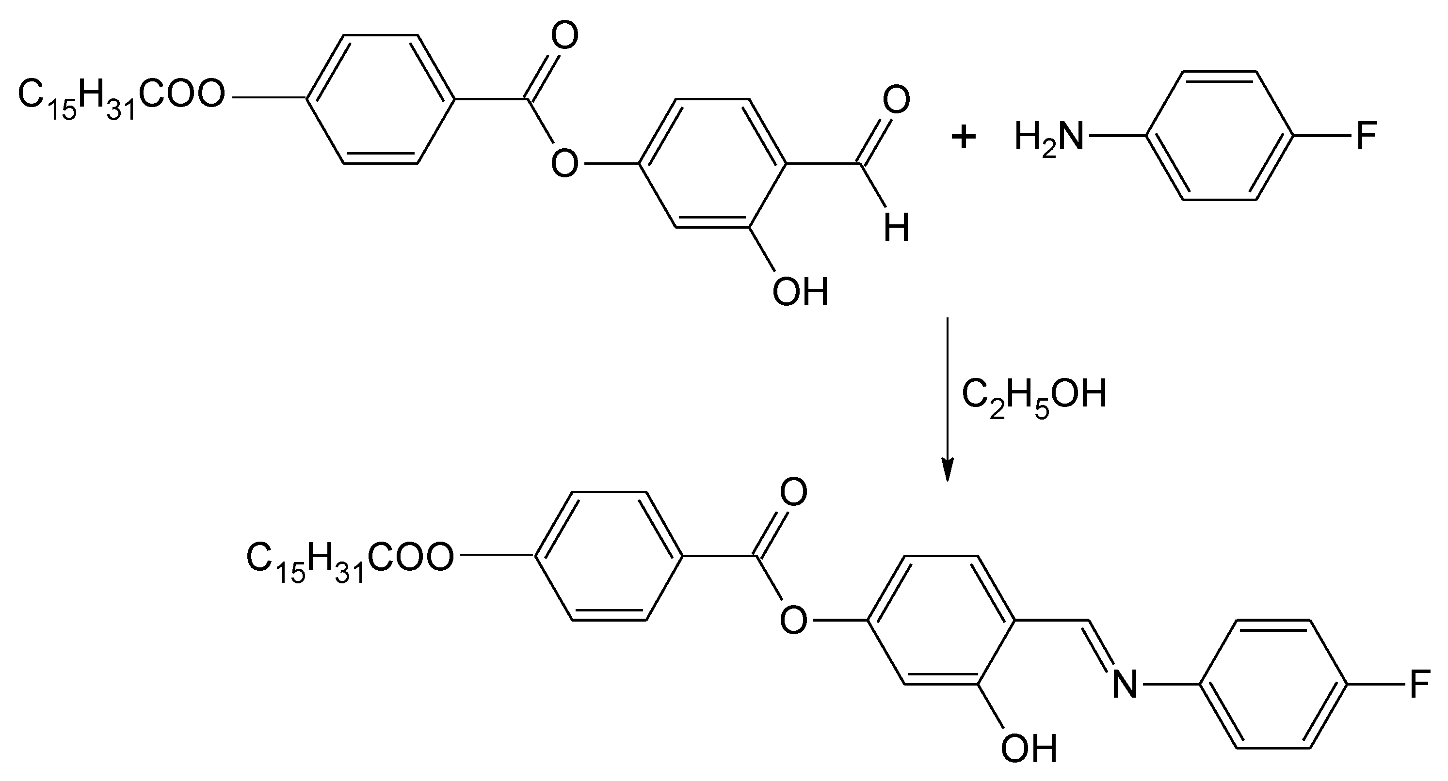
4-{[(4-Fluorophenyl)imino]methyl}-3-hydroxyphenyl 4-(Hexadecanoyloxy)benzoate
Abstract
:
Experimental
Supplementary materials
Supplementary File 1Supplementary File 2Supplementary File 3Acknowledgements
References
- Hadjoudis, E.; Vittorakis, M. Moustakali-Mavridis, I. Photochromism and thermochromism of schiff bases in the solid state and in rigid glasses. Tetrahedron 1987, 43, 1345–1360. [Google Scholar] [CrossRef]
- Hadjoudis, E.; Rontoyianni, A.; Ambroziak, K.; Dziembowska, T.; Mavridis, I.M. Photochromism and thermochromism of solid trans-N,N'-bis(salicylidene)-1,2-cyclohexanediamines and trans-N,N'-bis-(2-hydroxynaphylidene)-1,2-cyclohexanediamine. J. Photochem. Photobiol. A Chem. 2004, 162, 521–530. [Google Scholar] [CrossRef]
- Oshima, A.; Momotake, A.; Arai, T. Photochromism, thermochromism, and solvatochromism of naphthalene-based analogues of salicylideneaniline in solution. J. Photochem. Photobiol. A Chem. 2004, 162, 473–479. [Google Scholar] [CrossRef]
- Yeap, G.Y.; Ha, S.T.; Ishizawa, N.; Suda, K.; Boey, P.L.; Mahmood, W.A.K. Synthesis, crystal structure and spectroscopic study of para substituted 2-hydroxy-3-methoxybenzalideneanilines. J. Mol. Struct. 2003, 658, 87–99. [Google Scholar] [CrossRef]
- Nair, S.M.; Bhattacharya, I. Synthesis and physiological activities of some imines and their β-lactams. Asian J. Chem. 2009, 21, 504–510. [Google Scholar]
- Yeap, G.Y.; Ha, S.T.; Lim, P.L.; Boey, P.L.; Ito, M.M.; Sanehisa, S.; Youhei, Y. Synthesis, physical and mesomorphic properties of Schiff’s base esters containing ortho-, meta- and para-substituents in benzylidene-4’-alkanoyloxyanilines. Liq. Cryst. 2006, 33, 205–211. [Google Scholar] [CrossRef]
- Ha, S.T.; Ong, L.K.; Wong, J.P.W.; Yeap, G.Y.; Lin, H.C.; Ong, S.T.; Koh, T.M. Mesogenic Schiff's base ether with dimethylamino end group. Phase Transit. 2009, 82, 387–397. [Google Scholar] [CrossRef]
- Ha, S.T.; Ong, L.K.; Ong, S.T.; Yeap, G.Y.; Wong, J.P.W.; Koh, T.M.; Lin, H.C. Synthesis and mesomorphic properties of new Schiff base esters with different alkyl chains. Chin. Chem. Lett. 2009, 20, 767–770. [Google Scholar] [CrossRef]
- Yeap, G.Y.; Ha, S.T.; Boey, P.L.; Mahmood, W.A.K.; Ito, M.M.; Youhei, Y. Synthesis and characterization of some new mesogenic Schiff base esters N-[4-(4-n-hexadecanoyloxybenzoyloxy)benzylidene]-4-substituted anilines. Mol. Cryst. Liq. Cryst. 2006, 452, 73–90. [Google Scholar] [CrossRef]
© 2011 by the authors; licensee MDPI, Basel, Switzerland. This article is an open access article distributed under the terms and conditions of the Creative Commons Attribution license (http://creativecommons.org/licenses/by/3.0/).
Share and Cite
Ha, S.-T.; Yeap, G.-Y.; Boey, P.-L. 4-{[(4-Fluorophenyl)imino]methyl}-3-hydroxyphenyl 4-(Hexadecanoyloxy)benzoate. Molbank 2011, 2011, M723. https://doi.org/10.3390/M723
Ha S-T, Yeap G-Y, Boey P-L. 4-{[(4-Fluorophenyl)imino]methyl}-3-hydroxyphenyl 4-(Hexadecanoyloxy)benzoate. Molbank. 2011; 2011(2):M723. https://doi.org/10.3390/M723
Chicago/Turabian StyleHa, Sie-Tiong, Guan-Yeow Yeap, and Peng-Lim Boey. 2011. "4-{[(4-Fluorophenyl)imino]methyl}-3-hydroxyphenyl 4-(Hexadecanoyloxy)benzoate" Molbank 2011, no. 2: M723. https://doi.org/10.3390/M723
APA StyleHa, S.-T., Yeap, G.-Y., & Boey, P.-L. (2011). 4-{[(4-Fluorophenyl)imino]methyl}-3-hydroxyphenyl 4-(Hexadecanoyloxy)benzoate. Molbank, 2011(2), M723. https://doi.org/10.3390/M723
