Spatial–Temporal Patterns of Mammal Diversity and Abundance in Three Vegetation Types in a Semi-Arid Landscape in Southeastern Coahuila, Mexico
Abstract
1. Introduction
2. Materials and Methods
2.1. Study Area
2.2. Field Work
2.3. Data Analysis
3. Results
3.1. Species Composition and Richness
3.2. Species Rarefaction Curves
3.3. Effects of Method, Season, and Habitat at Community Level
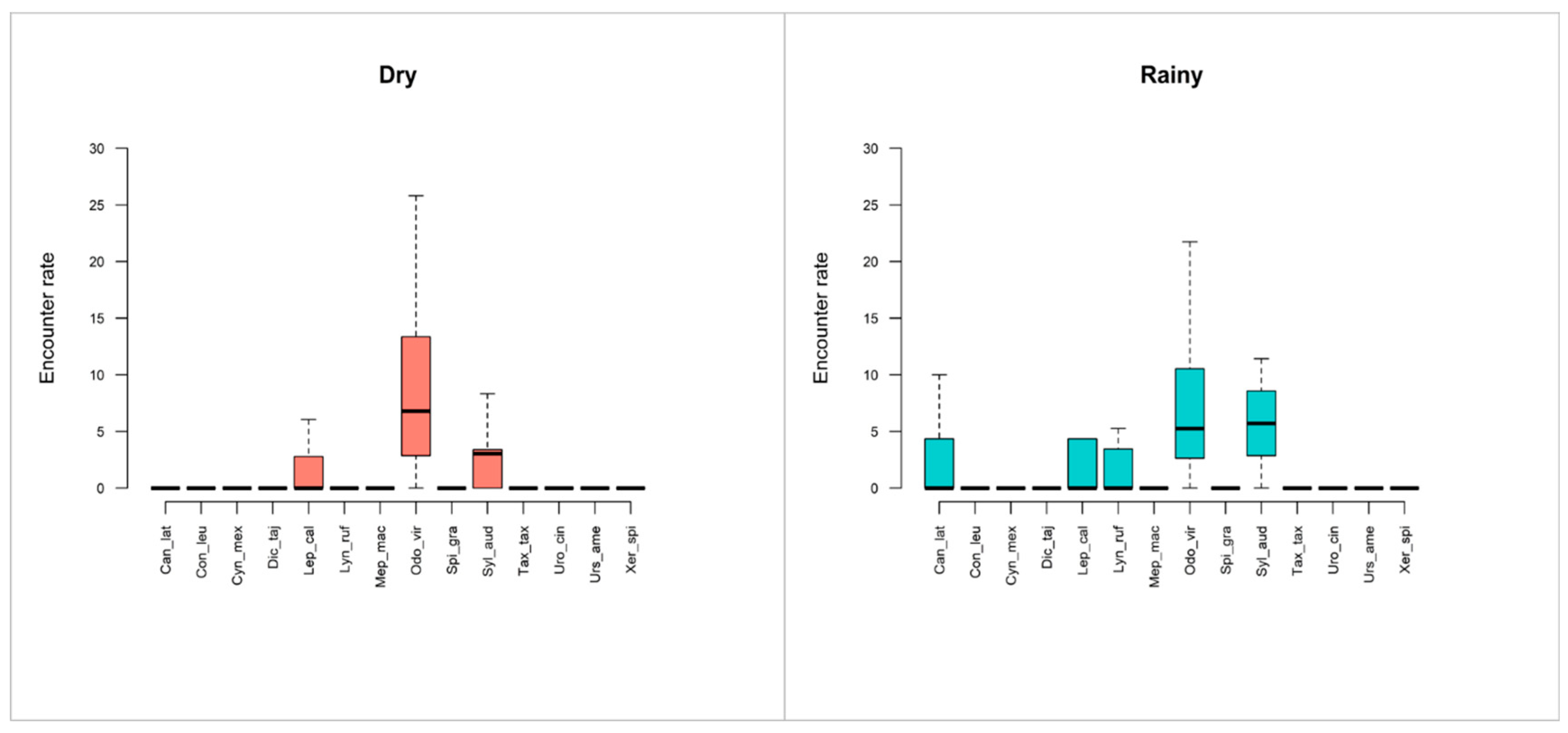
3.4. Photographic Rates
4. Discussion
5. Conclusions
Author Contributions
Funding
Institutional Review Board Statement
Data Availability Statement
Acknowledgments
Conflicts of Interest
References
- Challenger, A. Utilización y Conservación de los Ecosistemas de México: Pasado, Presente y Futuro; Instituto de Biología, UNAM, Comisión Nacional para el Conocimiento y Uso de la Biodiversidad: Mexico City, Mexico, 1998. [Google Scholar]
- Jurado-Guerra, P.; Velázquez-Martínez, M.; Sánchez-Gutiérrez, R.A.; Álvarez-Holguín, A.; Domínguez-Martínez, P.A.; Gutiérrez-Luna, R.; Chávez-Ruiz, M.G. Los pastizales y matorrales de zonas áridas y semiáridas de México: Estatus actual, retos y perspectivas. Rev. Mex. Cienc. Pecu. 2021, 12, 261–285. [Google Scholar] [CrossRef]
- Ewart, H.E.; Pasqualotto, N.; Paolino, R.M.; Jensen, K.; Chiarello, A.G. Effect of anthropogenic disturbance and land cover protection on the behavioral patterns and abundance of Brazilian mammals. Global Ecol. Conserv. 2024, 50, e02839. [Google Scholar] [CrossRef]
- Uzun, G.; Evcin, Ö. Determination of Dispersal Corridors Used by Large Mammals Between Close Habitats. Diversity 2025, 17, 165. [Google Scholar] [CrossRef]
- Tiang, D.C.F.; Morris, A.; Bell, M.; Gibbins, C.N.; Azhar, B.; Lechner, A.M. Ecological connectivity in fragmented agricultural landscapes and the importance of scattered trees and small patches. Ecol. Process. 2021, 10, 20. [Google Scholar] [CrossRef]
- Ma, S.; Wang, L.-J.; Jiang, J.; Zhao, Y.-G. Direct and indirect effects of agricultural expansion and landscape fragmentation processes on natural habitats. Agric. Ecosyst. Environ. 2023, 353, 108555. [Google Scholar] [CrossRef]
- Cheptou, P.O.; Hargreaves, A.L.; Bonte, D.; Jacquemyn, H. Adaptation to fragmentation: Evolutionary dynamics driven by human influences. Philos. Trans. R. Soc. Lond. B Biol. Sci. 2017, 372, 20160037. [Google Scholar] [CrossRef]
- Cromsigt, J.P.G.M.; Kuijper, D.P.J.; Adam, M.; Beschta, R.L.; Churski, M.; Eycott, A.; Kerley, G.I.H.; Mysterud, A.; Schmidt, K.; West, K. Hunting for fear: Innovating management of human-wildlife conflicts. J. Appl. Ecol. 2013, 50, 544–549. [Google Scholar] [CrossRef]
- Pérez-Flores, J.; Mardero, S.; López-Cen, A.; Contreras-Moreno, F.M. Human-wildlife conflicts and drought in the greater Calakmul Region, Mexico: Implications for tapir conservation. Neotrop. Biol. Conserv. 2021, 16, 539–563. [Google Scholar] [CrossRef]
- Hessen, D.O. Biotic Deterioration and Homogenization: Why It Matters. Int. J. Polit. Cult. Soc. 2024. Available online: https://link.springer.com/article/10.1007/s10767-024-09498-x#citeas (accessed on 22 August 2025). [CrossRef]
- Ceballos, G.; Oliva, G. Los Mamíferos Silvestres de México; Conabio-Fondo de Cultura Económica: Mexico City, Mexico, 2005. [Google Scholar]
- Ceballos, G. Mammals of Mexico; Johns Hopkins University Press: Baltimore, MD, USA, 2014. [Google Scholar]
- Ramírez-Pulido, J.; González-Ruíz, N.; Contreras-Balderas, A.J. Mamíferos. In La Biodiversidad en Coahuila. Estudio de Estado; Comisión Nacional para el Conocimiento y Uso de la Biodiversidad, Gobierno del Estado de Coahuila de Zaragoza: Mexico City, Mexico, 2018; Volume 2, pp. 411–418. [Google Scholar]
- Hernández-Rodríguez, E.; Escalera-Vázquez, L.; Calderón-Patrón, J.M.; Mendoza, E. Mamíferos medianos y grandes en sitios de tala de impacto reducido y de conservación en la sierra Juárez, Oaxaca. Rev. Mex. Biodivers. 2019, 90, e902776. [Google Scholar] [CrossRef]
- Milligan, M.C.; McNew, L.B. Evaluating the cumulative effects of livestock grazing on wildlife with an integrated population model. Front. Ecol. Evol. 2022, 10, 818050. [Google Scholar] [CrossRef]
- Ezcurra, E. Los corredores biológicos desde las ciencias ambientales. In Conectividad para la Conservación de la Biodiversidad en México: Estado Actual, Retos y Perspectivas; Bezaury-Creel, J.E., Ed.; Agencia Francesa de Desarrollo: Mexico City, Mexico, 2024; pp. 22–25. [Google Scholar]
- León-Paniagua, L.; García-Trejo, E.; Arroyo-Cabrales, J.; Castañeda-Rico, S. Patrones biogeográficos de la mastofauna. In Biodiversidad de la Sierra Madre Oriental; Luna, I., Morrone, J.J., Espinosa, D., Eds.; Las Prensas de Ciencias: Mexico City, Mexico, 2004; pp. 469–486. [Google Scholar]
- Crooks, K.R.; Burdett, C.L.; Theobald, S.R.B.; Di Marco, M.; Rondinini, M.; Rondinini, C.; Boitani, L. Quantification of hábitat fragmentation reveals extinction risk in terrestrial mammals. Proc. Natl. Acad. Sci. USA 2017, 114, 7635–7640. [Google Scholar] [CrossRef]
- Pfau, R.S.; Kozora, A.N.; Gatica-Colima, A.B.; Sudman, P.S. Population genetic structure of a Chihuahuan Desert endemic mammal, the desert pocket gopher, Geomys arenarius. Ecol. Evol. 2023, 13, e10576. [Google Scholar] [CrossRef]
- Balbuena-Serrano, Á.; Zarco-González, M.M.; Carreón-Arroyo, G.; Carrera-Treviño, R.; Amador-Alcalá, S.; Monroy-Vilchis, O. Connectivity of priority areas for the conservation of large carnivores in northern Mexico. J. Nat. Conserv. 2022, 65, 126116. [Google Scholar] [CrossRef]
- Zarco-González, Z.; Carrera-Treviño, R.; Monroy-Vilchis, O. Conservation of black bear (Ursus americanus) in Mexico through GPS tracking: Crossing and roadkill sites. Wildl. Res. 2023, 51, WR22121. [Google Scholar] [CrossRef]
- Castellanos-Morales, G.; Hernández-Gómez, J.E.; García-Moreno, J.; León-Paniagua, L. Peripatric speciation of an endemic species driven by Pleistocene climate change: The case of the Mexican prairie dog (Cynomys mexicanus). Mol. Phylogenet. Evol. 2016, 94, 171–181. [Google Scholar] [CrossRef]
- Cano, A.; Cerna, E.; Ceballos, G.; Ochoa, Y.M. Detección y cuantificación de plaguicidas en heces de Cynomys mexicanus en colonias de dos estados del norte de México. Act. Univ. 2023, 33, e3865. [Google Scholar] [CrossRef]
- Cruz-Bazan, E.J.; Encina-Domínguez, J.A.; Ramírez-Albores, J.E.; Chávez-Lugo, E.G. Rodents in xerophilous shrubland and semi-desert grassland communities of southeastern Coahuila, Mexico. Agro Product. 2024, 17, 25–34. [Google Scholar] [CrossRef]
- Cruz-García, F.; Escobar-Flores, J.G.; Vázquez-López, P.A. Potential distribution models for predicting human-Black bear (Ursus americanus var. eremicus) interactions in the Sierra de Zapalinamé Natural Reserve, Saltillo, Coahuila. Agro Product. 2024, 17, 127–136. [Google Scholar] [CrossRef]
- Liu, J.; Wilson, M.; Hu, G.; Liu, J.; Wu, J.; Yu, M. How does habitat fragmentation affect the biodiversity and ecosystem functioning relationship? Landsc. Ecol. 2018, 33, 341–352. [Google Scholar] [CrossRef]
- Jones, K.E.; Safi, K. Ecology and evolution of mammalian biodiversity. Philos. Trans. R. Soc. Lond. B. Biol. Sci. 2011, 366, 2451–2461. [Google Scholar] [CrossRef]
- Udy, K.; Fritsch, M.; Meyer, K.M.; Grass, I.; Hanß, S.; Hartig, F.; Kneib, T.; Kreft, H.; Kukunda, C.B.; Péer, G.; et al. Environmental heterogeneity predicts global species richness patterns better than area. Glob. Ecol. Biogeogr. 2021, 30, 842. [Google Scholar] [CrossRef]
- Bene, J.K.; Bitty, E.A.; Bohoussou, K.H.; Abedi, M.; Gamys, J.; Soribah, P.A.J. Current conservation status of large mammals in Sime Darby oil palm concession in Liberia. Glob. J. Biol. Agric. Health Sci. 2013, 2, 93–102. [Google Scholar]
- García-Feria, L.M.; Pérez-Solano, L.A.; Gallina-Tessaro, S.; Peña-Peniche, A. Microhabitat characterization in the home range of the Mule deer (Odocoileus hemionus) in arid zones. Therya 2025, 15, 113–122. [Google Scholar] [CrossRef]
- Rabira, G.; Tsegaye, G.; Tadesse, H. The diversity, abundance and habitat association of medium and large-sized mammals of Dati Wolel National Park, Western Ethiopia. Int. J. Biodivers. Conserv. 2015, 7, 112–118. [Google Scholar] [CrossRef]
- Tefera, G.G.; Tessema, T.H.; Bekere, T.A.; Gutema, T.M. The diversity and habitat association of medium and large mammals in the Dhidhessa Wildlife Sanctuary, Southwestern Ethiopia. PLoS ONE 2025, 20, e0317441. [Google Scholar] [CrossRef] [PubMed]
- Smith, R.S.; Johnston, E.L.; Clark, G.F. The role of habitat complexity in community development is mediated by resource availability. PLoS ONE 2014, 9, e102920. [Google Scholar] [CrossRef]
- Jardim, V.L.; Boyé, A.; Le Garrec, V.; Maguer, M.; Tauran, A.; Gauthier, O.; Grall, J. Habitat complexity promotes species richness and community stability: A case study in a marine biogenic habitat. Oikos 2025, 2025, e10675. [Google Scholar] [CrossRef]
- Fynn, R.W.S.; Chase, M.; Röder, A. Functional habitat heterogeneity and large herbivore seasonal habitat selection in northern Botswana. S. Afr. J. Wildl. Res. 2014, 44, 1–15. [Google Scholar] [CrossRef]
- Demosthenous-Bonastre, E.; Grau-Andrés, R.; Batlle-Benaiges, J.; Corbera, J.; Preece, C.; Torner, G.; Viza, A.; Fernández-Martínez, M. Water sources shape drought effects on mammal activity in mediterranean woodlands. Mamm. Biol. 2025. Available online: https://link.springer.com/article/10.1007/s42991-025-00507-w (accessed on 22 August 2025). [CrossRef]
- Tucker, M.A.; Santini, L.; Carbone, C.; Mueller, T. Mammals population densities at a global scale are higher in human-modified areas. Ecography 2021, 44, 1–13. [Google Scholar] [CrossRef]
- Lyra-Jorge, M.C.; Ciocheti, G.; Pivello, V.R.; Meirelles, S.T. Comparing methods for sampling large- and medium-sized mammals: Camera traps and track plots. Eur. J. Wildl. Res. 2008, 54, 739–744. [Google Scholar] [CrossRef]
- López-Tello, E.; Mandujano, S. Paquete camtrapR para gestionar datos de foto-trampeo: Aplicación en la Reserva de la Biosfera Tehuacán-Cuicatlán. Rev. Mex. Mastozool. 2017, 7, 13–37. [Google Scholar] [CrossRef][Green Version]
- Mandujano, S. Índice de abundancia relativa y tasa de encuentro con trampas cámara. Mammal. Notes 2024, 10, 389. [Google Scholar] [CrossRef]
- Aranda, M. Manual para el Rastreo de Mamíferos Silvestres de México; Comisión Nacional para el Conocimiento y Uso de la Biodiversidad: Mexico City, Mexico, 2012. [Google Scholar]
- Chávez, C.; De La Torre, A.; Bárcenas, H.; Medellín, R.A.; Zarza, H.; Ceballos, G. Manual de Fototrampeo para Estudio de Fauna Silvestre. el Jaguar en México Como Estudio de Caso; Alianza WWF-Telcel, Universidad Nacional Autónoma de México: Mexico City, Mexico, 2013. [Google Scholar]
- Suárez-Tangil, B.D.; Rodríguez, A. Uniform performance of mammal detection methods under contrasting environmental conditions in Mediterranean landscapes. Ecosphere 2021, 12, e03349. [Google Scholar] [CrossRef]
- Espinosa-Martínez, D.V.; Ríos-Muñoz, C.A.; González-Ruíz, N.; Ramírez-Pulido, J.; León-Paniagua, L.; Arroyo-Cabrales, J. Mamíferos de Coahuila. Rev. Mex. Mastozool. 2016, 6, 1–28. [Google Scholar] [CrossRef]
- Ramírez-Pulido, J. Panorama del conocimiento de los mamíferos de México: Con énfasis a nivel estatal. In Riqueza y Conservación de los Mamíferos en México a Nivel Estatal; Sosa-Escalante, J.E., Sánchez-Rojas, G., Briones-Salas, M., Hortelano-Moncada, Y., Magaña-Cota, G., Eds.; Instituto de Biología, Universidad Nacional Autónoma de México, Asociación Mexicana de Mastozoología A.C., Universidad de Guanajuato: Mexico City, Mexico, 2016; pp. 23–38. [Google Scholar]
- Burton, A.C.; Neilson, E.; Moreira, D.; Ladle, A.; Steenweg, R.; Fisher, J.T.; Bayne, E.; Boutin, S. Wildlife camera trapping: A review and recommendations for linking surveys to ecological processes. J. Appl. Ecol. 2015, 52, 675–685. [Google Scholar] [CrossRef]
- Trofino-Falasco, C.; Simoy, M.V.; Aranguren, M.F.; Pizzarello, M.G.; Cortelezzi, A.; Vera, D.G.; Simoy, M.I.; Marinelli, C.B.; Cepeda, R.E.; Di Giacomo, A.S.; et al. How effective is camera trapping in monitoring grassland species in the southern Pampas ecoregion? Rev. Mex. Biodivers. 2023, 94, e945243. [Google Scholar] [CrossRef]
- González-Aldaco, S.X. Análisis espacial y temporal de la cobertura forestal. In La Biodiversidad en Coahuila. Estudio de Estado; Conabio, Gobierno del Estado de Coahuila de Zaragoza, Comps.: Mexico City, Mexico, 2017; Volume 1, pp. 113–122. [Google Scholar]
- Ceballos, G.; Davidson, A.; List, R.; Pacheco, J.; Manzano-Fisher, P.; Santo-Barrera, G.; Cruzado, J. Rapid decline of a grassland system and its ecological and conservation implications. PLoS ONE 2010, 5, e8562. [Google Scholar] [CrossRef]
- Mendoza, E.; Guevara, R.; Dirzo, R. Impacts of land use and cover change on land mammal distribution ranges across Mexican ecosystems. In Mexican Fauna in the Anthropocene; Jones, R.W., Ornelas-García, C.P., Pineda-López, R., Álvarez, F., Eds.; Springer: Cham, Switzerland, 2023. [Google Scholar] [CrossRef]
- López-Santos, A.; Zermeño-González, A.; Cadena-Zapata, M.; Gil-Marín, J.A.; Cornejo-Oviedo, E.; Ríos-Camey, M.S. Impacto de la labranza en el flujo energético de un suelo arcilloso. Terra Latinoam. 2018, 26, 203–213. [Google Scholar]
- Heredia-Pineda, F.J.; Lozano-Cavazos, E.A.; Romero-Figueroa, G.; Alanís-Rodríguez, E.; Tarango-Arámbula, L.A.; Ugalde-Lezama, S. Relaciones interespecíficas de alimentación del gorrión de Worthen (Spizella wortheni) durante la época no reproductiva en Coahuila, México. Rev. Chapingo Ser. Zonas Áridas 2017, 16, 23–36. [Google Scholar] [CrossRef]
- Mendoza-Hernández, J.M.; González-Aldaco, S.X. Clima. In La Biodiversidad en Coahuila. Estudio de Estado; Comisión Nacional para el Conocimiento y Uso de la Biodiversidad, Gobierno del Estado de Coahuila de Zaragoza, Comps.: Mexico City, Mexico, 2018; Volume 1, pp. 45–54. [Google Scholar]
- Encina-Domínguez, J.A.; Valdés, J.; Villarreal, J.A. Tipos de vegetación y comunidades vegetales. In La Biodiversidad en Coahuila. Estudio de Estado; Comisión Nacional para el Conocimiento y Uso de la Biodiversidad, Gobierno del Estado de Coahuila de Zaragoza: Mexico City, Mexico, 2018; Volume 2, pp. 89–110. [Google Scholar]
- Stachowicz, I.; Ferrer, J.R.; Quiroga-Carmona, M.; Moran, L.; Lozano, C. Baseline for monitoring and habitat use of medium to large non-volant mammals in Gran Sabana, Venezuela. Therya 2020, 11, 169–179. [Google Scholar] [CrossRef]
- Babyesiza, S.W.; Mgode, G.; Mpagi, J.L.; Sabuni, C.; Ssuuna, J.; Akoth, S.; Katak-Webwa, A. Composition in non-volant small mammals inhabiting a degradation gradient in a lowland tropical forest in Uganda. Wildl. Biol. 2023, 2023, e01135. [Google Scholar] [CrossRef]
- Karanth, K.U.; Nichols, J.D. Estimation of tiger densities in India using photographic captures and recaptures. Ecology 1998, 79, 2852–2862. [Google Scholar] [CrossRef]
- Maffei, L.; Cuellar, E.; Noss, J. Uso de trampas cámara para la evaluación de mamíferos en el ecotono Chaco-Chiquitanía. Rev. Bol. Ecol. Conserv. Amb. 2002, 11, 55–65. [Google Scholar]
- Álvarez-Castañeda, S.T.; Álvarez, T.; González-Ruiz, N. Guía para la Identificación de los Mamíferos de México en Campo y Laboratorio; Centro de Investigaciones Biológicas del Noroeste, S.C., Instituto Politécnico Nacional 195: Mexico City, Mexico, 2015. [Google Scholar]
- R Core Team. R: A Language and Environment for Statistical Computing; R Foundation for Statistical Computing: Vienna, Austria, 2023; Available online: https://www.r-project.org/ (accessed on 22 August 2025).
- Oksanen, J.; Simpson, G.; Blanchet, F.G.; Kindt, R.; Legendre, P.; Minchin, P.; Weedon, J. Vegan Community Ecology Package Version 2.6, The Comprehensive R Archive Network. 2022. Available online: http://cran.r-project.org (accessed on 15 August 2022).
- Hill, A.M.O. Diversity and evenness: A unifying notation and its consequences. Ecology 1973, 54, 427–432. [Google Scholar] [CrossRef]
- Moreno, C.E. Métodos para Medir la Biodiversidad; MyT-Manuales y Tesis SEA: Zaragoza, Spain, 2001. [Google Scholar]
- Hsieh, T.C.; Ma, K.H.; Chao, A. iNEXT: An R package for interpolation and extrapolation of species diversity (Hill numbers). Methods Ecol. Evol. 2016, 7, 1451–1456. [Google Scholar] [CrossRef]
- Chao, A.; Kubota, Y.; Zelený, D.; Chiu, C.H.; Li, C.F.; Kusumoto, B.; Colwell, R.K. Quantifying sample completeness and comparing diversities among assemblages. Ecol. Res. 2020, 35, 292–314. [Google Scholar] [CrossRef]
- Hernández-Hernández, J.C. Inter/extrapolación de la diversidad: iNEXT. In Fototrampeo en R: Organización y Análisis de Datos; Mandujano, S., Pérez-Solano, L.A., Eds.; Instituto de Ecología A. C.: Xalapa, Mexico, 2019; Volume 1, pp. 115–127. [Google Scholar]
- Hutcheson, K. A test for comparing diversities based on the Shannon formula. J. Theor. Biol. 1970, 29, 151–154. [Google Scholar] [CrossRef]
- Magurran, A.E. Measuring Biological Diversity; Blackwell Publishing: Malden, MA, USA, 2004. [Google Scholar]
- Ramirez-Delgado, D. ecolTest: Community Ecology Tests. R Package Version 1.0.2. 2021. Available online: https://cran.r-project.org/package=ecolTest (accessed on 22 August 2025).
- Niedballa, J.; Sollmann, R.; Courtiol, A.; Wilting, A. camtrapR: An R package for efficient camera trap data management. Methods Ecol. Evol. 2016, 7, 1457–1462. [Google Scholar] [CrossRef]
- Lira-Torres, I.; Briones-Salas, M.; Sánchez-Rojas, G. Abundancia relativa, estructura poblacional, preferencia de hábitat y patrones de actividad del tapir centroamericano Tapirus bairdii (Perissodactyla: Tapiridae), en la Selva de Los Chimalapas, Oaxaca, México. Rev. Biol. Trop. 2014, 62, 1407–1419. [Google Scholar] [CrossRef]
- Hernández-Pérez, E.; Reyna-Hurtado, R.; Castillo-Vela, G.; Sanvicente-López, M.; Moreira-Ramírez, J.F. Fototrampeo de mamíferos terrestres de talla mediana y grande asociados a petenes del noroeste de la península de Yucatán, México. Therya 2015, 6, 559–574. [Google Scholar] [CrossRef]
- Soto-Werschitz, A.; Mandujano, S.; Passamani, M. Influence of forest type on the diversity, abundance, and naïve occupancy of the mammal assemblage in the southeastern Brazilian Atlantic Forest. Therya 2023, 14, 329–341. [Google Scholar] [CrossRef]
- Ochoa-Espinoza, J.M.; Soria-Díaz, L.; Astudillo-Sánchez, C.C.; Treviño-Carreón, J.; Barriga-Vallejo, C.; Maldonado-Camacho, E. Diversidad y abundancia de mamíferos del bosque mesófilo de montaña del noreste de México. Act. Zool. Mex. 2023, 39, 1–18. [Google Scholar] [CrossRef]
- Wickham, H. Remodelación de datos con el paquete reshape2. J. Stat. Soft. 2007, 21, 1–20. [Google Scholar]
- Wickham, H. ggplot2: Elegant Graphics for Data Analysis; Springer: New York, NY, USA, 2016. [Google Scholar] [CrossRef]
- Mandujano, S. Beta Version of the RAI_eR Package, GitHub Repository. 2023. Available online: https://github.com/SMandujanoR (accessed on 22 August 2025).
- Mandujano, S.; Pérez-Solano, L.A. Fototrampeo en R: Organización y Análisis de Datos; Instituto de Ecología A. C.: Xalapa, Mexico, 2019. [Google Scholar]
- Kéry, M.; Royle, J.A. Applied Hierarchical Modeling in Ecology: Analysis of Distribution, Abundance and Species Richness in R and BUGS; Academic Press: London, UK, 2015. [Google Scholar]
- International Union for Conservation of Nature (IUCN). Red List of Threatened Species-International Union for Conservation of Nature. 2024. Available online: https://www.iucnredlist.org/ (accessed on 14 July 2025).
- Secretaría de Medio Ambiente y Recursos Naturales (SEMARNAT). Norma Oficial Mexicana NOM-059-SEMARNAT-2010, Protección Ambiental-Especies Nativas de México de Flora y Fauna Silvestres-Categorías de Riesgo y Especificaciones para su Inclusión, Exclusión o Cambio-Lista de Especies en Riesgo. Diario Oficial de la Federación. 2010. Available online: https://www.gob.mx/profepa/documentos/norma-oficial-mexicana-nom-059-semarnat-2010 (accessed on 3 July 2025).
- Steenweg, R.; Hebblewhite, M.; Whittington, J.; Lukacs, P.; McKelvey, K. Sampling scales define occupancy and underlying occupancy-abundance relationships in animals. Ecology 2018, 99, 172–183. [Google Scholar] [CrossRef]
- Nogues, E.; Arends, A.; von Keyserlingk, M.A.G. Rapid systematic literature review: Camera trap sampling in ecological studies: Consideration of wildlife welfare. Anim. Welf. 2025, 34, e44. [Google Scholar] [CrossRef] [PubMed]
- Pérez-Irineo, G.; Santos-Moreno, A. Diversidad de una comunidad de mamíferos carnívoros en una selva mediana del noreste de Oaxaca, México. Act. Zool. Mex. 2010, 26, 721–736. [Google Scholar] [CrossRef]
- Greco, I.; Salvatori, M.; Buonafede, E.; Pistolesi, A.; Corradini, A.; Cappai, N.; Marconi, M.; Seidenari, L.; Cagnacci, F.; Rovero, F. Placement matters: Implications of trail-versus random-based camera-trap deployment for monitoring mammal communities. Ecol. Appl. 2025, 35, e70083. [Google Scholar] [CrossRef] [PubMed]
- Sánchez-Cordero, V.; Botello, F.; Flores-Martínez, J.J.; Gómez-Rodríguez, R.A.; Guevara, L.; Gutiérrez-Granados, G. Biodiversidad de Chordata (Mammalia) en México. Rev. Mex. Biodivers. 2014, 85, S496. [Google Scholar] [CrossRef]
- Ragan, K.; Schipper, J.; Bateman, H.L.; Hall, S.J. Mammal use of riparian corridors in semi-arid Sonora, Mexico. J. Wildl. Manag. 2023, 87, e22322. [Google Scholar] [CrossRef]
- Camargo-Sanabria, A.A.; Fernández, J.A.; Hernández-Quiroz, N.S.; Buitrago-Torres, D.L.; Álvarez-Córdova, F. Ecological interactions of terrestrial mammals in the Chihuahuan Desert: A systematic map. Mammal Rev. 2025, 55, e70001. [Google Scholar] [CrossRef]
- McCallum, J. Changing use of camera traps in mammalian field research: Habitats, taxa and study types. Mammal Rev. 2013, 43, 196–206. [Google Scholar] [CrossRef]
- Halle, S. Ecological Relevance of Daily Activity Patterns. In Activity Patterns in Small Mammals; Halle, S., Stenseth, N.C., Eds.; Ecological Studies; Springer: Berlin/Heidelberg, Germany, 2000; Volume 141. [Google Scholar] [CrossRef]
- Elizalde-Arellano, C.; López-Vidal, J.C.; Hernández, L.; Laundré, J.W.; Cervantes, F.A.; Morales-Mejía, F.M.; Ramírez-Vargas, M.; Dávila-Galaviz, L.F.; González-Romero, A.; Alonso-Spilsbury, M. Registro de presencia y actividades de algunos mamíferos en el Desierto Chihuahuense, México. Therya 2014, 5, 793–816. [Google Scholar] [CrossRef]
- Abáigar, T.; Cano, M.; Ensenyat, C. Habitat preference of reintroduced dorcas gazelles (Gazella dorcas neglecta) in North Ferlo, Senegal. J. Arid Environ. 2013, 97, 176–181. [Google Scholar] [CrossRef]
- Jacobson, A.P.; Gerngross, P.; Lemeris, J.R., Jr.; Schoonover, R.F.; Anco, C.; Breitenmoser-Würsten, C.; Durant, S.M.; Farhadinia, M.S.; Henschel, P.; Kamler, J.F.; et al. Leopard (Panthera pardus) status, distribution, and the research efforts across its range. PeerJ. 2016, 4, e1974. [Google Scholar] [CrossRef]
- Ahumada, J.A.; Silva, C.E.; Gajapersad, K.; Hallam, C.; Hurtado, J.; Martin, E.; McWilliam, A.; Mugerwa, B.; O’Brien, T.; Rovero, F.; et al. Community structure and diversity of tropical forest mammals: Data from a global camera trap network. Philos. Trans. R. Soc. Lond. B. Biol. Sci. 2011, 366, 2703–2711. [Google Scholar] [CrossRef] [PubMed]
- Huerta-Rodríguez, J.O.; Rosas-Rosas, O.C.; López-Mata, L.; Alcántara-Carbajal, J.L.; Tarango-Arámbula, L.A. Camera traps reveal the natural corridors used by mammalian species in eastern Mexico. Ecol. Process. 2022, 11, 51. [Google Scholar] [CrossRef]
- Durán-Antonio, J.; González-Romero, A.; Sosa, V.J. Activity overlap of carnivores, their potential wild prey, and temporal segregation, with livestock in a Biosphere Reserve in the Chihuahuan Desert. J. Mammal. 2020, 101, 1609–1621. [Google Scholar] [CrossRef]
- Pérez-Solano, L.A.; Gallina-Tessaro, S. Activity patterns and their relationship to the habitat use of mule deer (Odocoileus hemionus) in the Chihuahuan Desert, Mexico. Therya 2019, 10, 323. [Google Scholar] [CrossRef]
- Wearn, O.R.; Rowcliffe, J.M.; Carbone, C.; Pfeifer, M.; Bernard, H.; Ewers, R.M. Mammalian species abundance across a gradient of tropical land-use intensity: A hierarchical multi-species modelling approach. Biol. Conserv. 2017, 212, 162–171. [Google Scholar] [CrossRef]
- Greenville, A.C.; Wardle, G.M.; Dickman, C.R. Desert mammal populations are limited by introduced predators rather than future climate change. R. Soc. Open Sci. 2017, 4, 170384. [Google Scholar] [CrossRef]
- Kuipers, K.J.J.; Hilbers, J.P.; Garcia-Ulloa, J.; Graae, B.J.; May, R.; Verones, F.; Huijbregts, M.A.J.; Schipper, A.M. Habitat fragmentation amplifies threats from habitat loss to mammal diversity across the world’s terrestrial ecoregions. One Earth 2021, 4, 1505–1513. [Google Scholar] [CrossRef]
- Lewin, A.; Murali, G.; Rachmilevitch, S.; Roll, U. Global evaluation of current and future threats to drylands and their vertebrate biodiversity. Nat. Ecol. Evol. 2024, 8, 1448–1458. [Google Scholar] [CrossRef]
- Derebe, B.; Derebe, Y.; Gedamu, B. Composition, relative abundance, and diversity of medium and large mammals in the Lake Tirba Awi area, Ethiopia. Anthr. Sci. 2023, 2, 71–80. [Google Scholar] [CrossRef]
- Ojeda, R.A.; Tabeni, S. The mammals of the Monte Desert revisited. J. Arid Environm. 2009, 73, 173–181. [Google Scholar] [CrossRef]
- Quiroga-Pacheco, C.J.; Velez-Liendo, X.; Zedrosser, A. Effects of seasonality on the large and medium-sized mammal community in mountain dry forests. Diversity 2024, 16, 409. [Google Scholar] [CrossRef]
- Rojas-Sánchez, J.V.; Coates, R.I.; Sánchez-Cordero, V.; Lavariega, M.C.; Flores-Martínez, J.J. Diversity and abundance of the species of arboreal mammals in a tropical rainforest in southeast Mexico. Ecol. Evol. 2025, 15, e70812. [Google Scholar] [CrossRef]
- Edwards, S.; Gange, A.C.; Wiesel, I. An oasis in the desert: The potential of water sources as camera trap sites in arid environments for surveying a carnivore guild. J. Arid Environ. 2016, 124, 304–309. [Google Scholar] [CrossRef]
- Monroy-Vilchis, O.; Zarco-González, M.M.; Ramírez-Pulido, J.; Aguilera-Reyes, U. Diversidad de mamíferos de la Reserva Natural Sierra Nanchititla, México. Rev. Mex. Biodivers. 2011, 82, 237–248. [Google Scholar]
- Beukes, M.; Perry, T.; Parker, D.M.; Mgqatsa, N. Refining camera trap surveys for mammal detection and diversity assessment in the Baviaanskloof Catchment, South Africa. Wild 2025, 2, 15. [Google Scholar] [CrossRef]
- Pacifi, M.; Di Marco, M.; Watson, J.E.M. Protected areas are now the last strongholds for many imperiled mammal species. Conserv. Lett. 2020, 13, e12748. [Google Scholar] [CrossRef]
- Torres-Romero, E.J.; Eppley, T.M.; Ripple, W.J.; Newsome, T.M.; Carter, N.H.; Ordiz, A.; de Oliveira, T.G.; Selva, N.; Penteriani, V. Global scale assessment of the human-induced extinction crisis of terrestrial carnivores. Sci. Adv. 2025, 11, eadq2853. [Google Scholar] [CrossRef] [PubMed]










| Order | Family | Species | Common Name | Method | Conservation Status (NOM-059/UICN) |
|---|---|---|---|---|---|
| Artiodactyla | Cervidae | Odocoileus virginianus | White-tailed deer | Camera trap/track surveys | LC |
| Dicotyles tajacu | Collared peccary | Camera trap/track surveys | LC | ||
| Carnivora | Canidae | Canis latrans | Coyote | Camera trap/track surveys | LC |
| Urocyon cinereoargenteus | Gray fox | Camera trap/track surveys | LC | ||
| Mephitidae | Conepatus leuconotus | Northern hog-nosed skunk | Camera trap/track surveys | LC | |
| Mephitis macroura | Southern spotted skunk | Camera trap | LC | ||
| Spilogale gracilis | Western spotted skunk | Camera trap | LC | ||
| Felidae | Lynx rufus | Bobcat | Camera trap/track surveys | LC | |
| Ursidae | Ursus americanus | American black bear | Camera trap/track surveys | EN | |
| Mustelidae | Taxidea taxus | American badger | Camera trap | T | |
| Neogale frenata | Long-tailed weasel | Track surveys | LC | ||
| Lagomorpha | Leporidae | Sylvilagus audubonii | Desert cottontail rabbits | Camera trap/track surveys | LC |
| Lepus californicus | Black-tailed jackrabbit | Camera trap/track surveys | LC | ||
| Rodentia | Sciuridae | Cynomys mexicanus | Mexican prairie dog | Camera trap/track surveys | E/EN |
| Xerospermophilus spilosoma | Spotted ground squirrel | Camera trap/track surveys | LC | ||
| Geomyidae | Cratogeomys castanops | Yellow-faced pocket gopher | Track surveys | LC |
| Vegetation Type | Rainy | Dry | ||||
|---|---|---|---|---|---|---|
| Richness | Shannon | Simpson | Richness | Shannon | Simpson | |
| Chihuahuan desert scrub | 9 | 1.43 | 0.63 | 10 | 1.23 | 0.53 |
| Montane forest | 8 | 1.36 | 0.64 | 11 | 1.76 | 0.73 |
| Semi-desert grassland | 10 | 1.37 | 0.60 | 12 | 1.82 | 0.79 |
Disclaimer/Publisher’s Note: The statements, opinions and data contained in all publications are solely those of the individual author(s) and contributor(s) and not of MDPI and/or the editor(s). MDPI and/or the editor(s) disclaim responsibility for any injury to people or property resulting from any ideas, methods, instructions or products referred to in the content. |
© 2025 by the authors. Licensee MDPI, Basel, Switzerland. This article is an open access article distributed under the terms and conditions of the Creative Commons Attribution (CC BY) license (https://creativecommons.org/licenses/by/4.0/).
Share and Cite
Cruz-Bazan, E.J.; Ramírez-Albores, J.E.; Encina-Domínguez, J.A.; Hernández-Herrera, J.A.; Chavez-Lugo, E.G. Spatial–Temporal Patterns of Mammal Diversity and Abundance in Three Vegetation Types in a Semi-Arid Landscape in Southeastern Coahuila, Mexico. Diversity 2025, 17, 788. https://doi.org/10.3390/d17110788
Cruz-Bazan EJ, Ramírez-Albores JE, Encina-Domínguez JA, Hernández-Herrera JA, Chavez-Lugo EG. Spatial–Temporal Patterns of Mammal Diversity and Abundance in Three Vegetation Types in a Semi-Arid Landscape in Southeastern Coahuila, Mexico. Diversity. 2025; 17(11):788. https://doi.org/10.3390/d17110788
Chicago/Turabian StyleCruz-Bazan, Erika J., Jorge E. Ramírez-Albores, Juan A. Encina-Domínguez, José A. Hernández-Herrera, and Eber G. Chavez-Lugo. 2025. "Spatial–Temporal Patterns of Mammal Diversity and Abundance in Three Vegetation Types in a Semi-Arid Landscape in Southeastern Coahuila, Mexico" Diversity 17, no. 11: 788. https://doi.org/10.3390/d17110788
APA StyleCruz-Bazan, E. J., Ramírez-Albores, J. E., Encina-Domínguez, J. A., Hernández-Herrera, J. A., & Chavez-Lugo, E. G. (2025). Spatial–Temporal Patterns of Mammal Diversity and Abundance in Three Vegetation Types in a Semi-Arid Landscape in Southeastern Coahuila, Mexico. Diversity, 17(11), 788. https://doi.org/10.3390/d17110788

