Support-Material-Free Microfluidics on an Electrochemical Sensors Platform by Aerosol Jet Printing
Abstract
1. Introduction
2. Materials and Methods
2.1. Platform Design and Material Choice
2.2. Fabrication Process
2.3. Geometrical Analysis and Electrical Resistances
2.4. Electrochemical Analysis
2.5. Glucose Sensing
3. Results and Discussion
3.1. Geometrical Analysis and Electrical Resistances
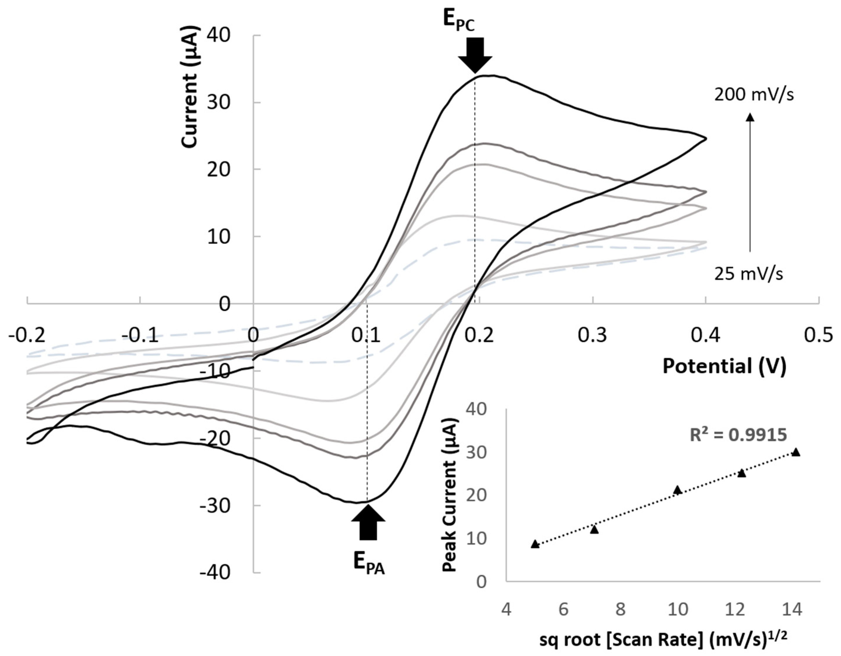
3.2. Electrochemical Analysis
3.3. Glucose Sensing
4. Conclusions
Author Contributions
Funding
Acknowledgments
Conflicts of Interest
References
- Saem, S.; Zhu, Y.; Luu, H.; Moran-Mirabal, J. Bench-top fabrication of an all-PDMS microfluidic electrochemical cell sensor integrating micro/nanostructured electrodes. Sensors 2017, 17, 732. [Google Scholar] [CrossRef] [PubMed]
- Hart, J.; Honeychurch, K.; Westmacott, K.; Crew, A.; Hughes, G.; Pemberton, R. Recent Advances in the Fabrication and Application of Screen-Printed Electrochemical (Bio)Sensors Based on Carbon Materials for Biomedical, Agri-Food and Environmental Analyses. Biosensors 2016, 6, 50. [Google Scholar]
- Nesakumar, N.; Kesavan, S.; Li, C.-Z.; Alwarappan, S. Microfluidic Electrochemical Devices for Biosensing. J. Anal. Test. 2019. [Google Scholar] [CrossRef]
- Roglic, G. Global report on diabetes. World Heal. Organ. 2014, 58, 1–88. [Google Scholar]
- Wang, J. Electrochemical glucose biosensors. Electrochem. Sensors Biosens. Their Biomed. Appl. 2008, 57–69. [Google Scholar]
- Hughes, G.; Pemberton, R.M.; Nicholas, P.; Hart, J.P. Fabrication of Miniaturised Screen-printed Glucose Biosensors, Using a Water-based Ink, and the Evaluation of their Electrochemical Behaviour. Electroanalysis 2018, 30, 1608–1612. [Google Scholar] [CrossRef]
- Nery, E.W.; Kundys, M.; Jeleń, P.S.; Jönsson-Niedziólka, M. Electrochemical glucose sensing: Is there still room for improvement? Anal. Chem. 2016, 88, 11271–11282. [Google Scholar] [CrossRef]
- So, Y.T.; Sabbagh, M.N.; Herbert, C.; Boxer, A.; Karydas, A.; Sparks, D.L.; Robinson, W.H.; Takeda-Uchimura, Y.; Miller, B.L.; Leszek, J.; et al. Classification and prediction of clinical Alzheimer’s diagnosis based on plasma signaling proteins. Nat. Med. 2007, 13, 1359–1362. [Google Scholar]
- Kim, H.J.; Li, H.; Collins, J.J.; Ingber, D.E. Contributions of microbiome and mechanical deformation to intestinal bacterial overgrowth and inflammation in a human gut-on-a-chip. Proc. Natl. Acad. Sci. USA 2015, 113, E7–E15. [Google Scholar] [CrossRef]
- Hayat, A.; Marty, J.L. Disposable screen printed electrochemical sensors: Tools for environmental monitoring. Sensors 2014, 14, 10432–10453. [Google Scholar] [CrossRef]
- Meadows, D. Recent developments with biosensing technology and applications in the pharmaceutical industry. Adv. Drug Deliv. Rev. 1996, 21, 179–189. [Google Scholar] [CrossRef]
- Lequin, R.M. Enzyme immunoassay (EIA)/enzyme-linked immunosorbent assay (ELISA). Clin. Chem. 2005, 51, 2415–2418. [Google Scholar] [CrossRef]
- Singh, P. SPR Biosensors: Historical Perspectives and Current Challenges. Sensors Actuators B Chem. 2016, 229, 110–130. [Google Scholar] [CrossRef]
- Doering, W.E.; Piotti, M.E.; Natan, M.J.; Freeman, R.G. SERS as a foundation for nanoscale, optically detected biological labels. Adv. Mater. 2007, 19, 3100–3108. [Google Scholar] [CrossRef]
- Ma, C.; Sun, Z.; Chen, C.; Zhang, L.; Zhu, S. Simultaneous separation and determination of fructose, sorbitol, glucose and sucrose in fruits by HPLC-ELSD. Food Chem. 2014, 145, 784–788. [Google Scholar] [CrossRef]
- Wu, J.; Liu, Y.; Lin, F.; Rigatto, C.; Dong, M. Lab-on-chip technology for chronic disease diagnosis. NPJ Digit. Med. 2018, 1, 7. [Google Scholar] [CrossRef]
- Lee, G.H.; Lee, J.K.; Kim, J.H.; Choi, H.S.; Kim, J.; Lee, S.H.; Lee, H.Y. Single Microfluidic Electrochemical Sensor System for Simultaneous Multi-Pulmonary Hypertension Biomarker Analyses. Sci. Rep. 2017, 7, 7545. [Google Scholar] [CrossRef]
- Riahi, R.; Shaegh, S.A.M.; Ghaderi, M.; Zhang, Y.S.; Shin, S.R.; Aleman, J.; Massa, S.; Kim, D.; Dokmeci, M.R.; Khademhosseini, A. Automated microfluidic platform of bead-based electrochemical immunosensor integrated with bioreactor for continual monitoring of cell secreted biomarkers. Sci. Rep. 2016, 6, 24598. [Google Scholar] [CrossRef]
- Wang, J. Analytical Electrochemistry, 3rd ed.; John Wiley & Sons, Inc.: Hoboken, NY, USA, 2006; ISBN 9780471678793. [Google Scholar]
- Pasinszki, T.; Krebsz, M.; Tung, T.T.; Losic, D. Carbon nanomaterial based biosensors for non-invasive detection of cancer and disease biomarkers for clinical diagnosis. Sensors 2017, 17, 1919. [Google Scholar] [CrossRef]
- Cantù, E.; Tonello, S.; Abate, G.; Uberti, D.; Sardini, E.; Serpelloni, M. Aerosol Jet Printed 3D Electrochemical Sensors for Protein Detection. Sensors 2018, 18, 3719. [Google Scholar] [CrossRef]
- Couto, R.A.S.; Lima, J.L.F.C.; Quinaz, M.B. Recent developments, characteristics and potential applications of screen-printed electrodes in pharmaceutical and biological analysis. Talanta 2016, 146, 801–814. [Google Scholar] [CrossRef]
- Li, J.; Rossignol, F.; Macdonald, J. Inkjet printing for biosensor fabrication: Combining chemistry and technology for advanced manufacturing. Lab Chip 2015, 15, 2538–2558. [Google Scholar] [CrossRef]
- De Oliveira, T.R.; Fonseca, W.T.; de Oliveira Setti, G.; Faria, R.C. Fast and flexible strategy to produce electrochemical paper-based analytical devices using a craft cutter printer to create wax barrier and screen-printed electrodes. Talanta 2019, 195, 480–489. [Google Scholar] [CrossRef]
- Wang, P.; Ge, L.; Yan, M.; Song, X.; Ge, S.; Yu, J. Paper-based three-dimensional electrochemical immunodevice based on multi-walled carbon nanotubes functionalized paper for sensitive point-of-care testing. Biosens. Bioelectron. 2012, 32, 238–243. [Google Scholar] [CrossRef]
- Dungchai, W.; Chailapakul, O.; Henry, C.S. Electrochemical Detection for Paper-Based Microfluidics. Anal. Chem. 2009, 81, 5821–5826. [Google Scholar] [CrossRef]
- Chiang, C.K.; Kurniawan, A.; Kao, C.Y.; Wang, M.J. Single step and mask-free 3D wax printing of microfluidic paper-based analytical devices for glucose and nitrite assays. Talanta 2019, 194, 837–845. [Google Scholar] [CrossRef]
- Dungchai, W.; Chailapakul, O.; Henry, C.S. Use of multiple colorimetric indicators for paper-based microfluidic devices. Anal. Chim. Acta 2010, 674, 227–233. [Google Scholar] [CrossRef]
- Campuzano, S.; Pingarrón, J.; Reviejo, Á.; Pellicanò, A.; Ruiz-Valdepeñas Montiel, V.; Cosio, M.; Torrente-Rodríguez, R. Simultaneous Determination of the Main Peanut Allergens in Foods Using Disposable Amperometric Magnetic Beads-Based Immunosensing Platforms. Chemosensors 2016, 4, 11. [Google Scholar]
- Bohr, A.; Colombo, S.; Jensen, H. Future of Microfluidics in Research and in the Market; Elsevier Inc.: Amsterdam, The Netherlands, 2018; ISBN 9780128126592. [Google Scholar]
- Chen, J.; Zhou, Y.; Wang, D.; He, F.; Rotello, V.M.; Carter, K.R.; Watkins, J.J.; Nugen, S.R. UV-nanoimprint lithography as a tool to develop flexible microfluidic devices for electrochemical detection. Lab Chip 2015, 15, 3086–3094. [Google Scholar] [CrossRef]
- Ragones, H.; Schreiber, D.; Inberg, A.; Berkh, O.; Kósa, G.; Freeman, A.; Shacham-Diamand, Y. Disposable electrochemical sensor prepared using 3D printing for cell and tissue diagnostics. Sensors Actuators B Chem. 2015, 216, 434–442. [Google Scholar] [CrossRef]
- Devarenne, S.T.P.; Han, A.; Darwin, S.; Reyes, R.; Reyes, D.R.; Folch, A.; Minhas, H.; Gaitan, M.; Stubbs, J.; Lee, A.; et al. Mail-Order Microfluidics: Evaluation of Stereolithography for the Production of Microfluidic Devices. Lab Chip 2014, 24, 1381–1388. [Google Scholar]
- Walczak, R.; Adamski, K. Inkjet 3D printing of microfluidic structures—On the selection of the printer towards printing your own microfluidic chips. J. Micromech. Microeng. 2015, 25, 085013. [Google Scholar] [CrossRef]
- Alfadhel, A.; Ouyang, J.; Mahajan, C.G.; Forouzandeh, F.; Cormier, D.; Borkholder, D.A. Inkjet printed polyethylene glycol as a fugitive ink for the fabrication of flexible microfluidic systems. Mater. Des. 2018, 150, 182–187. [Google Scholar] [CrossRef] [PubMed]
- Gaal, G.; Mendes, M.; de Almeida, T.P.; Piazzetta, M.H.O.; Gobbi, Â.L.; Riul, A.; Rodrigues, V. Simplified fabrication of integrated microfluidic devices using fused deposition modeling 3D printing. Sensors Actuators B Chem. 2017, 242, 35–40. [Google Scholar] [CrossRef]
- Li, F.; Macdonald, N.P.; Guijt, R.M.; Breadmore, M.C. Increasing the functionalities of 3D printed microchemical devices by single material, multimaterial, and print-pause-print 3D printing. Lab Chip 2019, 19, 35–49. [Google Scholar] [CrossRef]
- Tan, H.W.; Tran, T.; Chua, C.K. A review of printed passive electronic components through fully additive manufacturing methods. Virtual Phys. Prototyp. 2016, 11, 271–288. [Google Scholar] [CrossRef]
- Ethan, B. Secor Principles of Aerosol Jet Printing. Flex. Printed Electron. 2018, 3, 035002. [Google Scholar]
- Oelßner, W.; Berthold, F.; Guth, U. The iR drop—Well-known but often underestimated in electrochemical polarization measurements and corrosion testing. Mater. Corros. 2006, 57, 455–466. [Google Scholar] [CrossRef]
- Zhmud, B.; Prof, A. Lube-Tech093-ViscosityBlendingEquations. Lube Mag. 2014, 121, 2–5. [Google Scholar]
- Norland Optical Adhesive 81 Technical Datasheet. Available online: https://www.norlandprod.com/adhesives/NOA%2081.html (accessed on 31 March 2018).
- Wägli, P.; Homsy, A.; De Rooij, N.F. Norland optical adhesive (NOA81) microchannels with adjustable wetting behavior and high chemical resistance against a range of mid-infrared-transparent organic solvents. Sensors Actuators B Chem. 2011, 156, 994–1001. [Google Scholar] [CrossRef]
- Bartolo, D.; Degré, G.; Nghe, P.; Studer, V. Microfluidic stickers. Lab Chip 2008, 8, 274–279. [Google Scholar] [CrossRef] [PubMed]
- Morel, M.; Bartolo, D.; Galas, J.C.; Dahan, M.; Studer, V. Microfluidic stickers for cell- and tissue-based assays in microchannels. Lab Chip 2009, 9, 1011–1013. [Google Scholar] [CrossRef] [PubMed]
- Sollier, E.; Murray, C.; Maoddi, P.; Di Carlo, D. Rapid prototyping polymers for microfluidic devices and high pressure injections. Lab Chip 2011, 11, 3752–3765. [Google Scholar] [CrossRef] [PubMed]
- Akhatov, I.S.; Hoey, J.M.; Swenson, O.F.; Schulz, D.L. Aerosol focusing in micro-capillaries: Theory and experiment. J. Aerosol Sci. 2008, 39, 691–709. [Google Scholar] [CrossRef]
- Binder, S.; Glatthaar, M.; Rädlein, E.; Binder, S.; Glatthaar, M.; Edda, R. Analytical Investigation of Aerosol Jet Printing. Aerosol Sci. Technol. 2014, 48, 924–929. [Google Scholar] [CrossRef]
- Radhi, M.M.; Jaffar Al-Mulla, E.A.; Tan, W.T. Electrochemical characterization of the redox couple of Fe(III)/Fe(II) mediated by grafted polymer electrode. Res. Chem. Intermed. 2014, 40, 179–192. [Google Scholar] [CrossRef]
- Gowda, J.I.; Nandibewoor, S.T. Electrochemical behavior of paclitaxel and its determination at glassy carbon electrode. Asian J. Pharm. Sci. 2014, 9, 42–49. [Google Scholar] [CrossRef]
- Brownson, D.A.C.; Banks, C.E. Interpreting Electrochemistry. In The Handbook of Graphene Electrochemistry; Springer: London, UK, 2014; pp. 23–77. [Google Scholar]
- Guemes, M.; Rahman, S.A.; Hussain, K. What is a normal blood glucose? Arch. Dis. Child. 2016, 101, 569–574. [Google Scholar] [CrossRef]
- Biscay, J.; Rama, E.C.; García, M.B.G.; Carrazón, J.M.P.; García, A.C. Enzymatic sensor using mediator-screen-printed carbon electrodes. Electroanalysis 2011, 23, 209–214. [Google Scholar] [CrossRef]










| Process Parameters | AgCl | C | NOA 81 | Nink 1000 | Mediator/Enzyme (UA) |
|---|---|---|---|---|---|
| Sheath gas flow (SCCM) | 55 | 40 | 40 | 50 | 60 |
| Atomizer flow (SCCM) | 750 | 805 | 1395 | 670 | 40 |
| Exhaust flow (SCCM) | 720 | 770 | 1365 | 580 | / |
| Process speed (mm·s−1) | 2 | 4 | 1.5 | 2 | 2 |
| Plate temperature (°C) | 65 | 70 | / | 40 | / |
| Current (mA) | / | / | / | / | 500 |
| Material | Thickness (μm) | Relative Standard Deviation (%) | Width (μm) | Relative Standard Deviation (%) | Section (μm2) |
|---|---|---|---|---|---|
| AgCl | 2.71 | 3 | 51.8 | 3.5 | 136.3 |
| C + MWCNTs | 1.97 | 5 | 127.8 | 9 | 262.74 |
| NOA 81 | 26.06 | 1 | 96.75 | 4 | 1580.31 |
| Concent. (mM) | Platform (#) | Average (µA) | St.Dev. (µA) | Relative St. Dev % | Average Sum (µA) | St.Dev. Sum (µA) | Relative St. Dev % |
|---|---|---|---|---|---|---|---|
| 100.00 | 1 | 12.38 | 1.13 | 9.13 | 70.15 | 4.25 | 6.06 |
| 2 | 14.60 | 2.87 | 19.66 | ||||
| 3 | 15.60 | 2.52 | 16.15 | ||||
| 50.00 | 4 | 10.64 | 1.40 | 13.16 | 59.09 | 4.26 | 7.21 |
| 5 | 9.65 | 0.40 | 4.15 | ||||
| 6 | 11.26 | 2.02 | 17.94 | ||||
| 25.00 | 7 | 8.13 | 1.42 | 17.47 | 42.93 | 3.24 | 7.54 |
| 8 | 8.03 | 1.87 | 23.29 | ||||
| 9 | 6.01 | 0.86 | 14.31 | ||||
| 10.00 | 10 | 4.60 | 0.70 | 15.22 | 25.86 | 2.52 | 9.70 |
| 11 | 4.32 | 0.83 | 19.21 | ||||
| 12 | 4.02 | 0.60 | 14.93 | ||||
| 5.00 | 13 | 2.89 | 0.60 | 20.76 | 12.81 | 1.42 | 11.06 |
| 14 | 2.61 | 0.44 | 16.86 | ||||
| 15 | 2.08 | 0.29 | 13.94 |
© 2019 by the authors. Licensee MDPI, Basel, Switzerland. This article is an open access article distributed under the terms and conditions of the Creative Commons Attribution (CC BY) license (http://creativecommons.org/licenses/by/4.0/).
Share and Cite
Di Novo, N.G.; Cantù, E.; Tonello, S.; Sardini, E.; Serpelloni, M. Support-Material-Free Microfluidics on an Electrochemical Sensors Platform by Aerosol Jet Printing. Sensors 2019, 19, 1842. https://doi.org/10.3390/s19081842
Di Novo NG, Cantù E, Tonello S, Sardini E, Serpelloni M. Support-Material-Free Microfluidics on an Electrochemical Sensors Platform by Aerosol Jet Printing. Sensors. 2019; 19(8):1842. https://doi.org/10.3390/s19081842
Chicago/Turabian StyleDi Novo, Nicolò Giuseppe, Edoardo Cantù, Sarah Tonello, Emilio Sardini, and Mauro Serpelloni. 2019. "Support-Material-Free Microfluidics on an Electrochemical Sensors Platform by Aerosol Jet Printing" Sensors 19, no. 8: 1842. https://doi.org/10.3390/s19081842
APA StyleDi Novo, N. G., Cantù, E., Tonello, S., Sardini, E., & Serpelloni, M. (2019). Support-Material-Free Microfluidics on an Electrochemical Sensors Platform by Aerosol Jet Printing. Sensors, 19(8), 1842. https://doi.org/10.3390/s19081842

