Experiment and Numerical Simulation on Gas-Liquid Annular Flow through a Cone Sensor
Abstract
:1. Introduction
2. Experimental Setup and Methods
2.1. Cone Test Section
2.2. Experimental Setup
2.3. Experimental Method
3. Numerical Methods and Models
3.1. Geometry Model and Flow Domain
3.2. Solving Strategies
3.3. Mathematical Model
3.3.1. Continuity Equation
3.3.2. Momentum Equation
3.3.3. Energy Equation
3.3.4. Turbulence Model
3.3.5. Droplet Equations
3.4. Model Verification and Validation
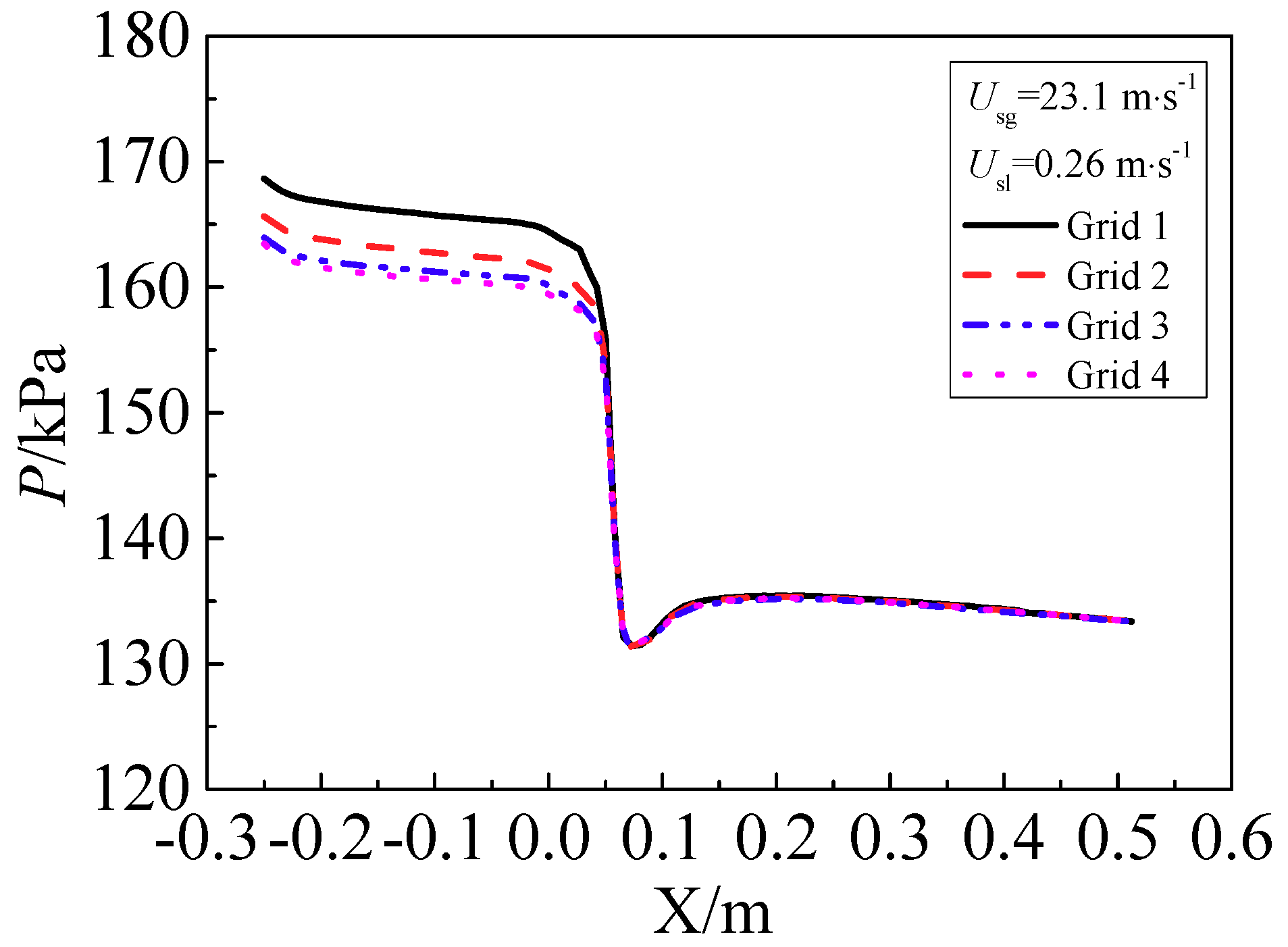
3.4.1. Grid Convergence Verification
3.4.2. Model Validation
4. Results and Discussion
4.1. Characteristics of Vortex and Its Effects on Pressure Recovery
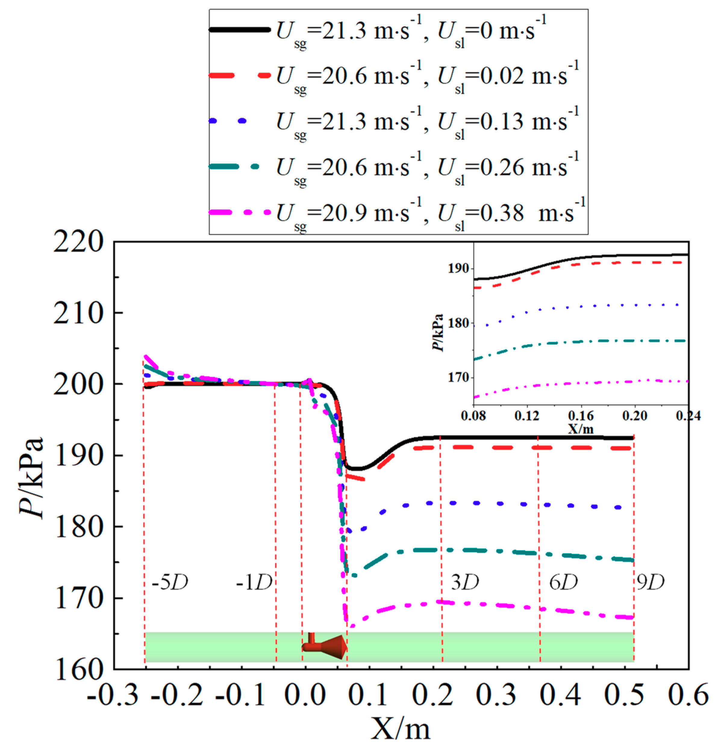
4.1.1. Vortex Downstream of Cone Sensor
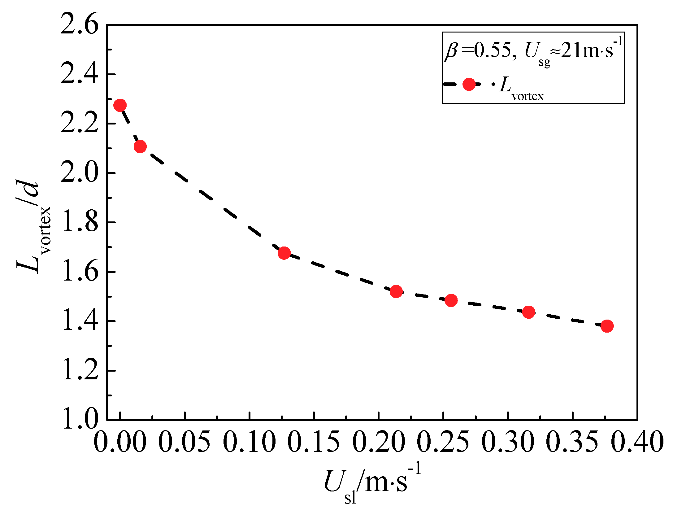
4.1.2. Effects of Vortex on Pressure Recovery Length
4.2. Gas-Liquid Distribution
5. Conclusions
Supplementary Materials
Author Contributions
Funding
Conflicts of Interest
References
- Falcone, G.; Hewitt, G.; Alimonti, C. Multiphase Flow Metering: Principles and Applications, 1st ed.; Elsevier LTD: Oxford, UK, 2009. [Google Scholar]
- De Leeuw, R. Liquid Correction of Venturi Meter Readings in Wet Gas Flow; North Sea Flow Measurement Workshop: Kristiansand, Norway, 1997. [Google Scholar]
- McCrometer Inc. Advanced Differential Pressure Flowmeter Technology; McCrometer Inc.: Hemet, CA, USA, 2017. [Google Scholar]
- Singh, R.K.; Singh, S.N.; Seshadri, V. CFD prediction of the effects of the upstream elbow fittings on the performance of cone flowmeters. Flow Meas. Instrum. 2010, 21, 88–97. [Google Scholar] [CrossRef]
- He, D.H.; Bai, B.F. Two-phase mass flow coefficient of V-Cone throttle device. Exp. Therm. Fluid Sci. 2014, 57, 77–85. [Google Scholar] [CrossRef]
- Steven, R. Horizontally installed cone differential pressure meter wet gas flow performance. Flow Meas. Instrum. 2009, 20, 152–167. [Google Scholar] [CrossRef]
- Wu, C.; Wen, G.; Han, L.; Wu, X. The development of a gas–liquid two-phase flow sensor applicable to CBM wellbore annulus. Sensors 2016, 16, 1943. [Google Scholar] [CrossRef] [PubMed]
- He, D.H.; Bai, B.F.; Xu, Y.; Li, X. A new model for the V-Cone meter in low pressure wet gas metering. Meas. Sci. Technol. 2012, 23, 125301–125309. [Google Scholar] [CrossRef]
- He, D.H.; Bai, B.F. Gas-liquid two phase flow with high GVF through a horizontal V-Cone throttle device. Int. J. Multiph. Flow 2017, 91, 51–62. [Google Scholar]
- Lawrence, P.A.; Steven, R. Research developments in wet gas metering with V-Cone meters. In Proceedings of the North Sea Flow Measurement Workshop, Tonsberg, Norway, 28–31 October 2003. [Google Scholar]
- He, D.H.; Bai, B.F.; Wang, X.W. Online measurement of gas and liquid flow rate in wet gas through one V-Cone throttle device. Exp. Therm. Fluid Sci. 2016, 75, 129–136. [Google Scholar] [CrossRef]
- Xu, Y.; Zhang, Q.; Yu, L.; Duan, Y.; Li, T. Wet gas metering using double differential pressure device. Chin. J. Sci. Instrum. 2010, 31, 1840–1850. [Google Scholar]
- Steven, R. Wet gas metering with a horizontally mounted Venturi meter. Flow Meas. Instrum. 2002, 12, 361–372. [Google Scholar] [CrossRef]
- Steven, R.; Kegel, T.C.B. An Update on V-Cone Meter Wet Gas Flow Metering Research; Flomeko: Peebles, UK, 2005. [Google Scholar]
- Nyfors, E.; Bø, Ø.L. Compact Flow Meter; Roxar Flow Measurement AS: Stavanger, NO, USA, 2005. [Google Scholar]
- Bai, B.F.; He, D.H.; Zhou, R.F. Numerical study on annular-mist flow in V-Cone meter for wet gas metering. AIP Conf. Proc. 2014, 1592, 121–129. [Google Scholar]
- ISO. Uncertainty of Measurement—Part 3: Guide to the Expression of Uncertainty in Measurement; ISO/IEC GUIDE 98-3; ISO: London, UK, 2008. [Google Scholar]
- Alipchenkov, V.M.; Nigmatulin, R.I.; Soloviev, S.L.; Stonik, O.G.; Zaichik, L.I. A three-fluid model of two-phase dispersed-annular flow. Int. J. Heat Mass Transf. 2004, 47, 5323–5338. [Google Scholar] [CrossRef]
- Yun, G.; Ishiwatari, Y.; Ikejiri, S.; Oka, Y. Numerical analysis of the onset of droplet entrainment in annular two-phase flow by hybrid method. Ann. Nucl. Energy 2010, 37, 230–240. [Google Scholar] [CrossRef]
- McCaslin, J.O.; Desjardins, O. Numerical investigation of gravitational effects in horizontal annular liquid-gas flow. Int. J. Multiph. Flow 2014, 67, 88–105. [Google Scholar] [CrossRef]
- Werven, M.; Maanen, H.; Ooms, G.; Azzopardi, B.J. Modeling wet gas annular dispersed flow through a Venturi. AIChE J. 2003, 49, 1383–1391. [Google Scholar] [CrossRef]
- Lupeau, A.; Platet, B.; Gajan, P.; Couput, J.P. Influence of the presence of an upstream annular liquid film on the wet gas flow measured by a Venturi in a downward vertical configuration. Flow Meas. Instrum. 2007, 18, 1–11. [Google Scholar] [CrossRef]
- Yu, P.N.; Xu, Y.; Zhang, T.; Zhu, Z.; Ba, X.; Li, J.; Qin, Z. A study on the modeling of static pressure distribution of wet gas in Venturi. AIChE J. 2014, 61, 699–708. [Google Scholar] [CrossRef]
- Wolfa, A.; Jayantib, S.; Hewitta, G.F. Flow development in vertical annular flow. Chem. Eng. Sci. 2001, 56, 3221–3235. [Google Scholar] [CrossRef]
- ANSYS Fluent Theory Guide (Release 14.0). Available online: https://www.ansys.com (accessed on 15 July 2018).
- Al-Sarkhi, A.; Sarica, C.; Qureshi, B. Modeling of droplet entrainment in co-current annular two-phase flow: A new approach. Int. J. Multiph. Flow 2012, 39, 21–28. [Google Scholar] [CrossRef]
- Reader-Harris, M.; Hodges, D.; Gibson, J. Venturi tube performance in wet gas: Computation and experiment. In Proceedings of the 6th South East Asia Hydrocarbon Flow Measurement Workshop, Kuala Lumpur, Malaysia, 8–17 May 2007. [Google Scholar]
- Xu, Y.; Gao, L.; Zhao, Y.; Wang, H. Wet gas overreading characteristics of a long-throat Venturi at high pressure based on CFD. Flow Meas. Instrum. 2014, 40, 247–255. [Google Scholar] [CrossRef]
- Sarimeseli, A. Determination of drop sizes in annular gas/liquid Flows in vertical and horizontal pipes. J. Disper. Sci. Technol. 2009, 30, 694–697. [Google Scholar] [CrossRef]
- Yakhot, V.; Orszag, S.S. Renormalization group analysis of turbulence: I Basic theory. J. Sci. Comput. 1996, 1, 1–51. [Google Scholar] [CrossRef]
- Gryzlov, A.; Risdal, M.; Braaten, N.; Jordaan, L.; Nyfors, E. Fluid mechanical aspects of wet gas metering. In SPE Russian Oil and Gas Exploration and Production Technical Conference and Exhibition; Society of Petroleum Engineers: Moscow, Russia, 2012. [Google Scholar]
- Morsi, S.A.; Alexander, A.J. An investigation of particle trajectories in two-phase flow systems. J. Fluid Mech. 1972, 55, 193–208. [Google Scholar] [CrossRef]
- Saffman, P.G. The lift on a small sphere in a slow shear flow. J. Fluid Mech. 1965, 22, 385–400. [Google Scholar] [CrossRef]
- AIAA. Guide for the Verification and Validation of Computational Fluid Dynamics Simulations; AIAA Guide G-077-1998; AIAA CFD Standards Committee: Reston, VA, USA, 1998. [Google Scholar]
- Reader-Harris, M. Orifice Plates and Venturi Tubes; Springer International Publishing: Basel, Switzerland, 2015; pp. 13–14. [Google Scholar]



















| Differential Pressure, DP/Pa | Operating Pressure, P/Pa |
|---|---|
| DP0 = P1′ − P1 | P1′ = DP0 + P4 − DP4 + DP1 |
| DP1 = P1 − P0 | P1 = P4 − DP4 + DP1 |
| DP2 = P2 − P0 | P0 = P4 − DP4 |
| DP3 = P3 − P0 | P2 = DP2 + P4 − DP4 |
| DP4 = P4 − P0 | P3 = DP3 + P4 − DP4 |
| Device | Measurement Range | Uncertainty | Manufacturer |
|---|---|---|---|
| Air Coriolis mass flowmeter | 0–700 kg·h−1 | ±0.5% | Siemens, Munich, Germany |
| Electromagnetic flowmeter | 0.0076~0.76 m3·h−1 | ±0.2% | Yokogawa Electric, Tokyo, Japan |
| Water Coriolis mass flowmeter | 0–10,000 kg·h−1 | ±0.1% | Siemens, Munich, Germany |
| Temperature sensor | 0–60 °C | ±0.15 °C | Xi’an Instruments Factory, Xi’an, China |
| Pressure sensor | 0–1.0 MPa | ±0.075% | Emerson Process Management, St. Louis, MO, USA |
| Differential pressure sensor | 0–6.22 kPa 0–16.25 kPa 0–62.5 kPa | ±0.075% | Emerson Process Management, St. Louis, MO, USA |
| High-speed camera | 0–10,000 fps | - | Olympus, Southend-on-Sea, UK |
| Data acquisition board | 48 input channels 80 kS·s−1 | 16 bits | National Instrumentation, Austin, TX, USA |
| Pressure, P1′/MPa | Temperature, T/°C | Gas Mass Flow Rate, mg/kg·h−1 | Liquid Mass Flow Rate, ml/kg·h−1 | Superficial Gas Velocity, Usg/m·s−1 | Superficial Liquid Velocity, Usl/m·s−1 | Gas Volume Fraction, GVF/% |
|---|---|---|---|---|---|---|
| 0.208 ± 0.000893 | 27.95 ± 0.17 | 537.13 ± 5.63 | 0 | 21.25 ± 0.27 | 0 | 100.00 ± 1.29 |
| 0.208 ± 0.000959 | 17.55 ± 0.17 | 540.13 ± 5.65 | 109.83 ± 0.66 | 20.62 ± 0.31 | 0.016 ± 0.000095 | 99.93 ± 1.62 |
| 0.206 ± 0.000918 | 20.65 ± 0.17 | 536.94 ± 5.63 | 400.88 ± 2.39 | 20.83 ± 0.29 | 0.057 ± 0.00034 | 99.73 ± 1.53 |
| 0.205 ± 0.000907 | 21.80 ± 0.17 | 554.73 ± 5.76 | 625.21 ± 3.73 | 21.65 ± 0.30 | 0.089 ± 0.00053 | 99.59 ± 1.50 |
| 0.206 ± 0.000909 | 22.18 ± 0.17 | 546.09 ± 5.69 | 896.84 ± 20.90 | 21.27 ± 0.29 | 0.13 ± 0.0030 | 99.41 ± 2.69 |
| 0.206 ± 0.000951 | 22.64 ± 0.17 | 547.75 ± 5.71 | 1185.17 ± 27.47 | 21.38 ± 0.29 | 0.17 ± 0.0039 | 99.22 ± 2.67 |
| 0.204 ± 0.000912 | 22.87 ± 0.17 | 542.96 ± 5.67 | 1507.74 ± 34.82 | 21.38 ± 0.29 | 0.21 ± 0.0049 | 99.01 ± 2.66 |
| 0.206 ± 0.000905 | 23.03 ± 0.17 | 526.54 ± 5.54 | 1808.50 ± 41.70 | 20.62 ± 0.28 | 0.26 ± 0.0060 | 98.77 ± 2.65 |
| 0.205 ± 0.000904 | 23.18 ± 0.17 | 537.86 ± 5.63 | 2231.62 ± 51.37 | 21.14 ± 0.29 | 0.32 ± 0.0074 | 98.53 ± 2.63 |
| 0.205 ± 0.000910 | 23.27 ± 0.17 | 531.49 ± 5.58 | 2659.96 ± 61.18 | 20.86 ± 0.28 | 0.38 ± 0.0087 | 98.23 ± 2.63 |
| Grid | Number of Nodes | Number of Cells | y+ |
|---|---|---|---|
| Grid 1 | 419,872 | 389,888 | 48–366 |
| Grid 2 | 731,869 | 708,112 | 35–289 |
| Grid 3 | 1,487,981 | 1,452,880 | 31–193 |
| Grid 4 | 3,029,885 | 2,970,880 | 29–168 |
| Grid | Grid 1 | Grid 2 | Grid 3 | Grid 4 | ε21/% | ε32/% | ε43/% | |
|---|---|---|---|---|---|---|---|---|
| Pressure/kPa | P1′ | 168,300.7 | 165,300.7 | 163,531.5 | 163,033.9 | −1.78 | −1.07 | −0.3 |
| P1 | 164,510.3 | 162,310.3 | 160,835.9 | 160,241.3 | −1.34 | −0.91 | −0.37 | |
| P0 | 132,624.2 | 132,524.2 | 131,768.3 | 132,747.0 | −0.075 | −0.57 | 0.74 | |
| P2 | 135,412.9 | 135,312.9 | 135,176.2 | 135,210.3 | −0.074 | −0.1 | 0.025 | |
| P3 | 134,625.0 | 134,525.0 | 134,376.3 | 134,448.3 | −0.074 | −0.11 | 0.054 | |
| P4 | 133,378.1 | 133,378.3 | 133,350.7 | 133,379.1 | 0.0001 | −0.02 | 0.021 | |
| Pressure | P1′ | P1 | P0 | P2 | P3 | P4 |
|---|---|---|---|---|---|---|
| Experiment/kPa | 156.42 ± 0.68 | 156.14 ± 0.64 | 128.70 ± 0.52 | 134.47 ± 0.55 | 134.06 ± 0.55 | 133.33 ± 0.52 |
| Simulation/kPa | 163.53 | 160.84 | 131.77 | 135.18 | 134.38 | 133.35 |
| Relative error/% | 4.55 | 3.01 | 2.38 | 0.53 | 0.24 | 0.016 |
© 2018 by the authors. Licensee MDPI, Basel, Switzerland. This article is an open access article distributed under the terms and conditions of the Creative Commons Attribution (CC BY) license (http://creativecommons.org/licenses/by/4.0/).
Share and Cite
He, D.; Chen, S.; Bai, B. Experiment and Numerical Simulation on Gas-Liquid Annular Flow through a Cone Sensor. Sensors 2018, 18, 2923. https://doi.org/10.3390/s18092923
He D, Chen S, Bai B. Experiment and Numerical Simulation on Gas-Liquid Annular Flow through a Cone Sensor. Sensors. 2018; 18(9):2923. https://doi.org/10.3390/s18092923
Chicago/Turabian StyleHe, Denghui, Senlin Chen, and Bofeng Bai. 2018. "Experiment and Numerical Simulation on Gas-Liquid Annular Flow through a Cone Sensor" Sensors 18, no. 9: 2923. https://doi.org/10.3390/s18092923
APA StyleHe, D., Chen, S., & Bai, B. (2018). Experiment and Numerical Simulation on Gas-Liquid Annular Flow through a Cone Sensor. Sensors, 18(9), 2923. https://doi.org/10.3390/s18092923
