2019; pp. 2453–2462. [Google Scholar]
- Shao, Y.; Li, L.; Ren, W.; Gao, C.; Sang, N. Domain Adaptation for Image Dehazing. In Proceedings of the IEEE/CVF Conference on Computer Vision and Pattern Recognition, Seattle, WA, USA, 14–19 June 2020; pp. 2808–2817. [Google Scholar] [CrossRef]
- Narasimhan, S.G.; Nayar, S.K. Chromatic framework for vision in bad weather. In Proceedings of the IEEE Conference on Computer Vision and Pattern Recognition CVPR, Hilton Head Island, SC, USA, 13–15 June 2000; Volume 1, pp. 598–605. [Google Scholar]
- Xu, Z.; Liu, X.; Chen, X. Fog removal from video sequences using contrast limited adaptive histogram equalization. In Proceedings of the International Conference on Computational Intelligence and Software Engineering, Wuhan, China, 11–13 December 2009; pp. 1–4. [Google Scholar]
- Stark, J. Adaptive image contrast enhancement using generalizations of histogram equalization. IEEE Trans. Image Process. 2000, 9, 889–896. [Google Scholar] [CrossRef] [PubMed] [Green Version]
- Joshi, K.R.; Kamathe, R.S. Quantification of retinex in enhancement of weather degraded images. In Proceedings of the International Conference on Audio, Language and Image Processing, Shanghai, China, 7–9 July 2008; pp. 1229–1233. [Google Scholar] [CrossRef]
- Narasimhan, S.G.; Nayar, S.K. Contrast restoration of weather degraded images. IEEE Trans. Pattern Anal. Mach. Intell. 2003, 25, 713–724. [Google Scholar] [CrossRef] [Green Version]
- He, K.; Sun, J.; Tang, X. Single image haze removal using dark channel prior. IEEE Trans. Pattern Anal. Mach. Intell. 2010, 33, 2341–2353. [Google Scholar]
- Wang, W.; Yuan, X.; Wu, X.; Liu, Y. Dehazing for images with large sky region. Neurocomputing 2017, 238, 365–376. [Google Scholar] [CrossRef]
- el Khoury, J.; le Moan, S.; Thomas, J.-B.; Mansouri, A. Color and sharpness assessment of single image dehazing. Multimed. Tools Appl. 2018, 77, 15409–15430. [Google Scholar] [CrossRef]
- Luzón-González, R.; Nascimento, S.M.C.; Masuda, O.; Romero, J. Chromatic losses in natural scenes with viewing distance. Color Res. Appl. 2013, 39, 341–346. [Google Scholar] [CrossRef]
- Berman, D.; Avidan, S. Non-local image dehazing. In Proceedings of the IEEE Conference on Computer Vision and Pattern Recognition, Las Vegas, NV, USA, 27–30 June 2016; pp. 1674–1682. [Google Scholar]
- Wang, Z.; Simoncelli, E.; Bovik, A. Multiscale structural similarity for image quality assessment. In Proceedings of the The Thrity-Seventh Asilomar Conference on Signals, Systems & Computers, Pacific Grove, CA, USA, 9–12 November 2003. [Google Scholar] [CrossRef] [Green Version]
- Sheikh, H.R.; Bovik, A.C. Image information and visual quality. IEEE Trans. Image Process. 2006, 15, 430–444. [Google Scholar] [CrossRef] [PubMed]
- Preiss, J.; Fernandes, F.; Urban, P. Color-Image Quality Assessment: From Prediction to Optimization. IEEE Trans. Image Process. 2014, 23, 1366–1378. [Google Scholar] [CrossRef]
- Narasimhan, S.G.; Wang, C.; Nayar, S.K. All the images of an outdoor scene. In European Conference on Computer Vision; Springer: Berlin/Heidelberg, Germany, 2002; pp. 148–162. [Google Scholar]
- CAVE | Software: WILD: Weather and Illumination Database. Available online: https://www.cs.columbia.edu/CAVE/software/wild/index.php (accessed on 1 January 2021).
- el Khoury, J.; Thomas, J.-B.; Mansouri, A. A color image database for haze model and dehazing methods evaluation. In International Conference on Image and Signal Processing; Springer: Berlin/Heidelberg, Germany, 2016; pp. 109–117. [Google Scholar]
- Lüthen, J.; Wörmann, J.; Kleinsteuber, M.; Steurer, J. A RGB/NIR Data Set For Evaluating Dehazing Algorithms. Electron. Imaging 2017, 2017, 79–87. [Google Scholar] [CrossRef]
- Ma, K.; Liu, W.; Wang, Z. Perceptual evaluation of single image dehazing algorithms. In Proceedings of the IEEE International Conference on Image Processing, Quebec City, Canada, 27–30 September 2015; pp. 3600–3604. [Google Scholar]
- Linhares, J.; Pinto, P.D.; Nascimento, S.M.C. The number of discernible colors in natural scenes. J. Opt. Soc. Am. A 2008, 25, 2918–2924. [Google Scholar] [CrossRef] [PubMed]
- Tarel, J.-P.; Hautiere, N.; Caraffa, L.; Cord, A.; Halmaoui, H.; Gruyer, D. Vision Enhancement in Homogeneous and Heterogeneous Fog. IEEE Intell. Transp. Syst. Mag. 2012, 4, 6–20. [Google Scholar] [CrossRef] [Green Version]
- Ancuti, C.; Ancuti, C.O.; de Vleeschouwer, C. D-hazy: A dataset to evaluate quantitatively dehazing algorithms. In Proceedings of the IEEE International Conference on Image Processing (ICIP), Phoenix, AZ, USA, 25–28 September 2016; pp. 2226–2230. [Google Scholar]
- Cordts, M.; Omran, M.; Ramos, S.; Rehfeld, T.; Enzweiler, M.; Benenson, R.; Franke, U.; Roth, S.; Schiele, B. The cityscapes dataset for semantic urban scene understanding. In Proceedings of the IEEE Conference on Computer Vision and Pattern Recognition, Las Vegas, NV, USA, 27–30 June 2016; pp. 3213–3223. [Google Scholar]
- Zhang, Y.; Ding, L.; Sharma, G. HazeRD: An outdoor scene dataset and benchmark for single image dehazing. In Proceedings of the IEEE International Conference on Image Processing (ICIP), Beijing, China, 17–20 September 2017; pp. 3205–3209. [Google Scholar] [CrossRef]
- Sakaridis, C.; Dai, D.; Hecker, S.; van Gool, L. Model adaptation with synthetic and real data for semantic dense foggy scene understanding. In Proceedings of the European Conference on Computer Vision (ECCV), Munich, Germany, 8–14 September 2018; pp. 687–704. [Google Scholar]
- Liu, F.; Shen, C.; Lin, G.; Reid, I. Learning Depth from Single Monocular Images Using Deep Convolutional Neural Fields. IEEE Trans. Pattern Anal. Mach. Intell. 2015, 38, 2024–2039. [Google Scholar] [CrossRef] [Green Version]
- Li, B.; Ren, W.; Fu, D.; Tao, D.; Feng, D.; Zeng, W.; Wang, Z. Benchmarking Single-Image Dehazing and Beyond. IEEE Trans. Image Process. 2018, 28, 492–505. [Google Scholar] [CrossRef] [PubMed] [Green Version]
- Ancuti, C.; Ancuti, C.O.; Timofte, R.; de Vleeschouwer, C. I-HAZE: A dehazing benchmark with real hazy and haze-free indoor images. In Proceedings of the International Conference on Advanced Concepts for Intelligent Vision Systems, Auckland, New Zealand, 10–14 February 2018; pp. 620–631. [Google Scholar]
- Ancuti, C.O.; Ancuti, C.; Timofte, R.; de Vleeschouwer, C. O-haze: A dehazing benchmark with real hazy and haze-free outdoor images. In Proceedings of the IEEE Conference on Computer Vision and Pattern Recognition Workshops, Salt Lake City, UT, USA, 18–22 June 2018; pp. 754–762. [Google Scholar]
- Ancuti, C.O.; Ancuti, C.; Sbert, M.; Timofte, R. Dense-haze: A benchmark for image dehazing with dense-haze and haze-free images. In Proceedings of the IEEE International Conference on Image Processing (ICIP), Taipei, Taiwan, 22–25 September 2019; pp. 1014–1018. [Google Scholar]
- Ancuti, C.O.; Ancuti, C.; Timofte, R. NH-HAZE: An image dehazing benchmark with non-homogeneous hazy and haze-free images. In Proceedings of the IEEE/CVF Conference on Computer Vision and Pattern Recognition Workshops, Seattle, WA, USA, 14–19 June 2020; pp. 444–445. [Google Scholar]
- el Khoury, J.; Thomas, J.-B.; Mansouri, A. A Spectral Hazy Image Database. In Proceedings of the International Conference on Image and Signal Processing, Marrakech, Morocco, 4–6 June 2020; pp. 44–53. [Google Scholar]
- Meng, G.; Wang, Y.; Duan, J.; Xiang, S.; Pan, C. Efficient Image Dehazing with Boundary Constraint and Contextual Regularization. In Proceedings of the IEEE International Conference on Computer Vision, Sydney, Australia, 1–8 December 2013; pp. 617–624. [Google Scholar] [CrossRef]
- Cai, B.; Xu, X.; Jia, K.; Qing, C.; Tao, D. DehazeNet: An End-to-End System for Single Image Haze Removal. IEEE Trans. Image Process. 2016, 25, 5187–5198. [Google Scholar] [CrossRef] [Green Version]
- Xu, Z.; Liu, X.; Ji, N. Fog Removal from Color Images using Contrast Limited Adaptive Histogram Equalization. In Proceedings of the 2nd International Congress on Image and Signal Processing, Tianjin, China, 17–19 October 2009; pp. 1–5. [Google Scholar]
- Romero, J.; Partal, D.; Nieves, J.L.; Hernández-Andrés, J. Sensor-response-ratio constancy under changes in natural and artificial illuminants. Color Res. Appl. 2007. 32, 284–292. [CrossRef]
- Galdran, A. Image dehazing by artificial multiple-exposure image fusion. Signal Process. 2018, 149, 135–147. [Google Scholar] [CrossRef]
- Bianco, S.; Celona, L.; Piccoli, F.; Schettini, R. High-resolution single image dehazing using encoder-decoder architecture. In Proceedings of the IEEE/CVF Conference on Computer Vision and Pattern Recognition Workshops, Long Beach, CA, USA, 16–17 June 2019; pp. 1927–1935. [Google Scholar] [CrossRef]
- Bianco, S.; Celona, L.; Piccoli, F. Single Image Dehazing by Predicting Atmospheric Scattering Parameters. In Proceedings of the London Imaging Meeting Society for Imaging Science and Technology, London, UK, 29 September–1 October 2020; pp. 74–77. [Google Scholar]
- Pizer, S.M.; Amburn, E.P.; Austin, J.D.; Cromartie, R.; Geselowitz, A.; Greer, T.; Romeny, B.T.H.; Zimmerman, J.B.; Zuiderveld, K. Adaptive histogram equalization and its variations. Comput. Vision Graph. Image Process. 1987, 39, 355–368. [Google Scholar] [CrossRef]
- Luzón-González, R.; Nieves, J.L.; Romero, J. Recovering of weather degraded images based on RGB response ratio constancy. Appl. Opt. 2015, 54, B222–B231. [Google Scholar] [CrossRef] [PubMed] [Green Version]
- Zhang, L.; Shen, Y.; Li, H. VSI: A Visual Saliency-Induced Index for Perceptual Image Quality Assessment. IEEE Trans. Image Process. 2014, 23, 4270–4281. [Google Scholar] [CrossRef] [PubMed] [Green Version]
- Zhang, L.; Zhang, L.; Mou, X.; Zhang, D. FSIM: A feature similarity index for image quality assessment. IEEE Trans. Image Process. 2011, 20, 2378–2386. [Google Scholar] [CrossRef] [PubMed] [Green Version]
- Hautière, N.; Tarel, J.-P.; Aubert, D.; Dumont, E. Blind Contrast Enhancement Assessment by Gradient Ratioing at Visible Edges. Image Anal. Ster. 2008, 27, 87–95. [Google Scholar] [CrossRef]
- Fang, S.; Yang, J.; Zhan, J.; Yuan, H.; Rao, R. Image quality assessment on image haze removal. In Proceedings of the Chinese Control and Decision Conference (CCDC), Mianyang, China, 23–25 May 2011; pp. 610–614. [Google Scholar]
- Guo, F.; Tang, J.; Cai, Z.-X. Objective measurement for image defogging algorithms. J. Central South Univ. 2014, 21, 272–286. [Google Scholar] [CrossRef]
- Choi, L.K.; You, J.; Bovik, A.C. Referenceless prediction of perceptual fog density and perceptual image defogging. IEEE Trans. Image Process. 2015, 24, 3888–3901. [Google Scholar] [CrossRef]
- Mittal, A.; Soundararajan, R.; Bovik, A.C. Making a “completely blind” image quality analyzer. IEEE Signal Process. Lett. 2012, 20, 209–212. [Google Scholar] [CrossRef]
- Johnson, D.H. Signal-to-noise ratio. Scholarpedia 2006, 1, 2088. [Google Scholar] [CrossRef]
- Grillini, F.; Thomas, J.B.; George, S. Comparison of Imaging Models for Spectral Unmixing in Oil Painting. Sensors 2021, 21, 2471. [Google Scholar] [CrossRef] [PubMed]
- Wang, Z.; Bovik, A.C.; Sheikh, H.R.; Simoncelli, E.P. Image quality assessment: From error visibility to structural similarity. IEEE Trans. Image Process. 2004, 13, 600–612. [Google Scholar] [CrossRef] [Green Version]
- Wang, Z.; Bovik, A.C.; Lu, L. Why is image quality assessment so difficult? In Proceedings of the 2002 IEEE International Conference on Acoustics, Speech, and Signal Processing, Orlando, FL, USA, 13–17 May 2002; Volume 4, pp. 3313–3316. [Google Scholar]
- Khoury, J. Model and Quality Assessment of Single Image Dehazing. Ph.D. Thesis, Université de Bourgogne, Franche-Comté, France, 2016. [Google Scholar]
- Lissner, I.; Preiss, J.; Urban, P.; Lichtenauer, M.S.; Zolliker, P. Image-difference prediction: From grayscale to color. IEEE Trans. Image Process. 2012, 22, 435–446. [Google Scholar] [CrossRef] [PubMed]
- Stokes, M. A Standard Default Color Space for the Internet—sRGB. 1996. Available online: http://www.color.org/contrib/sRGB.html (accessed on 1 March 2021).
- Ye, P.; Kumar, J.; Kang, L.; Doermann, D. Unsupervised feature learning framework for no-reference image quality assessment. In Proceedings of the 2012 IEEE Conference on Computer Vision and Pattern Recognition, Providence, RI, USA, 6–21 June 2012; pp. 1098–1105. [Google Scholar]
- Woolson, R.F. Wilcoxon signed-rank test. In Wiley Encyclopedia of Clinical Trials; Wiley: Hoboken, NJ, USA, 2007; pp. 1–3. [Google Scholar] [CrossRef]




| Method | Mean Value (std) | Range | Best Value Triplet (nm) | Mean Value (std) | |||
|---|---|---|---|---|---|---|---|
| CM-DIE | R-G-B | PSNR [81] | MS-SSIM [46] | VIF [47] | MS-iCiD [48] | ||
| DCP [39] | 0.186 (0.045) | 0.015–0.341 | 710–530–450 | 14.901 (0.989) | 0.856 (0.043) | 1.370 (0.106) | 0.165 (0.033) |
| Meng [65] | 0.126 (0.020) | 0.061–0.174 | 530–490–450 | 24.753 (1.346) | 0.921 (0.011) | 0.752 (0.082) | 0.146 (0.030) |
| DehazeNet [66] | 0.216 (0.018) | 0.133–0.255 | 530–490–450 | 26.017 (1.461) | 0.896 (0.021) | 0.387 (0.026) | 0.207 (0.036) |
| Berman [43] | 0.108 (0.024) | 0.059–0.249 | 560–510–450 | 25.378 (2.260) | 0.924 (0.014) | 0.885 (0.136) | 0.140 (0.028) |
| CLAHE [67] | 0.098 (0.012) | 0.064–0.124 | 710–650–610 | 27.515 (1.259) | 0.929 (0.003) | 1.114 (0.047) | 0.137 (0.031) |
| Luzón [68] | 0.209 (0.019) | 0.128–0.236 | 530–490–450 | 25.632 (1.489) | 0.897 (0.021) | 0.412 (0.017) | 0.201 (0.033) |
| AMEF [69] | 0.089 (0.013) | 0.048–0.119 | 550–490–450 | 27.086 (1.501) | 0.931 (0.010) | 0.895 (0.045) | 0.115 (0.018) |
| IDE [26] | 0.211 (0.016) | 0.137–0.238 | 530–490–450 | 24.679 (1.551) | 0.894 (0.021) | 0.399 (0.014) | 0.211 (0.032) |
| Method | Mean Runtime (s) | Standard Deviation (s) |
|---|---|---|
| DCP [39] | 64.684 | 2.790 |
| Meng [65] | 3.621 | 0.114 |
| DehazeNet [66] | 6.506 | 0.362 |
| Berman [43] | 4.169 | 0.182 |
| CLAHE [67] | 0.537 | 0.034 |
| Luzón [68] | 0.083 | 0.009 |
| AMEF [69] | 1.871 | 0.106 |
| IDE [26] | 5.173 | 0.147 |
| Method | PSNR [81] | CM-DIE | MS-SSIM [46] | VIF [47] | MS-iCiD [48] |
|---|---|---|---|---|---|
| DCP [39] | 8.638 | 0.145 | 0.931 | 0.736 | 0.224 |
| Meng [65] | 11.084 | 0.134 | 0.941 | 0.691 | 0.183 |
| DehazeNet [66] | 25.836 | 0.191 | 0.931 | 0.297 | 0.165 |
| Berman [43] | 26.388 | 0.202 | 0.926 | 0.263 | 0.173 |
| CLAHE [67] | 27.818 | 0.128 | 0.939 | 0.651 | 0.141 |
| Luzón [68] | 11.761 | 0.168 | 0.932 | 0.450 | 0.164 |
| AMEF [69] | 12.671 | 0.127 | 0.949 | 0.632 | 0.149 |
| IDE [26] | 10.553 | 0.131 | 0.951 | 0.711 | 0.200 |
Publisher’s Note: MDPI stays neutral with regard to jurisdictional claims in published maps and institutional affiliations. |
© 2021 by the authors. Licensee MDPI, Basel, Switzerland. This article is an open access article distributed under the terms and conditions of the Creative Commons Attribution (CC BY) license (https://creativecommons.org/licenses/by/4.0/).
Share and Cite
Fernández-Carvelo, S.; Martínez-Domingo, M.Á.; Valero, E.M.; Romero, J.; Nieves, J.L.; Hernández-Andrés, J. Band Selection for Dehazing Algorithms Applied to Hyperspectral Images in the Visible Range. Sensors 2021, 21, 5935. https://doi.org/10.3390/s21175935
Fernández-Carvelo S, Martínez-Domingo MÁ, Valero EM, Romero J, Nieves JL, Hernández-Andrés J. Band Selection for Dehazing Algorithms Applied to Hyperspectral Images in the Visible Range. Sensors. 2021; 21(17):5935. https://doi.org/10.3390/s21175935
Chicago/Turabian StyleFernández-Carvelo, Sol, Miguel Ángel Martínez-Domingo, Eva M. Valero, Javier Romero, Juan Luis Nieves, and Javier Hernández-Andrés. 2021. "Band Selection for Dehazing Algorithms Applied to Hyperspectral Images in the Visible Range" Sensors 21, no. 17: 5935. https://doi.org/10.3390/s21175935
APA StyleFernández-Carvelo, S., Martínez-Domingo, M. Á., Valero, E. M., Romero, J., Nieves, J. L., & Hernández-Andrés, J. (2021). Band Selection for Dehazing Algorithms Applied to Hyperspectral Images in the Visible Range. Sensors, 21(17), 5935. https://doi.org/10.3390/s21175935

