Estimation and Prediction of Vertical Deformations of Random Surfaces, Applying the Total Least Squares Collocation Method
Abstract
1. Introduction
2. Basic Assumptions and Models
2.1. Surface Fluctuation
2.2. Heights and Displacements Models
3. Optimisation Problem and Its Solution
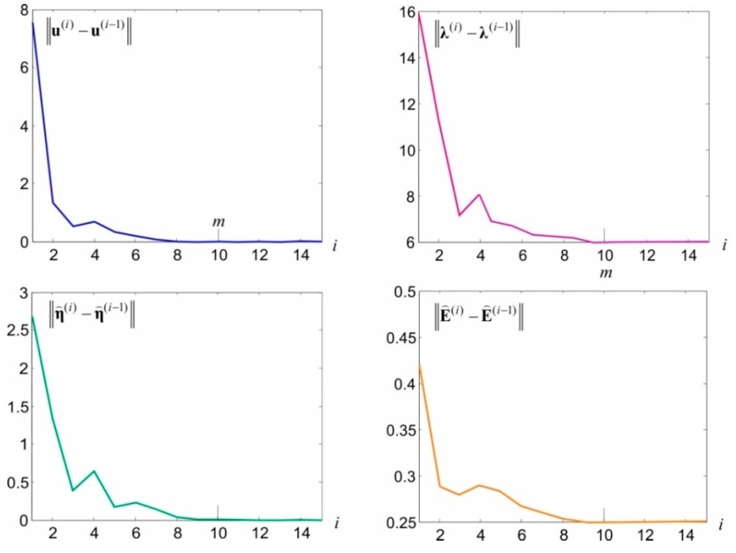
4. Numerical Tests
4.1. Simulated Levelling Network
- Generation of mutually independent elements of vectors, , using generator .
- Creation of a covariance matrix of signals vector for the adopted covariance function , .
- Calculation of signals vectors , , based on the R matrix of , distribution and simulated vectors .
- Calculation of simulated random displacements vector of .
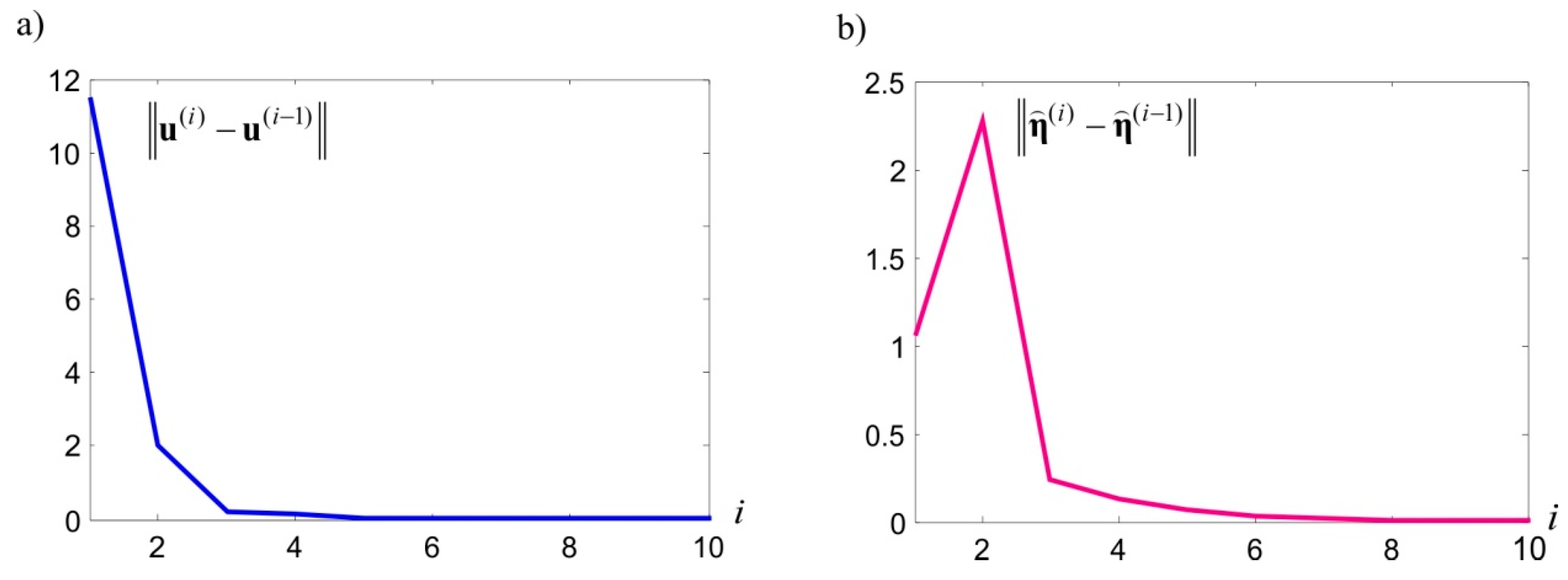
4.2. Real Free Control Network
5. Conclusions
Author Contributions
Funding
Conflicts of Interest
References
- Meo, M.; Zumpano, G. On the optimal sensor placement techniques for a bridge structure. Eng. Struct. 2005, 27, 1488–1497. [Google Scholar] [CrossRef]
- Glišić, B.; Inaudi, D. Fibre Optic Methods for Structural Health Monitoring; John Wiley & Sons: Chichester, UK, 2007; p. 276. [Google Scholar]
- Cai, J.; Wang, J.; Wu, J.; Hu, C.; Grafarend, E.; Chen, J. Horizontal deformation rate analysis based on multiepoch GPS measurements in Shanghai. J. Surv. Eng. 2008, 134, 132–137. [Google Scholar] [CrossRef]
- Li, L.; Kuhlmann, H. Deformation detection in the GPS real–time series by the multiple Kalman filters model. J. Surv. Eng. 2010, 136, 157–164. [Google Scholar] [CrossRef]
- Yi, T.H.; Li, H.N.; Gu, M. Experimental assessment of high–rate GPS receivers for deformation monitoring of bridge. Measurement 2013, 46, 420–432. [Google Scholar] [CrossRef]
- Xiao, Z.; Liang, J.; Yu, D.; Asundi, A. Large field–of–view deformation measurement for transmission tower based on close–range photogrammetry. Measurement 2011, 44, 1705–1712. [Google Scholar] [CrossRef]
- Lindenbergh, R.; Pietrzyk, P. Change detection and deformation analysis using static and mobile laser scanning. Appl. Geomat. 2015, 7, 65–74. [Google Scholar] [CrossRef]
- Pingue, F.; Petrazzuoli, S.M.; Obrizzo, F.; Tammaro, U.; De Martino, P.; Zuccaro, G. Monitoring system of buildings with high vulnerability in presence of slow ground deformations (The Campi Flegrei, Italy, case). Measurement 2011, 44, 1628–1644. [Google Scholar] [CrossRef]
- Baselga, S.; García–Asenjo, L.; Garrigues, P. Deformation monitoring and the maximum number of stable points method. Measurement 2015, 70, 27–35. [Google Scholar] [CrossRef]
- Chen, Y.Q.; Chrzanowski, A.; Secord, J.M. A strategy for the analysis of the stability of reference points in deformation surveys. CISM JACSGG 1990, 44, 141–149. [Google Scholar] [CrossRef]
- Amiri–Simkooei, A.R.; Alaei–Tabatabaei, S.M.; Zangeneh–Nejad, F.; Voosoghi, B. Stability Analysis of Deformation–Monitoring Network Points Using Simultaneous Observation Adjustment of Two Epochs. J. Surv. Eng. 2017, 143, 1–12. [Google Scholar] [CrossRef]
- Koch, K.R. Parameter Estimation and Hypothesis Testing in Linear Models, 2nd ed.; Springer: Berlin/Heidelberg, Germany, 1999; p. 334. [Google Scholar] [CrossRef]
- Durdag, U.M.; Hekimoglu, S.; Erdogan, B. Reliability of Models in Kinematic Deformation Analysis. J. Surv. Eng. 2018, 144, 1–15. [Google Scholar] [CrossRef]
- Duchnowski, R.; Wiśniewski, Z. Estimation of the shift between parameters of functional models of geodetic observations by applying Msplit estimation. J. Surv. Eng. 2012, 138, 1–8. [Google Scholar] [CrossRef]
- Wiśniewski, Z.; Zienkiewicz, M.H. Shift–M*split estimation in deformation analyses. J. Surv. Eng. 2016, 142, 1–13. [Google Scholar] [CrossRef]
- Chen, Y.Q. Analysis of Deformation Surveys—A Generalized Method; Technical Report No. 94; University of New Brunswick: Fredericton, NB, USA, 1983; pp. 54–72. [Google Scholar]
- Caspary, W.F. Concepts of Network and Deformation Analysis; The University of New South Wales: Utrecht, The Netherlands, 2000; p. 183. Available online: https://trove.nla.gov.au/version/39909771 (accessed on 27 February 2020).
- Even-Tzur, G. Deformation analysis by means of extended free network adjustment constraints. J. Surv. Eng. 2011, 137, 47–52. [Google Scholar] [CrossRef]
- Nowel, K.; Kamiński, W. Robust estimation from observation differences for free control networks. J. Geod. 2014, 88, 749–764. [Google Scholar] [CrossRef][Green Version]
- Denli, H.H. Stable point research on deformation networks. Surv. Rev. 2008, 40, 74–82. [Google Scholar] [CrossRef]
- Mittermayer, E. Zur Ausgleichung freier Netze. Zeitschrift für Vermessungswesen (ZFV) 1972, 11, 481–489. [Google Scholar]
- Mittermayer, E. A generalization of the least–squares method for the adjustment of free networks. Bull. Géodésique 1972, 104, 139–157. [Google Scholar] [CrossRef]
- Wolf, H. Helmers Lösung zum Problem der freien Netze mit singulärer Normal–gleichungsmatrix. Zeitschrift für Vermessungswesen (ZFV) 1972, 5, 189–192. [Google Scholar]
- Perelmuter, A. Adjustment of free networks. Bull. Géodésique 1979, 53, 291–296. [Google Scholar] [CrossRef]
- Papo, H.B.; Perelmuter, A. Datum definition by free net adjustment. Bull. Géodésique 1981, 55, 218–226. [Google Scholar] [CrossRef]
- Caetano, E.; Silva, S.; Bateira, J. A vision system for vibration monitoring of civil engineering structures. Exp. Tech. 2011, 35, 74–82. [Google Scholar] [CrossRef]
- Flesch, R.; Kahmen, H. Building structures as kinematic systems—Dynamic monitoring and system analysis. Int. Assoc. Geod. Symp. 1999, 121, 313–318. [Google Scholar] [CrossRef]
- Reynolds, P. Dynamic testing and monitoring of civil engineering structures. Exp. Tech. 2008, 32. [Google Scholar] [CrossRef]
- Rogozhin, E.A.; Kapustian, N.K.; Antonovskaya, G.N. A New System for Monitoring Hydraulic Engineering Structures. Seism. Instrum. 2018, 54, 531–535. [Google Scholar] [CrossRef]
- Amezquita–Sanchez, J.P.; Adeli, H. Signal Processing Techniques for Vibration–Based Health Monitoring of Smart Structures. Arch. Comput. Methods Eng. 2016, 23, 1–15. [Google Scholar] [CrossRef]
- Krarup, T. A Contribution to the Mathematical Foundation of Physical Geodesy; Publish no. 44; Danish Geodetic Institute: Copenhagen, Denmark, 1969; p. 80. [Google Scholar]
- Moritz, H. A generalized least–squares model. Studia Geophysica Geodaetica 1970, 14, 353–362. [Google Scholar] [CrossRef]
- Moritz, H. Advanced least–squares methods. Department of Geodetic Science, Report; No. 175; Ohio State University: Columbus, OH, USA, 1972. [Google Scholar]
- Moritz, H. Least–Squares Collocation; Deutsche Geodatische Kommission Reihe a Heft: München, Germany, 1973; p. 75. [Google Scholar]
- Koch, K.R. Least squares adjustment and collocation. Bull. Géodésique 1977, 51, 127–135. [Google Scholar] [CrossRef]
- Tscherning, C.C. Collocation and least squares methods as a tool for handling gravity field dependent data obtained through space research techniques. Bull. Géodésique 1978, 52, 199–212. [Google Scholar] [CrossRef]
- Kotsakis, C. The multiresolution character of collocation. J. Geod. 2000, 74, 275–290. [Google Scholar] [CrossRef]
- Kotsakis, C. Least–squares collocation with covariance–matching constraints. J. Geod. 2007, 81, 661–677. [Google Scholar] [CrossRef]
- Deakin, R.E.; Collier, P.A.; Leahy, F.J. Transformation of coordinates using least squares collocation. Aust. Surv. 1994, 396–418. [Google Scholar] [CrossRef]
- Kutoglu, H.; Ayan, T.; Mekik, C. Integrating GPS with national networks by collocation method. Appl. Math. Comput. 2006, 177, 508–514. [Google Scholar] [CrossRef]
- You, R.J.; Hwang, H.W. Coordinate transformation between two geodetic datums of Taiwan by least–squares collocation. J. Surv. Eng. 2006, 132, 64–70. [Google Scholar] [CrossRef]
- Yang, Y.; Zeng, A.; Zhang, J. Adaptive collocation with application in height system transformation. J. Geod. 2009, 83, 403–410. [Google Scholar] [CrossRef]
- Mao, O.; Zhang, L.; Hu, Q.; Yu, J.; Feng, S.; Washington, O.; Gong, H. A least squares collocation method for accuracy improvement of mobile LiDAR systems. Remote Sens. 2015, 7, 7402–7424. [Google Scholar] [CrossRef]
- Tscherning, C.C. Testing frame transformation, gridding and filtering of GOCE gradiometer data by least–squares collocation using simulated data. IAG Proc. 2004, 128, 277–282. [Google Scholar] [CrossRef]
- Tscherning, C.C. The use of least–squares collocation for the processing of GOCE data. Oesterreichische Z. Fuer Vermess. Geoinf. (Austrian Mag. Surv. Geoinf.) 2010, 98, 21–26. [Google Scholar]
- Gómez, D.; Piñón, D.; Smalley, R.; Bevis, M.; Cimbaro, S.; Lenzano, L.; Barón, J. Reference frame access under the effects of great earthquakes: A least squares collocation approach for non–secular post–seismic evolution. J. Geod. 2016, 90, 263–273. [Google Scholar] [CrossRef]
- Yang, Y. Robustifying collocation. Manuscr. Geod. 1992, 17, 21–28. [Google Scholar]
- Schaffrin, B.; Wieser, A. On weighted total least–squares adjustment for linear regression. J. Geod. 2008, 82, 415–421. [Google Scholar] [CrossRef]
- Shen, Y.; Li, B.; Chen, Y. An iterative solution of weighted total least–squares adjustment. J. Geod. 2011, 85, 229–238. [Google Scholar] [CrossRef]
- Mahboub, V. On weighted total least–squares for geodetic transformations. J. Geod. 2012, 86, 359–367. [Google Scholar] [CrossRef]
- Ditlevsen, O. Traffic loads on large bridges modeled as white–noise fields. ASCE J. Eng. Mech. 1994, 120, 681–694. [Google Scholar] [CrossRef]
- Lifshits, M.A. Gaussian Random Functions; Spinger Science+Business Media: Dordrecht, The Netherlands, 1995; p. 337. [Google Scholar] [CrossRef]
- Koch, K.R. Bayesian Inference with Geodetic Applications; Springer: Berlin/Heidelberg, Germany, 1990; p. 199. [Google Scholar] [CrossRef]
- Osborne, M. Bayesian Gaussian Processes for Sequential Prediction, Optimization and Quadrature; New College, University of Oxford: London, UK, 2010. [Google Scholar]
- Magnus, J.R. Linear Structures; Charles Griffin and Company Ltd.: London, UK; Oxford University Press: London, UK, 1988. [Google Scholar]
- Bock, Y. Estimating crustal deformations from a combination of baseline measurements and geophysical models. J. Geod. 1983, 57, 294–311. [Google Scholar] [CrossRef]
- Rao, C.R. Linear Statistical Inference and Its Applications; John Wiley & Sons Inc.: New York, NY, USA, 1973. [Google Scholar] [CrossRef]
- Moritz, H. Statistical foundations of collocation. Boll. Geod. Sci. Affini 1980, 2, 131–150. [Google Scholar]









| 0.0 | 0.1 | 0.2 | 0.3 | 0.0 | 0.1 | 0.2 | 0.3 | 0.0 | 0.1 | 0.2 | 0.3 | |
| 0.24 | 0.24 | 0.24 | 0.24 | 0.29 | 0.29 | 0.29 | 0.29 | 0.40 | 0.40 | 0.40 | 0.40 | |
| 0.24 | 0.24 | 0.24 | 0.24 | 0.29 | 0.29 | 0.29 | 0.29 | 0.40 | 0.40 | 0.40 | 0.40 | |
| 0.0 | 0.1 | 0.2 | 0.3 | 0.0 | 0.1 | 0.2 | 0.3 | 0.0 | 0.1 | 0.2 | 0.3 | |
| 0.46 | 0.63 | 0.99 | 1.41 | 0.49 | 0.66 | 1.00 | 1.40 | 0.57 | 0.71 | 1.03 | 1.44 | |
| 0.24 | 0.24 | 0.24 | 0.24 | 0.29 | 0.29 | 0.29 | 0.29 | 0.40 | 0.40 | 0.40 | 0.40 | |
| 0.0 | 0.1 | 0.2 | 0.3 | 0.0 | 0.1 | 0.2 | 0.3 | 0.0 | 0.1 | 0.2 | 0.3 | |
| 0.81 | 0.93 | 1.21 | 1.55 | 0.84 | 0.94 | 1.20 | 1.56 | 0.89 | 1.00 | 1.24 | 1.58 | |
| 0.24 | 0.24 | 0.24 | 0.24 | 0.29 | 0.29 | 0.29 | 0.29 | 0.40 | 0.40 | 0.40 | 0.40 | |
| CP | |||||||
|---|---|---|---|---|---|---|---|
| −5 | −4.43 | −5.05 | 0.87 | 0.41 | −4.13 | −4.64 | |
| 0 | 0.86 | 0.05 | 0.57 | 0.60 | 0.57 | 0.64 | |
| 0 | 1.09 | 0.27 | 0.09 | 0.61 | 0.09 | 0.87 | |
| 0 | 1.08 | 0.51 | 0.11 | 0.36 | 0.11 | 0.86 | |
| 0 | 2.50 | 2.42 | 0.78 | −0.13 | 0.78 | 2.29 | |
| 0 | 1.44 | 1.84 | 0.45 | −0.61 | 0.45 | 1.23 | |
| 0 | 0.29 | 0.63 | −0.07 | −0.56 | −0.07 | 0.08 | |
| 0 | 1.40 | 1.50 | 0.11 | −0.31 | 0.11 | 1.19 | |
| 0 | 1.72 | 1.36 | 0.71 | 0.14 | 0.71 | 1.51 | |
| 0 | 0.88 | 0.14 | 0.81 | 0.52 | 0.81 | 0.66 | |
| 0 | −0.73 | −1.77 | −0.05 | 0.82 | −0.05 | −0.95 | |
| 0 | −0.11 | −0.21 | −0.26 | −0.12 | −0.26 | −0.33 | |
| 0 | 0.33 | 1.10 | −0.78 | −0.99 | −0.78 | 0.11 | |
| 0 | −0.40 | 0.57 | −0.61 | −1.19 | −0.61 | −0.62 | |
| 0 | 0.69 | 1.29 | 0.14 | −0.82 | 0.14 | 0.48 | |
| 0 | 0.44 | 0.67 | −0.11 | −0.45 | −0.11 | 0.22 | |
| 0 | −1.48 | −0.64 | −1.15 | −1.05 | −1.15 | −1.69 | |
| 0 | −1.47 | −0.65 | −1.58 | −1.04 | −1.58 | −1.69 | |
| 0 | −1.13 | −1.07 | −1.04 | −0.28 | −1.04 | −1.35 | |
| 0 | −1.55 | −0.47 | −0.73 | 0.70 | −0.73 | −1.77 | |
| 0 | 0.27 | 0.18 | −0.86 | −0.14 | −0.86 | 0.05 | |
| 0 | −0.50 | −0.02 | −0.98 | −0.69 | −0.98 | −0.72 | |
| 0 | −1.88 | –1.19 | –1.38 | –0.91 | –1.38 | –2.09 | |
| 0 | –0.85 | – 0.55 | –0.87 | –0.52 | –0.87 | –1.07 | |
| 0 | 1.53 | 1.09 | 0.22 | 0.23 | 0.22 | 1.32 | |
| ECP | |||||||
| – | – | 0.16 | 0.19 | 0.61 | – | 0.77 | |
| – | – | 0.39 | 0.10 | 0.51 | – | 0.90 | |
| – | – | 1.49 | 0.41 | 0.21 | − | 1.70 | |
| − | − | −0.86 | −1.16 | −0.75 | − | −1.61 | |
| − | − | 0.29 | −0.19 | −0.08 | − | 0.21 | |
| −6.9 | 11.6 | −13.2 | −25.3 | −3.6 | −14.9 | 20.6 | −3.4 | 8.5 | −15.7 | 8.2 | 0.1 | 12.1 | −29.7 | |
| −3.5 | 8.9 | −6.6 | 23.4 | −1.2 | −13.9 | 23.2 | −2.7 | 10.8 | −17.5 | 7.9 | −0.4 | 14.8 | −38.2 | |
| 3.4 | −2.7 | 6.6 | −1.9 | 2.4 | 1.0 | 2.6 | 0.7 | 2.3 | −1.8 | −0.3 | −0.5 | 2.7 | −8.5 |
| CP | |||||||
| −5.97 | −6.10 | −6.35 | 0.03 | 0.10 | −6.07 | −6.24 | |
| −2.98 | −2.91 | −2.76 | −0.16 | −0.49 | −3.07 | −3.25 | |
| −6.12 | −5.60 | −4.58 | −0.61 | −1.82 | −6.21 | −6.39 | |
| 0.05 | 0.62 | 1.76 | −0.66 | −1.99 | −0.04 | −0.23 | |
| −2.27 | −2.44 | −2.78 | 0.08 | 0.24 | −2.36 | −2.54 | |
| −0.29 | −0.72 | −1.57 | 0.33 | 1.00 | −0.39 | −0.57 | |
| 0.27 | 0.21 | 0.09 | −0.03 | −0.09 | 0.18 | −0.00 | |
| 2.45 | 2.33 | 2.09 | 0.03 | 0.08 | 2.36 | 2.17 | |
| 2.72 | 2.70 | 2.67 | −0.08 | −0.23 | 2.62 | 2.44 | |
| 4.60 | 4.16 | 3.30 | 0.34 | 1.03 | 4.50 | 4.32 | |
| 2.35 | 2.25 | 2.06 | 0.01 | 0.02 | 2.26 | 2.07 | |
| 1.59 | 1.72 | 1.96 | −0.21 | −0.64 | 1.51 | 1.32 | |
| 0.66 | 0.80 | 1.09 | −0.24 | −0.71 | 0.56 | 0.38 | |
| 2.95 | 2.97 | 3.02 | −0.12 | −0.35 | 2.85 | 2.67 | |
| ECP | |||||||
| −0.81 | −0.37 | −0.28 | −0.83 | −1.09 | −1.20 | ||
| −0.13 | −0.51 | 0.07 | 0.21 | −0.06 | −0.30 | ||
| 2.48 | 2.32 | 0.01 | 0.04 | 2.49 | 2.36 | ||
| 3.52 | 2.87 | 0.27 | 0.81 | 3.79 | 3.68 | ||
© 2020 by the authors. Licensee MDPI, Basel, Switzerland. This article is an open access article distributed under the terms and conditions of the Creative Commons Attribution (CC BY) license (http://creativecommons.org/licenses/by/4.0/).
Share and Cite
Wiśniewski, Z.; Kamiński, W. Estimation and Prediction of Vertical Deformations of Random Surfaces, Applying the Total Least Squares Collocation Method. Sensors 2020, 20, 3913. https://doi.org/10.3390/s20143913
Wiśniewski Z, Kamiński W. Estimation and Prediction of Vertical Deformations of Random Surfaces, Applying the Total Least Squares Collocation Method. Sensors. 2020; 20(14):3913. https://doi.org/10.3390/s20143913
Chicago/Turabian StyleWiśniewski, Zbigniew, and Waldemar Kamiński. 2020. "Estimation and Prediction of Vertical Deformations of Random Surfaces, Applying the Total Least Squares Collocation Method" Sensors 20, no. 14: 3913. https://doi.org/10.3390/s20143913
APA StyleWiśniewski, Z., & Kamiński, W. (2020). Estimation and Prediction of Vertical Deformations of Random Surfaces, Applying the Total Least Squares Collocation Method. Sensors, 20(14), 3913. https://doi.org/10.3390/s20143913

