Target-Tree Management Enhances Understory Biodiversity and Productivity in Larix principis-rupprechtii Plantations
Abstract
1. Introduction
2. Materials and Methods
2.1. Study Area and Sampling Locations
2.2. Sample Collection
2.3. Index Determination
- (1)
- Shannon-wiener (H):
- (2)
- Pielou (J)
- (3)
- Simpson (D)
- (4)
- Margalef (R)
- (5)
- Gleason (G)
2.4. Data Analysis
3. Results
3.1. Analysis of Biodiversity Under Different Management Models
3.2. Changes in Understory Biomass Under Different Management Systems
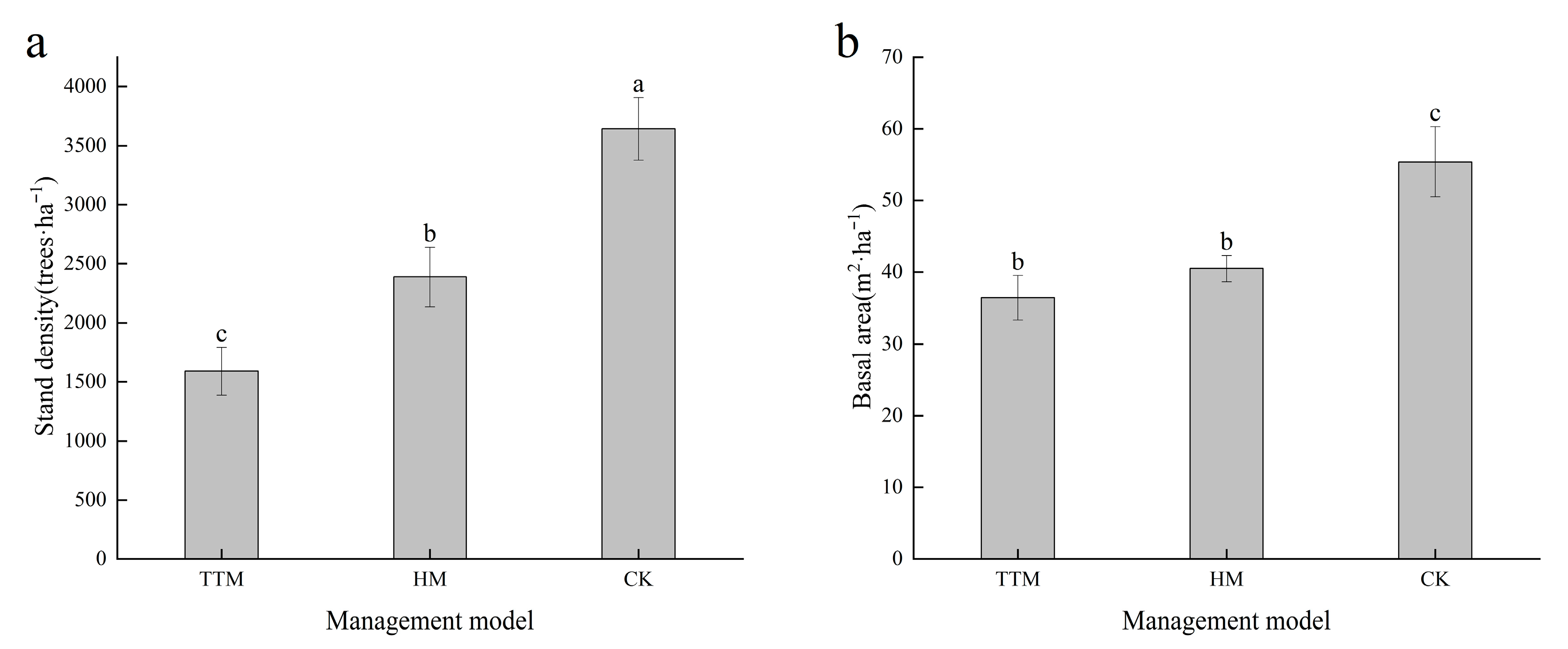
3.3. Variations in Stand Structural Attributes and Soil Properties Across Management Regimes
3.4. Correlation Analysis Between Biodiversity and Ecological Factors
3.5. Analysis of Factors Affecting Understory Biomass
4. Discussion
5. Conclusions
Author Contributions
Funding
Institutional Review Board Statement
Data Availability Statement
Conflicts of Interest
References
- Newbold, T.; Hudson, L.N.; Hill, S.L.; Contu, S.; Lysenko, I.; Senior, R.A.; Börger, L.; Bennett, D.J.; Choimes, A.; Collen, B.J.N. Global effects of land use on local terrestrial biodiversity. Nature 2015, 520, 45–50. [Google Scholar] [CrossRef]
- Flynn, D.F.; Gogol-Prokurat, M.; Nogeire, T.; Molinari, N.; Richers, B.T.; Lin, B.B.; Simpson, N.; Mayfield, M.M.; DeClerck, F. Loss of functional diversity under land use intensification across multiple taxa. Ecol. Lett. 2009, 12, 22–33. [Google Scholar] [CrossRef]
- Han, C.; Li, Y.G.; Dong, X.X.; Zhao, C.M.; An, L.Z. Pinus tabulaeformis Forests Have Higher Carbon Sequestration Potential Than Larix principis-rupprechtii Forests in a Dryland Mountain Ecosystem, Northwest China. Forests 2022, 13, 739. [Google Scholar] [CrossRef]
- Hansen, A.J.; Spies, T.A.; Swanson, F.J.; Ohmann, J.L. Conserving biodiversity in managed forests. BioScience 1991, 41, 382–392. [Google Scholar] [CrossRef]
- Barlow, J.; Gardner, T.A.; Araújo, I.S.; Ávila-Pires, T.C.; Bonaldo, A.B.; Costa, J.E.; Espósito, M.C.; Ferreira, L.V.; Hawes, J.; Hernández, M.I.M.; et al. Quantifying the biodiversity value of tropical primary, secondary, and plantation forests. Natl. Acad. Sci. 2007, 104, 18555–18560. [Google Scholar] [CrossRef]
- Stephens, S.S.; Wagner, M.R. Forest plantations and biodiversity: A fresh perspective. J. For. 2007, 105, 307–313. [Google Scholar] [CrossRef]
- Burrascano, S.; Keeton, W.S.; Sabatini, F.M.; Blasi, C.J. Management. Commonality and variability in the structural attributes of moist temperate old-growth forests: A global review. For. Ecol. Manag. 2013, 291, 458–479. [Google Scholar] [CrossRef]
- Potter, K.M.; Woodall, C.W. Management. Does biodiversity make a difference? Relationships between species richness, evolutionary diversity, and aboveground live tree biomass across US forests. For. Ecol. Manag. 2014, 321, 117–129. [Google Scholar] [CrossRef]
- Liang, J.J.; Zhou, M.; Tobin, P.C.; McGuire, A.D.; Reich, P.B. Biodiversity influences plant productivity through niche-efficiency. Proc. Natl. Acad. Sci. USA 2015, 112, 5738–5743. [Google Scholar] [CrossRef] [PubMed]
- Mori, A.S.; Lertzman, K.P.; Gustafsson, L. Biodiversity and ecosystem services in forest ecosystems: A research agenda for applied forest ecology. J. Appl. Ecol. 2017, 54, 12–27. [Google Scholar] [CrossRef]
- Ali, A.; Lin, S.L.; He, J.K.; Kong, F.M.; Yu, J.H.; Jiang, H.S. Climate and soils determine aboveground biomass indirectly via species diversity and stand structural complexity in tropical forests. For. Ecol. Manag. 2019, 432, 823–831. [Google Scholar] [CrossRef]
- Ali, A.; Mattsson, E. Individual tree size inequality enhances aboveground biomass in homegarden agroforestry systems in the dry zone of Sri Lanka. Sci. Total Environ. 2017, 575, 6–11. [Google Scholar] [CrossRef] [PubMed]
- Huston, M.A. Hidden treatments in ecological experiments: Re-evaluating the ecosystem function of biodiversity. Oecologia 1997, 110, 449–460. [Google Scholar] [CrossRef] [PubMed]
- Ali, A. Biodiversity-ecosystem functioning research: Brief history, major trends and perspectives. Biol. Conserv. 2023, 285, 110210. [Google Scholar] [CrossRef]
- Mensah, S.; Veldtman, R.; Assogbadjo, A.E.; Glèlè Kakaï, R.; Seifert, T. Evolution. Tree species diversity promotes aboveground carbon storage through functional diversity and functional dominance. Ecol. Evol. 2016, 6, 7546–7557. [Google Scholar] [CrossRef]
- Jacob, M.; Leuschner, C.; Thomas, F.M. Productivity of temperate broad-leaved forest stands differing in tree species diversity. Ann. For. Sci. 2010, 67, 503. [Google Scholar] [CrossRef]
- Chen, H.; Klinka, K. Aboveground productivity of western hemlock and western redcedar mixed-species stands in southern coastal British Columbia. For. Ecol. Manag. 2003, 184, 55–64. [Google Scholar] [CrossRef]
- Zhang, Y.; Wang, R.H.; Liu, C.; Liu, Q.; Li, M.H.; Zhang, Z.D. Biodiversity and Soil Jointly Drive Ecosystem Multifunctionality in Larch Forests. Forests 2025, 16, 745. [Google Scholar] [CrossRef]
- Su, X.; Li, S.; Wan, X.; Huang, Z.; Liu, B.; Fu, S.; Kumar, P.; Chen, H.Y. Management. Understory vegetation dynamics of Chinese fir plantations and natural secondary forests in subtropical China. For. Ecol. Manag. 2021, 483, 118750. [Google Scholar] [CrossRef]
- Qiu, Z.L.; Zhang, M.; Wang, K.F.; Shi, F.C. Vegetation community dynamics during naturalized developmental restoration of Pinus tabulaeformis plantation in North warm temperate zone. J. Plant Ecol. 2023, 16, rtac102. [Google Scholar] [CrossRef]
- Huang, Y.; Xu, X.; Zhang, L.; Song, Y.; Luo, Z. Ten-years period of grass and small woody plant dynamics in a 5-ha evergreen forest plot in Baishanzu, Zhejiang Province. Biodivers. Sci. 2016, 24, 1353. [Google Scholar] [CrossRef]
- Gong, G.; Niu, M.; Mu, C.; Chen, J.; Li, Y.; Zhu, Z.; Zheng, S. Impacts of different thinning intensities on growth of Cupressus funebris plantation and understory plants. Sci. Silvae Sin. 2015, 51, 8–15. [Google Scholar]
- Li, R.; Ma, H.; Min, J.; Hao, J.; Guan, Q. Short-term and Long-term effects of thinning on the undergrowth diversity in the Pinus massoniana plantation. Ecol. Environ. 2012, 21, 807. [Google Scholar]
- Cui, L.; Guo, J.; Gong, j.; Li, D.; Li, X. Preliminary Study on Forest Carbon Sink Estimation Method in Mulan Forest Farm. J. Zhejiang For. Sci. Technol. 2024, 44, 80–86. [Google Scholar]
- Zhao, S.; Wang, R.; Liu, K.; Dong, K.; Gong, Y.; Zhang, B.; Zhou, Y. Effects of thinning on growth and understory vegetation diversity of Chinese fir plantation at different ages. J. Cent. South Univ. For. Technol. 2020, 40, 34–43. [Google Scholar]
- Shannon, C.E. The mathematical theory of communication. 1963. M.D. Comput. Comput. Med. Pract. 1997, 14, 306–317. [Google Scholar]
- Pielou, E.C. The measurement of diversity in different types of biological collections. J. Theor. Biol. 1966, 13, 131–144. [Google Scholar] [CrossRef]
- Simpson, E.H. Measurement of Diversity. Nature 1949, 163, 688. [Google Scholar] [CrossRef]
- Martinez, J.; Camara, L.; Tigar, B.; Castillo, O. Relationship between carbon stocks and structural diversity in humid and subhumid tropical forest of Mexico. Écoscience 2016, 22, 125–131. [Google Scholar] [CrossRef]
- Schall, P.; Gossner, M.M.; Heinrichs, S.; Fischer, M.; Boch, S.; Prati, D.; Jung, K.; Baumgartner, V.; Blaser, S.; Böhm, S.; et al. The impact of even-aged and uneven-aged forest management on regional biodiversity of multiple taxa in European beech forests. J. Appl. Ecol. 2018, 55, 267–278. [Google Scholar] [CrossRef]
- Penone, C.; Allan, E.; Soliveres, S.; Felipe-Lucia, M.R.; Gossner, M.M.; Seibold, S.; Simons, N.K.; Schall, P.; van der Plas, F.; Manning, P.; et al. Specialisation and diversity of multiple trophic groups are promoted by different forest features. Ecol. Lett. 2019, 22, 170–180. [Google Scholar] [CrossRef] [PubMed]
- Paillet, Y.; Bergès, L.; Hjältén, J.; Odor, P.; Avon, C.; Bernhardt-Römermann, M.; Bijlsma, R.J.; De Bruyn, L.; Fuhr, M.; Grandin, U.; et al. Biodiversity Differences between Managed and Unmanaged Forests: Meta-Analysis of Species Richness in Europe. Conserv. Biol. 2010, 24, 101–112. [Google Scholar] [CrossRef]
- Torras, O.; Gil-Tena, A.; Saura, S. Changes in biodiversity indicators in managed and unmanaged forests in NE Spain. J. For. Res. 2012, 17, 19–29. [Google Scholar] [CrossRef]
- Kern, C.C.; Montgomery, R.A.; Reich, P.B.; Strong, T.F. Harvest-Created Canopy Gaps Increase Species and Functional Trait Diversity of the Forest Ground-Layer Community. For. Sci. 2013, 60, 335–344. [Google Scholar] [CrossRef]
- Zhou, Y.; Gao, Y.; Zhao, H.; Zhao, Z.; Ji, C.; Yang, C.; Liu, Q. Vertical Spatial Heterogeneity of Light Inhibition in North China Larch and Its Primary Influencing Factors. Chin. J. Ecol. 2025, 44, 383–388. [Google Scholar]
- Chen, S.S.; Wu, S.J.; Yang, J. Forest management has a mixed effect on understory biomass, but understory species diversity and stand structure are key. Eur. J. For. Res. 2025, 144, 255–265. [Google Scholar] [CrossRef]
- Li, X.K.; Li, Y.N.; Zhang, J.; Peng, S.Z.; Chen, Y.M.; Cao, Y. The effects of forest thinning on understory diversity in China: A meta-analysis. Land Degrad. Dev. 2020, 31, 1225–1240. [Google Scholar] [CrossRef]
- Khanalizadeh, A.; Rad, J.E.; Amiri, G.Z.; Zare, H.; Schall, P.; Lexer, M.J. The relationship between plant diversity and aboveground biomass in managed and unmanaged temperate forests. Eur. J. For. Res. 2023, 142, 1167–1175. [Google Scholar] [CrossRef]
- Elliott, K.J.; Knoepp, J.D. The effects of three regeneration harvest methods on plant diversity and soil characteristics in the southern Appalachians. For. Ecol. Manag. 2005, 211, 296–317. [Google Scholar] [CrossRef]
- Crotteau, J.S.; Rue-Johns, A.Z.; Barnard, J.C. Effects on understory biomass and forage 8–10 years after precommercial thinning of Sitka spruce—Western hemlock stands in southeast Alaska. Can. J. For. Res. 2020, 50, 215–225. [Google Scholar] [CrossRef]
- Cardinale, B.J.; Wright, J.P.; Cadotte, M.W.; Carroll, I.T.; Hector, A.; Srivastava, D.S.; Loreau, M.; Weis, J.J. Impacts of plant diversity on biomass production increase through time because of species complementarity. Proc. Natl. Acad. Sci. USA 2007, 104, 18123–18128. [Google Scholar] [CrossRef]
- Grace, J.B.; Anderson, T.M.; Seabloom, E.W.; Borer, E.T.; Adler, P.B.; Harpole, W.S.; Hautier, Y.; Hillebrand, H.; Lind, E.M.; Pärtel, M.; et al. Integrative modelling reveals mechanisms linking productivity and plant species richness. Nature 2016, 529, 390–393. [Google Scholar] [CrossRef] [PubMed]
- Hordijk, I.; Maynard, D.S.; Hart, S.P.; Mo, L.D.; ter Steege, H.; Liang, J.J.; de-Miguel, S.; Nabuurs, G.J.; Reich, P.B.; Abegg, M.; et al. Evenness mediates the global relationship between forest productivity and richness. J. Ecol. 2023, 111, 1308–1326. [Google Scholar] [CrossRef]
- DeWalt, S.J.; Chave, J. Structure and biomass of four lowland Neotropical forests. Biotropica 2004, 36, 7–19. [Google Scholar] [CrossRef]
- de Castilho, C.V.; Magnusson, W.E.; de Araújo, R.N.O.; Luizao, R.C.C.; Lima, A.P.; Higuchi, N. Variation in aboveground tree live biomass in a central Amazonian Forest:: Effects of soil and topography. For. Ecol. Manag. 2006, 234, 85–96. [Google Scholar] [CrossRef]







| Management Modes | Plots | Stand Density (Trees·ha−1) | Mean Breast Diameter (cm) | Average Tree Height (m) | Canopy Density | Altitude (m) | Slope (°) | Slope Position | Soil Type | Terrain | Measures for the Year |
|---|---|---|---|---|---|---|---|---|---|---|---|
| TTM | 1 | 2150 | 36.59 | 15.71 | 0.7 | 1356.4 | 13 | Upper slope | Loam | Mountainous terrain | 2010 |
| TTM | 2 | 2016.7 | 39.00 | 15.29 | 0.7 | 1369.6 | 13 | Upper slope | Loam | Mountainous terrain | 2010 |
| TTM | 3 | 1300 | 25.65 | 15.99 | 0.7 | 1368 | 12 | Upper slope | Loam | Mountainous terrain | 2010 |
| TTM | 4 | 1200 | 36.15 | 16.07 | 0.7 | 1372.9 | 12 | Upper slope | Loam | Mountainous terrain | 2010 |
| TTM | 5 | 1283.3 | 44.77 | 15.80 | 0.7 | 1335.4 | 13 | Upper slope | Loam | Mountainous terrain | 2010 |
| HM | 1 | 2803.5 | 54.86 | 13.42 | 0.8 | 1348.6 | 13 | Upper slope | Loam | Mountainous terrain | 2010 |
| HM | 2 | 1533.3 | 34.50 | 16.50 | 0.8 | 1367.4 | 14 | Upper slope | Loam | Mountainous terrain | 2010 |
| HM | 3 | 2950 | 59.90 | 14.36 | 0.8 | 1367.5 | 13 | Upper slope | Loam | Mountainous terrain | 2010 |
| HM | 4 | 2479 | 51.37 | 14.62 | 0.8 | 1365.4 | 12 | Upper slope | Loam | Mountainous terrain | 2010 |
| HM | 5 | 2175 | 51.93 | 16.87 | 0.8 | 1338.1 | 11 | Upper slope | Loam | Mountainous terrain | 2010 |
| CK | 1 | 3457 | 61.21 | 12.98 | 0.9 | 1350 | 11 | Upper slope | Loam | Mountainous terrain | 2010 |
| CK | 2 | 3333.3 | 74.23 | 14.29 | 0.9 | 1366.4 | 13 | Upper slope | Loam | Mountainous terrain | 2010 |
| CK | 3 | 4600 | 47.39 | 14.11 | 0.9 | 1368.5 | 14 | Upper slope | Loam | Mountainous terrain | 2010 |
| CK | 4 | 3758 | 71.93 | 13.54 | 0.9 | 1358.4 | 12 | Upper slope | Loam | Mountainous terrain | 2010 |
| CK | 5 | 3066.6 | 68.50 | 13.58 | 0.9 | 1336.8 | 14 | Upper slope | Loam | Mountainous terrain | 2010 |
| Management Model | Simpson_1-D | Shannon_H | Margalef | Pielou | Gleason |
|---|---|---|---|---|---|
| Target tree management | 0.886 ± 0.01 a | 2.493 ± 0.14 a | 4.27 ± 0.68 a | 0.771 ± 0.009 a | 6.90 ± 1.12 a |
| Homogeneous management | 0.826 ± 0.02 ab | 2.22 ± 0.03 ab | 3.3 ± 0.31 ab | 0.748 ± 0.027 a | 5.16 ± 0.53 ab |
| Unmanaged stands | 0.794 ± 0.03 b | 1.95 ± 0.11 b | 2.53 ± 0.22 b | 0.71 ± 0.043 a | 4.09 ± 0.42 b |
Disclaimer/Publisher’s Note: The statements, opinions and data contained in all publications are solely those of the individual author(s) and contributor(s) and not of MDPI and/or the editor(s). MDPI and/or the editor(s) disclaim responsibility for any injury to people or property resulting from any ideas, methods, instructions or products referred to in the content. |
© 2025 by the authors. Licensee MDPI, Basel, Switzerland. This article is an open access article distributed under the terms and conditions of the Creative Commons Attribution (CC BY) license (https://creativecommons.org/licenses/by/4.0/).
Share and Cite
Wang, Y.; Zhao, Z.; Zheng, P.; Wu, S.; Mu, L. Target-Tree Management Enhances Understory Biodiversity and Productivity in Larix principis-rupprechtii Plantations. Diversity 2025, 17, 787. https://doi.org/10.3390/d17110787
Wang Y, Zhao Z, Zheng P, Wu S, Mu L. Target-Tree Management Enhances Understory Biodiversity and Productivity in Larix principis-rupprechtii Plantations. Diversity. 2025; 17(11):787. https://doi.org/10.3390/d17110787
Chicago/Turabian StyleWang, Yuxuan, Zhongbao Zhao, Ping Zheng, Shu Wu, and Liqiang Mu. 2025. "Target-Tree Management Enhances Understory Biodiversity and Productivity in Larix principis-rupprechtii Plantations" Diversity 17, no. 11: 787. https://doi.org/10.3390/d17110787
APA StyleWang, Y., Zhao, Z., Zheng, P., Wu, S., & Mu, L. (2025). Target-Tree Management Enhances Understory Biodiversity and Productivity in Larix principis-rupprechtii Plantations. Diversity, 17(11), 787. https://doi.org/10.3390/d17110787
