RELIABLE: Resource Allocation Mechanism for 5G Network using Mobile Edge Computing
Abstract
1. Introduction
- We propose a mechanism to allocate resources in MEC infrastructure as a way to maximize the availability of resources which can be used when they are requested in MEC.
- We consider the combination of mobility prediction and the resources required, as well as the service time for proper decision making.
- We perform simulation experiments to introduce the impacts and benefits of RELIABLE, where the results show that RELIABLE can effectively mitigate the challenges related to resource allocation in MEC infrastructure in terms of the number of services served, the number of services blocked and the number of services denied for a different number of users requesting different services.
2. Related Works
3. RELIABLE
3.1. Network Scenario
3.2. Allocation Decision
3.3. RELIABLE Operations
| Algorithm 1 Abstraction of RELIABLE |
|
4. Performance Analysis
4.1. Scenario Description and Methodology
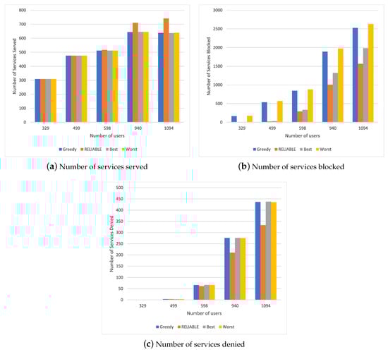
- The number of services served means the number of services that were allocated in an MEC device.
- The number of services blocked means the number of incorrect choices for service allocation due to the lack of resources available for allocation. Therefore, the service is blocked until RELIABLE finds an MEC device that can allocate the service.
- The number of services denied means the number of requests that, due to lack of resources, were not allocated by any MEC, and thus the number of services that were not actually allocated due to lack of resources by all MEC devices.
4.2. Results for Scenario 1
4.3. Results for Scenario 2
4.4. Results for Scenario 3
5. Conclusions
Author Contributions
Funding
Conflicts of Interest
References
- Ren, H.; Pan, C.; Deng, Y.; Elkashlan, M.; Nallanathan, A. Resource Allocation for URLLC in 5G Mission-Critical IoT Networks. In Proceedings of the IEEE International Conference on Communications (ICC), Shanghai, China, 20–24 May 2019; pp. 1–6. [Google Scholar] [CrossRef]
- Martin, A.; Egaña, J.; Flórez, J.; Montalbán, J.; Olaizola, I.G.; Quartulli, M.; Viola, R.; Zorrilla, M. Network Resource Allocation System for QoE-Aware Delivery of Media Services in 5G Networks. IEEE Trans. Broadcast. 2018, 64, 561–574. [Google Scholar] [CrossRef]
- Ji, H.; Park, S.; Yeo, J.; Kim, Y.; Lee, J.; Shim, B. Ultra-reliable and low-latency communications in 5G downlink: Physical layer aspects. IEEE Wirel. Commun. 2018, 25, 124–130. [Google Scholar] [CrossRef]
- Bankmycell. How Many Smartphones Are in the World? 2020. Available online: https://www.bankmycell.com/blog/how-many-phones-are-in-the-world (accessed on 7 July 2020).
- AT&T. Staying Connected in 2017: Our Predictions. Available online: http://about.att.com/newsroom/2017_network_predictions.html (accessed on 6 July 2020).
- Candela, M.; Luconi, V.; Vecchio, A. Impact of the COVID-19 pandemic on the Internet latency: A large-scale study. arXiv 2020, arXiv:2005.06127. [Google Scholar] [CrossRef]
- Aazam, M.; Harras, K.A.; Zeadally, S. Fog computing for 5G tactile industrial internet of things: Qoe-aware resource allocation model. IEEE Trans. Ind. Inform. 2019, 15, 3085–3092. [Google Scholar] [CrossRef]
- Meneguette, R.I.; Rodrigues, D.O.; da Costa, J.B.D.; Rosario, D.; Villas, L.A. A Virtual Machine Migration Policy Based on Multiple Attribute Decision in Vehicular Cloud Scenario. In Proceedings of the IEEE International Conference on Communications (ICC), Shanghai, China, 20–24 May 2019; pp. 1–6. [Google Scholar] [CrossRef]
- Byers, C.C. Architectural Imperatives for Fog Computing: Use Cases, Requirements, and Architectural Techniques for Fog-Enabled IoT Networks. IEEE Commun. Mag. 2017, 55, 14–20. [Google Scholar] [CrossRef]
- Rosário, D.; Schimuneck, M.; Camargo, J.; Nobre, J.; Both, C.; Rochol, J.; Gerla, M. Service Migration from Cloud to Multi-tier Fog Nodes for Multimedia Dissemination with QoE Support. Sensors 2018, 18, 329. [Google Scholar] [CrossRef] [PubMed]
- Shrivastava, R.; Samdanis, K.; Sciancalepore, V. Towards service-oriented soft spectrum slicing for 5G TDD networks. J. Netw. Comput. Appl. 2019, 137, 78–90. [Google Scholar] [CrossRef]
- Yousefpour, A.; Fung, C.; Nguyen, T.; Kadiyala, K.; Jalali, F.; Niakanlahiji, A.; Kong, J.; Jue, J.P. All one needs to know about fog computing and related edge computing paradigms: A complete survey. J. Syst. Archit. 2019, 98, 289–330. [Google Scholar] [CrossRef]
- Meneguette, R.I.; De Grande, R.; Loureiro, A.A. Intelligent Transport System in Smart Cities; Springer: Berlin/Heidelberg, Germany, 2018. [Google Scholar]
- Hagenauer, F.; Higuchi, T.; Altintas, O.; Dressler, F. Efficient data handling in vehicular micro clouds. Ad Hoc Netw. 2019, 91, 101871. [Google Scholar] [CrossRef]
- Brennand, C.A.R.L.; Boukerche, A.; Meneguette, R.; Villas, L.A. A novel urban traffic management 510 mechanism based on FOG. In Proceedings of the 2017 IEEE Symposium on Computers and Communications (ISCC), Heraklion, Greece, 3–6 July 2017; pp. 377–382. [Google Scholar]
- Roman, R.; Lopez, J.; Mambo, M. Mobile edge computing, fog et al.: A survey and analysis of security threats and challenges. Future Gener. Comput. Syst. 2018, 78, 680–698. [Google Scholar] [CrossRef]
- Sahay, R.; Meng, W.; Jensen, C.D. The application of Software Defined Networking on securing computer networks: A survey. J. Netw. Comput. Appl. 2019, 131, 89–108. [Google Scholar] [CrossRef]
- Meneguette, R.I.; Boukerche, A. A cooperative and adaptive resource scheduling for Vehicular Cloud. In Proceedings of the IEEE Symposium on Computers and Communications (ISCC), Heraklion, Greece, 3–6 July 2017; pp. 398–403. [Google Scholar] [CrossRef]
- Wang, T.; Liang, Y.; Jia, W.; Arif, M.; Liu, A.; Xie, M. Coupling resource management based on fog computing in smart city systems. J. Netw. Comput. Appl. 2019, 135, 11–19. [Google Scholar] [CrossRef]
- Meneguette, R.I.; Geraldo Filho, P.; Bittencourt, L.F.; Ueyama, J.; Krishnamachari, B.; Villas, L.A. Enhancing intelligence in inter-vehicle communications to detect and reduce congestion in urban centers. In Proceedings of the 2015 IEEE Symposium on Computers and Communication (ISCC), Larnaca, Cyprus, 6–9 July 2015; pp. 1–6. [Google Scholar]
- Rejiba, Z.; Masip-Bruin, X.; Marín-Tordera, E. A survey on mobility-induced service migration in the fog, edge, and related computing paradigms. ACM Comput. Surv. (CSUR) 2019, 52, 1–33. [Google Scholar] [CrossRef]
- Zhang, B.; Mao, X.; Yu, J.; Han, Z. Resource Allocation for 5G Heterogeneous Cloud Radio Access Networks With D2D Communication: A Matching and Coalition Approach. IEEE Trans. Veh. Technol. 2018, 67, 5883–5894. [Google Scholar] [CrossRef]
- Dighriri, M.; Alfoudi, A.S.D.; Lee, G.M.; Baker, T.; Pereira, R. Resource allocation scheme in 5G network slices. In Proceedings of the 32nd International Conference on Advanced Information Networking and Applications Workshops (WAINA), Krakow, Poland, 16–18 May 2018; pp. 275–280. [Google Scholar] [CrossRef]
- Li, W.; Wang, J.; Yang, G.; Zuo, Y.; Shao, Q.; Li, S. Energy efficiency maximization oriented resource allocation in 5G ultra-dense network: Centralized and distributed algorithms. Comput. Commun. 2018, 130, 10–19. [Google Scholar] [CrossRef]
- Huo, L.; Jiang, D. Stackelberg game-based energy-efficient resource allocation for 5G cellular networks. Telecommun. Syst. 2019, 72, 377–388. [Google Scholar] [CrossRef]
- Hao, Y.; Tian, D.; Fortino, G.; Zhang, J.; Humar, I. Network Slicing Technology in a 5G Wearable Network. IEEE Commun. Stand. Mag. 2018, 2, 66–71. [Google Scholar] [CrossRef]
- Hao, Y.; Jiang, Y.; Hossain, M.S.; Ghoneim, A.; Yang, J.; Humar, I. Data-driven Resource Management in a 5G Wearable Network using Network Slicing Technology. IEEE Sens. J. 2019, 19, 8379–8386. [Google Scholar] [CrossRef]
- Gutierrez-Estevez, D.M.; Gramaglia, M.; De Domenico, A.; Dandachi, G.; Khatibi, S.; Tsolkas, D.; Balan, I.; Garcia-Saavedra, A.; Elzur, U.; Wang, Y. Artificial Intelligence for Elastic Management and Orchestration of 5G Networks. IEEE Wirel. Commun. 2019, 26, 134–141. [Google Scholar] [CrossRef]
- Dao, N.N.; Park, M.; Kim, J.; Paek, J.; Cho, S. Resource-aware Relay Selection for Inter-cell Interference Avoidance in 5G Heterogeneous Network for Internet of Things systems. Future Gener. Comput. Syst. 2019, 93, 877–887. [Google Scholar] [CrossRef]
- Brennand, C.A.R.L.; da Cunha, F.D.; Maia, G.; Cerqueira, E.; Loureiro, A.A.F.; Villas, L.A. FOX: A traffic management system of computer-based vehicles FOG. In Proceedings of the 2016 IEEE Symposium on Computers and Communication (ISCC), Messina, Italy, 27–30 June 2016; pp. 982–987. [Google Scholar]
- Song, S.; Lee, C.; Cho, H.; Lim, G.; Chung, J. Clustered Virtualized Network Functions Resource Allocation based on Context-Aware Grouping in 5G Edge Networks. IEEE Trans. Mob. Comput. 2019, 19, 1072–1083. [Google Scholar] [CrossRef]
- van Lingen, F.; Yannuzzi, M.; Jain, A.; Irons-Mclean, R.; Lluch, O.; Carrera, D.; Perez, J.L.; Gutierrez, A.; Montero, D.; Marti, J.; et al. The Unavoidable Convergence of NFV, 5G, and Fog: A Model-Driven Approach to Bridge Cloud and Edge. IEEE Commun. Mag. 2017, 55, 28–35. [Google Scholar] [CrossRef]
- Yu, Y.; Zhang, J.; Letaief, K.B. Joint Subcarrier and CPU Time Allocation for Mobile Edge Computing. In Proceedings of the IEEE Global Communications Conference (GLOBECOM), Washington, DC, USA, 4–8 December 2016; pp. 1–6. [Google Scholar] [CrossRef]
- Gai, K.; Qiu, M.; Zhao, H.; Tao, L.; Zong, Z. Dynamic energy-aware cloudlet-based mobile cloud computing model for green computing. J. Netw. Comput. Appl. 2016, 59, 46–54. [Google Scholar] [CrossRef]
- Gai, K.; Qiu, M.; Zhao, H. Energy-awaretask assignment for mobile cyber-enabled applications in heterogeneous cloud computing. J. Parallel Distrib. Comput. 2018, 111, 126–135. [Google Scholar] [CrossRef]
- Ali, A.; Shah, G.A.; Arshad, J. Energy Efficient Resource Allocation for M2M Devices in 5G. Sensors 2019, 19, 1830. [Google Scholar] [CrossRef]
- Peng, H.; Shen, X.S. Deep Reinforcement Learning based Resource Management for Multi-Access Edge Computing in Vehicular Networks. IEEE Trans. Netw. Sci. Eng. 2020, 1. [Google Scholar] [CrossRef]
- Wang, J.; He, B.; Wang, J.; Li, T. Intelligent VNFs Selection Based on Traffic Identification in Vehicular Cloud Networks. IEEE Trans. Veh. Technol. 2019, 68, 4140–4147. [Google Scholar] [CrossRef]
- Kiani, A.; Ansari, N. Edge Computing Aware NOMA for 5G Networks. IEEE Internet Things J. 2018, 5, 1299–1306. [Google Scholar] [CrossRef]
- Agarwal, S.; Malandrino, F.; Chiasserini, C.F.; De, S. VNF Placement and Resource Allocation for the Support of Vertical Services in 5G Networks. IEEE/ACM Trans. Netw. 2019, 27, 433–446. [Google Scholar] [CrossRef]
- Consortium, O. OpenFog Consortium. Available online: http://www.openfogconsortium.org/ (accessed on 7 July 2020).
- Boukerche, A.; Robson, E. Vehicular cloud computing: Architectures, applications, and mobility. Comput. Netw. 2018, 135, 171–189. [Google Scholar] [CrossRef]
- da Costa, J.B.D.; Meneguette, R.I.; Rosário, D.; Villas, L.A. Combinatorial Optimization-based Task Allocation Mechanism for Vehicular Clouds. In Proceedings of the 2020 IEEE 91st Vehicular Technology Conference (VTC2020-Spring), Antwerp, Belgium, 25–28 May 2020; pp. 1–5. [Google Scholar]
- Pannu, G.S.; Hagenauer, F.; Higuchi, T.; Altintas, O.; Dressler, F. Keeping Data Alive: Communication Across Vehicular Micro Clouds. In Proceedings of the IEEE 20th International Symposium on “a World of Wireless, Mobile and Multimedia Networks” (WoWMoM), Washington, DC, USA, 10–12 June 2019; pp. 1–9. [Google Scholar]
- Thakur, A.; Malekian, R. Fog computing for detecting vehicular congestion, an Internet of Vehicles based approach: A review. IEEE Intell. Transp. Syst. Mag. 2019, 11, 8–16. [Google Scholar] [CrossRef]
- Bui, D.M.; Yoon, Y.; Huh, E.N.; Jun, S.; Lee, S. Energy efficiency for cloud computing system based on predictive optimization. J. Parallel Distrib. Comput. 2017, 102, 103–114. [Google Scholar] [CrossRef]
- Muller, K.R.; Mika, S.; Ratsch, G.; Tsuda, K.; Scholkopf, B. An introduction to kernel-based learning algorithms. IEEE Trans. Neural Netw. 2001, 12, 181–201. [Google Scholar] [CrossRef]
- Meneguette, R.I.; Madeira, E.R.M.; Bittencourt, L.F. Multi-network packet scheduling based on vehicular ad hoc network applications. In Proceedings of the 8th International Conference on Network and Service Management (CNSM) and 2012 Workshop on Systems Virtualiztion Management (SVM), Las Vegas, NV, USA, 22–26 October 2012; pp. 214–218. [Google Scholar]
- Bobee, B.B.; Robitaille, R. The use of the Pearson type 3 and log Pearson type 3 distributions revisited. Water Resour. Res. 1977, 13, 427–443. [Google Scholar] [CrossRef]




| Works | User Mobility | Mobility Prediction | Service Time | Method Complexity |
|---|---|---|---|---|
| Song et al. [31] | high | no | no | high |
| Lingen et al. [32] | low | no | no | high |
| Yu et al. [33] | low | no | no | low |
| Ali et al. [36] | low | no | no | low |
| Peng and Shen [37] | low | no | no | high |
| Agarwal et al. [40] | low | no | no | high |
| Wang et al. [38] | low | no | no | high |
| Kiani et al. [39] | low | no | no | high |
| RELIABLE | high | yes | yes | low |
| Term | Description |
|---|---|
| Mobile node (user devices) | |
| w | Maximum number of mobile nodes |
| Maximum limit of connected users at an edge | |
| Available resources in MEC k | |
| o | Maximum number of MEC |
| Service | |
| q | Maximum number of services available from MEC |
| Maximum service managed by MEC | |
| Required resources | |
| Mobility prediction | |
| Service time | |
| Bandwidth | |
| Controller node | |
| x | Vector of location based on time slot |
| Location of the flow in the time slot t | |
| t | Maximum number of time slots |
| y | Joint Gaussian distribution of historical (random value) |
| Gaussian process | |
| Kernel function | |
| Mean function to evaluate at the time location | |
| Decision matrix | |
| M | Normalized matrix |
| Value | Degrees of Importance |
|---|---|
| 3 | The parameter is much more important than the others |
| 2 | The parameter is more important than another |
| 1 | Two parameters have the same importance |
| 1/2 | The parameter is less important than another |
| 1/3 | The parameter is much less important than the others |
| Factor | |||
|---|---|---|---|
| 1 | 2 | 3 | |
| 1/2 | 1 | 3 | |
| 1/3 | 1/3 | 1 |
| Parameter | Value |
|---|---|
| Maps | Manhattan city |
| Number of users | 327, 499, 596, 930 and 1088 |
| Cellular Network | Four connected 5G cell towers |
| User input and output in MEC | Pearson Type III distribution |
| Services | Security and entertainment |
| Security service time | 1 h |
| Security service bandwidth consumption | 1% |
| Security service memory consumption | 0.5% |
| Security service processing consumption | 1.5% |
| Entertainment service time | 2 h |
| Entertainment service bandwidth consumption | 4% |
| Entertainment service memory consumption | 2.5% |
| Entertainment service processing consumption | 2.5% |
© 2020 by the authors. Licensee MDPI, Basel, Switzerland. This article is an open access article distributed under the terms and conditions of the Creative Commons Attribution (CC BY) license (http://creativecommons.org/licenses/by/4.0/).
Share and Cite
Pereira, R.S.; Lieira, D.D.; Silva, M.A.C.d.; Pimenta, A.H.M.; da Costa, J.B.D.; Rosário, D.; Villas, L.; Meneguette, R.I. RELIABLE: Resource Allocation Mechanism for 5G Network using Mobile Edge Computing. Sensors 2020, 20, 5449. https://doi.org/10.3390/s20195449
Pereira RS, Lieira DD, Silva MACd, Pimenta AHM, da Costa JBD, Rosário D, Villas L, Meneguette RI. RELIABLE: Resource Allocation Mechanism for 5G Network using Mobile Edge Computing. Sensors. 2020; 20(19):5449. https://doi.org/10.3390/s20195449
Chicago/Turabian StylePereira, Rickson S., Douglas D. Lieira, Marco A. C. da Silva, Adinovam H. M. Pimenta, Joahannes B. D. da Costa, Denis Rosário, Leandro Villas, and Rodolfo I. Meneguette. 2020. "RELIABLE: Resource Allocation Mechanism for 5G Network using Mobile Edge Computing" Sensors 20, no. 19: 5449. https://doi.org/10.3390/s20195449
APA StylePereira, R. S., Lieira, D. D., Silva, M. A. C. d., Pimenta, A. H. M., da Costa, J. B. D., Rosário, D., Villas, L., & Meneguette, R. I. (2020). RELIABLE: Resource Allocation Mechanism for 5G Network using Mobile Edge Computing. Sensors, 20(19), 5449. https://doi.org/10.3390/s20195449

