Abstract
The attitudes of community members living around protected areas are an important and often overlooked consideration for effective conservation strategies. Around Kibale National Park (KNP) in western Uganda, communities regularly face the threat of crop destruction from wildlife, including from a variety of endangered species, such as African elephants (Loxodonta africana), common chimpanzees (Pan troglodytes), and red colobus monkeys (Piliocolobus tephrosceles), as well as other nonhuman primates, including olive baboons (Papio anubis). These frequent negative interactions with wildlife lead many community members to resent the park and the animals that live within it. To mitigate these issues, community members around KNP partnered with researchers to start a participatory action research project to reduce human-wildlife interactions. The project tested four sustainable human-wildlife conflict mitigation strategies: digging and maintaining trenches around the park border, installing beehive fences in swampy areas where trenches could not be dug, planting tea as a buffer, and growing garlic as a cash crop. These physical exclusion methods and agriculture-based deterrents aimed to reduce crop destruction by wild animals and improve conditions for humans and wildlife alike. We conducted oral surveys with members of participating communities and a nonparticipating community that border KNP to determine the impact of these sustainable human-wildlife conflict mitigation strategies on attitudes toward KNP, wildlife officials, and animal species in and around KNP. We found that there is a positive correlation between participation in the project and perceived benefits of living near KNP. We also found that respondents who participated in the project reported more positive feelings about the Uganda Wildlife Authority, the organization that oversees KNP. This research will help inform future conservation initiatives around KNP and other areas where humans and animals face conflict through crop damage.
1. Introduction
In regions where humans and animals overlap, direct competition over access to resources commonly results in human-wildlife conflict (HWC), a phenomenon that is increasing in severity each year as humans expand into and extract resources from more and more wild areas [1,2]. HWC can manifest in myriad ways, from livestock depredation to human mortality, and is a major threat to humans and wildlife alike [3,4]. In areas where community members farm for subsistence, the results of HWC in the form of crop consumption and damage by wildlife can be especially harmful, as animals can destroy households’ sole sources of income and food. As a response to this threat of crop loss, community members will sometimes resort to violence against the animals, including killing them to protect their resources [5]. Killing wildlife on subsistence farms can have consequences that radiate far beyond the incident of HWC; it can decrease biodiversity, in effect, disrupting the entire ecosystem [6].
Around Kibale National Park (KNP) in western Uganda, communities face the threat of crop damage from wildlife, including a variety of endangered species, such as elephants (Loxodonta africana) and chimpanzees (Pan troglodytes). The need to constantly guard the gardens and the losses faced result in economic instability, health risks, and frustration with wildlife [7,8]. As a result, farmers may injure or kill animals when they are consuming or damaging crops in the garden [9,10]. With increasing frequency of crop losses, the economic benefits of living near the park—mainly tourism and ecosystem services—become overshadowed. These frequent negative interactions with wildlife lead many community members to resent the park and the animals that live within it [11]. Through a series of surveys from 2006 to 2012, MacKenzie et al. (2017) [11] found a 25% decrease in the number of households that felt they benefited from KNP, with the most common complaint being conflict with wild animals.
The feelings of community members living around protected areas are important to consider as they can influence attitudes and behaviors that ultimately have conservation implications [12,13]. Perceptions of crop raiding may reduce tolerance for wildlife in communities around protected areas [14]. Besides perceptions of wildlife itself, conflicts between community members and park management can also augment perceived costs of crop raiding and HWC [12]. In some instances, this human–human conflict between community members and wildlife management officials may be conflated with HWC, skewing perceptions of wildlife [15,16]. This intersection of human–human conflict and HWC necessitates the study of perceptions of both human and nonhuman activities to understand perceived costs and benefits of living near KNP, as well as the social dimensions of conservation initiatives [13,15].
Importantly, attitudes and behaviors towards wildlife can change when interventions that address the needs of a community are implemented [13]. In 2015, as frustrations about crop consumption and damage around KNP increased, community members around KNP initiated a partnership with researchers familiar with the park to start a participatory action research project [17] to reduce human-wildlife interactions around the park [18]. Participatory action research is a research framework that relies on collaboration between researchers and participants to design and implement actionable changes to improve livelihoods of study participants [17]. Participatory action research, though originally used primarily in public health research, is a promising approach to conservation planning and human-wildlife conflict mitigation because it provides researchers the opportunity to incorporate local knowledge into project design [17,18].
The participatory action research project investigated in this study began in May 2015 and involved testing four sustainable HWC mitigation strategies: digging and maintaining trenches around the park border, installing beehive fences in swampy areas where trenches could not be dug, planting tea as a buffer, and growing garlic as a cash crop. When properly implemented, trenches are effective at keeping elephants and other large mammals such as bush pigs contained within the park and out of community members’ gardens [8,18]. Trenches require long-term maintenance to deter elephants from entering farmland and other human property [19], so to ensure their efficacy, participating communities held weekly trench maintenance meetings to clear the trenches of any debris and to keep them at adequate width and depth. Trenches are popular among community members living near KNP because they offer a more sustainable solution to prevent crop raiding than human guarding [8]. Beehive fences have also proven to be an effective intervention at deterring elephants from crossing out of protected areas and can be installed in swampy areas where trenches cannot be maintained without disturbing the natural habitat [19,20]. Beehive fences function as bio-acoustic deterrents of elephants, and they also provide the additional benefits of more pollinators for plants and honey for project participants who maintain the hives [20]. The beehive fences were installed on a staggered basis in each of the participating communities and were maintained on the same schedule as the trenches.
Trenches and beehive fences are good barriers for elephants and some other large terrestrial mammals but are largely ineffective in stopping chimpanzees, baboons, and other nonhuman primates from crossing out of the park. Tea has proven to be an effective buffer crop to create a barrier for terrestrial primates [21]; however, due to drought and changes in local weather patterns, the communities did not successfully establish a tea buffer. There is currently no evidence that growing garlic prevents crop raiding, but it is an unpalatable (and harmless) crop that provides an alternative revenue flow [22], which is associated with increased tolerance towards HWC [12]. Further, garlic is traditionally grown and harvested in western Uganda [23], so it does not have an increased risk of becoming an invasive species, and its profitability is predicted to be more stable than other cash crops in Uganda, such as vanilla or moringa [24]. Addressing the economic needs of communities around protected areas is an important component of wildlife conservation initiatives [13].
In addition to implementing these strategies, the project hosted community meetings to discuss any concerns about the project. Project staff and researchers, representatives from the Uganda Wildlife Authority, and community members attended these meetings, providing an opportunity to open the dialogue between these different factions. HWC is often the result of human–human conflict that results from lack of communication [12], making these opportunities for communication particularly important for the project.
From September 2016 to May 2017, the participating communities began implementing the physical exclusion methods and agriculture-based deterrents that their community had selected (based on an initial survey in May 2015 and a follow-up survey about community members’ needs and preferences in July and August 2016) and holding community meetings [18]. Through monthly oral surveys, the project documented decreasing reports of crop raiding in their participating communities as of August 2019 [18], but little has been done to examine any changes in community members’ perceptions of the park and biodiversity conservation.
In this study, we examined the impact of conservation efforts on community members’ perceptions of wildlife conservation. Specifically, we investigated three main questions: (1) what are the attitudes of community members toward KNP, animals in the park, and wildlife conservation, (2) is there a correlation between these attitudes and exposure to HWC, and (3) how does participation in a participatory action research project to decrease human-wildlife interactions impact these attitudes? We predicted that participation in the participatory action research project led to decreased incidence of HWC and improved perceptions of wildlife, the park, and park officials. We used qualitative and quantitative survey data from a study conducted in three participating communities and one community that was not associated with the project and also bordered KNP. An understanding of perceptions of biodiversity conservation is essential in determining the efficacy of community-based conservation projects and will reveal what changes can be made to have lasting and important impacts on environmental protection.
2. Materials and Methods
KNP’s 795 km2 of land contains both lowland and montane forests and is characterized by a bi-modal rainfall pattern, with two rainy seasons annually between February and early May and late August and early December [25,26]. The soils around KNP are believed to be especially fertile because of their unusual composition of volcanic rock from the East African Rift System [27]. KNP is home to 13 species of nonhuman primates, including chimpanzees, baboons (Papio anubis), red colobus monkeys (Piliocolobus tephrosceles), black and white colobus monkeys (Colobus guereza), and vervet monkeys (Chlorocebus pygerythus) [28,29,30]. In 1932, Kibale Forest was established as a colonial timber reserve and then became a national park in 1993 [31]. This classification led to reductions in commercial logging, hunting, charcoal production, and agriculture in the forest, largely due to national orders and legal restrictions [31].
It is estimated that almost 95% of the population surrounding KNP relies on farming or other agricultural activities for their livelihoods [32]. Nearly all agriculture surrounding KNP is small-scale and rain-fed [33]. Farmers around KNP plant over 20 different crops for sustenance, including—but not limited to—sweet potatoes, bananas, Irish potatoes, groundnuts, maize, and cassava [26]. While some farmers sell their crops for profit from their residences or at local markets, the majority of farmers around KNP grow their crops at the subsistence level for household consumption [26]. As a result, the practice of growing cash crops—with the exception of tea plants and certain food crops—is limited around KNP [26]. The population density within 5 km of KNP’s boundaries is estimated to be between 262 to 335 individuals per square kilometer, with a greater density on the eastern border of the park [34].
For this study, we surveyed community members from four communities bordering north-central Kibale National Park: Community 1 (n = 34), Community 2 (n = 29), Community 3 (n = 30), and Community 4 (n = 41), providing a total sample size of 134 respondents (Table 1). These 134 respondents are a small but representative sample of many of the communities surrounding KNP based on employment data and demographic information [32,34]. Communities 1, 2, and 3 (hereafter referred to as “participating communities”) all actively participated in the participatory action research project to reduce human-wildlife interactions at the time of the study, meaning that they maintained the trench and beehive fences and grew and sold garlic as a cash crop. We used Community 4 as a control group, as it did not participate in the project at the time of this study or at any point prior but was also located along the boundary of the park and experienced crop damage from wildlife. The participating communities were selected based on their participation status. Community 4 was selected because it does not directly neighbor the participating communities—reducing the likelihood that it is familiar with the project activities—and because it also borders the park in the same general geographic area as the participating communities. Further, Community 4 has a similar population size and demography to each of the participating communities.
Table 1.
Demographic information of study communities (n = 134 total respondents).
Individual households from each community were selected to be interviewed if they directly bordered the park and households were not included if the property did not run directly along the boundary of KNP. Previous research into perceptions of crop raiding has revealed that perceptions of crop raiding frequency and damage are unrelated to education level, property size, farming experience, and familiarity with the local area [35]; thus, for this study, respondents were selected independent of age, land size, and background. However, proximity to a protected area does impact losses from wildlife [7,36], which is why we controlled for distance from the park by only including households with land that directly bordered the park boundary. No respondents were paid to participate in the study, but respondents from Community 4 were given a bar of laundry soap in exchange for their responses, similar to the “token gift” given to respondents in Hartter (2009) [37]. Respondents from the participating communities were incentivized to participate in this research because the study will help assess the efficacy of their participatory action project. Permission to conduct this study was granted by the Uganda Wildlife Authority and the Washington University Institutional Review Board. The researchers established informed consent with all participants and maintained confidentiality in accordance with the standards set forth by Washington University’s Human Research Protection Office.
A local research assistant from a nearby community conducted all surveys in Rutooro or Rukiga over a seven-week period in May and June 2019. The research assistant translated all responses to English contemporaneous with administering the survey. Prior to administering the survey to study participants, the survey was pre-tested to ensure that the research assistant accurately perceived all survey questions and was comfortable translating each question to and from English, Rutooro, and/or Rukiga [37]. This pre-testing period included reverse translation by other research assistants familiar in all three languages who have experience with oral survey administration. All surveys were conducted during the day at respondents’ homes. The surveys consisted of questions about the park, the Uganda Wildlife Authority, specific animal species, and wildlife conservation efforts. Two different surveys were used depending on the community’s participation status (Supplementary Document S.1.). The majority of survey questions were open-ended, allowing respondents to explain perceived benefits and problems associated with living near KNP, their general feelings about KNP, their attitudes towards protecting the environment, and their personal attitudes and the perceived attitudes of the community towards the Uganda Wildlife Authority, similar to survey methods in MacKenzie et al. (2017) [11] and Hartter (2009) [37]. Community members were asked to describe both their personal attitudes and the perceived attitudes of their respective communities toward the Uganda Wildlife Authority as a form of indirect questioning to control for social desirability bias [38], a phenomenon in which survey respondents alter their responses to be more appropriate or socially acceptable, instead of responding with their true feelings [39]. We expected respondents to feel more comfortable sharing negative responses about the Uganda Wildlife Authority if they could discuss these attitudes on a community, versus personal, level. This approach is commonly used in qualitative research and is known as “data source triangulation”, which involves collecting similar data from different perspectives to garner a more robust understanding of a phenomenon [40].
Respondents were also asked to describe their feelings about six different animal species in KNP: baboons, elephants, chimpanzees, red colobus monkeys, black and white colobus monkeys, and vervets. These six species were chosen because they have species names that could be easily translated to and from English, they are reliably identified by those living near KNP, and they have been reported as crop raiding species in the past [18]. For example, although there are thirteen species of nonhuman primates that live within KNP [27,28,29], some of these primate species, such as redtail monkeys (Cercopithecus ascanius) and blue monkeys (Cercopithecus mitis), can be challenging to identify and/or do not have names that can be reliably translated to and from Rutooro or Rukiga. All perception data about attitudes and feelings toward KNP, the environment, animal species, and the Uganda Wildlife Authority were grouped into five ordered categories using inductive coding, ranging from most positive (e.g., “Love” or “Really Like”) to least positive (e.g., “Hate”). Responses were marked a “Conditionally Positive” if the respondent stated that they would feel positively about the subject if not for crop losses.
Several open-ended questions also contained multiple choice components in which participants would select the term to best describe their response and then elaborate on that response. For example, participants were asked to describe changes in crop raiding patterns in the past harvest season as compared to previous seasons as “less often”, “more often”, “no change”, or “other”. Similar to MacKenzie and Ahabyona (2012) [8], respondents were also asked a series of short answer questions to ascertain information about crop raiding patterns, such as perceived changes in crop raiding patterns as compared to previous years and a list of the animals that crop raid. Respondents were asked to estimate the amount of crop yield lost due to crop raiding wild animals “in their garden(s)” (versus “in general”), so if the respondent owned a separate plot of land in addition to the garden on his or her property, their perceived percent crop yield lost would not include crop yield lost in their separate plot. Previous research about crop raiding around KNP (e.g., MacKenzie and Ahabyona (2012) [8]; Naughton-Treves (1997 and sequelae) [31,41,42,43,44]) has not indicated that it is common for farmers to own separate plots of land for agriculture; hence, as is the case in our survey, crop raiding was investigated at the household level. This approach is appropriate for research about crop raiding around KNP because nearly all agriculture is small-scale and for subsistence [26].
The final question on both surveys gave respondents an opportunity to ask questions about the study or to provide comments, such as their attitudes toward animals other than the six animal species inquired about in the survey. Study participants from participating communities were asked an additional two questions about how the project was important to conservation and how perceptions of the Uganda Wildlife Authority changed since joining the project.
All data were analyzed in RStudio (1.3.1056) [45]. Fisher’s Exact tests for count data were used to determine significant differences between crop damage patterns and perceptions in Community 4 as compared to the participating communities. The estimated percentages of crop yield lost were assessed for normality with an Anderson–Darling test. After confirming that the data were not normally distributed, a nonparametric Wilcoxon rank-sum test was used to assess difference in perceived crop yield loss between Community 4 and the participating communities. Then, two Chi-square tests of independence were used to assess if perceived crop yield loss was associated with perceptions of KNP in both study conditions.
3. Results
3.1. Benefits and Problems of Living Near KNP
Respondents (n = 134) included both males (n = 62) and females (n = 72) between the ages 18 and 103; 89.6% of respondents were career farmers (n = 120). Of the 41 study respondents from Community 4, 22 (53.7%) respondents reported receiving no benefits from the park (Figure 1). The most common benefits reported were rain (n = 9, 22.0%) and the ability to obtain firewood and other resources from the park (n = 9, 22.0%). Respondents from Community 4 reported an average of 0.83 ± 0.15 benefits received from living near KNP. In contrast to respondents from Community 4, only five (5.4%) of the 93 respondents from the participating communities reported no benefits from living near KNP. The most reported benefit of living near the park from the participating communities was access to firewood and other resources (n = 44, 47.3%), followed by a favorable climate (n = 41, 44.1%) and rain (n = 38, 40.9%). Respondents from participating communities reported an average of 2.48 ± 0.13 benefits received from living near KNP.
Figure 1.
Reported benefits of living near Kibale National Park (KNP) according to respondents from (a) Community 4 (n = 41) and (b) the participating communities (n = 93).
Study respondents from both Community 4 (100% of respondents) and the participating communities (94.6% of respondents) reported crop raiding as the most frequently reported problem of living near the park (Figure 2). Study respondents from Community 4 also reported food loss (n = 12, 29.3%), disease affecting domesticated animals (n = 11, 26.8%), and conflict with the Uganda Wildlife Authority (n = 11, 26.8%) as problems associated with living near KNP. Study respondents from Community 4 reported an average of 2.61 ± 0.20 problems per respondent. Similar to study participants from Community 4, respondents from the participating communities also had food loss (n = 23, 24.7%) and conflict with the Uganda Wildlife Authority (n = 23, 24.7%) as common problems of living near KNP. The most commonly reported problem aside from crop raiding from the participating communities was disease affecting humans (n = 29, 31.2%). Respondents from the participating communities reported an average of 2.26 ± 0.12 problems per respondent. Community 4 respondents had an average benefit-to-problem ratio of 0.32 ± 0.75 benefits to every one problem reported. In comparison, respondents from the participating communities had a larger benefit-to-problem ratio of 1.10 ± 1.13 benefits to every one problem reported.
Figure 2.
Reported problems of living near KNP according to respondents from (a) Community 4 (n = 41) and (b) the participating communities (n = 93).
Feelings about KNP differed between Community 4 and the participating communities (Table 2). A higher proportion of respondents from Community 4 (29.3%) reported negative or strongly negative feelings about KNP than respondents from the participating communities (2.1%). Using a Fisher’s exact test for counts of attitudes from each study group, we found a significant difference in attitudes toward KNP between the participating communities and Community 4 (X2(2) = 31.61163, p < 0.001), in that responses from Community 4 were significantly more negative. From both study groups, most respondents who felt positively about the park cited the benefits they receive from the park, such as ecosystem services and opportunities to get firewood. In contrast, most respondents who felt negatively about the park cited the problems associated with living near the park, primarily crop raiding.
Table 2.
Reported feelings of Community 4 (n = 41) and the participating communities (n = 93) toward Kibale National Park.
3.2. Perceptions of Crop Raiding
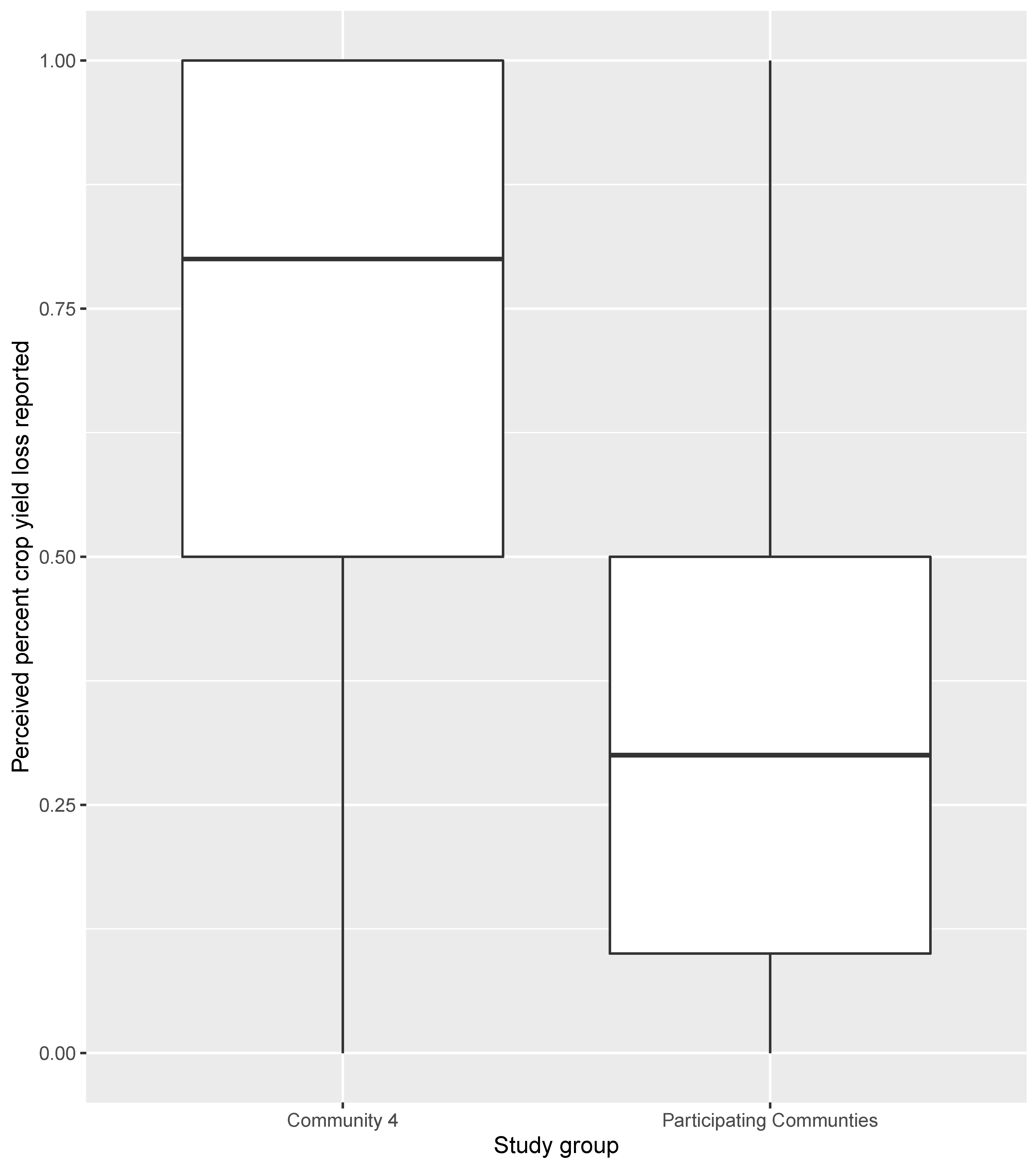
Crop raiding was the most commonly reported problem associated with living near KNP, and nearly all community members from both Community 4 (n = 40, 97.6%) and the participating communities (n = 90, 96.8%) reported that they had experienced crop raiding in the past harvest season. While the majority of respondents from both study groups reported the occurrence of crop raiding, they reported variable amounts of perceived damage due to crop raiding in the most recent harvest season. On average, the 41 respondents from Community 4 reported that 71% of their crop yield was lost due to crop raiding; respondents from participating communities reported an average crop yield loss of 36% (Figure 3). Using a Wilcoxon rank-sum test, we found a significant difference in the amount of perceived crop yield lost between the participating communities and Community 4 (W = 5843, p <0.001). In neither study condition was perceived crop yield loss due to crop raiding significantly associated with specific attitudes toward KNP (Community 4: X2(36) = 33.336, p = 0.596; participating communities: X2(26) = 21.06, p = 0.7389). For example, respondents who reported higher estimated crop yield loss did not also report more negative feelings about KNP.
Figure 3.
Reported perceived percent of crop yield loss in the past harvest season due to crop raiding in Community 4 (n = 41 respondents) vs. the participating communities (n = 93 respondents).
Community members surveyed from Community 4 and the participating communities reported elephants and baboons to be the most common species causing crop damage, though participants also reported crop losses from chimpanzees, black and white colobus monkeys, red colobus monkeys, vervet monkeys, and other monkey species that they could not identify by name. Over half of study participants from Community 4 (n = 23) reported an overall increase in crop raiding in the past harvest season, including specific increases in crop raiding by elephants (n = 24) and baboons (n = 23) (Figure 4). Most respondents from the participating communities (n = 85) reported an overall decrease in crop raiding since joining the HWC mitigation project (Figure 5). Further, the majority of respondents reported a decrease in crop raiding by elephants (n = 81) and baboons (n = 52) since joining the project. Fisher’s exact tests for count data of reports in changes of overall crop raiding (X2(2) = 54.40039, p < 0.001), crop raiding by baboons (X2(2) = 25.05711, p < 0.001), and crop raiding by elephants (X2(2) = 61.96725, p < 0.001) were significantly different between Community 4 and the participating communities.
Figure 4.
Reported changes in crop raiding patterns according to respondents from Community 4 (n = 41).
Figure 5.
Reported changes in crop raiding patterns according to respondents from the participating communities (n = 93).
3.3. Perceptions of Wildlife and Wildlife Officials
When asked about their perceptions of six animal species in KNP, study respondents from both Community 4 and the participating communities reported the most strongly negative and negative feelings (e.g., “Hate” “Don’t Like”, etc.) toward baboons (82.9% in Community 4, 65.6% in participating communities) and elephants (63.4% in Community 4, 57.0% negative in participating communities) (Table 3). Participants from both study groups reported the most positive feelings (e.g., “Love”, “Like”, etc.) toward black and white colobus monkeys (85.4% in Community 4, 96.8% in participating communities). Frequency and severity of crop raiding was the explanation most respondents provided when asked to explain their feelings toward the different animal species.
Table 3.
Reported feelings of Community 4 (n = 41, top) and participating communities (n = 93, bottom) toward different animal species within and around Kibale National Park.
In Community 4, 62.91% of respondents stated that they personally felt positively about the Uganda Wildlife Authority and 37.1% felt negatively about the Uganda Wildlife Authority. When asked to describe the overall perception of the community toward the agency, only 43.9% of respondents stated that the community felt positively about the Uganda Wildlife Authority, with 39.0% reporting negative community attitudes toward the organization. Most participants that reported positive personal and community perceptions about the organization cited the Uganda Wildlife Authority’s responsiveness in chasing off crop raiding elephants in their reasoning. The most common reasons for personal negative attitudes toward the Uganda Wildlife Authority was the organization’s lack of responsiveness. Responses for why the community felt negatively toward the Uganda Wildlife Authority included crop raiding, for which the organization was blamed, and conflict with the Uganda Wildlife Authority in the form of arrests and violence.
Respondents from the participating communities reported more positive perceptions of the Uganda Wildlife Authority on both a personal (97.8%) and community (83.9%) level, with the majority of these respondents citing how the organization allows community members to obtain firewood from the park. A total of 2.1% of respondents from the participating communities reported having personal negative feelings toward the Uganda Wildlife Authority and 10.8% of respondents from the participating communities stated that the community had an overall negative perception of the Uganda Wildlife Authority. Respondents most commonly cited the threat of crop raiding in explaining the negative attitude of the community toward the organization, as well as the Uganda Wildlife Authority’s denial of access to the park for resources such as firewood.
4. Discussion
4.1. Benefits and Problems of Living Near KNP
We found support for the hypothesis that participation in a participatory action research project to reduce HWC is associated with different attitudes and perceptions of the park, wildlife, and protected area management. The participatory action research project implemented and maintained a combination of physical exclusion methods and agriculture-based deterrents next to a national park in order to create barriers to wildlife entering subsistence farmland and consuming or damaging crops. While some respondents cited other forms of HWC as problems associated with living near KNP, such as disease affecting humans and livestock and/or livestock depredation, nearly all respondents (including those from communities that participated in the project and those from a community that did not participate) reported crop raiding as a problem associated with living near KNP. All participants in our study had land that directly bordered KNP, and Naughton-Treves (1998) [42] previously demonstrated that close proximity to the forest was highly correlated with increased rates of crop raiding. Therefore, the close proximity of the households surveyed in this study to the forest may explain the exceptionally high awareness of crop raiding as a problem associated with living near KNP versus other forms of HWC. Future studies should investigate the potential impacts of other forms of HWC on community perceptions of wildlife.
As in our study, previous research into HWC around KNP has indicated that some community members are concerned about the potential for disease transmission from wildlife to humans and livestock [8]. In the areas surrounding KNP, frequent human interactions with wildlife increase the potential number of entry points for zoonotic pathogens into the human population; thus, humans around KNP may be at an elevated risk of zoonotic disease transmission [46]. Zoonotic disease transmission represents a major threat to humans not just around KNP, but also globally. Jones et al. (2008) [47] found that zoonotic agents are believed to be responsible for 70% of emerging and re-emerging human diseases. For example, it is believed that SARS-CoV-2, the pathogen behind the COVID-19 pandemic, is zoonotic in origin, with bats likely having served as a key reservoir before the virus first appeared in humans in late 2019 [48]. Around KNP, researchers have found that interactions with animals increase the rates of infection with zoonotic pathogens in local human populations, including gastrointestinal parasites from the genus Cryptosporidium [49] and soil-transmitted helminths from the genus Oesophagostomum [50], as well as increased rates of transmission of zoonotic bacteria such as Escherichia coli [51] and parasitic helminths of the genus Trichuris [52]. In addition to disease transmission to humans, disease transmission from wildlife in and around KNP to domestic livestock on farms near the border of the park may create conflict between humans and wildlife. Some farmers around KNP rely on livestock production, primarily of cows and goats, for economic gain and/or nutrition [31,53]. Weny et al. (2017) [53] found that proximity to KNP, along with the availability of veterinary care and livestock breed, was a significant risk factor for the presence of hemoparasite (blood-borne) infections in domestic cattle and goats on farms around KNP. Hemoprotozoan diseases impact livestock health and reproduction abilities, in effect threatening the livelihoods of farmers that depend on livestock production [53,54,55]. Investigation into local knowledge of zoonotic disease transmission may be beneficial in planning locally based conservation research and have important implications for global health planning.
4.2. Perceptions of Crop Raiding
MacKenzie et al. (2017) [11] found that the percentage of surveyed households near KNP claiming problems from wild animals steadily increased over time from 37.4% in 2006 to 88.7% in 2012. Most respondents from Community 4 reported a perceived overall increase in the rate of crop raiding in the current harvest season as compared to the previous, which is consistent with the trend observed in MacKenzie et al. (2017) [11] and suggests these trends have continued since the time of that study. With the intervention of the participatory action research project’s sustainable HWC mitigation strategies, this trend was not observed in the participating communities. The results of this study and previous data [18] suggest that participation in this participatory action research project may be associated with a decrease in incidences of crop raiding and total crop yield lost, despite overall increases in crop raiding around KNP.
Many respondents cited crop loss as well as crop raiding as problems associated with living near KNP. This study did not investigate possible causes of crop loss besides crop raiding, but in their study of crop loss to animals near Budongo Forest Reserve, Uganda, Webber and Hill (2014) [14] identified eleven different risks to crops associated with living near the reserve, including—but not limited to—crop raiding wildlife, but also insects, poor quality soil, and inadequate land availability. Future research should investigate the causes of crop loss around KNP not restricted to crop raiding animals; this research may reveal new opportunities for community-led conservation efforts.
Previous research into the livelihoods of local people living near KNP found that, despite crop raiding, the people who live near the park value the ecosystem services and natural resources that the forest provides [37]. In our study, we found an association between engagement with efforts to reduce crop raiding and perceptions of the park. These findings are consistent with those of Travers et al. (2019) [13], which found that implementing effective HWC mitigation strategies can impact community members’ attitudes and behaviors. In this study, respondents from all communities commonly reported ecosystem services, such as rain and soil fertility, and natural resources, including timber and medicinal plants, as the greatest benefits of living near KNP. In many partially forested regions such as those found in western Uganda, local people commonly claim that forests “attract” rain, an assertion that many scientists used to doubt [56]. However, it is now hypothesized that forested regions do, in fact, generate increased rainfall in the surrounding environment by triggering the large-scale movement of water vapor [57,58]. This example highlights the importance of local knowledge in understanding ecosystem function and also the troubling history in science of discounting the knowledge and experiences of the local people who know their ecosystems best.
4.3. Perceptions of Benefits
In their 2017 study, MacKenzie et al. [11] found that the likelihood of a household perceiving benefit from KNP was not positively influenced by ecosystem services, but rather four other specific factors: employment, tourism, revenue sharing, and resource access. People living in communities surrounding KNP continue to access the park for resources such as medicine and firewood [31], sometimes illegally or without the permission of the Uganda Wildlife Authority [59]. Our study did not investigate whether respondents who reported firewood and other natural resources as benefits of living near the park extracted these resources with or without the Uganda Wildlife Authority’s consent. However, because respondents from the participating communities have more regular interactions with Uganda Wildlife Authority representatives during weekly maintenance activities and collaborate with them on agriculture-based deterrent and physical exclusion method implementation and maintenance, they may have more opportunities for legal extraction than respondents from Community 4. When community members are allowed to access resources such as firewood from KNP, they are more likely to perceive benefits of living near the park, such as rain and other ecosystem services [11]. These perceived benefits can then offset the perceived costs of living near KNP, including crop raiding, in effect, improving the community members’ perceptions of the entire park [11].
Respondents from both study conditions identified benefits received from living near KNP, but respondents from the participating communities reported significantly more benefits than problems when compared to respondents from Community 4. Only 2.1% of respondents from participating communities reported negative feelings about KNP, compared to 29.3% in Community 4. Respondents from Community 4 reported a higher percentage of positive attitudes toward KNP than respondents from the participating communities, with most respondents from the participating communities indicating neutral feelings about KNP. Additional studies are needed to understand the differences in positive versus neutral opinions of KNP by project participants, but these results do support that participating community members had fewer negative or strongly negative feelings about KNP. According to Epanda et al. (2019) [60], perceptions of wildlife improved with betterment of livelihoods in households near the Dja Biosphere Reserve, Cameroon. Frequent crop losses due to wild animals threaten livelihoods in terms of health, economic security, and nutrition [61], and previous research has found that farmers who live along the border of KNP struggle to tolerate crop loss to wildlife because of legal restrictions on how they can respond to these events and low annual incomes [43]. Therefore, with perceived decreased rates of crop raiding in communities that participate in the participatory action research project’s sustainable HWC mitigation strategies, it is possible that livelihoods of farmers may have improved such that they are more likely to have recognized benefits received from KNP and the wildlife that lives there and have fewer negative feelings about the park.
Several respondents from both Community 4 and the participating communities identified “gifts from researchers” as a perceived benefit of living near KNP. The communities around KNP have been extensively studied for conservation and social science research for nearly half a century [29], and as a result, it is possible that many of the respondents in this study have been interviewed for other research studies as well. Surveys for this study were conducted at respondents’ households, a strategy that may reduce research fatigue in frequently studied communities [62]. Additionally, only four respondents from both Community 4 (9.7%) and from the participating communities (4.3%) reported gifts from researchers as a benefit of living near KNP; therefore, we do not estimate that the expectation of gifts significantly impacted the responses we received from each respondent.
4.4. Perceptions of Wildlife and Wildlife Officials
Both study groups reported the most negative perceptions toward baboons, one of the most commonly reported crop raiding species. In their study of perceptions of nonhuman primates in Bunyoro Kingdom, Uganda (approximately 200 kilometers from KNP), Hill and Webber (2010) [47] found that baboons are considered “wasteful” and “vindictive” because of their frequent crop raiding and their habit of destroying other crops that they find unpalatable. Crop raiding nonhuman primates eat a variety of agricultural crops—most commonly bananas and maize—but baboons will also raid tuber crops, such as Irish potatoes, sweet potatoes, and cassava [41]. Many respondents who reported negative feelings toward baboons in Community 4 and the participating communities provided similar characterizations of baboons as described in Hill and Webber (2010) [63]. It is possible that these negative perceptions toward baboons influence patterns of illegal hunting, as hunters have been documented to unlawfully kill baboons for monetary gain or in retaliation for crop raiding events [64,65]. This pattern could also be true for other crop-raiding species, in that a community member’s negative perceptions of certain crop-raiding species may mediate their response to that species when encountered in the wild or on personal property.
Although targeted illegal hunting of nonhuman primates is rare in KNP [66], nonhuman primates can be injured or killed when hunters encounter them in the forest or when they are caught by traps set for other species [67,68]. For example, in August 2019, news stories detailed the killing of an adult female chimpanzee and one of her offspring from the Ngogo Chimpanzee Project in KNP by two illegal hunters using spears and attack dogs [69]. In addition to hunting, wire snare injuries are a common threat to nonhuman primates like chimpanzees, including in the Kanyawara region of KNP, where approximately one third of chimpanzees exhibit injuries consistent with snares [70]. For endangered species such as chimpanzees, even rare snaring and illegal hunting events can be devastating [66]. Additionally, species that are thought of negatively, such as baboons and red colobus monkeys, may be more likely to be killed by hunters or by farmers when found crop raiding. In a July 2020 news release from the Uganda Wildlife Authority, it was revealed that a hunter had confessed to killing five red colobus monkeys in KNP with a group of other hunters [71]. Further, in the past, community members around KNP have been documented killing red colobus monkeys to feed to their dogs [46]. Future research should investigate how perceptions of wildlife impact trends in illegal hunting in and around KNP.
Our results were also consistent with the findings of Hill and Webber (2010) [63], in that respondents reported primarily positive perceptions of black and white colobus monkeys as well as chimpanzees. Although both black and white colobus monkeys and vervet monkeys crop raid, they are more likely to be viewed as feeding out of necessity [63,72]. Respondents from both of our study groups frequently described black and white colobus monkeys and vervet monkeys as “beautiful”, an adjective not attributed to baboons. Respondents who described their perception of chimpanzees as positive often referenced chimpanzees’ phenotypic similarity to humans, similar to respondents in Hill and Webber (2010) [63].
Previous studies have indicated that farmers and community members are likely to inflate reports of frequent raiding by elephants as well as more animosity toward elephants because their raids can be catastrophic [41,43]. Similar to nonhuman primates, Chiyo et al. (2005) [73] identified bananas and maize to be the most common crops raided by elephants around KNP. In our study, elephants received the second highest percentage of negative perceptions from community members in both Community 4 and the participating communities. Most respondents cited elephants’ frequent crop raiding as reason for their negative perceptions, though, as in Naughton-Treves (1997) [41], it is possible that the perceived frequency of crop raiding by elephants was inflated. Despite their low favorability and perceived frequent crop raiding, retaliation killings of elephants in response to crop raiding is uncommon in Uganda [64]. Almost none of the respondents from the participating communities reported strong positive or strong negative feelings about any of the species investigated in this study (except one strong positive response about vervet monkeys). However, strongly positive or strongly negative feelings were regularly reported for the various species by respondents from Community 4. It is not clear why this difference exists. As with opinions of KNP among project participants, future research is needed to understand the differences in strong negative and strong positive responses versus not-strong negative and positive responses regarding animal species.
While this study only investigated the potential impacts of crop raiding on communities’ attitudes toward wildlife, factors other than crop raiding may also influence perceptions. Around the Pendjari Biosphere Reserve in northern Benin, frequent livestock depredation by wild animals surrounding the reserve creates conflict between farmers and wildlife [74], which is believed to possibly impact farmers’ perceptions of wildlife and attitudes towards conservation [75]. In particular, species such as baboons may kill or attack domestic livestock, decreasing their favorability among farmers [76]. Additionally, in Narok County, Kenya, predation of livestock by large carnivores is associated with economic losses and negative perceptions of many carnivore species in nearby protected areas [77]. Livestock depredation may therefore influence community attitudes toward wildlife around KNP as well. Besides species that kill or injure livestock, previous research has demonstrated that humans may have less favorable views of animal species with the potential to cause damage to humans [78], such as elephants or certain nonhuman primates [79,80]. Further, innate morphological characteristics, such as larger body size and threatening vocalizations, have been linked to elevated perceptions of risk of species across various taxa [81,82,83]. Notably, though, our results do not strictly follow this pattern—the second largest animal (chimpanzees, which also have loud vocalizations) were viewed more favorably than some smaller nonhuman primates (baboons, red colobus monkeys, and vervet monkeys), several of which also do not have loud vocalizations. Similarly, the two colobus monkey species differed in negative/positive scores despite being similar in size and black and white colobus monkeys having louder vocalizations (yet receiving more positive responses). Future research is needed to delineate distinct sources of negative perceptions of animal species.
As predicted, respondents from both Community 4 and the participating communities reported a higher percentage of negative perceptions of the Uganda Wildlife Authority when asked about community perception versus their personal perception of the organization. These differences may reflect the effect of social desirability bias and the need for indirect questioning and triangulation to control for this bias in qualitative research [38,39,40]. Additionally, respondents from Community 4 had a higher percentage of negative perceptions of the Uganda Wildlife Authority in both personal attitudes and perceived community attitudes than respondents from the participating communities. The Uganda Wildlife Authority is tasked with protecting wildlife and has the authority to punish violators of the rules; however, they are not provided adequate resources to deal with the underlying causes of the conflict between humans and wildlife [13,84]. This limitation and the resulting dynamics are associated with the animosity that was described by participants of our study. Many community members provided examples of this conflict with the Uganda Wildlife Authority when citing arrests and restricted land-use to explain their personal negative perception or their community’s negative perception of the organization. This conflict does not only exist around KNP; previous research has demonstrated similar conflict around Mt. Elgon National Park, the Ajai Wildlife Reserve, and Bwindi Impenetrable Forest National Park, where community members interface with protected areas, wildlife, and the Uganda Wildlife Authority [59,84,85].
In their study of community resource use in KNP and Mt. Elgon National Park, Uganda, Chhetri et al. (2003) [59] found that in both parks, increased collaboration between community members and the Uganda Wildlife Authority is associated with improved relationships between these two parties. Community members who participate in the participatory action research project’s sustainable HWC mitigation strategies have more opportunities to work with Uganda Wildlife Authority staff on reducing HWC. Through this collaboration, as in Chhetri et al. (2003) [59], they may develop more favorable relationships. Further, with improved community collaboration with the Uganda Wildlife Authority and more efforts to reduce damage caused by HWC rather than to punish individuals, it is predicted that wildlife crime, illegal hunting, and unauthorized wood extraction will decrease [13].
5. Conclusions
Our findings suggest that participation in a participatory action research project with agriculture-based deterrents and physical exclusion methods reduced the perceived incidences of HWC around KNP and the perceptions of the people who live near the park about KNP, wildlife, and wildlife officials may have improved with this decrease in HWC. As deforestation continues to threaten KNP and much of the wildlife in Uganda, additional research should investigate more effective strategies to reduce crop raiding, as well as more ways to involve community members in conservation research. This study did not investigate which of the participatory action research project’s specific physical exclusion methods and agriculture-based deterrents were most effective at reducing HWC; future research is needed to determine the comparative efficacy of these HWC reduction strategies.
Too often, the onus of conservation and wildlife protection is only assigned to the people who live near protected areas like KNP. This heavy responsibility, coupled with increased environmental destruction and HWC, then becomes blame as international environmental governmental and non-governmental organizations, academics, and laypeople seek to protect the environment. This blame often fails to recognize the needs and livelihoods of the people who live near protected areas. In fact, it is often the demands of international commercial interests that drive local farmers and ranchers to clear land to produce for distant consumers [86].
Since the early 1990s, international donors have spent at least USD 3.4 billion to aid endangered species and stave off deforestation on the African continent; this spending comes with limited success [87]. Most conservation work focuses on the animals, rather than on the human communities that live alongside them [15]. Successful conservation strategies should assess the attitudes, knowledge, and behaviors of people living near protected areas and address the economic requirements of local communities [12,13,88]. Humans and wildlife are inextricably linked, as are their needs. Conservation initiatives should continue to emphasize local needs and desires when working to protect the environment and must collaborate with the local people, whose lives are most affected, when planning conservation interventions.
Supplementary Materials
The following are available online at https://www.mdpi.com/article/10.3390/d13040145/s1, Document S1: Surveys used in the participating communities and in community 4.
Author Contributions
Conceptualization, L.K.; formal analysis, L.K.; methodology, L.K. and K.M.M.; project administration, K.M.M.; supervision, K.M.M.; Writing—original draft, L.K.; Writing—review and editing, K.M.M. All authors have read and agreed to the published version of the manuscript.
Funding
This research was funded by the International Center for Energy, Environment, and Sustainability (InCEES), Washington University in St. Louis and the Washington University in St. Louis Department of Anthropology.
Institutional Review Board Statement
This study was approved by the Washington University in St. Louis Institutional Review Board (IRB ID #201804050).
Informed Consent Statement
Informed consent was obtained orally from all participants in the project.
Data Availability Statement
The data presented in this study are available on request from the corresponding author.
Acknowledgments
Thank you to the Uganda Wildlife Authority and Makerere University Biological Field Station for research permission, Moses “Major” Nyakoojo for research assistance, Ronald Akugizibwe for logistical assistance, and Moses Kugonza and Richard Busobozi, cofounders of the participatory action research project. We acknowledge the generosity of Shanti Parikh and Sarah Paige for their assistance in defining our research methods. We also thank two anonymous reviewers for their helpful comments and the editors of Diversity for the opportunity to share our research in this Special Issue.
Conflicts of Interest
The authors declare no conflict of interest.
References
- Mhuriro-Mashapa, P.; Mwakiwa, E.; Mashapa, C. Socio-Economic Impact of Human-Wildlife Conflicts on Agriculture Based Livelihood in the Periphery of Save Valley Conservancy, Southern Zimbabwe. J. Anim. Plant Sci. 2018, 28, 903–914. [Google Scholar]
- Nyhus, P.J. Human-wildlife Conflict and Coexistence. Annu. Rev. Environ. Resour. 2016, 41, 143–171. [Google Scholar] [CrossRef]
- McGuinness, S.K. Perceptions of Crop Raiding: Effects of Land Tenure and Agro-industry on Human-wildlife Conflict. Anim. Conserv. 2016, 19, 578–587. [Google Scholar] [CrossRef]
- Fungo, B. A Review Crop Raiding around Protected Areas: Nature, Control and Research Gaps. Environ. Res. J. 2011, 5, 87–92. [Google Scholar] [CrossRef]
- Archie, E.A.; Chiyo, P.I. Elephant Behaviour and Conservation: Social Relationships, the Effects of Poaching, and Genetic Tools for Management. Mol. Ecol. 2012, 21, 765–778. [Google Scholar] [CrossRef] [PubMed]
- Mateo-Tomás, P.; Olea, P.P.; Sánchez-Barbudo, I.S.; Mateo, R. Alleviating Human-wildlife Conflicts: Identifying the Causes and Mapping the Risk of Illegal Poisoning of Wild Fauna. J. Appl. Ecol. 2012, 49, 376–385. [Google Scholar] [CrossRef]
- Mackenzie, C.A. Accruing Benefit or Loss from a Protected Area: Location Matters. Ecol. Econ. 2012, 76, 119–129. [Google Scholar] [CrossRef]
- Mackenzie, C.A.; Ahabyona, P. Elephants in the Garden: Financial and Social Costs of Crop Raiding. Ecol. Econ. 2012, 75, 72–82. [Google Scholar] [CrossRef]
- Goldberg, T.L.; Paige, S.B.; Chapman, C.A. The Kibale Ecohealth Project. In New Directions in Conservation Medicine: Applied Cases of Ecological Health; Oxford University Press: Oxford, UK, 2012; p. 452. [Google Scholar]
- Wrangham, R.; Wilson, M.; Hauser, M. Chimpanzees (Pan Troglodytes) Modify Grouping and Vocal Behaviour in Response to Location-Specific Risk. Behaviour 2007, 144, 1621–1653. [Google Scholar] [CrossRef]
- MacKenzie, C.A.; Salerno, J.; Hartter, J.; Chapman, C.A.; Reyna, R.; Tumusiime, D.M.; Drake, M. Changing Perceptions of Protected Area Benefits and Problems around Kibale National Park, Uganda. J. Environ. Manag. 2017, 200, 217–228. [Google Scholar] [CrossRef]
- Digun-Aweto, O.; Van Der Merwe, P. Community Perceptions of the Human-Wildlife Conflict: A Case Study of Old Oyo National Park, Nigeria. Biodiversity 2019, 20, 118–131. [Google Scholar] [CrossRef]
- Travers, H.; Archer, L.J.; Mwedde, G.; Roe, D.; Baker, J.; Plumptre, A.J.; Rwetsiba, A.; Milner-Gulland, E.J. Understanding Complex Drivers of Wildlife Crime to Design Effective Conservation Interventions. Conserv. Biol. 2019, 33, 1296–1306. [Google Scholar] [CrossRef] [PubMed]
- Webber, A.D.; Hill, C.M. Using Participatory Risk Mapping (PRM) to Identify and Understand People’s Perceptions of Crop Loss to Animals in Uganda. PLoS ONE 2014, 9, e102912. [Google Scholar] [CrossRef] [PubMed]
- Pooley, S.; Barua, M.; Beinart, W.; Dickman, A.; Holmes, G.; Lorimer, J.; Loveridge, A.J.; Macdonald, D.W.; Marvin, G.; Redpath, S.; et al. An Interdisciplinary Review of Current and Future Approaches to Improving Human–Predator Relations. Conserv. Biol. 2017, 31, 513–523. [Google Scholar] [CrossRef]
- Bhatia, S.; Redpath, S.M.; Suryawanshi, K.; Mishra, C. Beyond Conflict: Exploring the Spectrum of Human-wildlife Interactions and Their Underlying Mechanisms. Oryx 2020, 54, 621–628. [Google Scholar] [CrossRef]
- Baum, F.; MacDougall, C.; Smith, D. Participatory Action Research. J. Epidemiol. Community Health 2006, 60, 854. [Google Scholar] [CrossRef]
- Milich, K.M.; Sorbello, K.; Kolinski, L.; Busobozi, R.; Kugonza, M. Case Study of Participatory Action Research for Wildlife Conservation. Conserv. Sci. Pract. 2021, 3, e347. [Google Scholar]
- Shaffer, L.J.; Khadka, K.K.; Van Den Hoek, J.; Naithani, K.J. Human-Elephant Conflict: A Review of Current Management Strategies and Future Directions. Front. Ecol. Evol. 2019, 6, 235. [Google Scholar] [CrossRef]
- King, L.E.; Lala, F.; Nzumu, H.; Mwambingu, E.; Douglas-Hamilton, I. Beehive Fences as a Multidimensional Conflict-mitigation Tool for Farmers Coexisting with Elephants. Conserv. Biol. 2017, 31, 743–752. [Google Scholar] [CrossRef]
- Hockings, K. Best Practice Guidelines for the Prevention and Mitigation of Conflict between Humans and Great Apes; IUCN: Gland, Switzerland, 2009. [Google Scholar]
- Gross, E.M.; McRobb, R.; Gross, J. Cultivating Alternative Crops Reduces Crop Losses Due to African Elephants. J. Pest Sci. 2016, 89, 497–506. [Google Scholar] [CrossRef]
- Kamatenesi-Mugisha, M.; Oryem-Origa, H. Traditional Herbal Remedies Used in the Management of Sexual Impotence and Erectile Dysfunction in Western Uganda. Afr. Health Sci. 2005, 5, 40–49. [Google Scholar]
- Muhanji, G. Garlic Lifts Livelihoods in Western Uganda. Appropr. Technol. 2009, 36, 38. [Google Scholar]
- Hartter, J.; Goldman, A.C. Life on the Edge: Balancing Biodiversity, Conservation, and Sustaining Rural Livelihoods around Kibale National Park, Uganda. Focus Geogr. 2009, 52, 11. [Google Scholar] [CrossRef]
- Hartter, J.; Southworth, J. Dwindling Resources and Fragmentation of Landscapes around Parks: Wetlands and Forest Patches around Kibale National Park, Uganda. Landsc. Ecol. 2009, 24, 643. [Google Scholar] [CrossRef]
- Mahaney, W.C.; Milner, M.W.; Sanmugadas, K.; Hancock, R.G.; Aufreiter, S.; Wrangham, R.; Pier, H.W. Analysis of Geophagy Soils in Kibale Forest, Uganda. Primates 1997, 38, 159–176. [Google Scholar] [CrossRef]
- Chapman, C.A.; Balcomb, S.R.; Gillespie, T.R.; Skorupa, J.P.; Struhsaker, T.T. Long-term Effects of Logging on African Primate Communities: A 28-year Comparison from Kibale National Park, Uganda. Conserv. Biol. 2000, 14, 207–217. [Google Scholar] [CrossRef]
- Chapman, C.A.; Struhsaker, T.T.; Lambert, J.E. Thirty Years of Research in Kibale National Park, Uganda, Reveals a Complex Picture for Conservation. Int. J. Primatol. 2005, 26, 539–555. [Google Scholar] [CrossRef]
- Watts, D.P.; Mitani, J.C. Hunting and Prey Switching by Chimpanzees (Pan Troglodytes Schweinfurthii) at Ngogo. Int. J. Primatol. 2015, 36, 728–748. [Google Scholar] [CrossRef]
- Naughton-Treves, L.; Alix-Garcia, J.; Chapman, C.A. Lessons about Parks and Poverty from a Decade of Forest Loss and Economic Growth around Kibale National Park, Uganda. Proc. Natl. Acad. Sci. USA 2011, 108, 13919–13924. [Google Scholar] [CrossRef]
- NEMA National Environment Management Authority. State of Environment Report for Uganda 2000/2001; NEMA: Kampala, Uganda, 2001. [Google Scholar]
- Stampone, M.D.; Hartter, J.N.; Chapman, C.A.; Ryan, S.J. Trends and Variability in Localized Precipitation around Kibale National Park, Uganda, Africa. Res. J. Environ. Earth Sci. 2011, 3, 14–23. [Google Scholar]
- Hartter, J.N. Landscape Change around Kibale National Park, Uganda: Impacts on Land Cover, Land Use, and Livelihoods. Ph.D. Thesis, University of Florida, Gainesville, FL, USA, 2007. [Google Scholar]
- Hoffmeier-Karimi, R.; Schute, B. Assessing Perceived and Documented Crop Damage in a Tanzanian Village Impacted by Human-Elephant Conflict (HEC). Pachyderm 2015, 56, 51–60. [Google Scholar]
- Siljander, M.; Kuronen, T.; Johansson, T.; Munyao, M.N.; Pellikka, P.K. Primates on the Farm–Spatial Patterns of Human-wildlife Conflict in Forest-Agricultural Landscape Mosaic in Taita Hills, Kenya. Appl. Geogr. 2020, 117, 102185. [Google Scholar] [CrossRef]
- Hartter, J. Attitudes of Rural Communities toward Wetlands and Forest Fragments around Kibale National Park, Uganda. Hum. Dimens. Wildl. 2009, 14, 433–447. [Google Scholar] [CrossRef]
- Hoffmann, A.; Musch, J. Assessing the Validity of Two Indirect Questioning Techniques: A Stochastic Lie Detector versus the Crosswise Model. Behav. Res. Methods 2016, 48, 1032–1046. [Google Scholar] [CrossRef]
- Grimm, P. Social Desirability Bias. In Wiley International Encyclopedia of Marketing; John Wiley & Sons, Ltd.: Hoboken, NJ, USA, 2010. [Google Scholar]
- Carter, N.; Bryant-Lukosius, D.; DiCenso, A. The Use of Triangulation in Qualitative Research. Oncol. Nurs. Forum 2014, 41, 545–547. [Google Scholar] [CrossRef]
- Naughton-Treves, L. Farming the Forest Edge: Vulnerable Places and People around Kibale National Park, Uganda. Geogr. Rev. 1997, 87, 27–46. [Google Scholar] [CrossRef]
- Naughton-Treves, L. Predicting Patterns of Crop Damage by Wildlife around Kibale National Park, Uganda. Conserv. Biol. 1998, 12, 156–168. [Google Scholar] [CrossRef]
- Naughton-Treves, L.; Treves, A. Socio-Ecological Factors Shaping Local Support for Wildlife: Crop-Raiding by Elephants and Other Wildlife in Africa. Conserv. Biol. Ser.-Camb. 2005, 9, 252. [Google Scholar]
- Naughton-Treves, L.; Treves, A.; Chapman, C.; Wrangham, R. Temporal Patterns of Crop-raiding by Primates: Linking Food Availability in Croplands and Adjacent Forest. J. Appl. Ecol. 1998, 35, 596–606. [Google Scholar] [CrossRef]
- R Core Team. R: A Language and Environment for Statistical Computing; R Foundation for Statistical Computing: Vienna, Austria, 2020; Available online: https://www.R-project.org/ (accessed on 15 October 2020).
- Paige, S.B.; Frost, S.D.; Gibson, M.A.; Jones, J.H.; Shankar, A.; Switzer, W.M.; Ting, N.; Goldberg, T.L. Beyond Bushmeat: Animal Contact, Injury, and Zoonotic Disease Risk in Western Uganda. EcoHealth 2014, 11, 534–543. [Google Scholar] [CrossRef]
- Jones, K.E.; Patel, N.G.; Levy, M.A.; Storeygard, A.; Balk, D.; Gittleman, J.L.; Daszak, P. Global Trends in Emerging Infectious Diseases. Nature 2008, 451, 990–993. [Google Scholar] [CrossRef] [PubMed]
- Shereen, M.A.; Khan, S.; Kazmi, A.; Bashir, N.; Siddique, R. COVID-19 Infection: Origin, Transmission, and Characteristics of Human Coronaviruses. J. Adv. Res. 2020, 24, 91–98. [Google Scholar] [CrossRef] [PubMed]
- Salyer, S.J.; Gillespie, T.R.; Rwego, I.B.; Chapman, C.A.; Goldberg, T.L. Epidemiology and Molecular Relationships of Cryptosporidium Spp. in People, Primates, and Livestock from Western Uganda. PLoS Negl. Trop. Dis. 2012, 6, e1597. [Google Scholar] [CrossRef] [PubMed]
- Ghai, R.R.; Chapman, C.A.; Omeja, P.A.; Davies, T.J.; Goldberg, T.L. Nodule Worm Infection in Humans and Wild Primates in Uganda: Cryptic Species in a Newly Identified Region of Human Transmission. PLoS Negl. Trop. Dis. 2014, 8, e2641. [Google Scholar] [CrossRef] [PubMed]
- Rwego, I.B.; Gillespie, T.R.; Isabirye-Basuta, G.; Goldberg, T.L. High Rates of Escherichia Coli Transmission between Livestock and Humans in Rural Uganda. J. Clin. Microbiol. 2008, 46, 3187–3191. [Google Scholar] [CrossRef]
- Ghai, R.R.; Simons, N.D.; Chapman, C.A.; Omeja, P.A.; Davies, T.J.; Ting, N.; Goldberg, T.L. Hidden Population Structure and Cross-Species Transmission of Whipworms (Trichuris sp.) in Humans and Non-Human Primates in Uganda. PLoS Negl. Trop. Dis. 2014, 8, e3256. [Google Scholar] [CrossRef]
- Weny, G.; Okwee-Acai, J.; Okech, S.G.; Tumwine, G.; Ndyanabo, S.; Abigaba, S.; Goldberg, T.L. Prevalence and Risk Factors Associated with Hemoparasites in Cattle and Goats at the Edge of Kibale National Park, Western Uganda. J. Parasitol. 2017, 103, 69–74. [Google Scholar] [CrossRef]
- Kasozi, K.I.; Matovu, E.; Tayebwa, D.S.; Natuhwera, J.; Mugezi, I.; Mahero, M. Epidemiology of Increasing Hemo-Parasite Burden in Ugandan Cattle. Open J. Vet. Med. 2014, 4, 220. [Google Scholar] [CrossRef]
- Bhatnagar, C.S.; Bhardawaj, B.; Sharma, D.K.; Meena, S.K. Incidence of Haemoprotozoan Diseases in Cattle in Southern Rajasthan, India. Int. J. Curr. Microbiol. App. Sci. 2015, 4, 509–514. [Google Scholar]
- Sheil, D.; Murdiyarso, D. How Forests Attract Rain: An Examination of a New Hypothesis. BioScience 2009, 59, 341–347. [Google Scholar] [CrossRef]
- Makarieva, A.M.; Gorshkov, V.G. Biotic Pump of Atmospheric Moisture as Driver of the Hydrological Cycle on Land. Hydrol. Earth Syst. Sci. 2007, 11, 1013–1033. [Google Scholar] [CrossRef]
- Makarieva, A.M.; Gorshkov, V.G.; Li, B.L. Conservation of Water Cycle on Land via Restoration of Natural Closed-Canopy Forests: Implications for Regional Landscape Planning. Ecol. Res. 2006, 21, 897–906. [Google Scholar] [CrossRef]
- Chhetri, P.; Mugisha, A.; White, S. Community Resource Use in Kibale and Mt Elgon National Parks, Uganda. 2003. Available online: https://vtechworks.lib.vt.edu/handle/10919/67003 (accessed on 31 July 2020).
- Epanda, M.A.; Fotsing, A.J.; Bacha, T.; Frynta, D.; Lens, L.; Tchouamo, I.R.; Jef, D. Linking Local People’s Perception of Wildlife and Conservation to Livelihood and Poaching Alleviation: A Case Study of the Dja Biosphere Reserve, Cameroon. Acta Oecologica 2019, 97, 42–48. [Google Scholar] [CrossRef]
- Mc Guinness, S.; Taylor, D. Farmers’ Perceptions and Actions to Decrease Crop Raiding by Forest-Dwelling Primates around a Rwandan Forest Fragment. Hum. Dimens. Wildl. 2014, 19, 179–190. [Google Scholar] [CrossRef]
- Woodhouse, E.; Homewood, K.M.; Beauchamp, E.; Clements, T.; McCabe, J.T.; Wilkie, D.; Milner-Gulland, E.J. Guiding Principles for Evaluating the Impacts of Conservation Interventions on Human Well-Being. Philos. Trans. R. Soc. B Biol. Sci. 2015, 370, 20150103. [Google Scholar] [CrossRef]
- Hill, C.M.; Webber, A.D. Perceptions of Nonhuman Primates in Human-wildlife Conflict Scenarios. Am. J. Primatol. 2010, 72, 919–924. [Google Scholar] [CrossRef]
- Rossi, A. Uganda Wildlife Trafficking Assessment; TRAFFIC Report; TRAFFIC International: Cambridge, UK, 2018. [Google Scholar]
- Widness, J.; Aronsen, G.P. Camera Trap Data on Mammal Presence, Behaviour and Poaching: A Case Study from Mainaro, Kibale National Park, Uganda. Afr. J. Ecol. 2018, 56, 383–389. [Google Scholar] [CrossRef]
- Thompson, M.E.; Muller, M.N.; Machanda, Z.P.; Otali, E.; Wrangham, R.W. The Kibale Chimpanzee Project: Over Thirty Years of Research, Conservation, and Change. Biol. Conserv. 2020, 252, 108857. [Google Scholar] [CrossRef]
- Ohashi, G.; Matsuzawa, T. Deactivation of Snares by Wild Chimpanzees. Primates 2011, 52, 1–5. [Google Scholar] [CrossRef] [PubMed]
- Wrangham, R.; Mugume, S. Snare Removal Program in Kibale National Park: A Preliminary Report. Pan Afr. News 2000, 7, 18–20. [Google Scholar] [CrossRef]
- Yong, E. The Death of a Chimpanzee—The Atlantic. The Atlantic. 1 August 2019. Available online: https://www.theatlantic.com/science/archive/2019/08/death-chimpanzee/595303/ (accessed on 28 December 2020).
- Quiatt, D.; Reynolds, V.; Stokes, E.J. Snare Injuries to Chimpanzees (Pan Troglodytes) at 10 Study Sites in East and West Africa. Afr. J. Ecol. 2002, 40, 303–305. [Google Scholar] [CrossRef]
- Man Convicted to 10 Years for Killing Red Colobus Monkey; Uganda Wildlife Authority: Kampala, Uganda. 2020. Available online: https://www.ugandawildlife.org/news-events/news/man-convicted-for-killing-red-colobus-monkey (accessed on 28 December 2020).
- Webber, A.D. Primate Crop Raiding in Uganda: Actual and Perceived Risks around Budongo Forest Reserve. Ph.D. Thesis, Oxford Brookes University, Oxford, UK, 2006. [Google Scholar]
- Chiyo, P.I.; Cochrane, E.P.; Naughton, L.; Basuta, G.I. Temporal Patterns of Crop Raiding by Elephants: A Response to Changes in Forage Quality or Crop Availability? Afr. J. Ecol. 2005, 43, 48–55. [Google Scholar] [CrossRef]
- Sogbohossou, E.A.; de Iongh, H.H.; Sinsin, B.; de Snoo, G.R.; Funston, P.J. Human–Carnivore Conflict around Pendjari Biosphere Reserve, Northern Benin. Oryx 2011, 45, 569–578. [Google Scholar] [CrossRef]
- Suryawanshi, K.R.; Bhatnagar, Y.V.; Redpath, S.; Mishra, C. People, Predators and Perceptions: Patterns of Livestock Depredation by Snow Leopards and Wolves. J. Appl. Ecol. 2013, 50, 550–560. [Google Scholar] [CrossRef]
- Ndava, J.; Nyika, E.H. Human-Baboon Conflict on Resettled Farms in Zimbabwe: Attitudes and Perceptions among Local Farmers. Curr. J. Appl. Sci. Technol. 2019, 1–10. [Google Scholar] [CrossRef]
- Mukeka, J.M.; Ogutu, J.O.; Kanga, E.; Røskaft, E. Human-Wildlife Conflicts and Their Correlates in Narok County, Kenya. Glob. Ecol. Conserv. 2019, 18, e00620. [Google Scholar] [CrossRef]
- Kellert, S.R. American Attitudes toward and Knowledge of Animals: An Update. In Advances in Animal Welfare Science 1984; Springer: Berlin/Heidelberg, Germany, 1985; pp. 177–213. [Google Scholar]
- Lee, P.C.; Priston, N.E. Human Attitudes to Primates: Perceptions of Pests, Conflict and Consequences for Primate Conservation. Commensalism Confl. Hum. Primate Interface 2005, 4, 1–23. [Google Scholar]
- Hill, C.M. Crop-Raiding by Wild Vertebrates: The Farmer’s Perspective in an Agricultural Community in Western Uganda. Int. J. Pest Manag. 1997, 43, 77–84. [Google Scholar] [CrossRef]
- Kansky, R.; Knight, A.T. Key Factors Driving Attitudes towards Large Mammals in Conflict with Humans. Biol. Conserv. 2014, 179, 93–105. [Google Scholar] [CrossRef]
- Anthony, B.P.; Wasambo, J. Human-Wildlife Conflict Study Report: Vwaza Marsh Wildlife Reserve, Malawi; Prepared for Malawi Department of National Parks and Wildlife; Central European University: Budapest, Hungary, 2009. [Google Scholar]
- Anand, S.; Radhakrishna, S. Investigating Trends in Human-Wildlife Conflict: Is Conflict Escalation Real or Imagined? J. Asia-Pac. Biodivers. 2017, 10, 154–161. [Google Scholar] [CrossRef]
- Madden, F.M. The Growing Conflict between Humans and Wildlife: Law and Policy as Contributing and Mitigating Factors. J. Int. Wildl. Law Policy 2008, 11, 189–206. [Google Scholar] [CrossRef]
- Richard, K. Conflicts between Local Communities and Uganda Wildlife Authority in Ajai Wildlife Reserve. Ph.D. Thesis, Makerere University, Kampala, Uganda, 2011. [Google Scholar]
- Rudel, T.K.; Defries, R.; Asner, G.P.; Laurance, W.F. Changing Drivers of Deforestation and New Opportunities for Conservation. Conserv. Biol. 2009, 23, 1396–1405. [Google Scholar] [CrossRef] [PubMed]
- Bare, M.; Kauffman, C.; Miller, D.C. Assessing the Impact of International Conservation Aid on Deforestation in Sub-Saharan Africa. Environ. Res. Lett. 2015, 10, 125010. [Google Scholar] [CrossRef]
- Ellwanger, A.L.; Riley, E.P.; Niu, K.; Tan, C.L. Local People’s Knowledge and Attitudes Matter for the Future Conservation of the Endangered Guizhou Snub-Nosed Monkey (Rhinopithecus Brelichi) in Fanjingshan National Nature Reserve, China. Int. J. Primatol. 2015, 36, 33–54. [Google Scholar] [CrossRef]
Publisher’s Note: MDPI stays neutral with regard to jurisdictional claims in published maps and institutional affiliations. |
© 2021 by the authors. Licensee MDPI, Basel, Switzerland. This article is an open access article distributed under the terms and conditions of the Creative Commons Attribution (CC BY) license (https://creativecommons.org/licenses/by/4.0/).




