Analytic Design of Segmented Phase Grating for Optical Sensing in High-Precision Alignment System
Abstract
1. Introduction
2. Analytical Model
2.1. Diffraction Efficiency of Standard Phase Grating
2.2. Diffraction Efficiency of Segmented Phase Grating
3. Method of Segmented Phase Grating Design
3.1. Eliminating the Zeroth Order and Improving Efficiency of Odd Orders
3.2. Eliminating Diffraction of Even Orders
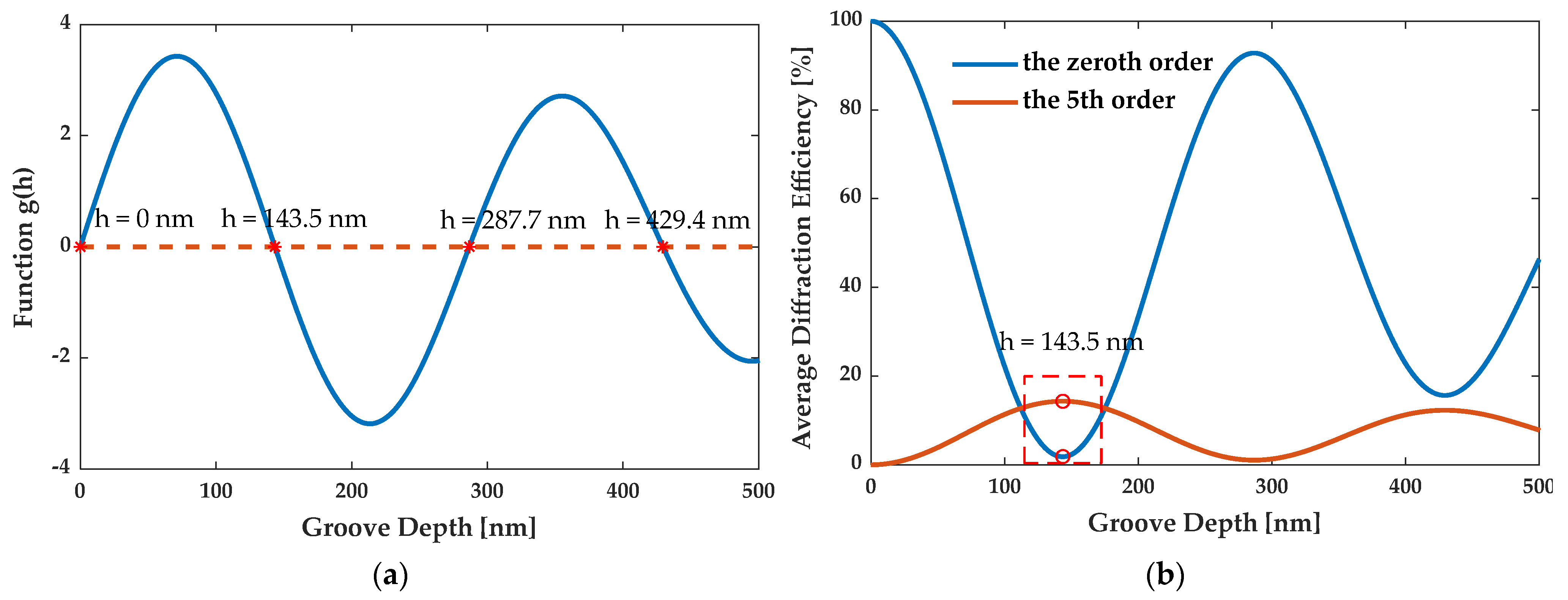
3.3. Optimizing the Groove Depth
3.4. Design Process of Segmented Grating
- Choosing groove depth h: For a single wavelength λ, the groove depth h should be an odd multiple of the quarter wavelength to eliminate the zeroth order and to have the diffraction efficiency of other orders enhanced.
- Choosing ridge width {li}: In the case of the high odd order m and the grating period d, the ridge width li should be (2n–1)d/(2m) to improve the diffraction efficiency of the order m. Furthermore, the sum of all ridge widths should be half of the grating period to satisfy the requirement of the zeroth order elimination.
- Choosing groove width {gi}: The groove width gi should be (2n–1)d/(2m) to enhance the diffraction efficiency of the odd order m. In addition, to eliminate even orders, the groove widths gi should make the segmented grating structure complementary and symmetrical about the z-axis.
- Optimizing groove depth h: For multiple wavelengths {λ1, …, λn}, the groove depth h is optimized to decrease the average diffraction efficiency of the zeroth order. The optimal groove depth is defined by the material of the grating and illumination wavelengths. Finally, the structure of the segmented grating is obtained for all the requirements.
4. Designed Examples and Verification
4.1. Comparison with RCWA Method
4.2. The 5th Order Enhancement Case
4.3. The 7th Order Enhancement Case
4.4. Multi-Wavelength Case
4.5. Comparing the Design Time with RCWA
5. Conclusions
Author Contributions
Funding
Institutional Review Board Statement
Informed Consent Statement
Data Availability Statement
Conflicts of Interest
References
- Orji, N.G.; Badaroglu, M.; Barnes, B.M.; Beitia, C.; Bunday, B.D.; Celano, U.; Kline, R.J.; Neisser, M.; Obeng, Y.; Vladar, A.E. Metrology for the next generation of semiconductor devices. Nat. Electron. 2018, 1, 532–547. [Google Scholar] [CrossRef] [PubMed]
- Felix, N.M.; Gabor, A.H.; Menon, V.C.; Longo, P.P.; Halle, S.D.; Koay, C.; Colburn, M.E. Overlay improvement roadmap: Strategies for scanner control and product disposition for 5 nm overlay. In Proceedings of the Metrology, Inspection, and Process Control for Microlithography XXXII, San Jose, CA, USA, 22 March 2018. [Google Scholar] [CrossRef]
- Bunday, B.D.; Bello, A.; Solecky, E.; Vaid, A. 7/5 nm logic manufacturing capabilities and requirements of metrology. In Proceedings of the Metrology, Inspection, and Process Control for Microlithography XXXII, San Jose, CA, USA, 22 March 2018. [Google Scholar] [CrossRef]
- Oyama, K.; Yamauchi, S.; Hara, A.; Natori, S.; Yamato, M.; Okabe, N.; Koike, K.; Yaegashi, H. Sustainability and applicability of spacerrelated patterning towards 7 nm node. In Proceedings of the Advances in Patterning Materials and Processes XXXII, San Jose, CA, USA, 20 March 2015. [Google Scholar] [CrossRef]
- Boef, A.J.D. Optical wafer metrology sensors for process-robust CD and overlay control in semiconductor device manufacturing. Surf. Topogr. Metrol. Prop. 2016, 4, 023001. [Google Scholar] [CrossRef]
- Ren, D.; Zhao, Z.; Xi, J.; Li, B.; Li, Z.; Zhao, H.; Cui, L.; Xu, H. Alignment Method for Linear-Scale Projection Lithography Based on CCD Image Analysis. Sensors 2018, 18, 2442. [Google Scholar] [CrossRef] [PubMed]
- Nagayama, T.; Nakajima, S.; Sugaya, A.; Kanaya, Y.; Sukegawa, A. New method to reduce alignment error caused by optical system. In Proceedings of the Metrology, Inspection, and Process Control for Microlithography XVII, Santa Clara, CA, USA, 2 June 2003. [Google Scholar] [CrossRef]
- Magome, N.; Ota, K.; Nishi, K. New Alignment Sensors for Optical Lithography. Jpn. J. Appl. Phys. 1990, 29, 2577–2583. [Google Scholar] [CrossRef]
- Keij, S.; Setija, I.; Van Der Zouw, G.; Ebert, E. Advances in phase-grating-based wafer alignment systems. Microlithography 2005 2005, 5752, 948–960. [Google Scholar] [CrossRef]
- Miyasaka, M.; Satio, H.; Tamura, H.; Uchiyama, T.; Hinnen, P.; Lee, H.W.; Kemenade, M.; Shahrjerdy, M.; Leeuwen, R.V. The application of SMASH Alignment System for 65-55 nm Logic-Devices. In Proceedings of the Metrology, Inspection, and Process Control for Microlithography XXI, San Jose, CA, USA, 5 April 2007. [Google Scholar] [CrossRef]
- Cui, Y.; Goodwin, F.; Van Haren, R. Segmented alignment mark optimization and signal strength enhancement for deep trench process. In Proceedings of the Metrology, Inspection, and Process Control for Microlithography XVIII, Santa Clara, CA, USA, 24 May 2004. [Google Scholar] [CrossRef]
- Lee, B.S.; Kim, Y.H.; Hwang, H.; Lee, J.; Kong, J.H.; Kang, Y.S.; Paarhuis, B.; Kok, H.; De Graaf, R.; Weichselbaum, S.; et al. Overcoming low-alignment signal contrast induced alignment failure by alignment signal enhancement. In Proceedings of the Optical Microlithography XXIX, San Jose, CA, USA, 15 March 2016. [Google Scholar] [CrossRef]
- Gao, W.; Ciofi, I.; Saad, Y.; Matagne, P.; Bachmann, M.; Gillijns, W.; Lucas, K.; Demmerle, W.; Schmoeller, T. Rigorous assessment of patterning solution of metal layer in 7 nm technology node. J. Micro/Nanolithography MEMS MOEMS 2016, 15, 13505. [Google Scholar] [CrossRef]
- Hinnen, P.; Lee, H.-W.; Keij, S.C.J.A.; Takikawa, H.; Asanuma, K.; Ishigo, K.; Higashiki, T. Flexible alignment mark design applications using a next generation phase grating alignment system. Microlithography 2005 2005, 5752, 363–374. [Google Scholar] [CrossRef]
- Opitz, J.; Laidler, D.W. Comparison of ATHENA and TTL alignment capability in product wafers. In Proceedings of the Inspection, and Process Control for Microlithography XVI, Santa Clara, CA, USA, 16 July 2002. [Google Scholar] [CrossRef]
- Chen, L.W.; Yang, M.; Yang, E.; Yang, T.H.; Chen, K.C.; Lu, C.-Y. Novel ATHENA mark design to enhance alignment quality in double patterning with spacer process. In Proceedings of the Optical Microlithography XXIII, San Jose, CA, USA, 3 March 2010. [Google Scholar] [CrossRef]
- Zhou, J.; Hickman, C.; He, Y.; Light, S.; Lamonds, L.; Devilliers, A. Wafer quality analysis of various scribe line mark designs. In Proceedings of the Metrology, Inspection, and Process Control for Microlithography XXV, San Jose, CA, USA, 20 April 2011. [Google Scholar] [CrossRef]
- Yeo, S.; Tab, C. Rigorous coupled wave analysis of front-end-of-line wafer alignment marks. J. Vac. Sci. Technol. B 2005, 23, 186–195. [Google Scholar] [CrossRef]
- Chalykh, R.; Kim, S.-S.; Woo, S.-G.; Cho, H.-K.; Moon, J.-T. Optimization of geometry of alignment mark using rigorous coupled-wave analysis (RCWA). Microlithography 2005 2005, 5752, 471–480. [Google Scholar] [CrossRef]
- Zhang, L.; Dong, L.; Su, X.; Wei, Y.; Ye, T. New alignment mark designs in single patterning and self-aligned double patterning. Microelectron. Eng. 2017, 179, 18–24. [Google Scholar] [CrossRef]
- Zhang, L.; Feng, Y.; Dong, L.; Su, X.; Tian, Z.; Fang, C.; Wei, Y.; Ye, T. New alignment mark design structures for higher diffraction order wafer quality enhancement. In Proceedings of the Metrology, Inspection, and Process Control for Microlithography XXXI, San Jose, CA, USA, 28 March 2017. [Google Scholar] [CrossRef]
- Du, J.; Dai, F.; Wang, X. Alignment mark optimization for improving signal-to-noise ratio of wafer alignment signal. Appl. Opt. 2018, 58, 9–14. [Google Scholar] [CrossRef] [PubMed]
- Wu, Y.P.; Jin, S.-Z.; Jing, X.; Tian, Y.; Liang, P.; Wang, L.; Dong, Q. Numerical calculation of the accuracy of approximate analysis methods for binary rectangular groove diffraction phase grating. Opt. Eng. 2012, 51, 128001. [Google Scholar] [CrossRef]
- Zheng, M.; Liu, K.; Liu, L.; Li, Y. Design of a grating by a joint optimization method for a phase-shifting point diffraction interferometer. Chin. Opt. Lett. 2017, 15, 101203. [Google Scholar] [CrossRef]
- HongGoo, L.; Aharon, S.; Ben-Dov, G.; Golotsvan, A.; Klein, D.; Marciano, T.; Saltoun, L.; Kang, Y.; Shim, K.; Hong, M.; et al. Accuracy optimization with wavelength tunability in overlay imaging technology. In Proceedings of the Metrology, Inspection, and Process Control for Microlithography XXXII, San Jose, CA, USA, 13 March 2018. [Google Scholar] [CrossRef]
- Toto-Arellano, N.-I.; Goméz, J.M.M.; García-Lechuga, L.; Montes-Peréz, A.; Zurita, G.R.; García, A.M.; Dominguéz, J.A.M. Diffraction theory of binary amplitude and phase gratings with applications for Ronchi test. Optik 2015, 126, 3717–3727. [Google Scholar] [CrossRef]
- Harvey, J.E. A retrospective of Roland Shack’s “Global View of Diffraction”. In Proceedings of the Roland V. Shack Memorial Session: A Celebration of One of the Great Teachers of Optical Aberration Theory, Online, 24 August–4 September 2020. [Google Scholar] [CrossRef]
- Harvey, J.E.; Pfisterer, R.N. Understanding diffraction grating behavior: Including conical diffraction and Rayleigh anomalies from transmission gratings. Opt. Eng. 2019, 58, 087105. [Google Scholar] [CrossRef]
- Dammann, H.; Görtler, K. High-efficiency in-line multiple imaging by means of multiple phase holograms. Opt. Commun. 1971, 3, 312–315. [Google Scholar] [CrossRef]
- Dammann, H.; Klotz, E. Coherent optical generation and inspection of two-dimensional periodic structures. Opt. Acta Int. J. Opt. 1977, 24, 505–515. [Google Scholar] [CrossRef]
- Morrison, R.L. Symmetries that simplify the design of spot array phase gratings. J. Opt. Soc. Am. A 1992, 9, 464–471. [Google Scholar] [CrossRef]
- Morrison, R.L.; Walker, S.L.; Cloonan, T.J. Beam array generation and holographic interconnections in a free-space optical switching network. Appl. Opt. 1993, 32, 2512–2518. [Google Scholar] [CrossRef] [PubMed]
- Goodman, J.W. Analysis of Two-Dimensional Signals and systems. In Introduction to Fourier Optics, 3rd ed.; Roberts and Company Publishers United States: Greenwood Village, CO, USA, 2005; pp. 3–26. [Google Scholar]




























| Item/Grating | AH53_opt | AH53_opt’ |
|---|---|---|
| Groove depth h (nm) | 158.25 | 158.25 |
| Number of ridges N | 3 | 3 |
| Ridge width/Period {fi} | 1/10, 3/10, 1/10 | 1/10, 3/10, 1/10 |
| Sum ridge widths/Period f | 1/2 | 1/2 |
| Groove width/Period {wi} | 1.5/10, 1/10, 1/10, 1.5/10 | 1.5/10, 1/10, 1/10, 1.5/10 |
| Item/Grating | AH53 | AH53_opt | Design Requirements |
|---|---|---|---|
| Groove depth h (nm) | 158.25 | 158.25 | (2n − 1)λ/4 |
| Number of ridges N | 3 | 3 | ≥3 |
| Ridge width/Period {fi} | 1/10, 1/10, 1/10 | 1/10, 3/10, 1/10 | (2n − 1)/10 |
| Sum ridge widths/Period f | 3/10 | 1/2 | 1/2 |
| Groove width/Period {wi} | 1/4, 1/10, 1/10, 1/4 | 1.5/10, 1/10, 1/10, 1.5/10 | (2n − 1)/10 |
| Grating/Order | 0 | 1 | 2 | 3 | 4 | 5 | 6 | 7 | 8 | 9 |
|---|---|---|---|---|---|---|---|---|---|---|
| AH53 | 5.0% | 3.8% | 0.5% | 0.4% | 2.1% | 5.0% | 0.9% | 0.1% | 0.0% | 0.0% |
| AH53_opt | 0.0% | 5.4% | 0.0% | 4.1% | 0.0% | 5.0% | 0.0% | 0.7% | 0.0% | 0.1% |
| Item/Grating | AH74 | AH74_opt1 | AH74_opt2 | AH74_opt3 | Design Requirements |
|---|---|---|---|---|---|
| Groove depth h (nm) | 158.25 | 158.25 | 158.25 | 158.25 | (2n − 1)λ/4 |
| Number of ridges N | 4 | 3 | 3 | 5 | ≥3 |
| Ridge width/Period {fi} | 1/14, 1/14, 1/14, 1/14 | 3/14, 1/14, 3/14 | 1/14, 5/14, 1/14 | 1/14, 1/14, 3/14, 1/14, 1/14 | (2n − 1)/14 |
| Sum ridge widths/Period f | 4/14 | 1/2 | 1/2 | 1/2 | 1/2 |
| Groove width/Period {wi} | 1/4, 1/14, 1/14, 1/14, 1/4 | 0.5/14, 3/14, 3/14, 0.5/14 | 2.5/14, 1/14, 1/14, 2.5/14 | 1.5/14, 1/14, 1/14, 1/14, 1/14, 1.5/14 | (2n − 1)/14 |
| Grating/Order | 0 | 1 | 2 | 3 | 4 | 5 | 6 | 7 | 8 | 9 |
|---|---|---|---|---|---|---|---|---|---|---|
| AH74 | 5.9% | 3.7% | 0.2% | 0.4% | 0.3% | 0.1% | 2.0% | 4.6% | 1.0% | 0.1% |
| AH74_opt1 | 0.0% | 4.4% | 0.0% | 7.9% | 0.0% | 0.4% | 0.0% | 2.6% | 0.0% | 0.1% |
| AH74_opt2 | 0.0% | 9.1% | 0.0% | 0.5% | 0.0% | 2.8% | 0.0% | 2.6% | 0.0% | 0.9% |
| AH74_opt3 | 0.0% | 2.8% | 0.0% | 2.4% | 0.0% | 1.8% | 0.0% | 7.2% | 0.0% | 0.6% |
| Item | Number of Times to Change the Initial Value | Average Number of Iterations per Initial Value | Time per Iteration (S) | Total Time (Days) |
|---|---|---|---|---|
| Value | 20 | 5000 | 3 | 3.5 |
Publisher’s Note: MDPI stays neutral with regard to jurisdictional claims in published maps and institutional affiliations. |
© 2021 by the authors. Licensee MDPI, Basel, Switzerland. This article is an open access article distributed under the terms and conditions of the Creative Commons Attribution (CC BY) license (https://creativecommons.org/licenses/by/4.0/).
Share and Cite
Yang, G.; Li, J.; Wang, Y.; Ding, M.; Zhong, L. Analytic Design of Segmented Phase Grating for Optical Sensing in High-Precision Alignment System. Sensors 2021, 21, 3805. https://doi.org/10.3390/s21113805
Yang G, Li J, Wang Y, Ding M, Zhong L. Analytic Design of Segmented Phase Grating for Optical Sensing in High-Precision Alignment System. Sensors. 2021; 21(11):3805. https://doi.org/10.3390/s21113805
Chicago/Turabian StyleYang, Guanghua, Jing Li, Yu Wang, Minxia Ding, and Lina Zhong. 2021. "Analytic Design of Segmented Phase Grating for Optical Sensing in High-Precision Alignment System" Sensors 21, no. 11: 3805. https://doi.org/10.3390/s21113805
APA StyleYang, G., Li, J., Wang, Y., Ding, M., & Zhong, L. (2021). Analytic Design of Segmented Phase Grating for Optical Sensing in High-Precision Alignment System. Sensors, 21(11), 3805. https://doi.org/10.3390/s21113805
