Evaluation of Delamination in Concrete by IE Testing Using Multi-Channel Elastic Wave Data
Abstract
1. Introduction
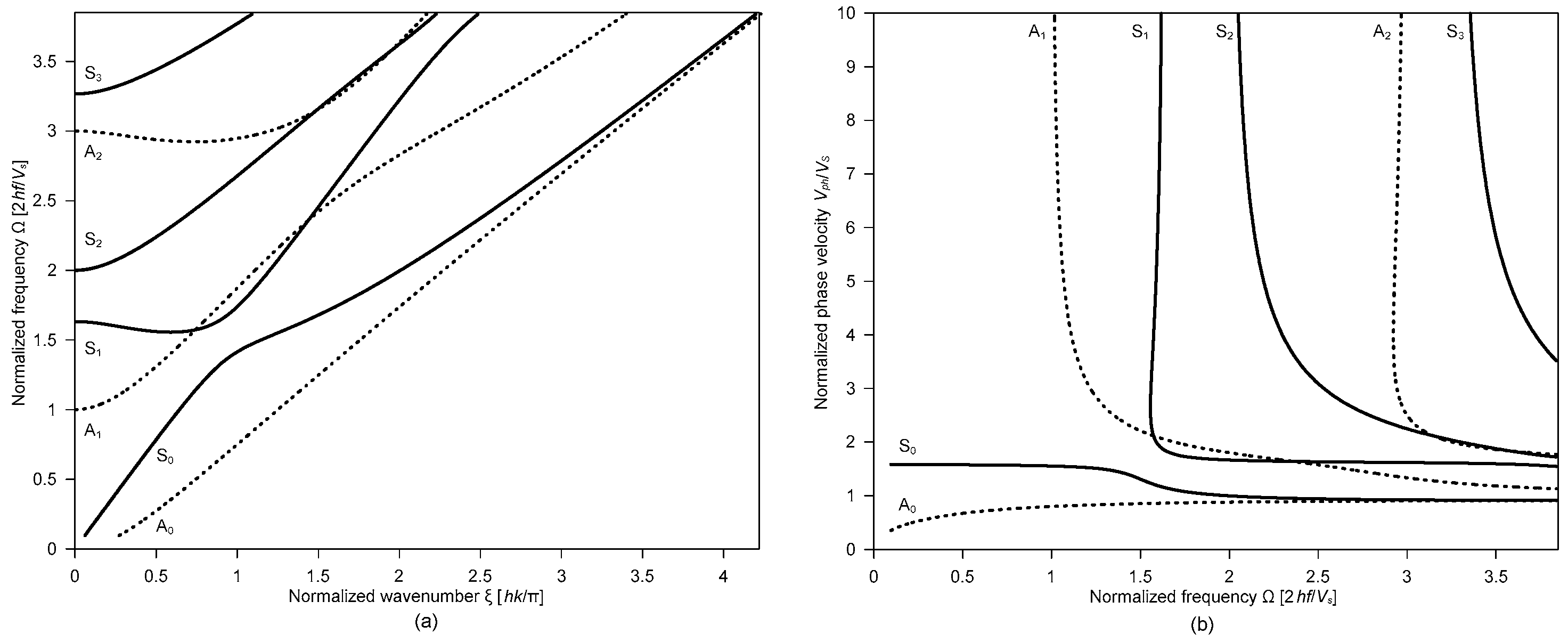
2. Theoretical Background of IE
3. Experiments
3.1. Preparation of Concrete Specimens
3.2. Test Setup for Multi-Channel Elastic Wave Measurements
3.3. Test Procedure
4. Analysis of Multi-Channel Elastic Wave Signals
4.1. Typical Time Signals
4.2. Dispersion Imaging Scheme by the Phase-Shift Method
4.3. Analysis of Non-Propagating Waves over Delamination Defects
4.4. Analysis of Propagating Waves over Delamination Defects
5. Visualization of Delamination Defects in Concrete
5.1. Surface Wave Velocity Map
5.2. Frequency Map
5.3. Thickness Estimation
6. Summary and Conclusions
- (1)
- The depths of the delamination defects in concrete slab specimens were estimated by the two important wave modes: non-propagating waves (S1 ZGV Lamb mode) and propagating waves (A0 Lamb wave mode). The dominant non-propagating waves were effective for relatively deep delamination (250 mm in this study), while the propagating waves are valid for relatively shallow delamination (50 mm in this study). The estimated depths of delamination defects have a good agreement with the as-built depths in the simulated concrete slabs in this study. Test results show that the size of delamination defects have a great influence on the estimation errors, edS1ZGV or edA0, of the depth of delamination defects from the S1 ZGV Lamb mode and A0 Lamb mode, respectively: lateral dimensions should be at least 300 mm to obtain relatively accurate depth estimation from the two important wave modes. According to experiences of the authors from the laboratory and field tests, the test method using the S1 ZGV Lamb mode can be applicable to the delamination defects with a depth greater than 150 mm; and the analysis of A0 Lamb wave mode to the shallow delamination defects with a depth less than 100 mm.
- (2)
- It was demonstrated that the non-propagating waves associated with flexural vibration modes over relatively shallow delamination defects in concrete are effective for estimating the lateral dimensions of the defects. The estimated lateral dimension of the shallow delamination defects (DL1, 2, 5, and 6) in the concrete slab specimens in this study show a good agreement with the as-built sizes, with the estimation errors (ec) ranging from 4.6% to 13% without regard to the size of delamination defects considered in this study.
- (3)
- Delamination defects in concrete slab specimens were visualized by mapping the three critical parameters, which include surface wave velocity, peak frequency, and depth of delamination defects. The delamination maps were effective for visualizing the areal extents and depths of delamination defects in concrete, which gives a way of estimating the damage volume in concrete.
- (4)
- There are two important benefits of using the multi-channel elastic wave measurements for the evaluation of delamination defects in concrete. First, it enables us to simultaneously extract two important wave modes (A0 and S1 ZGV Lamb wave mode). Second, the fusion of data from two important wave modes could result in a more accurate and consistent evaluation of delamination defects in concrete.
- (5)
- The results in this study were obtained from concrete slab specimens with simulated delamination defects in the laboratory. More studies are still needed to obtain more general conclusions of the feasibility of multi-channel elastic wave measurements.
Author Contributions
Funding
Conflicts of Interest
References
- Mehta, P.K.; Monteiro, P.J.M. Concrete-Microstructure, Properties, and Materials, 3rd ed.; McGraw-Hill: New York, NY, USA, 1993. [Google Scholar]
- Gucunski, N. Nondestructive Testig to Identify Concrete Bridge Deck Deterioration; Transportation Research Board: Washington, DC, USA, 2013. [Google Scholar]
- American Society of Civil Engineers (ASCE). ASCE 2017 Report Card for America’s Infrastructure. 2017. Available online: https://www.infrastructurereportcard.org/ (accessed on 8 August 2019).
- Rhee, J.-Y.; Choi, J.-J.; Kee, S.-H. Evaluation of the depth of deteriorations in concrete bridge decks with asphalt overlays using air-coupled GPR: A case study from a pilot bridge on Korean expressway. Int. J. Concr. Struct. Mater. 2019, 13, 399–415. [Google Scholar] [CrossRef]
- Sansalone, M.; Carino, N.J. Detecting Delaminations in Concrete Slabs with and without Overlays Using the Impact-Echo Method. ACI Mater. J. 1989, 86, 175–184. [Google Scholar]
- Kee, S.-H.; Oh, T.; Popovics, J.S.; Arndt, R.W.; Zhu, J. Nondestructive Bridge Deck Testing with Air-Coupled Impact-Echo and Infrared Thermography. J. Bridge Eng. 2011, 17, 928–939. [Google Scholar] [CrossRef]
- Oh, T.; Kee, S.-H.; Arndt, R.W.; Popovics, J.S.; Zhu, J. Comparison of NDT Methods for Assessment of a Concrete Bridge Deck. J. Eng. Mech. 2013, 139, 305–314. [Google Scholar] [CrossRef]
- Kim, D.S.; Seo, W.S.; Lee, K.M. IE-SASW method for nondestructive evaluation of concrete structure. NDT E Int. 2006, 39, 143–154. [Google Scholar] [CrossRef]
- Baggens, O.; Ryden, N. Systematic errors in Impact-echo thickness estimation due to near field effects. NDT E Int. 2015, 69, 16–27. [Google Scholar] [CrossRef]
- Ryden, N.; Park, C. A combined multichannel impact-echo and surface wave analysis scheme for non-destructive thickness and stiffness evalaution of concrete slabs. In Proceedings of the 6th International Symposium on NDT in Civil Engineering, Saint Louis, MO, USA, 14–18 August 2006; pp. 247–253. [Google Scholar]
- Joglekar, D.M.; Mitra, M. Nonlinear analysis of flexural wave propagation through 1D waveguides with a breathing crack. J. Sound Vib. 2015, 344, 242–257. [Google Scholar] [CrossRef]
- Nguyen, K.L.; Treyssède, F.; Hazard, C. Numerical modeling of three-dimensional open elastic waveguides combining semi-analytical finite element and perfectly matched layer methods. J. Sound Vib. 2015, 344, 158–178. [Google Scholar] [CrossRef]
- Kim, K.-T.; Bathe, K.-J. Transient implicit wave propagation dynamics with the method of finite spheres. Comput. Struct. 2016, 173, 50–60. [Google Scholar] [CrossRef]
- Shen, W.; Li, D.; Zhang, S.; Ou, J. Analysis of wave motion in one-dimensional structures through fast-Fourier-transform-based wavelet finite element method. J. Sound Vib. 2017, 400, 369–386. [Google Scholar] [CrossRef]
- Shen, W.; Li, D.; Ou, J. Modeling dispersive waves in cracked rods using the wavelet-based higher-order rod elements. Int. J. Mech. Sci. 2020, 166, 105236. [Google Scholar] [CrossRef]
- Achenbach, J.D. Wave Propagation in Elastic Solids; North-Holland Pub. Co.: Amsterdam, The Netherlands, 1975. [Google Scholar]
- Tolstoy, I.; Usdin, E. Dispersive properties of stratified elastic and liquid media: A ray theory. Geophysics 1953, 18, 844–869. [Google Scholar] [CrossRef]
- Caliendo, C.; Hamidullah, M. Zero-group-velocity acoustic waveguides for high-frequency resonators. J. Phys. D Appl. Phys. 2017, 50, 474002. [Google Scholar] [CrossRef]
- Gibson, A.; Popovics, J.S. Lamb wave basis for impact-echo method analysis. J. Eng. Mech. 2005, 131, 438–443. [Google Scholar] [CrossRef]
- Holland, S.D.; Chimenti, D.E. High contrast air-coupled acoustic imaging with zero group velocity lamb modes. Ultrasonics 2004, 42, 957–960. [Google Scholar] [CrossRef] [PubMed]
- Prada, C.; Balogun, O.; Murray, T.W. Laser-based ultrasonic generation and detection of zero-group velocity Lamb waves in thin plates. Appl. Phys. Lett. 2005, 87, 194109. [Google Scholar] [CrossRef]
- Simonetti, F.; Lowe, J.S. On the meaning of Lamb mode nonpropagating branches. J. Acoust. Soc. Am. 2005, 118, 186–192. [Google Scholar] [CrossRef]
- Bjurström, H.; Ryden, N. Air-coupled detection of the S1-ZGV Lamb mode in a concrete plate based on backward wave propagation. AIP Conf. Proc. 2013, 1511, 1294–1300. [Google Scholar]
- Hayashi, T.; Kawashima, K. Multiple reflections of Lamb waves at a delamination. Ultrasonics 2002, 40, 193–197. [Google Scholar] [CrossRef]
- Oh, T.; Popovics, J.S.; Sim, S.-H. Analysis of vibration for regions above rectangular delamination defects in solids. J. Sound Vib. 2013, 332, 1766–1776. [Google Scholar] [CrossRef]
- Kee, S.-H.; Gucunski, N. Interpretation of flexural vibration modes from Impact-echo testing. J. Infrastruct. Syst. 2016, 22, 04016009. [Google Scholar] [CrossRef]
- Piezotronics, P. Product Specification Sheet: PCB 352C33. 2019. Available online: https://www.pcb.com/spec_sheet.asp?m=352C33 (accessed on 8 August 2019).
- Park, C.B.; Miller, R.D.; Xia, J. Imaging Dispersion Curves of Surface Waves on Multichannel Record. Available online: https://library.seg.org/doi/abs/10.1190/1.1820161 (accessed on 9 April 2019).
- Prada, C.; Clorennec, D.; Royer, D. Local vibration of an elastic plate and zero-group velocity Lamb modes. J. Acoust. Soc. Am. 2008, 124, 203–212. [Google Scholar] [CrossRef] [PubMed]
- Golden Software. Available online: https://www.goldensoftware.com/ (accessed on 9 April 2019).
- Ghasemi, A.; Zahediasl, S. Normality Tests for Statistical Analysis: A Guide for Non-Statisticians. Int. J. Endocrinol. Metab. 2012, 10, 486–489. [Google Scholar] [CrossRef] [PubMed]
- Guncunski, N.; Romero, F.; Kruschwitz, S.; Feldmann, R.; Abu-Hawash, A.; Dunn, M. Multiple complementary nondestructive evaluation technologies for condition assessment of concrete bridge decks. Transp. Res. Rec. 2010, 2201, 34–44. [Google Scholar] [CrossRef]
- Zhang, Y.; Wei, X.; Tsai, Y.-T.; Zhu, J.; Fetrat, F.A.; Gucunski, N. Multisensor data fusion for impact-echo testing of concrete structures. Smart Mater. Struct. 2012, 21, 075021. [Google Scholar] [CrossRef]


















| ID | As-Built Dimensions [mm] | f [Hz] | VR [m/s] | Estimated Dimensions [mm] | Error [%] | ||||||
|---|---|---|---|---|---|---|---|---|---|---|---|
| cx | cy | d | ec | edA0 | edS1ZGV | ||||||
| Solid | - | - | 300 | 5800 | 1831 | - | 191 | 297 | - | 36.3 | 1.0 |
| DL1 | 300 | 300 | 50 | 2100 | 1567 | 286 | 87 | 785 | 4.6 | 74.0 | 1470.0 |
| DL2 | 150 | 150 | 50 | 4100 | 1589 | 167 | 106 | 421 | 11.3 | 112.0 | 742.0 |
| DL3 | 300 | 300 | 250 | 8100 | 1729 | - | 143 | 213 | - | 42.8 | 14.8 |
| DL4 | 150 | 150 | 250 | 4700 | 1825 | - | 136 | 367 | - | 45.6 | 46.8 |
| DL5 | 600 | 600 | 50 | 2100 | 1408 | 522 | 47 | 822 | 13.0 | 6.0 | 1544.0 |
| DL6 | 600 | 300 | 50 | 2300 | 1547 | 277 | 56 | 751 | 7.6 | 12.0 | 1402.0 |
| DL7 | 600 | 300 | 250 | 6600 | 1834 | - | 175 | 261 | - | 30.0 | 4.4 |
| ID | K-S Test Results | Mean [m/s] | Standard Deviation [m/s] | COV [%] | |
|---|---|---|---|---|---|
| h | p-Value | ||||
| Group 1 over solid concrete | 0 | 0.3040 | 1845 | 97.0 | 5.3 |
| Group 2 over deep DL | 0 | 0.6710 | 1850 | 74.1 | 4.1 |
| Group 3 over shallow DL | 0 | 0.6926 | 1582 | 169 | 10.7 |
| ID | K-S Test Results | Mean [Hz] | Standard Deviation [Hz] | COV [%] | ||
|---|---|---|---|---|---|---|
| h | p-Value | |||||
| Group 1 | 0 | 0.2550 | 6003 | 437 | 7.3 | |
| Group 2 | 0 | 0.8710 | 6445 | 760 | 11.8 | |
| Group 3 | core | 0 | 0.0843 | 3298 | 362 | 10.9 |
| perimeter | 0 | 0.3435 | 5658 | 606 | 10.6 | |
© 2019 by the authors. Licensee MDPI, Basel, Switzerland. This article is an open access article distributed under the terms and conditions of the Creative Commons Attribution (CC BY) license (http://creativecommons.org/licenses/by/4.0/).
Share and Cite
Kee, S.-H.; Lee, J.-W.; Candelaria, M.D. Evaluation of Delamination in Concrete by IE Testing Using Multi-Channel Elastic Wave Data. Sensors 2020, 20, 201. https://doi.org/10.3390/s20010201
Kee S-H, Lee J-W, Candelaria MD. Evaluation of Delamination in Concrete by IE Testing Using Multi-Channel Elastic Wave Data. Sensors. 2020; 20(1):201. https://doi.org/10.3390/s20010201
Chicago/Turabian StyleKee, Seong-Hoon, Jin-Wook Lee, and Ma. Doreen Candelaria. 2020. "Evaluation of Delamination in Concrete by IE Testing Using Multi-Channel Elastic Wave Data" Sensors 20, no. 1: 201. https://doi.org/10.3390/s20010201
APA StyleKee, S.-H., Lee, J.-W., & Candelaria, M. D. (2020). Evaluation of Delamination in Concrete by IE Testing Using Multi-Channel Elastic Wave Data. Sensors, 20(1), 201. https://doi.org/10.3390/s20010201

