A Framework for Maternal Physical Activities and Health Monitoring Using Wearable Sensors
Abstract
1. Introduction
- As gravidity is a special body condition both medically and physically [17,18], we did not use the data of normal people to train the supervised machine learning algorithm for the activity recognition of gravidas. Instead, we collected a novel dataset of 10 physical activities from 61 gravidas who were at various stages of gravidity.
- We performed features extraction on the acquired data using various statistical measures from both time and frequency domains.
- For the physical activity recognition on the novel dataset, we evaluated several classifiers and selected the one that gave the best cumulative result.
- We provide Raspberry-PI- and GSM-based real-time activities and health monitoring of gravida to avoid unfavorable situations in case of emergency.
2. Literature Review
- Sensors used for the collection of data.
- Sensors placement on the body.
- Features vector construction from sensors data.
- Classification algorithms.
2.1. Sensors for PAR
2.2. Sensors Placement on Various Body Parts
2.3. Features Extraction from Sensors Data
2.4. Classification Algorithms for PAR
3. Data Set Description
4. The Proposed Maternal Physical Activities Recognition (MPAR) Framework
- Sensors module and data acquisition
- Sampling and features extraction
- Activity recognition
- Monitoring
4.1. Sensors Module and Data Acquisition
4.2. Sampling and Features Extraction
4.3. Activity Recognition via Supervised Machine Learning (Classification)
4.4. Monitoring
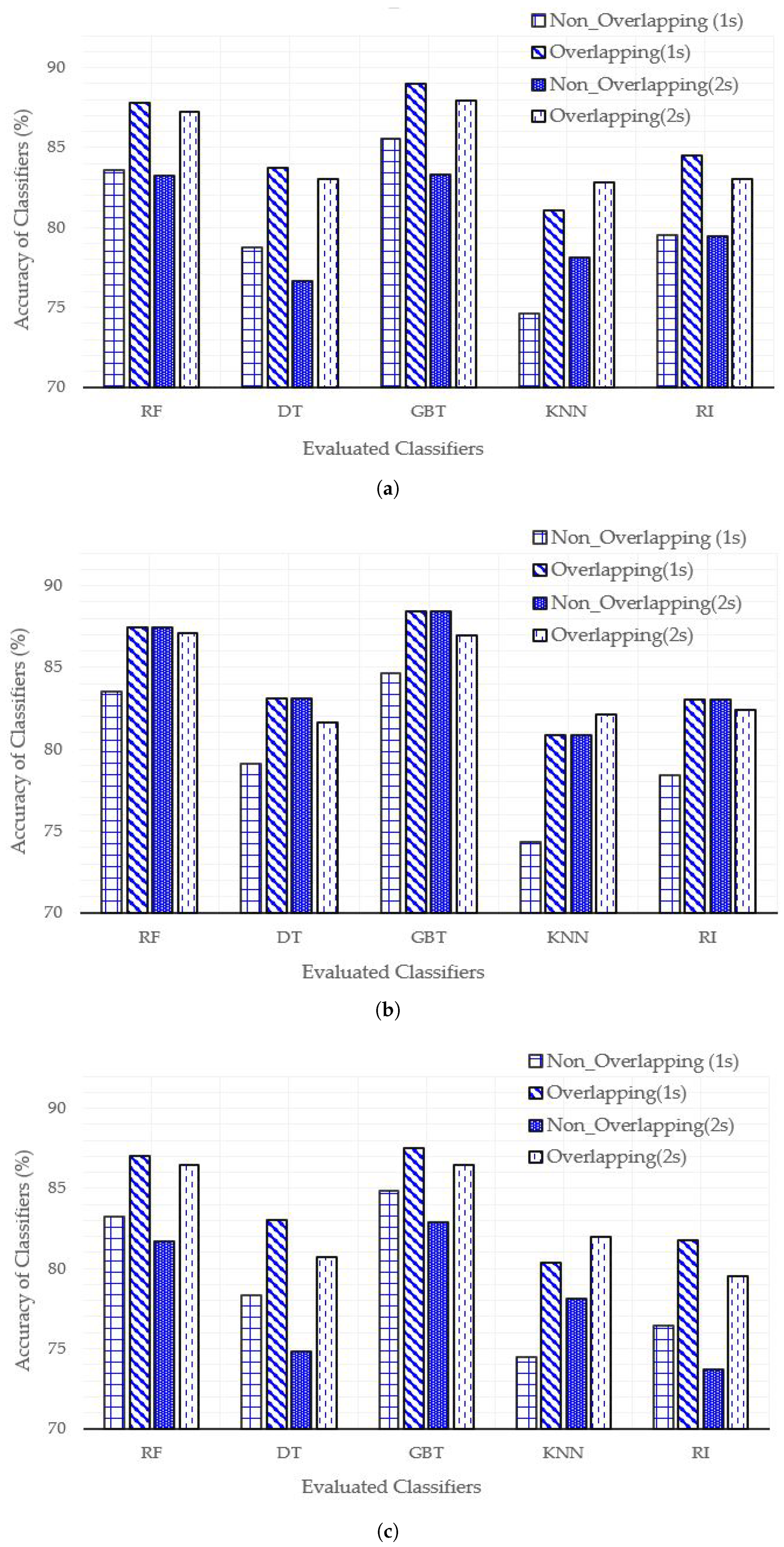
5. Results and Discussion
- Sampling window size (overlapped and non-overlapped)
- Train and test split
- Type of classifier
- The sampling overlapped window of one second performs best in most of the cases except for KNN classifier.
- The overall recognition rate of 80–20% data split is better than the other two.
- The gradient boosted tree (GBT) classifier outperforms all the classifiers while KNN performs the worst of all.
- The highest accuracy of 89% is achieved by GBT where the train–test split is 90–10% and sampling overlapped window size is one second.
- The accuracy achieved by RF classifier is comparable to that of GBT in most of the cases. However, GBT has a higher computational complexity than RF, due to which we selected RF for the Raspberry Pi implementation.
- The overall performance comparison depicts that the tree-based classifiers achieve higher accuracy than other classification algorithms.
- The most recognized activity is front bending (MPA8), which is one of the most affecting physical activity during pregnancy. The best recognition rate achieved for this activity is almost 98% with the dataset split of 90–10.
- The least recognized activity is standing (MPA10) which is also the least important among the current list of activities.
- Side bending (MPA9) has greater confusion with the hand exercise (MPA4). Similarly, the standing activity (MPA10) has greater confusion with the hand exercise (MPA4). This is because the sensor module is installed at one hand wrist position and in all three activities there is little variation of linear and angular moments to perform these three activities.
- Stairs walk (up/down) (MPA1) is confused with walking (MPA7), which is very convincing because during pregnancy climbing up or down the stairs is done with extreme care. This makes the stair walk very similar to the normal walk and consequently, the classifier confuses them for most of the times.
- The physical activities where recognition rate is either equal to or higher than 90% are stairs Up/down (MPA1), cooking (MPA2), laying (MPA6), walking (MPA7), and front bending (MPA8).
- All other activities except for side bending (MPA9) and standing (MPA10) are recognized with a rate of more than 85%.
6. Conclusions and Future Works
Author Contributions
Funding
Institutional Review Board Statement
Informed Consent Statement
Data Availability Statement
Conflicts of Interest
References
- Bosems, S. A ubiquitous system for smart reasoning for well-being at home and at work. In Proceedings of the 2012 IEEE International Conference on Pervasive Computing and Communications Workshops (PERCOM Workshops), Lugano, Switzerland, 19–23 March 2012; pp. 534–535. [Google Scholar]
- Davenport, M.H.; McCurdy, A.P.; Mottola, M.F.; Skow, R.J.; Meah, V.L.; Poitras, V.J.; Garcia, A.J.; Gray, C.E.; Barrowman, N.; Riske, L.; et al. Impact of prenatal exercise on both prenatal and postnatal anxiety and depressive symptoms: A systematic review and meta-analysis. Br. J. Sports Med. 2018, 52, 1376–1385. [Google Scholar] [CrossRef] [PubMed]
- Reyes, L.M.; Davenport, M.H. Exercise as a therapeutic intervention to optimize fetal weight. Pharmacol. Res. 2018, 132, 160–167. [Google Scholar] [CrossRef] [PubMed]
- Perales, M.; Santos-Lozano, A.; Ruiz, J.R.; Lucia, A.; Barakat, R. Benefits of aerobic or resistance training during pregnancy on maternal health and perinatal outcomes: A systematic review. Early Hum. Dev. 2016, 94, 43–48. [Google Scholar] [CrossRef] [PubMed]
- Tobias, D.K.; Zhang, C.; Dam, R.M.V.; Bowers, K.; Hu, F.B. Physical activity before and during pregnancy and risk of gestational diabetes mellitus: A meta-analysis. Diabetes Care 2011, 34, 223–229. [Google Scholar] [CrossRef]
- Cedergren, M.I. Maternal morbid obesity and the risk of adverse pregnancy outcome. Obstet. Gynecol. 2004, 103, 219–224. [Google Scholar] [CrossRef]
- Sorensen, T.K.; Williams, M.A.; Lee, I.; Dashow, E.E.; Thompson, M.L.; Luthy, D.A. Recreational physical activity during pregnancy and risk of preeclampsia. Hypertension 2003, 41, 1273–1280. [Google Scholar] [CrossRef]
- Poudevigne, M.S.; O’Connor, P.J. A review of physical activity patterns in pregnant women and their relationship to psychological health. Sports Med. 2006, 36, 19–38. [Google Scholar] [CrossRef]
- Mottola, M.F.; Davenport, M.H.; Ruchat, S.; Davies, G.A.; Poitras, V.J.; Gray, C.E.; Garcia, A.J.; Barrowman, N.; Adamo, K.B.; Duggan, M.; et al. 2019 Canadian guideline for physical activity throughout pregnancy. Br. J. Sports Med. 2018, 52, 1339–1346. [Google Scholar] [CrossRef]
- Hinman, S.K.; Smith, K.B.; Quillen, D.M.; Smith, M.S. Exercise in pregnancy: A clinical review. Sports Health 2015, 7, 527–531. [Google Scholar] [CrossRef]
- Agha, S. A profile of women at the highest risk of maternal death in Pakistan. Health Policy Plan. 2014, 30, 830–836. [Google Scholar] [CrossRef][Green Version]
- Bougia, P.; Karvounis, E.; Ifotiadis, D. Smart medical textiles for monitoring pregnancy. In Smart Textiles for Medicine and Healthcare: Materials, Systems and Applications; CRC Press: Boca Raton, FL, USA, 2007; pp. 183–205. [Google Scholar]
- Clifton, L.A.; Clifton, D.A.; Pimentel, M.A.F.; Watkinson, P.J.; Tarassenko, L. Predictive monitoring of mobile patients by combining clinical observations with data from wearable sensors. IEEE J. Biomed. Health Inform. 2014, 18, 722–730. [Google Scholar] [CrossRef] [PubMed]
- Free, C.; Philipps, G. The effectiveness of mobile-health technology-based health behaviour change or disease management interventions for health care consumers: A systematic review. PLoS Med. 2013, 10, e1001362. [Google Scholar] [CrossRef]
- World Health Organization (WHO) Report. Available online: https://www.who.int/news-room/fact-sheets/detail/maternal-mortality (accessed on 23 July 2020).
- Shoaib, M.; Bosch, S.; Incel, O.D.; Scholten, H.; Havinga, P.J.M. Complex human activity recognition using smartphone and wrist-worn motion sensors. Sensors 2016, 16, 426. [Google Scholar] [CrossRef]
- Lopez, B.D.B.; Aguirre, J.A.A.; Coronado, D.A.R.; Gonzalez, P.A. Wearable technology model to control and monitor hypertension during pregnancy. In Proceedings of the 2018 13th Iberian Conference on Information Systems and Technologies (CISTI), Caceres, Spain, 13–16 June 2018; pp. 1–6. [Google Scholar]
- Penders, J.; Altini, M.; Hoof, C.V.; Dy, E. Wearable sensors for healthier pregnancies. Proc. IEEE 2015, 103, 179–191. [Google Scholar] [CrossRef]
- Cook, D.J.; Augusto, J.C.; Jakkula, V.R. Ambient intelligence: Technologies, applications, and opportunities. Pervasive Mob. Comput. 2009, 5, 277–298. [Google Scholar] [CrossRef]
- Amirjavid, F.; Spachos, P.; Plataniotis, K.N. 3-D object localization in smart homes: A distributed sensor and video mining approach. IEEE Syst. J. 2018, 12, 1307–1316. [Google Scholar] [CrossRef]
- Iqbal, A.; Ullah, F.; Anwar, H.; Kwak, K.S.; Imran, M.; Jamal, W.; ur Rahman, A. Interoperable Internet-of-Things platform for smart home system using Web-of-Objects and cloud. Sustain. Cities Soc. 2018, 38, 636–646. [Google Scholar] [CrossRef]
- Liang, Y.; Zhou, X.; Guo, B.; Yu, Z. Activity Recognition Using Ubiquitous Sensors: An Overview. In Wearable Technologies: Concepts, Methodologies, Tools, and Applications; IGI Global: Hershey, PA, USA, 2018; pp. 199–230. [Google Scholar]
- Zhu, S.; Xu, J.; Guo, H.; Liu, Q.; Wu, S.; Wang, H. Indoor Human Activity Recognition Based on Ambient Radar with Signal Processing and Machine Learning. In Proceedings of the 2018 IEEE International Conference on Communications (ICC), Kansas City, MO, USA, 20–24 May 2018; pp. 1–6. [Google Scholar]
- Ganguly, B.; Konar, A. Kinect Sensor Based Gesture Recognition for Surveillance Application. arXiv 2018, arXiv:1812.09595. [Google Scholar]
- Saeedi, S.; Moussa, A.; El-Sheimy, N. Context-aware personal navigation using embedded sensor fusion in smartphones. Sensors 2014, 14, 5742–5767. [Google Scholar] [CrossRef] [PubMed]
- Atienza, R.O. Deep Learning for Smartphone-Based Human Activity Recognition Using Multi-sensor Fusion. In Lecture Notes of the Institute for Computer Sciences, Social Informatics and Telecommunications Engineering, Proceedings of the Wireless Internet: 11th EAI International Conference, WiCON 2018, Taipei, Taiwan, 15–16 October 2018; Springer: Cham, Switzerland, 2019; p. 65. [Google Scholar]
- Guo, H.; Chen, L.; Chen, G.; Lv, M. Smartphones-based activity recognition independent of device orientation and placement. Int. J. Commun. Syst. 2016, 29, 2403–2415. [Google Scholar] [CrossRef]
- Wang, J.; Chen, Y.; Hao, S.; Peng, X.; Hu, L. Deep learning for sensor-based activity recognition: A survey. Pattern Recognit. Lett. 2019, 119, 3–11. [Google Scholar] [CrossRef]
- Zhang, M.; Sawchuk, A.A. USC-HAD: A daily activity dataset for ubiquitous activity recognition using wearable sensors. In Proceedings of the 2012 ACM Conference on Ubiquitous Computing, Pittsburgh, PA, USA, 5–8 September 2012; pp. 1036–1043. [Google Scholar]
- Attal, F.; Mohammed, S.; Dedabrishvili, M.; Chamroukhi, F.; Oukhellou, L.; Amirat, Y. Physical human activity recognition using wearable sensors. Sensors 2015, 15, 31314–31338. [Google Scholar] [CrossRef] [PubMed]
- Bao, L.; Intille, S.S. Activity recognition from user-annotated acceleration data. In Lecture Notes in Computer Science, Proceedings of the International Conference on Pervasive Computing, Linz/Vienna, Austria, 21–23 April 2004; Springer: Berlin/Heidelberg, Germay, 2004; pp. 1–17. [Google Scholar]
- Awais, M.; Chiari, L.; Ihlen, E.A.F.; Helbostad, J.L.; Palmerini, L. Physical Activity Classification for Elderly People in Free-Living Conditions. IEEE J. Biomed. Health Inform. 2019, 23, 197–207. [Google Scholar] [CrossRef]
- Sztyler, T.; Stuckenschmidt, H.; Petrich, W. Position-aware activity recognition with wearable devices. Pervasive Mob. Comput. 2017, 38, 281–295. [Google Scholar] [CrossRef]
- Atallah, L.; Lo, B.; King, R.; Yang, G.-Z. Sensor positioning for activity recognition using wearable accelerometers. IEEE Trans. Biomed. Circuits Syst. 2011, 5, 320–329. [Google Scholar] [CrossRef]
- Malaise, A.; Maurice, P.; Colas, F.; Charpillet, F.; Ivaldi, S. Activity Recognition with Multiple Wearable Sensors for Industrial Applications. In Proceedings of the Advances in Computer-Human Interactions, Rome, Italy, 25–29 March 2018. [Google Scholar]
- Uddin, M.Z. A wearable sensor-based activity prediction system to facilitate edge computing in smart healthcare system. J. Parallel Distrib. Comput. 2019, 123, 46–53. [Google Scholar] [CrossRef]
- Chowdhury, A.; Tjondronegoro, D.; Chandran, V.; Trost, S.G. Physical Activity Recognition Using Posterior-Adapted Class-Based Fusion of Multiaccelerometer Data. IEEE J. Biomed. Health Inform. 2018, 22, 678–685. [Google Scholar] [CrossRef]
- Mannini, A.; Sabatini, A.M.; Intille, S.S. Accelerometry-based recognition of the placement sites of a wearable sensor. Pervasive Mob. Comput. 2015, 21, 62–74. [Google Scholar] [CrossRef] [PubMed]
- Qi, J.; Yang, P.; Hanneghan, M.; Tang, S.; Zhou, B. A Hybrid Hierarchical Framework for Gym Physical Activity Recognition and Measurement Using Wearable Sensors. IEEE Internet Things J. 2018, 6, 1384–1393. [Google Scholar] [CrossRef]
- Ding, G.; Tian, J.; Wu, J.; Zhao, Q.; Xie, L. Energy efficient human activity recognition using wearable sensors. In Proceedings of the Wireless Communications and Networking Conference Workshops (WCNCW), Barcelona, Spain, 15–18 April 2018; pp. 379–383. [Google Scholar]
- Martinelli, A.; Morosi, S.; Re, E.D. Daily movement recognition for dead reckoning applications. In Proceedings of the 2015 International Conference on Indoor Positioning and Indoor Navigation (IPIN), Banff, AB, Canada, 13–16 October 2015; pp. 1–8. [Google Scholar]
- Liu, L.; Peng, Y.; Wang, S.; Liu, M.; Huang, Z. Complex activity recognition using time series pattern dictionary learned from ubiquitous sensors. Inf. Sci. 2016, 340, 41–57. [Google Scholar] [CrossRef]
- Wu, H.; Wang, D.; Huang, Q.; Gao, L. Real-time continuous recognition of knee motion using multi-channel mechanomyography signals detected on clothes. J. Electromyogr. Kinesiol. 2018, 38, 94–102. [Google Scholar] [CrossRef] [PubMed]
- Pannurat, N.; Thiemjarus, S.; Nantajeewarawat, E.; Anantavrasilp, I. Analysis of Optimal Sensor Positions for Activity Classification and Application on a Different Data Collection Scenario. Sensors 2017, 17, 774. [Google Scholar] [CrossRef]
- Ehatisham-ul-Haq, M.; Azam, M.A.; Loo, J.; Shuang, K.; Islam, S.; Naeem, U.; Amin, Y. Authentication of smartphone users based on activity recognition and mobile sensing. Sensors 2017, 17, 2043. [Google Scholar] [CrossRef] [PubMed]
- Zhu, J.; San-Segundo, R.; Pardo, J.M. Feature extraction for robust physical activity recognition. Hum. Centric Comput. Inf. Sci. 2017, 7, 16. [Google Scholar] [CrossRef]
- Iqbal, A.; Ullah, F.; Anwar, H.; Ur Rehman, A.; Shah, K.; Baig, A.; Kwak, K.S. Wearable Internet-of-Things platform for human activity recognition and health care. Int. J. Distrib. Sens. Netw. 2020, 16, 1550147720911561. [Google Scholar] [CrossRef]
- Siddiqui, U.A.; Ullah, F.; Iqbal, A.; Khan, A.; Ullah, R.; Paracha, S.; Shahzad, H.; Kwak, K.-S. Wearable-Sensors-Based Platform for Gesture Recognition of Autism Spectrum Disorder Children Using Machine Learning Algorithms. Sensors 2021, 21, 3319. [Google Scholar] [CrossRef]
- Lee, K.; Kwan, M.-P. Physical activity classification in free-living conditions using smartphone accelerometer data and exploration of predicted results. Comput. Environ. Urban Syst. 2018, 67, 124–131. [Google Scholar] [CrossRef]
- Yao, R.; Lin, G.; Shi, Q.; Ranasinghe, D.C. Efficient dense labelling of human activity sequences from wearables using fully convolutional networks. Pattern Recognit. 2018, 78, 252–266. [Google Scholar] [CrossRef]
- San-Segundo, R.; Blunck, H.; Moreno-Pimentel, J.; Stisen, A.; Gil-Martín, M. Robust Human Activity Recognition using smartwatches and smartphones. Eng. Appl. Artif. Intell. 2018, 72, 190–202. [Google Scholar] [CrossRef]
- Cherian, J.A. Recognition of Everyday Activities through Wearable Sensors and Machine Learning. Master’s Thesis, Texas A & M University, College Station, TX, USA, 2017. [Google Scholar]
- Köping, L.; Shirahama, K.; Grzegorzek, M. A general framework for sensor-based human activity recognition. Comput. Biol. Med. 2018, 95, 248–260. [Google Scholar] [CrossRef]
- Fiorini, L.; Bonaccorsi, M.; Betti, S.; Esposito, D.; Cavallo, F. Combining wearable physiological and inertial sensors with indoor user localization network to enhance activity recognition. J. Ambient. Intell. Smart Environ. 2018, 10, 345–357. [Google Scholar] [CrossRef]
- Kwon, M.-C.; Choi, S. Recognition of Daily Human Activity Using an Artificial Neural Network and Smartwatch. Wirel. Commun. Mob. Comput. 2018, 2018, 2618045. [Google Scholar] [CrossRef]
- Zheng, X.; Wang, M.; Ordieres-Meré, J. Comparison of Data Preprocessing Approaches for Applying Deep Learning to Human Activity Recognition in the Context of Industry 4.0. Sensors 2018, 18, 2146. [Google Scholar] [CrossRef] [PubMed]
- Cvetković, B.; Szeklicki, R.; Janko, V.; Lutomski, P.; Luštrek, M. Real-time activity monitoring with a wristband and a smartphone. Inf. Fusion 2018, 43, 77–93. [Google Scholar] [CrossRef]
- Twomey, N.; Diethe, T.; Fafoutis, X.; Elsts, A.; McConville, R.; Flach, P.; Craddock, I. A comprehensive study of activity recognition using accelerometers. Informatics 2018, 5, 27. [Google Scholar] [CrossRef]
- Gia, T.N.; Sarker, V.K.; Tcarenko, I.; Rahmani, A.M.; Westerlund, T.; Liljeberg, P.; Tenhunen, H. Energy efficient wearable sensor node for IoT-based fall detection systems. Microprocess. Microsyst. 2018, 56, 34–46. [Google Scholar]
- BlueZ and Apt-Get Tool Library. Available online: http://jaymoss.co.uk/wp-content/plugins/litespeed-cache/tpl/banner/john-logout-gcam/raspberry-pi-bluez-tutorial.html (accessed on 15 December 2019).
- Hall, M.; Frank, E.; Holmes, G.; Pfahringer, B.; Reutemann, P.; Witten, I.H. The WEKA data mining software: An update. ACM SIGKDD Explor. Newsl. 2009, 11, 10–18. [Google Scholar] [CrossRef]
- Guo, G.; Wang, H.; Bell, D.; Bi, Y.; Greer, K. KNN model-based approach in classification. In Lecture Notes in Computer Science, Proceedings of the OTM Confederated International Conferences, on the Move to Meaningful Internet Systems, Catania, Sicily, Italy, 3–7 November 2003; Springer: Berlin/Heidelberg, Germany, 2003; pp. 986–996. [Google Scholar]
- Breiman, L. Random forests. Mach. Learn. 2001, 45, 5–32. [Google Scholar] [CrossRef]
- Hamilton, H.J.; Cercone, N.; Shan, N. RIAC: A Rule Induction Algorithm Based on Approximate Classification; Computer Science Department, University of Regina: Regina, Canada, 1996. [Google Scholar]
- Ye, J.; Chow, J.-H.; Chen, J.; Zheng, Z. Stochastic gradient boosted distributed decision trees. In Proceedings of the 18th ACM Conference on Information and Knowledge Management, Hong Kong, China, 2–6 November 2009; pp. 2061–2064. [Google Scholar]







| S. No | Body-Worn Placement | Refs. |
|---|---|---|
| 1. | Head | [32,33] |
| 2. | Ear | [34] |
| 3. | Shoulder | [35] |
| 4. | Chest | [32,33,35,36] |
| 5. | Arm (Elbow) | [32,36] |
| 6. | Wrist | [32,37,38,39] |
| 7. | Waist(Hip) | [32,38,40,41,42] |
| 8. | Ankle | [34,37,38,40] |
| 9. | Foot | [40] |
| 10. | Knee | [34,43] |
| 11. | Thigh | [32,33,38] |
| 12. | Back | [35,43] |
| Refs. | Sensors | Activities | OL/NOL | Features Extracted |
|---|---|---|---|---|
| [45] | Accelerometer, Gyroscope, and Magnetometer | PA1, PA7, PA10, PA11, PA26 | NOL | Mean, Variance, Kurtosis Skewness Energy, Peak Signal Value, Maximum Latency, Peak-to-Peak Time, Peak-to-Peak Slope, Latency, Amplitude Ratio, Max. Amplitude, Min. Amplitude |
| [46] | accelerometer, gyroscope, magnetometer, quaternion | 33-activities:PA7, PA26, PA15, etc. | (66%) OL | Mean, STD, median absolute deviation, maximum and minimum value, signal magnitude area, coefficients of auto-regression, index of frequency with largest coefficient, values of frequency kurtosis and skewness etc. |
| [49] | Accelerometer | PA1, PA7, PA10, PA11, PA12 | (50%) OL, NOL | Mean, Binned range, Standard deviation, Time interval between local peaks, Correlation, Mean-dominant frequency, Mean energy of frequency |
| [50] | Accelerometer, Gyroscope | PA29 (Hand and Body Gestures) | (10, 30, 50, 60, 80)% OL | Convolutional Neural Network based Features |
| [51] | Accelerometer | PA1, PA7, PA10, PA11, PA24 | (50%) OL | mean value, standard deviation, median absolute deviation, largest value, smallest value, signal magnitude area, energy, interquartile range, entropy, auto regression coefficients |
| [52] | Accelerometer, Gyroscope | PA30, PA31, PA32, PA33, PA34, PA35 | (25%) OL | Entropy, Average, Standard Deviation, Number of Peaks , Number of Valleys |
| [53] | Accelerometer, gyro, Magneto, Heart rate, ECG | PA6, PA10, PA11, PA7, PA8, PA9, PA21, PA36, PA37, PA29 | (Variable size) OL | code-based features approach |
| Refs. | Physical Activities | Classifiers Performance Using Various Metrics |
|---|---|---|
| [54] | P29-(8 different activities) | SVM: 99.5%, Decision tree: 91.3% |
| [55] | PA1, PA2, PA14, PA28, PA7, PA13, etc. | Overall: 95%, DT: 83%, SVM: 84%, RF: 95%, ANN: 96% |
| [56] | PA1, PA27, PA6, PA12, P7, PA10 | ANN: 77%, KNN: 75%, RF: 89%, SVM: 78% |
| [57] | PA1, PA6, PA7, PA10, PA11, PA15, PA26, … | About 87 ± 5% for decision tree, SVM, decision rules, KNN, Naive bayes, and RF |
| [58] | PA1, PA6, PA7, PA10, PA11 | RF: 80%, MLP: 81% |
| Sensor | Sampling Frequency (Samples/Second) | Quantization Level |
|---|---|---|
| Gyroscope | 50 | 16-bit |
| Accelerometer | 50 | 16-bit |
| Temperature | 1 | 16-bit |
| Features Name (Number) | Equations | Description |
|---|---|---|
| Mean (4) | where N are total samples equal to the window size and is a sample point of sensor data | Mean/Average value calculation for 3D Accelerometer and temperature used to different between slow moving and fast moving activities. |
| Standard Deviation (3) | Find the spread in the accelerometer data around their mean. | |
| Cosine Similarity (3) | where and are the samples of accelerometer of x and y, respectively. | Find the cross-correlation in term of cosine similarity to differentiate between activities varying along with axis such as walking and stairs up/down. It is calculated between accelerometers x and y, x and z, and y and z. |
| Root Mean Square (RMS) (3) | where is sample of x-axis gyroscope. | Find the angular movement along x-axis, y-axis, and z-axis, respectively. The is calculated for the gyroscope sensors only. |
| Skewness (3) | Skewness measures the degree of symmetry in the accelerometer data distribution. | |
| Kurtosis (3) | Kurtosis measures the degree of tailedness in the accelerometer data distribution. | |
| Max value (3) | Calculate the maximum value of accelerometer | |
| Min value (3) | Calculate the minimum value of accelerometer | |
| Zero crossing (3) | Zero-Crossing is the number of times the signals crosses zero and its sign is changed.we consider ZC for the accelerometer along three axes. | |
| Frequency Domain Features (6) | In this paper, we consider six frequency domain features based on the Fast Fourier Transform (FFT) of acceleration data. The six features are the FFT magnitude: , , ,, , and . | |
| Entropy (3) | Used for differentiation between activities of static and dynamic nature. | |
| Quartile Range (3) | We find the first quartile (Q1), and it is defined as the middle number between the smallest number and the median of the sample data. | |
| Absolute Time Difference between Peaks (3) | It is calculated by taking absolute difference of time instance of maximum and minimum peak. |
| Classifier Type | WEKA Configuration | Abbreviation |
|---|---|---|
| K-Nearest Neighbors [62] | K = 1, Distance = Manhattan | KNN |
| Decision Tree [48] | Tree max depth = 50 | J48 |
| Random Forest [63] | No. of tress = 100 | RF |
| Induction rules [64] | ratio of data for growing and pruning = 0.95 | IR |
| Gradient boosted trees [65] | No. of tress = 100, depth = 50 | GBT |
| Activity Name (Label) | Window Size = 1 & Non-Overlapping | Window Size = 1 & Overlapping | Window Size = 2 & Non-Overlapping | Window Size = 2 & Overlapping |
|---|---|---|---|---|
| Stairs Up/Down (MPA1) | 2217 | 3321 | 1052 | 1663 |
| Cooking (MPA2) | 1850 | 3082 | 1018 | 1542 |
| Eating (MPA3) | 1945 | 2929 | 968 | 1465 |
| Hands Exercise (MPA4) | 2997 | 5187 | 1574 | 2521 |
| Laundry (MPA5) | 1703 | 2566 | 849 | 1284 |
| Laying (MPA6) | 2025 | 3050 | 1009 | 1526 |
| Walking (MPA7) | 3411 | 5077 | 1720 | 2501 |
| Front Bending (MPA8) | 612 | 922 | 305 | 462 |
| Side Bending (MPA9) | 1908 | 3107 | 1087 | 1556 |
| Standing (MPA10) | 857 | 1472 | 427 | 736 |
Publisher’s Note: MDPI stays neutral with regard to jurisdictional claims in published maps and institutional affiliations. |
© 2021 by the authors. Licensee MDPI, Basel, Switzerland. This article is an open access article distributed under the terms and conditions of the Creative Commons Attribution (CC BY) license (https://creativecommons.org/licenses/by/4.0/).
Share and Cite
Ullah, F.; Iqbal, A.; Iqbal, S.; Kwak, D.; Anwar, H.; Khan, A.; Ullah, R.; Siddique, H.; Kwak, K.-S. A Framework for Maternal Physical Activities and Health Monitoring Using Wearable Sensors. Sensors 2021, 21, 4949. https://doi.org/10.3390/s21154949
Ullah F, Iqbal A, Iqbal S, Kwak D, Anwar H, Khan A, Ullah R, Siddique H, Kwak K-S. A Framework for Maternal Physical Activities and Health Monitoring Using Wearable Sensors. Sensors. 2021; 21(15):4949. https://doi.org/10.3390/s21154949
Chicago/Turabian StyleUllah, Farman, Asif Iqbal, Sumbul Iqbal, Daehan Kwak, Hafeez Anwar, Ajmal Khan, Rehmat Ullah, Huma Siddique, and Kyung-Sup Kwak. 2021. "A Framework for Maternal Physical Activities and Health Monitoring Using Wearable Sensors" Sensors 21, no. 15: 4949. https://doi.org/10.3390/s21154949
APA StyleUllah, F., Iqbal, A., Iqbal, S., Kwak, D., Anwar, H., Khan, A., Ullah, R., Siddique, H., & Kwak, K.-S. (2021). A Framework for Maternal Physical Activities and Health Monitoring Using Wearable Sensors. Sensors, 21(15), 4949. https://doi.org/10.3390/s21154949

