Abstract
Rotation modulation (RM) has been widely used in navigation systems to significantly improve the navigation accuracy of inertial navigation systems (INSs). However, the traditional single-axis rotation modulation cannot achieve the modulation of all the constant errors in the three directions; thus, it is not suitable for application in highly dynamic environments due to requirements for high precision in missiles. Aiming at the problems of error accumulation and divergence in the direction of rotation axis existing in the traditional single-axis rotation modulation, a novel rotation scheme is proposed. Firstly, the error propagation principle of the new rotation modulation scheme is analyzed. Secondly, the condition of realizing the error modulation with constant error is discussed. Finally, the original rotation modulation navigation algorithm is optimized for the new rotation modulation scheme. The experiment and simulation results show that the new rotation scheme can effectively modulate the error divergence of roll angle and improve the accuracy of roll angle by two orders of magnitude.
1. Introduction
As inertial navigation system (INS) has advantages of high autonomy, low cost, and small size, and it is widely used in a variety of ships, aerospace, vehicles, aircraft. However, the measurement errors of the inertial devices themselves introduced into the navigation solution cause the errors to accumulate over time [1,2,3,4]. Especially in the practical application of missile environment, long-term storage will lead to constant error drift, and the special application conditions determine that the IMU, which is mounted on the missile, cannot timely and accurately calibrate in advance [5]. RM technique is used to modulate the constant and slowly changing drift into sine/cosine form by periodically rotating one or more axes of the inertial navigation system [6]. Therefore, the introduction of RM can significantly improve navigation accuracy while meeting the high autonomous requirements of the missile environment [7]. With the development of research in recent years, the application of rotation modulation in high precision inertial navigation systems such as FOG has been relatively well established. However, research on navigation systems based on MEMS sensors is still in its infancy [8]. As MEMS has the characteristics of low cost and small volume, further research on the application of rotational modulation technology in MEMS navigation systems is of great significance for reducing the cost of high precision systems and improving the navigation accuracy of conventional missile-borne environments [9].
Rotary strapdown inertial navigation system based on its axis of rotation number can be divided into the single-shaft rotary strapdown inertial navigation system, the biaxial rotating strapdown inertial navigation system, and triaxial rotary strapdown inertial navigation system [8,10,11]. For these systems, a variety of inversion schemes can be designed. In the literature, gyroscopic measurements are used to control the rotation of the IMU, the angular motion of the modulation axis is isolated, and the measurement accuracy of single-axis rotation modulation is improved. At the same time, the strapdown algorithm is used to obtain the navigation information of various rotational modulation schemes [12,13]. Dual-axis rotation modulation can effectively suppress the constant error of three axes [14]. Many rotation schemes are designed for the system by periodically rotating alternately about the two axes, with positive and negative rotation about each axis, and with the motions of each axis being symmetric in space and time, in each rotation period [15]. Different rotation schemes are designed to minimize systematic errors. Various rotation modulation schemes designed for fiber optic gyroscope (FOG) have strong reference significance for MEMS inertial navigation [16,17]. However, compared with the fiber optic gyroscope, the MEMS sensor has a larger constant error and larger noise, and the error component is more complex [18]. The traditional rotary modulation method of fiber optic gyroscope directly applied to MEMS inertial system cannot adapt to a more complex application environment. This problem is an urgent problem and challenge to improve the accuracy of MEMS-based rotary modulation systems.
To solve this problem, the research based on MEMS rotary modulation system includes two aspects: rotation scheme and error analysis [19,20]. Different forms of rotation schemes are compared, according to which a single-axis continuous reciprocating rotation scheme shows better performance [21]. In order to further compensate for the error, the error characteristics of the single-axis rotation modulation system are analyzed, and the error modeling is carried out [22]. The error models of single-axis unidirectional continuous rotation, single-axis reciprocating rotation, and single-axis multiposition reciprocating rotation are analyzed and compared. The single-axis MEMS rotation modulation error is analyzed and compensated [23]. However, special requirements in highly dynamic environments are not considered [24]. In a highly dynamic environment, a novel rotation scheme is designed to compensate for the modulation angular rate instability in the high spin state [25]. After isolating the angular velocity of the projectile body, the accuracy of the inertial navigation system under a high rotation state is improved by uniaxial rotation modulation [26]. In terms of data processing, the existing particle filter, Rao–Blackwellised particle filter and extended Kalman filter (EKF) are not suitable for fast error compensation under highly dynamic conditions due to their long estimation time and complex calculation [27,28,29]. In highly dynamic environments, much research has been conducted on rotation modulation schemes and error compensation. However, the error of the modulation axis direction cannot be modulated by the traditional single-axis rotation modulation [30,31], and more importantly, the constant error of MEMS gyro is large, which results in the continuous accumulation of the error of the modulation axis, limiting the improvement of the navigation precision of the system [32,33]. This is the bottleneck that should be overcome to improve the accuracy of the system.
Since ammunition in highly dynamic environments is of small volume, low cost, high precision demand [34], this paper proposes a new compound rotating modulation scheme based on MEMS inertial sensor. The new solution preserves the small size of the traditional missile-borne single-axis rotating modulated MEMS inertial sensor and the simple control of the rotation scheme and reasonable modulation period, which is suitable for a high updating rate of data in a highly dynamic environment. Compared with the single-axis rotation modulation system, the new system inhibits the error accumulation and divergence in the axis of rotation modulation, and the attitude error of roll angle is reduced. Pitch angle attitude error is reduced. The yaw angle attitude error is reduced.
The rest of the paper is organized as follows: in Section 2, the principle and navigation algorithm of traditional single-axis rotation modulation are introduced. In Section 3, the RM scheme of the two-rotation mechanism is firstly proposed, then the rotation modulation theory of the two-rotation mechanism is discussed in detail, and the principle of the navigation solution of the new scheme is introduced. In Section 4, the effectiveness of the proposed monitoring method is verified through simulation and experiment. Finally, the conclusion is drawn in Section 5.
4. Simulation and Experimental Results and Analysis
4.1. Simulation Results of Rotary Modulation Scheme
4.1.1. Attitude Motion Simulation
In this section, IMU data when the system is moving are generated through simulation to compare the error suppression performance of the proposed composite rotation modulation scheme and the traditional single-axis rotation modulation scheme under the yaw angle motion environment. The error parameters of IMU are shown in Table 4. The motion state is set in Table 5.
Table 4.
Parameters of the sensors in a simulation experiment.
Table 5.
Motion state.
The ideal trajectory without error generated by the simulation is shown in Figure 10. The navigation information of b-frame obtained after coordinate transformation is shown in Figure 11.
Figure 10.
The simulation sets the original trajectory.
Figure 11.
The navigation information of the b-frame obtained after coordinate system transformation: (a) angular velocity information; (b) specific force information.
It is easy to detect that under the compound rotation modulation scheme, the IMU’s rotation axis is also modulated under the b-frame. As can be seen from Figure 11, the modulation result is periodic variation based on the ideal value. Consistent with the theoretical analysis, the constant error is modulated into an error that accumulates to zero over a period. The navigation results comparison of the rotation scheme is shown in Figure 12, Figure 13, Figure 14, Figure 15 and Figure 16. Comparison of trajectories obtained by navigation solution is shown in Figure 17. The maximum errors of navigation parameters are summarized in Table 6.
Figure 12.
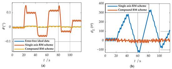
The navigation results comparison of the rotation scheme: (a) comparison of calculation results of yaw angle; (b) comparison of calculation results of east misalignment angle.
Figure 13.
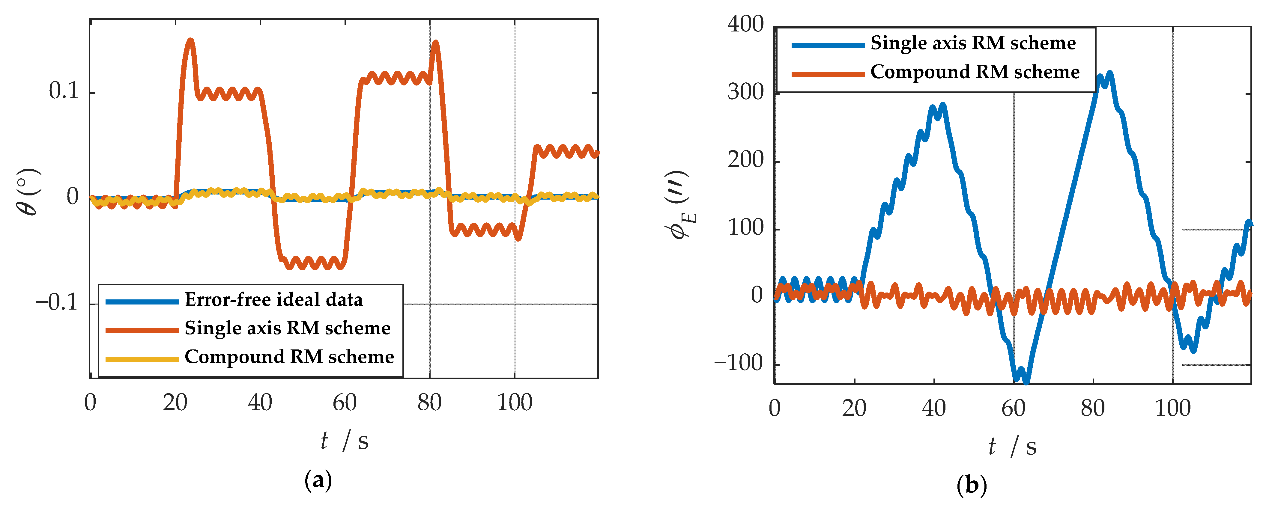
The navigation results comparison of the rotation scheme: (a) comparison of calculation results of roll angle; (b) comparison of calculation results of north misalignment angle.
Figure 14.
The navigation results comparison of the rotation scheme: (a) comparison of calculation results of pitch angle; (b) comparison of calculation results of up misalignment angle.
Figure 15.
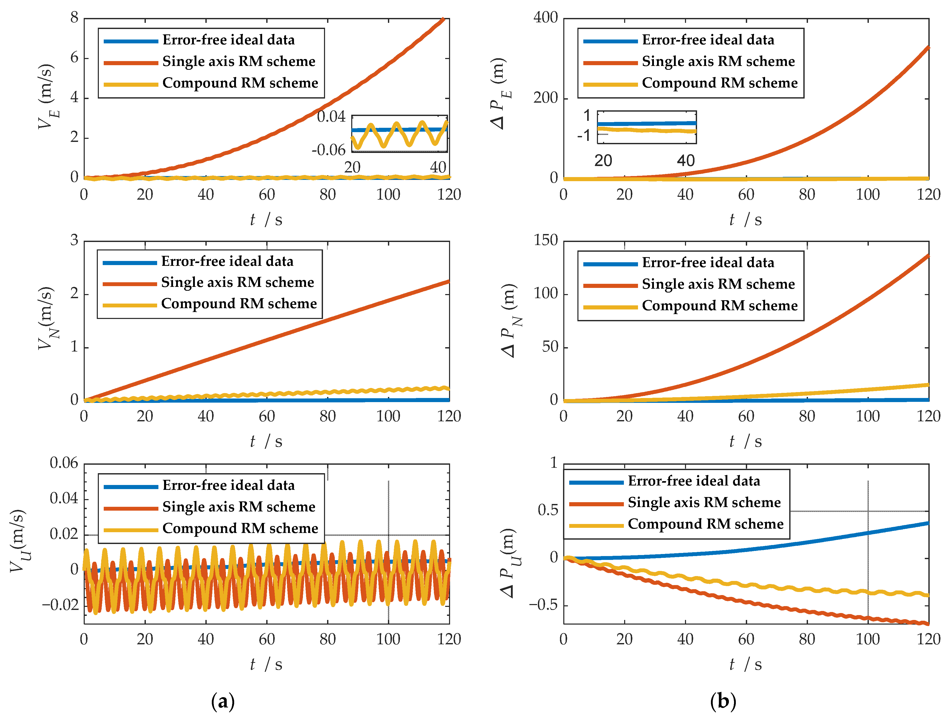
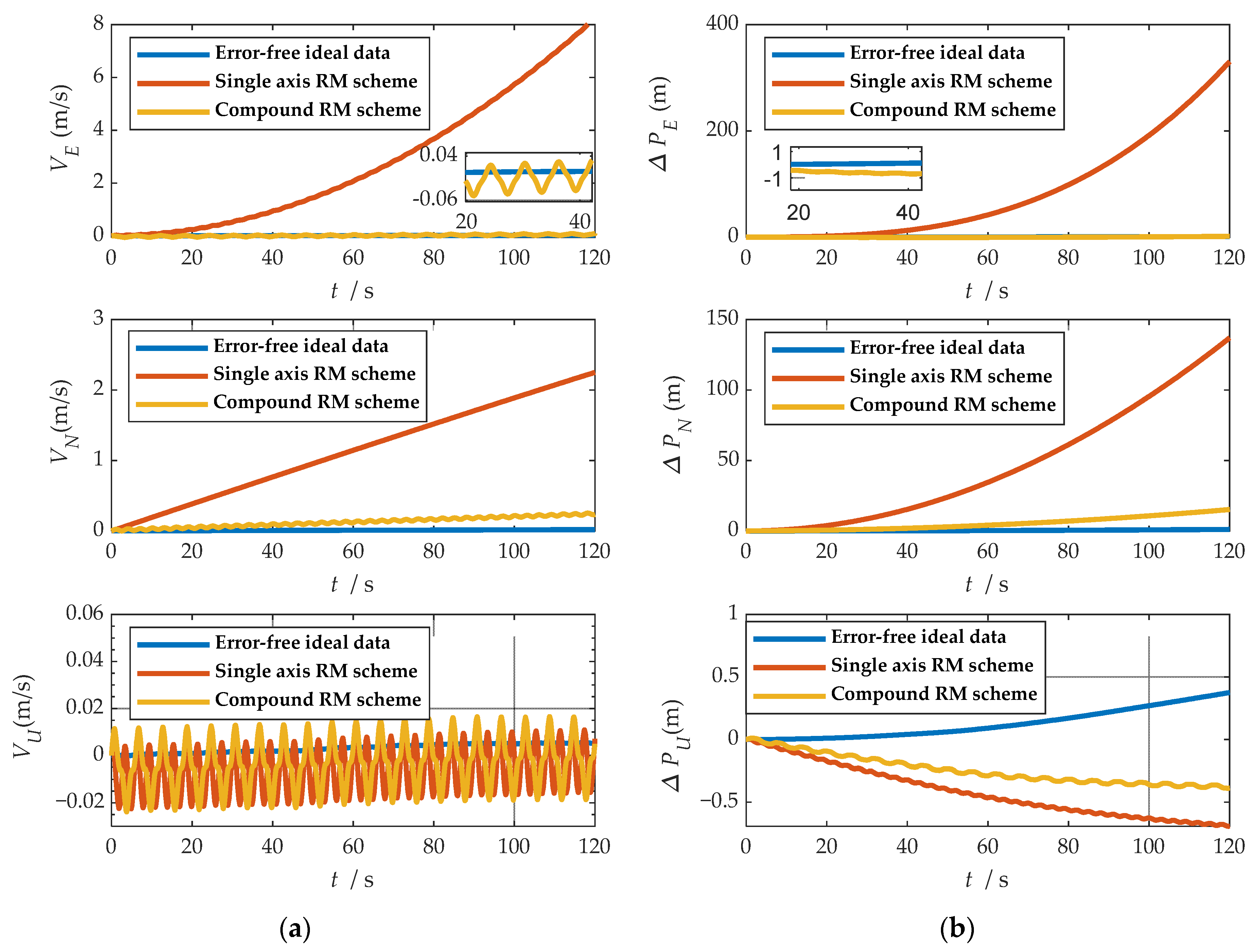
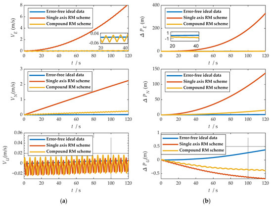
Comparison of velocity and position results in three directions: (a) comparison of velocity results in three directions; (b) comparison of position results in three directions.
Figure 16.
Comparison of velocity and position error in three directions: (a) comparison of velocity error in three directions; (b) comparison of position error in three directions.
Figure 17.
Comparison of trajectories obtained by navigation solution.
Table 6.
Maximum errors between two rotational modulation schemes comparison.
According to the results of navigation calculation, when the pitch angle and roll angle change, the traditional uniaxial rotation modulation changes at the moments of 20 s, 40 s, 60 s, 80 s, and 100 s in Figure 12, Figure 13, Figure 14, Figure 15 and Figure 16. The constant error of the roll axis accumulates over time because the roll axis is completely unmodulated. Especially when the attitude changes, it can be observed from Figure 12 and Figure 13 that the new rotation modulation scheme shows a good attitude error modulation effect. It can be observed from Figure 15 and Figure 16 that the compound rotation modulation scheme has obvious speed and position error suppression effects in the eastward and northward directions, compared with traditional rotation modulation. It can be observed from Figure 17 that the new rotary modulation scheme effectively improves the trajectory tracking capability. The maximum error in the altitude direction increases because the modulation scheme accumulates errors in the direction. We can derive from Table 6 that maximum errors of the navigation parameter are reduced by an order of magnitude or two.
4.1.2. High Spin Motion Simulation
In this section, data are generated through simulation to compare the error suppression performance of the proposed composite rotation modulation scheme and the traditional single-axis rotation modulation scheme under a high spin motion environment. The error parameters of IMU are shown in Table 4. The motion state is set to roll at a high speed of 30 rad/s, and the total simulation time is 120 s.
Comparisons of calculation results of attitude are shown in Figure 18a, Figure 19a and Figure 20a. Comparisons of calculation results of misalignment angle are shown in Figure 18b, Figure 19b and Figure 20b. Comparison of velocity and position results in eastward, northward, and upward are shown in Figure 21.
Figure 18.
The navigation results comparison of the rotation scheme: (a) comparison of calculation results of yaw angle; (b) comparison of calculation results of east misalignment angle.
Figure 19.
The navigation results comparison of the rotation scheme: (a) comparison of calculation results of roll angle; (b) comparison of calculation results of north misalignment angle.
Figure 20.
The navigation results comparison of the rotation scheme: (a) comparison of calculation results of pitch angle; (b) comparison of calculation results of up misalignment angle.
Figure 21.
Comparison of velocity and position results in three directions: (a) comparison of velocity results in three directions; (b) comparison of position results in three directions.
In the high rotation state, using the traditional rotation modulation scheme, the two directions perpendicular to the modulation axis of the constant error are effectively suppressed, the modulation axis of the constant error is not suppressed, and error divergence is the most significant. The pitch and yaw angles also contain errors since the error is decomposed in the three axes of the n-frame after the coordinate transformation.
As shown in Figure 21, under the traditional rotation modulation scheme, the constant error in the direction of the modulation axis is not suppressed. In the case of high rotation, the error divergence of eastward and skyward is lower than that of the general case. Additionally, the velocity and position error divergences of the north direction are more significant. The maximum error values of each navigation parameter are summarized in Table 7.
Table 7.
Maximum errors between two rotational modulation schemes’ comparison.
Figure 18, Figure 19 and Figure 20 show that the compound rotation modulation scheme inhibits the continuing divergence of the misalignment angle caused by the constant error. As shown in Table 7, except for the height error that is reduced by half, the error of other parameters caused by the constant value error is reduced by one to four orders of magnitude. In particular, the divergence of the roll angle error is completely suppressed, and the accuracy has been improved by four orders of magnitude.
4.2. Experimental Results of Rotary Modulation Scheme
In order to verify the effectiveness of the implementation of the new rotation scheme proposed in this study, two experiments were carried out on a flight simulation turntable. The experimental equipment is shown in Figure 22a, which is composed of the new rotary modulation navigation system with a sampling rate of 500 Hz and a laptop computer to read experimental data. Technical parameters of the flight simulation turntable are shown in Table 8. Parameters of the IMU in the experiment are shown in Table 9.
Figure 22.
The experimental equipment: (a) the experimental equipment; (b) configuration of experimental swing state.
Table 8.
Technical parameters of flight simulation turntable.
Table 9.
Parameters of the sensors in experiment.
In order to verify the inhibition effect of the compound rotation scheme on the divergence of roll angle error caused by constant error, two groups of experiments were designed.
Experiment 1: The flight simulation turntable remained static, and the internal rotation modulation system rotated according to two rotation schemes, respectively. The rotation modulation effect was verified under the static state of the carrier, and the total duration of the experiment was 110 s.
Experiment 2: The flight simulation turntable was set with swing configuration as shown in Figure 22b, and the internal rotation modulation system rotated, respectively, according to two rotation schemes. In order to compare the error suppression effect of the two rotational modulation schemes under the rolling angle motion, the two rotational modulation schemes were applied to carry out a comparative experiment under the pre-designed carrier swing state, and the total duration of the experiment was 100 s.
4.2.1. Experiment 1: Static Experiment on Rotary Table
After reading the data measured in the experiment, the navigation parameters were obtained through a navigation solution. The attitude solution results of the two schemes are shown in Figure 23. After navigation, the velocity and attitude parameters were calculated and are shown in Figure 24.

Figure 23.
Comparison of attitude solution results: (a) comparison of calculation results of yaw angle; (b) comparison of calculation results of roll angle; (c) comparison of calculation results of pitch angle.
Figure 24.
Comparison of velocity and position results in three directions: (a) comparison of velocity results in three directions; (b) comparison of position results in three directions.
As shown in Table 10, in the experiment of 110 s, the error of all parameters decreases. In particular, the divergence of roll angle error is completely suppressed, and the accuracy is increased by two orders of magnitude. The eastward velocity and position error are greatly inhibited. The system’s roll axis points to the east; thus, the error divergence of velocity and position in the eastward in the traditional rotation scheme is larger than that in the other two directions in the experiment. In contrast, the eastward error is effectively suppressed under the compound rotation modulation scheme. The experimental results show that the new scheme presented in this paper can effectively suppress the error divergence of navigation parameters caused by the constant error in the direction of the modulation axis.
Table 10.
Maximum errors between two rotational modulation schemes comparison.
4.2.2. Experiment 2: The Turntable Swayed
According to the configuration set in the experiment, the ideal attitude results of the experiment are shown in Figure 25. In order to facilitate the experimental analysis, the configuration of the turntable was set as the regular angle change, but the regular angle change is easy to affect the precision judgment of the speed and position of the rotation modulation scheme; thus, the speed and position were not analyzed in this experiment. The navigation information of the b-frame obtained after coordinate transformation is shown in Figure 26.

Figure 25.
Ideal attitude solution results: (a) ideal results of yaw angle; (b) ideal results of roll angle; (c) ideal results of pitch angle.
Figure 26.
The navigation information of the b-frame obtained after coordinate system transformation: (a) angular velocity information; (b) specific force information.
As can be observed from Figure 26, after coordinate system transformation in navigation solution, the IMU data of compound rotation modulation was calculated to a periodic signal with an estimated true value under b-frame. Additionally, the attitude solution results are shown in Figure 27. Maximum errors between two rotational modulation schemes comparison are shown in Table 11.
Figure 27.
Comparison of attitude solution results: (a) comparison of calculation results of yaw angle; (b) comparison of calculation results of roll angle; (c) comparison of calculation results of pitch angle.
Table 11.
Maximum errors between two rotational modulation schemes comparison.
As shown in Figure 27, in the traditional rotation modulation scheme, because the constant error compensation is not compensated, the roll angle error is linearly divergent. Compared with the traditional rotational modulation scheme, the composite rotational modulation scheme can suppress the linear divergence caused by the constant error. The tracking ability of the compound rotation scheme is verified when the angle and angular velocity change. As shown in Table 11, in the experiment of 100 s, the angle error decreases. In particular, the divergence of roll angle error is completely suppressed, and the accuracy is increased by two orders of magnitude.
5. Conclusions
In this paper, by analyzing the single-axis rotation modulation error modulation model and the error propagation mechanism of navigation solution, it was found that single-axis rotation modulation cannot suppress the gyroscope constant value error in the direction of the rotation axis, which caused inaccurate attitude matrix calculation. In order to improve the navigation accuracy of microinertial navigation system and reduce the error of roll angle, a new rotation modulation scheme is proposed. This rotation modulation scheme changes the constant error propagation model by controlling the compound rotation of the IMU. Simulation and experimental results show that, compared with the traditional implementation, the proposed rotation modulation scheme can realize the constant error modulation of the roll direction, and the precision of the roll angle can be improved by two orders of magnitude. The experiment and simulation show that the new scheme can effectively suppress the divergence of the modulation axis error, and the navigation accuracy is improved under the new rotation modulation scheme.
Author Contributions
Data curation, X.Z.; methodology, J.L.; software, K.F. and D.Z.; validation, J.M.; writing—original draft preparation, X.Y.; writing—review and editing, X.W. All authors have read and agreed to the published version of the manuscript.
Funding
This research was funded by the National Natural Science Foundation of China (No. 51705477, No. 61973280), the Postgraduate Innovation Project of Shanxi Province (No. 2020SY377).
Institutional Review Board Statement
Not applicable.
Informed Consent Statement
Not applicable.
Data Availability Statement
Not applicable.
Conflicts of Interest
The authors declare no conflict of interest.
References
- Li, X.; Sun, Z.; Cao, D.; Liu, D.; He, H. Development of a new integrated local trajectory planning and tracking control framework for autonomous ground vehicles. Mech. Syst. Signal Process. 2017, 87, 118–137. [Google Scholar] [CrossRef]
- Mao, J.; Lian, J.; Hu, X. Strapdown Inertial Navigation Algorithms Based on Lie Group. J. Navig. 2017, 70, 165–183. [Google Scholar] [CrossRef]
- Wu, D.; Wang, Z. Strapdown Inertial Navigation System Algorithms Based on Geometric Algebra. Adv. Appl. Clifford Algebras 2012, 22, 1151–1167. [Google Scholar] [CrossRef]
- Wei, X.; Li, J.; Zhang, D.; Feng, K. An improved integrated navigation method with enhanced robustness based on factor graph. Mech. Syst. Signal Process. 2021, 155, 107565. [Google Scholar] [CrossRef]
- Wei, X.; Li, J.; Zhang, D.; Feng, K.; Zhang, J.; Li, J.; Lu, Z. Optimization of a New High Rotary Missile-Borne Stabilization Platform. Sensors 2019, 19, 4143. [Google Scholar] [CrossRef] [Green Version]
- Zhang, Q.; Wang, L.; Liu, Z.; Feng, P. An Accurate Calibration Method Based on Velocity in a Rotational Inertial Navigation System. Sensors 2015, 15, 18443–18458. [Google Scholar] [CrossRef] [Green Version]
- Zhang, J.; Li, J.; Che, X.; Zhang, X.; Hu, C.; Feng, K.; Xu, T. The Optimal Design of Modulation Angular Rate for MEMS-Based Rotary Semi-SINS. Micromachines 2019, 10, 111. [Google Scholar] [CrossRef] [PubMed] [Green Version]
- Sun, W.; Wang, D.; Xu, L.; Xu, L. MEMS-based rotary strapdown inertial navigation system. Measurement 2013, 46, 2585–2596. [Google Scholar] [CrossRef]
- Du, S.; Sun, W.; Gao, Y. MEMS IMU Error Mitigation Using Rotation Modulation Technique. Sensors 2016, 16, 2017. [Google Scholar] [CrossRef]
- Liu, Z.; Wang, L.; Wang, W.; Gao, P. An improved rotation scheme for Tri-axis rotational inertial navigation system. Microsyst. Technol. Micro Nanosyst. Inf. Storage Process. Syst. 2017, 23, 5423–5433. [Google Scholar] [CrossRef]
- Liu, Z.; Wang, L.; Li, K.; Sui, J. An Improved Rotation Scheme for Dual-Axis Rotational Inertial Navigation System. IEEE Sens. J. 2017, 17, 4189–4196. [Google Scholar] [CrossRef]
- Wang, Z.; Cheng, X.; Du, J. Thermal Modeling and Calibration Method in Complex Temperature Field for Single-Axis Rotational Inertial Navigation System. Sensors 2020, 20, 384. [Google Scholar] [CrossRef] [Green Version]
- Zhang, D.; Li, J.; Liu, Y.; Wei, X.; Feng, K. Research on the Update Method of Attitude Quaternion for Strapdown Inertial Navigation. IEEE Access 2021, 9, 26221–26233. [Google Scholar] [CrossRef]
- Ren, Q.; Wang, B.; Deng, Z.; Fu, M. A multi-position self-calibration method for dual-axis rotational inertial navigation system. Sens. Actuators A Phys. 2014, 219, 24–31. [Google Scholar] [CrossRef]
- Lv, P.; Lai, J.; Liu, J.; Nie, M. The Compensation Effects of Gyros’ Stochastic Errors in a Rotational Inertial Navigation System. J. Navig. 2014, 67, 1069–1088. [Google Scholar] [CrossRef]
- Wang, L.; Li, K.; Chen, Y.; Liu, J.; Xu, Y. Single-axis rotation/azimuth-motion insulation inertial navigation control system with FOGs. Opt. Express 2017, 25, 30956–30975. [Google Scholar] [CrossRef]
- Fang, T.; Huang, W.; Luo, L. Damping Rotating Grid SINS Based on a Kalman Filter for Shipborne Application. IEEE Access 2019, 7, 14859–14870. [Google Scholar] [CrossRef]
- Du, S.; Sun, W.; Gao, Y. Improving Observability of an Inertial System by Rotary Motions of an IMU. Sensors 2017, 17, 698. [Google Scholar] [CrossRef]
- Zhang, H.; Wang, L.; Song, T.X.; Li, K. Error analysis and compensation for dual-axis inertial navigation system with horizontal rotation modulation. Proc. Inst. Mech. Eng. Part C J. Mech. Eng. Sci. 2019, 233, 313–322. [Google Scholar] [CrossRef]
- Wu, Q.; Li, K. An inertial device biases on-line monitoring method in the applications of two rotational inertial navigation systems redundant configuration. Mech. Syst. Signal Process. 2019, 120, 133–149. [Google Scholar] [CrossRef]
- Wang, X.; Wu, J.; Xu, T.; Wang, W. Analysis and Verification of Rotation Modulation Effects on Inertial Navigation System based on MEMS Sensors. J. Navig. 2013, 66, 751–772. [Google Scholar] [CrossRef] [Green Version]
- Jia, Y.; Li, S.; Qin, Y.; Cheng, R. Error Analysis and Compensation of MEMS Rotation Modulation Inertial Navigation System. IEEE Sens. J. 2018, 18, 2023–2030. [Google Scholar] [CrossRef]
- Du, S. A micro-electro-mechanical-system-based inertial system with rotating accelerometers and gyroscopes for land vehicle navigation. Int. J. Distrib. Sens. Netw. 2017, 13, 1550147717746351. [Google Scholar] [CrossRef]
- Wei, X.; Li, J.; Feng, K.; Zhang, D.; Li, P.; Zhao, L.; Jiao, Y. A Mixed Optimization Method Based on Adaptive Kalman Filter and Wavelet Neural Network for INS/GPS During GPS Outages. IEEE Access 2021, 9, 47875–47886. [Google Scholar] [CrossRef]
- Jing, Z.; Li, J.; Zhang, X.; Feng, K.; Zheng, T. A Novel Rotation Scheme for MEMS IMU Error Mitigation Based on a Missile-Borne Rotation Semi-Strapdown Inertial Navigation System. Sensors 2019, 19, 1683. [Google Scholar] [CrossRef] [PubMed] [Green Version]
- Zhang, J.; Li, J.; Zhang, X.; Che, X.; Huang, Y.; Feng, K. Analysis and Compensation of Modulation Angular Rate Error Based on Missile-Borne Rotation Semi-Strapdown Inertial Navigation System. Sensors 2018, 18, 1430. [Google Scholar] [CrossRef] [Green Version]
- Martino, L.; Read, J.; Elvira, V.; Louzada, F. Cooperative parallel particle filters for online model selection and applications to urban mobility. Digit. Signal Process. 2017, 60, 172–185. [Google Scholar] [CrossRef] [Green Version]
- Miguez, J. Analysis of selection methods for cost-reference particle filtering with applications to maneuvering target tracking and dynamic optimization. Digit. Signal. Process. 2007, 17, 787–807. [Google Scholar] [CrossRef]
- Mihaylova, L.; Angelova, D.; Honary, S.; Bull, D.R.; Canagarajah, C.N.; Ristic, B. Mobility tracking in cellular networks using particle filtering. IEEE Trans. Wirel. Commun. 2007, 6, 3589–3599. [Google Scholar] [CrossRef] [Green Version]
- Chen, J.; Wang, L.; Liu, Z.; Su, G.; Cao, G. Calibration and data processing technology of gyroscope in dual axis rotational inertial navigation system. Microsyst. Technol. Micro Nanosyst. Inf. Storage Process. Syst. 2017, 23, 3301–3309. [Google Scholar]
- Lv, P.; Liu, J.; Lai, J.; Zhang, L. Decrease in Accuracy of a Rotational SINS Caused by its Rotary Table’s Errors. Int. J. Adv. Robot. Syst. 2014, 11, 74. [Google Scholar] [CrossRef]
- Yu, H.; Kim, C.-J.; Lee, I.; Oh, J.; Sung, C.-K.; Lee, S.J. The Six-Position Calibration Technique of Gyro Bias for Rotational Inertial Navigation System Based on Ring Laser Gyroscope. J. Korea Inst. Mil. Sci. Technol. 2019, 22, 189–196. [Google Scholar]
- Zheng, Z.; Han, S.; Yue, J.; Yuan, L. Compensation for Stochastic Error of Gyros in a Dual-axis Rotational Inertial Navigation System. J. Navig. 2016, 69, 169–182. [Google Scholar] [CrossRef] [Green Version]
- Fresconi, F. Guidance and Control of a Projectile with Reduced Sensor and Actuator Requirements. J. Guid. Control. Dyn. 2011, 34, 1757–1766. [Google Scholar] [CrossRef]
Publisher’s Note: MDPI stays neutral with regard to jurisdictional claims in published maps and institutional affiliations. |
© 2021 by the authors. Licensee MDPI, Basel, Switzerland. This article is an open access article distributed under the terms and conditions of the Creative Commons Attribution (CC BY) license (https://creativecommons.org/licenses/by/4.0/).




























