Abstract
The aim of this study was to investigate the prognostic and predictive properties of four specific genes in triple-negative breast cancer (TNBC). We focused on ADIPOQ, GAS5, GATA4, and YAP1, which are known for their roles in key molecular pathways related to tumorigenesis, such as adipokine signaling, lncRNA regulation, transcriptional control, and Hippo signaling, but have not been sufficiently explored in the context of epigenetic regulation in breast cancer. Using the methylospecific PCR (MSP) method, we analyzed the methylation of the four genes in the tumor tissues collected from 57 TNBC patients. We evaluated their association with response to neoadjuvant treatment and clinicopathological characteristics. Additionally, we performed a bioinformatic analysis of methylation and expression data from The Cancer Genome Atlas (TCGA) TNBC cohort to explore their relationships with overall survival (OS), disease-specific survival (DSS), disease-free interval (DFI), progression-free interval (PFI), and relapse-free survival (RFS). No significant associations were observed between methylation patterns and clinicopathological characteristics in the patients. However, in silico analysis of the TNBC cohort identified ADIPOQ methylation as having the most significant associations, correlating with all five survival endpoints, including OS, DSS, DFI, PFI, and RFS. GAS5 methylation was significantly associated with OS, DSS, and RFS, and GATA4 methylation showed significant associations with PFI, whereas YAP1 methylation was significantly associated with OS and RFS. In addition, GAS5 expression was linked to DSS, DFI and RFS. This study highlights the potential prognostic significance of the epigenetic regulation of ADIPOQ in TNBC. The in silico findings shed light on the molecular pathways associated with TNBC progression and warrant further investigation to validate their role in clinical outcomes and underlying biological mechanisms.
1. Introduction
Breast cancer ranks as the second most frequently diagnosed malignancy globally and remains the most common cancer among women [1,2]. Triple-negative breast cancer (TNBC), defined by the absence of estrogen receptor (ER), progesterone receptor (PR), and human epidermal growth factor receptor 2 (HER2) expression, represents a particularly aggressive and heterogeneous subtype. Accounting for approximately 15–20% of all breast cancer cases, TNBC is associated with a poor prognosis, elevated rates of recurrence, and distant metastasis [3]. The lack of targeted therapies means that cytotoxic chemotherapy remains the cornerstone of treatment. However, the development of resistance is common, highlighting the critical need to identify novel biomarkers that can inform prognosis and predict treatment response to improve patient outcomes [4].
Recent research has underscored the significant contribution of epigenetic modifications to the development and progression of TNBC. Among these, DNA methylation—the addition of a methyl group to cytosine bases in CpG islands, often mediated by DNA methyltransferases (DNMTs)—is a key mechanism for the transcriptional silencing of tumor suppressor genes [5]. In TNBC, while the total number of methylated CpG islands is comparable to other subtypes, the specific genes affected are distinct, influencing crucial processes such as proliferation, migration, and epithelial–mesenchymal transition (EMT) [6]. These alterations contribute to the aggressive phenotype of TNBC, making the profiling of methylation events a promising strategy for uncovering new biological insights and clinical biomarkers.
In this study, we focus on the epigenetic regulation of four genes—ADIPOQ, GAS5, GATA4, and YAP1—selected for their established roles in fundamental cancer pathways and their potential for methylation-mediated dysregulation in TNBC.
ADIPOQ encodes adiponectin, a hormone predominantly secreted by adipose tissue that regulates glucose metabolism and insulin sensitivity. Beyond its metabolic functions, adiponectin possesses significant anti-inflammatory, antiangiogenic, and antitumor properties [7]. Its actions are mediated through receptors AdipoR1 and AdipoR2, activating pathways like AMPK and PPAR-α, which are involved in cell growth, apoptosis, and inflammation [8]. In breast cancer, lower levels of adiponectin are associated with an increased risk of the disease, and it can inhibit cancer cell proliferation by suppressing oncogenic pathways such as PI3K/AKT and mTOR [9,10]. Therefore, the aberrant methylation and subsequent silencing of ADIPOQ could facilitate tumor development and therapy resistance, positioning it as a compelling candidate for investigation.
GAS5 is a long non-coding RNA (lncRNA) that functions as a tumor suppressor by regulating cell cycle progression and apoptosis. It exerts its effects by acting as a molecular sponge for microRNAs (miRNAs); for instance, it sequesters miR-21 to inhibit mTOR signaling, a pathway crucial for cell proliferation and survival [11,12]. The downregulation of GAS5 is implicated in enhanced tumor aggressiveness. Notably, epigenetic silencing of GAS5 via promoter hypermethylation has been documented in other cancers, such as colorectal and non-small cell lung cancer [11], suggesting its potential utility as an epigenetic biomarker in TNBC.
GATA4 is a zinc-finger transcription factor vital for cell differentiation, proliferation, and survival in various tissues [13]. In breast cancer, GATA4 has been shown to act as a tumor suppressor by inhibiting invasion and migration, partly through the downregulation of MMP9 expression [14]. Its role in regulating epithelial–mesenchymal transition (EMT) positions it as a key player in metastasis. The silencing of such a transcription factor via promoter methylation could thus be a pivotal event in TNBC pathogenesis.
YAP1 serves as the principal downstream effector of the evolutionarily conserved Hippo signaling pathway, which regulates organ size, tissue homeostasis, and carcinogenesis [15]. When the Hippo pathway is inactive, YAP1 translocates to the nucleus and partners with transcription factors like TEAD to drive the expression of pro-proliferative and antiapoptotic genes [16]. YAP1 is frequently overexpressed in cancers and is known to promote tumorigenesis, but its role is complex and context-dependent, with evidence supporting both oncogenic and tumor-suppressive functions in different breast cancer models [17,18,19]. In TNBC, where Hippo pathway dysregulation is common, YAP1 activation is thought to contribute to tumor progression and therapeutic resistance, making its regulatory mechanisms an area of intense interest [20].
The selection of ADIPOQ, GAS5, GATA4, and YAP1 was based on their involvement in critical biological processes and evidence of their epigenetic regulation in other malignancies. However, their promoter methylation status and its clinical implications in TNBC remain insufficiently explored. We hypothesized that investigating the methylation of these biologically relevant genes could reveal novel prognostic biomarkers.
This study aims to analyze the correlation between the promoter methylation patterns of ADIPOQ, GAS5, GATA4, and YAP1 and clinicopathological features, response to neoadjuvant chemotherapy, and survival outcomes in TNBC patients. By integrating data from a clinical cohort and a validation in-silico analysis of the TCGA dataset, we seek to clarify their prognostic and predictive significance, ultimately contributing to the development of more effective strategies for this challenging disease.
2. Results
Significant age differences were observed between subgroups: NAC patients were younger (mean age 52.1 ± 12.2 years, median 49.5) compared to surgery-first patients (mean 61.4 ± 15.8 years, median 62; p < 0.05). All tumors exhibited estrogen receptor (ER), progesterone receptor (PR), and human epidermal growth factor receptor 2 (HER2) negativity. High proliferative activity was evident across the group (median Ki-67: 60%, range: 8–90%), with no significant Ki-67 difference between subgroups (p > 0.05).
Histopathological evaluation revealed invasive carcinoma of no special type (NST/NOS) in 82.5% of cases, while grade 3 tumors predominated (56.1%). NAC patients presented with more advanced local disease, including higher frequencies of T3/T4 tumors (40.0% vs. 10.8%) and N2/N3 nodal involvement (30.0% vs. 8.1%). Stage IIB–III disease was common in both groups (50.0% NAC vs. 40.5% surgery-first). Pathological features included vascular emboli (31.6%), multifocality (14.0%), and skin invasion (12.3%). Pathological complete response (pCR) to NAC was achieved in 20.0% of patients, with partial response in 40.0% and no response/progression in 40.0%.
Methylation results of laboratory analysis are presented in Table 1, as qualitative data categorized into three groups (unmethylated, partially methylated, and methylated). The GAS5 gene was found to be unmethylated in 95% of the samples, while the remaining 5% could not be analyzed due to technical problems. Therefore, it was excluded from further analysis. For the other three genes (ADIPOQ, GATA4, and YAP1), the methylation patterns varied across the samples. Still, they were not associated with clinicopathological characteristics, including Ki-67 (Figure 1), tumor grading (G), tumor staging (T), and lymph node metastasis (N) (Table 2). Similarly, no association was observed between methylation status and response to neoadjuvant chemotherapy (Table 3). For ADIPOQ, the OR for achieving pCR in methylated versus unmethylated samples was 1.67 (95% CI: 0.19–25.50; p > 0.999). For YAP1, the OR was 2.75 (95% CI: 0.13–32.04; p = 0.489). For GATA4, the OR could not be reliably calculated due to the absence of pCR events in the unmethylated subgroup. Although the observed trends suggested a potential increase in the likelihood of pCR in methylated tumors, none of these associations reached statistical significance.
Table 1.
Methylation status of ADIPOQ, GATA-4, GAS5, and YAP-1 genes in the tumor samples of TNBC patients.
Figure 1.
Ki-67 stratified by methylation status of ADIPOQ (a), GATA-4 (b), and YAP1 (c) in the tumor tissue. For the ADIPOQ gene (a), the “unmethylated” group was combined with the “partially methylated” group due to the presence of only one sample with an unmethylated status. For the YAP-1 gene (c), the “partially methylated” group was combined with the “methylated” group due to the presence of only two samples with methylated status. Data are shown as raw values with medians and IQR. Group differences were analyzed with Student’s t-test (c), Mann–Whitney U-test (a), and one-way ANOVA (b).
Table 2.
Clinicopathological characteristics of TNBC patients according to methylation status of ADIPOQ, GATA-4, and YAP1 in the tumor tissue (2 × 2 contingency table analysis).
Table 3.
Response to neoadjuvant chemotherapy in TNBC patients according to the methylation status of ADIPOQ, GATA-4, and YAP1 in the tumor tissue collected before treatment (2 × 2 contingency table analysis).
However, a statistically significant association was observed between the methylation of ADIPOQ and YAP1 genes and the age at diagnosis (Figure 2). Specifically, women diagnosed at a younger age had significantly higher methylation level of ADIPOQ in the tumor tissue compared to older patients (53 vs. 62 years, p = 0.037, Figure 2a). In contrast, a younger age at diagnosis was associated with a lack of methylation of YAP1 (54 vs. 63 years, p = 0.034, Figure 2c).
Figure 2.
Age at diagnosis stratified by methylation status of ADIPOQ (a), GATA-4 (b), and YAP1 (c). For the ADIPOQ gene (a), the “unmethylated” group was combined with the “partially methylated” group due to the presence of only one sample with an unmethylated status. For the YAP-1 gene (c), the “partially methylated” group was combined with the “methylated” group due to the presence of only two samples with methylated status. Data are shown as raw values with medians and IQR. Group differences were analyzed with Student’s t-test (a,c) and Kruskal–Wallis test (b).
In Silico Group
The TCGA TNBC cohort included 172 patients with a median age of 54 years, with a slightly higher proportion of patients over 50 (54.7%). The racial distribution shows a significant representation of Black or African American patients (39%). The majority of patients (57%) were diagnosed at Stage II, followed by Stage III (26.2%). Invasive Ductal Carcinoma (IDC) is the predominant histological type (83.1%). The cohort includes rarer but clinically significant TNBC variants, such as Metaplastic Carcinoma (5.8%). Table 4 provides a comprehensive overview of the patient population, which is essential for interpreting subsequent genomic or survival analyses within this cohort.
Table 4.
Baseline clinical and pathological characteristics of the TCGA TNBC cohort (N = 172).
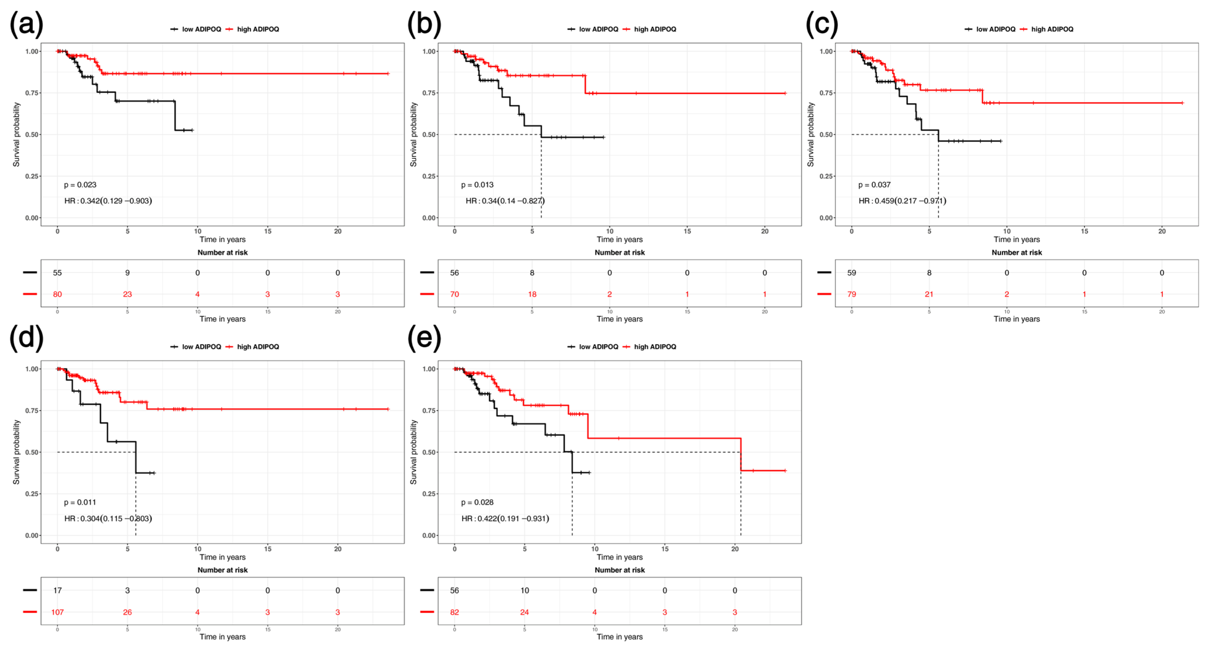
Results of the in silico analysis of the TCGA TNBC cohort are summarized in Table 5. In accordance with our pre-specified plan, we considered disease-specific survival (DSS) as the primary outcome. Overall survival (OS), disease-free interval (DFI), progression-free interval (PFI), and relapse-free survival (RFS) were analyzed as secondary endpoints. This analysis identified ADIPOQ methylation as having the most significant associations with all five survival endpoints, including OS (p = 0.028), DSS (p = 0.023), DFI (p = 0.013), PFI (p = 0.037), and RFS (p = 0.011) (Figure 3). For all these endpoints, higher ADPOQ methylation was associated with better survival outcomes (HR = 0.422, HR = 0.342, HR = 0.340, HR = 0.459, HR = 0.304, respectively). Similarly, higher GATA4 methylation showed a significant association with longer PFI (HR = 0.253, p = 0.044). In contrast, higher GAS5 methylation was significantly associated with shorter OS (HR = 3.000, p = 0.005), DSS (HR = 3.350, p = 0.009), and RFS (HR = 3.160, p = 0.009). Higher YAP1 methylation was associated with longer RFS (HR = 0.342, p = 0.031) but shorter OS (HR = 2.400, p = 0.049), although the latter might be inconclusive due to the p-value on the borderline of statistical significance. In addition, higher GAS5 expression was linked to shorter DSS (HR = 3.200, p = 0.049), DFI (HR = 2.500, p = 0.048) and RFS (HR = 7.940, p = 0.016).
Table 5.
Summary results of in silico analysis (TCGA TNBC cohort).
Figure 3.
ADIPOQ methylation as having the most significant associations, being associated with all five survival endpoints in TCGA TNBC cohort, including (a) DSS (p = 0.023), (b) DFI (p = 0.013), (c) PFI (p = 0.037), (d) RFS (p = 0.011) and (e) OS (p = 0.028).
3. Discussion
The results of this study highlight the potential role of epigenetic regulation of ADIPOQ, GAS5, GATA4, and YAP1 in the molecular pathology of triple-negative breast cancer. While our clinical cohort was limited in size, the in silico analysis of the larger TCGA TNBC cohort provided evidence supporting the role of these genes in survival outcomes. The lack of significant associations in our clinical group is likely attributable to its smaller sample size, which limits statistical power for survival analysis, and the semi-quantitative nature of MSP compared to the quantitative methylation arrays used in TCGA. The integration of clinical and bioinformatic data allowed us to explore these relationships, offering valuable insights. The in silico analysis of the TCGA TNBC cohort revealed significant associations between the methylation of ADIPOQ, GAS5, GATA4, and YAP1 and various survival endpoints, including our primary endpoints: disease-specific survival, and secondary: overall survival, disease-free interval, progression-free interval, and relapse-free survival.
ADIPOQ methylation emerged as the most significant predictor of survival outcomes, correlating with all five survival endpoints in the in silico study. Higher ADIPOQ methylation was associated with improved OS, DSS, DFI, PFI, and RFS. Interestingly, no correlation was observed with gene expression, although lower expression would be expected in cases of higher methylation. In our TNBC samples, we observed significantly higher ADIPOQ methylation in younger patients; however, no correlations were found with clinicopathological characteristics or the Ki-67 index. This contrasts with most studies, which have shown that low adiponectin levels are associated with increased risk and severity of breast cancer [21,22,23]. Our inconsistent findings may be due to certain limitations, such as the small sample size, limited data, and the specific method used for epigenetic analysis.
In contrast to ADIPOQ, higher GAS5 methylation was associated with poorer OS, DSS, and RFS. Observations from previous studies indicate that CpG methylation in the promoter region of the GAS5 gene is increased in TNBC tissues and cell lines. At the same time, GAS5 expression is suppressed in these tumor cells. Interestingly, we also observed that higher GAS5 expression was linked to shorter DSS, DFI, and RFS, even though hypermethylation of GAS5 is typically expected to silence its expression, not increase it. This observation is inconsistent with previous data that demonstrated the tumor-suppressive function of GAS5. According to the UCSC Human Genome Browser (GRCh38/hg38; accessed in March 2023) [24], the GAS5 gene is located on human chromosome 1q25.1 (chr1:173, 858, 997–173, 867, 989), and a CpG island has been identified immediately upstream of the GAS5 gene (chr1:173, 868, 035–173, 868, 779) [25]. The sequence analyzed in our study (chr1:173, 868, 568–173, 868, 695) is located within this CpG island. The lack of methylation observed in this region may result from the fact that CpG islands within promoter regions often exhibit heterogeneous methylation pattern-different parts of the same island can vary in the degree of CpG methylation. Moreover, the MSP (methylation-specific PCR) technique is locus-specific, meaning that it detects methylation only at CpG sites covered by the primers. Even slight shifts in primer location compared with other studies [26,27] may lead to the analysis of distinct fragments of the CpG island and, consequently, to apparently divergent results.
In summary, the differences between our results and those reported by other authors most likely arise from variations in the position of the analyzed amplicons within the CpG island or from methodological differences in methylation detection. It should also be emphasized that the absence of methylation in the examined fragment does not exclude the tumor-suppressive role of GAS5, since its expression may also be regulated through methylation of other promoter regions or through alternative epigenetic mechanisms (e.g., histone modifications or microRNA-mediated regulation).
Through epigenetic and other regulatory mechanisms, GAS5 has been shown to enhance drug sensitivity, improve prognosis, and promote apoptosis in breast cancer [28]. This paradoxical observation suggests that the role of GAS5 may be more complex than previously understood, potentially involving isoform-specific effects or context-dependent functions that warrant further investigation.
GATA4 and YAP1 methylation showed more limited but still significant associations with survival outcomes. In our bioinformatics analysis, higher GATA4 methylation was associated with longer PFI, which contrasts with findings from other studies reporting that GATA4 suppresses cell proliferation, invasion, and migration, while promoting apoptosis and senescence in breast cancer cells which lacks hormone receptors and HER2, GATA4 may interact with different transcriptional networks, possibly resulting in context-dependent effects, including pro-tumor functions when overexpressed [29,30].
On the other hand, YAP1 methylation was associated with more prolonged RFS but shorter OS, indicating a complex and context-dependent role in TNBC biology. YAP1 functions in both tumor suppression and promotion depending on the cellular environment, co-regulators, and stage of disease [18,31]. These results highlight the need to dissect the isoform-specific, spatial, and temporal regulation of YAP1 in TNBC progression.
The in silico results demonstrate the power of bioinformatic analysis in identifying potential biomarkers and uncovering molecular pathways relevant to TNBC. However, it is essential to acknowledge the limitations of our study group, which was small and may not fully capture the heterogeneity of TNBC.
In our study, we observed a significant association between the methylation status of ADIPOQ and the age at diagnosis. Specifically, younger patients (median age: 53 years) had higher ADIPOQ methylation levels compared to older patients (median age: 62 years). This finding suggests that ADIPOQ methylation may play a role in the early onset of TNBC, potentially contributing to the aggressive behavior of tumors in younger patients [32]. Given that high methylation corresponds to low expression, the hypermethylation of ADIPOQ in younger patients may result in reduced adiponectin levels, which could promote tumor growth and metastasis [7]. Conversely, younger patients (median age: 54 years) showed a lack of YAP1 methylation compared to older patients (median age: 63 years). This finding aligns with the known oncogenic role of YAP1, which promotes cell proliferation and survival [32]. The absence of YAP1 methylation in younger patients may lead to higher YAP1 expression, contributing to the aggressive behavior of TNBC in this age group. These age-related differences in methylation patterns highlight the potential role of epigenetic regulation in the biology of TNBC and suggest that age-specific molecular mechanisms may influence tumor behavior and patient outcomes. Further studies are needed to explore the underlying mechanisms and validate these findings in larger cohorts.
In the subgroup of patients treated with neoadjuvant chemotherapy in our study group, we did not observe statistically significant associations between the methylation status of the analyzed genes (ADIPOQ, GATA4, and YAP1) and pathological complete response. Although higher OR values for ADIPOQ and YAP1 suggested a potential trend toward increased likelihood of pCR in methylated tumors, the wide confidence intervals reflect considerable uncertainty due to the small sample size.
While this study provides valuable insights, several limitations must be acknowledged. First, the small sample size of our study group limits the statistical power of our findings, particularly within the neoadjuvant chemotherapy subgroup. Therefore, these results should be interpreted with caution and regarded as exploratory, warranting confirmation in larger, independent cohorts with quantitative methylation assessment and parallel gene expression profiling. Furthermore, the associations reported are based on univariable analysis and were not adjusted for potential confounders such as age or disease stage. Therefore, these findings are exploratory and must be validated in future, dedicated studies with pre-defined cohorts and multivariable analysis (our preliminary multivariate analysis in Tables S1 and S2). Second, the in silico analysis, while insightful, must be interpreted with caution. The use of data-driven optimal cut-points and the analysis of multiple survival endpoints increase the risk of false-positive findings. We attempted to mitigate this by pre-specifying a primary outcome (DSS); however, we did not apply corrections for multiple testing (e.g., FDR) to maintain sensitivity for this hypothesis-generating analysis. Consequently, the significant associations reported, particularly for the secondary endpoints, are exploratory and must be validated in future, dedicated studies with pre-defined, biologically justified cut-points and appropriate statistical corrections. Third, the use of archival FFPE samples and MSP may introduce variability compared to quantitative techniques. Fourth, the in silico analysis, while robust, is based on retrospective data. Finally, the technical failure to analyze GAS5 methylation in a small subset of samples underscores the challenges of working with FFPE-derived DNA. Our conservative approach to exclude these samples ensured data integrity. Future studies should include larger, prospective cohorts using quantitative methylation assays (e.g., pyrosequencing) and integrate matched gene expression data to link methylation status to biological outcomes functionally. Mechanistic studies are also needed to explore the causal roles of these genes.
In conclusion, this study highlights the potential prognostic significance of ADIPOQ, GAS5, GATA4, and YAP1 methylation in TNBC. The in silico analysis of the TCGA cohort provided strong evidence, particularly for ADIPOQ methylation as a high-priority candidate biomarker, while the clinical findings revealed age-related differences. This work serves as a discovery and hypothesis-generating study. The robust association of ADIPOQ methylation with survival in a large independent dataset justifies its prioritization for further validation in large, prospective TNBC cohorts to assess its true clinical utility. Future work should include functional studies to elucidate the precise molecular mechanisms by which methylation of these genes influences TNBC cell behavior.
4. Materials and Methods
4.1. Study Group
The study group comprised 57 patients with histologically confirmed triple-negative breast cancer (TNBC), including 20 patients (35.1%) who received neoadjuvant chemotherapy (NAC) and 37 patients (64.9%) treated with upfront surgery.
Study characteristics are presented in Table 6.
Table 6.
Characteristics of the study group.
The study was conducted in accordance with the Declaration of Helsinki and approved by the Bioethics Committee at the Medical University of Lodz (RNN/226/11/KE). As the samples were archival and anonymized, individual informed consent was not required.
4.2. Gene Methylation Analysis
DNA was isolated from formalin-fixed paraffin-embedded (FFPE) tumor samples using the QIAamp DNA FFPE Tissue Kit (Qiagen, Hilden, Germany) and then modified by sodium bisulfate using the EpiTect Bisulfite Kit (Qiagen) according to the manufacturer’s protocols. The converted DNA was stored at −20 °C until further analysis. DNA methylation was analyzed by methyl-specific PCR (MSP). The promoter sequences of the ADIPOQ, GAS5, GATA4, and YAP1 genes were assessed for methylation. The primer sequences for the GAS5 gene were designed using Methyl Prime 2.0 software, and for the other genes were described previously [33,34,35,36]. Bisulfite-converted methylated and unmethylated human DNA from the EpiTect PCR Control DNA Set (Qiagen) was used as positive and negative controls. The MSP reaction mixture in a volume of 10 µL contained 1× Buffer, 2.5 mM MgCl2, 0.25 mM dNTPs, 0.25 U TaKaRa EpiTaq HS (Takara Bio, Shiga, Japan), and primers in the concentration range of 0.2–0.4 µm. The PCR reaction conditions were as follows: 10 s of initial denaturation at 98 °C, followed by 35 cycles of 20 s of denaturation at 94 °C, 30 s of annealing at a temperature depending on the primer, 30 s of extension at 72 °C, and a final extension at 72 °C for 7 min. Table 7 shows the annealing temperature, primer sequences, and the length of the PCR product.
Table 7.
Annealing temperature, primer sequences, and MSP reaction product size.
Methylation status was presented as qualitative data, categorized into three groups (unmethylated, partially methylated, methylated) or two groups (unmethylated, partially methylated + methylated). The classification was based on the visual intensity of PCR bands after agarose gel electrophoresis: unmethylated, methylated, and partially methylated.
Samples were designated as methylated if a product was obtained only in the reaction with methylated primers and as unmethylated if a product was obtained only in the reaction with unmethylated primers. Partial methylation was considered if amplicons were observed on the gel in both MSP reactions (Figure 4). The main limitation was the biological material type, as FFPE-derived DNA is prone to fragmentation and degradation and may contain PCR inhibitors, factors that could have influenced amplification efficiency.
Figure 4.
Representative products of MSP reaction. Abbreviations: MM—mass marker; M—methylated control (completely methylated DNA); UM—unmethylated control (completely unmethylated DNA); lanes 1–4 correspond to the analyzed samples.
4.3. Bioinformatic Analysis
The mRNA expression and DNA methylation data were acquired from the University of California, Santa Cruz (UCSC) “Xena” repository [25] for TNBC samples of The Cancer Genome Atlas (TCGA)-BRCA cohort [37,38]. Clinical data were collected from UCSC Xena and cBioPortal, which included overall survival (OS), disease-specific survival (DSS), disease-free interval (DFI), progression-free interval (PFI), and relapse-free survival (RFS) [39,40]. For the bioinformatic survival analysis, disease-specific survival (DSS) was pre-specified as the primary endpoint. Overall survival (OS), disease-free interval (DFI), progression-free interval (PFI), and relapse-free survival (RFS) were considered secondary, exploratory endpoints. Survival analysis was performed in RStudio v2023.03.0+386 (R version 4.2.3) using the survminer v0.4.9 package to determine an optimal cutpoint that best segregated patients into high and low methylation/expression groups based on survival outcome. The hazard ratio (HR) was calculated for the group with higher values relative to the group with lower values.
4.4. Statistical Analysis
Statistical analysis of laboratory and clinical data was conducted via STATISTICA version. 13.3 (TIBCO Stat software Inc., Palo Alto, CA, USA). Differences between continuous variables (age, Ki-67) concerning methylation status (divided into two or three categories) were analyzed using Student’s t-test or ANOVA. For non-normally distributed data, the Mann–Whitney U test and the Kruskal–Wallis test were applied. Associations between qualitative clinicopathological data and methylation status, as well as between chemotherapy response and methylation status (2 × 2 contingency table analysis), were evaluated with Fisher’s exact test. In the NAC patients, odds ratios (ORs) with 95% confidence intervals (CIs) were additionally calculated to estimate the effect size of associations between gene methylation and pCR. These calculations were performed in GraphPad Prism version. 7.04 (San Diego, CA, USA) using Fisher’s exact test and the Baptista–Pike method, which provides accurate CI estimates for small sample sizes. Data normality was assessed with the Shapiro–Wilk test, and the homogeneity of variances was evaluated using Levene’s test and Brown–Forsythe test. A p-value of 0.05 or lower was considered statistically significant. Quantitative data are presented in figures as box-and-whisker plots, displaying the median, interquartile range (IQR), and individual data points. Figures were created in GraphPad Prism version. 7.04 (San Diego, CA, USA).
Supplementary Materials
The following supporting information can be downloaded at: https://www.mdpi.com/article/10.3390/ijms262110652/s1.
Author Contributions
Conceptualization, M.W., A.K.-W. and E.J.; methodology, M.W., A.K.-W. and E.J.; software, E.J., K.P. and D.K.; validation, E.J., A.K.-W., W.F. and I.Z.; formal analysis, E.J., A.K.-W., W.F. and I.Z.; investigation, M.W., K.S. and T.W.; resources, M.W. and T.W.; data curation, M.W. and T.W.; writing—original draft preparation, M.W. and K.S.; writing—review and editing, A.K.-W., E.J., P.B., Ł.U., N.P. and S.P.; visualization, D.K., E.J. and M.W.; supervision, E.J., A.K.-W., W.F., I.Z., E.P., K.P. and P.K.; project administration, E.J., A.K.-W., W.F., P.G.-M. and I.Z. All authors have read and agreed to the published version of the manuscript.
Funding
This research received no external funding.
Institutional Review Board Statement
The study was conducted in accordance with the Declaration of Helsinki and approved by the Bioethics Committee at the Medical University of Lodz (RNN/226/11/KE—date: 13 December 2011).
Informed Consent Statement
As the samples were archival and anonymized, individual informed consent was not required.
Data Availability Statement
The original contributions presented in this study are included in the article/Supplementary Material. Further inquiries can be directed to the corresponding author.
Acknowledgments
K.P., A.K.-W., and W.F. received funding from the National Science Centre from the OPUS project: Predictive Potential of Circulating MicroRNA Biomarkers in Patients with High Familial or Genetic Risk of Cancer; registration number: 2023/49/B/NZ5/03835.
Conflicts of Interest
The authors declare no conflict of interest.
Abbreviations
The following abbreviations are used in this manuscript:
| TNBC | triple-negative breast cancer |
| ADIPOQ | Adiponectin |
| GAS5 | Growth Arrest-Specific 5 |
| GATA4 | GATA Binding Protein 4 |
| YAP1 | Yes-Associated Protein 1 |
| TCGA | The Cancer Genome Atlas |
| OS | overall survival |
| DSS | disease-specific survival |
| DFI | disease-free interval |
| PFI | progression-free interval |
| RFS | relapse-free survival |
| ER | estrogen receptors |
| PR | progesterone receptors |
| HER2 | human epidermal growth factor receptor 2 |
| DNA | deoxyribonucleic acid |
| DNMTs | DNA methyltransferases |
| EMT | epithelial–mesenchymal transition |
| AMPK | AMP-activated protein kinase |
| PPAR-α | peroxisome proliferator-activated receptor alpha |
| RNA | ribonucleic acid |
| lncRNA | long non-coding RNA |
| miRNAs | microRNAs |
| NAC | neoadjuvant chemotherapy |
| NST/NOS | invasive carcinoma of no special type |
| pCR | pathological complete response |
| FFPE | formalin-fixed paraffin-embedded |
| MSP | methyl-specific PCR |
| HR | hazard ratio |
| IQR | interquartile range |
| T | tumor staging |
| N | lymph node metastasis |
| G | tumor grading |
References
- Ferlay, J.; Ervik, M.; Lam, F.; Laversanne, M.; Colombet, M.; Mery, L.; Piñeros, M.; Znaor, A.; Soerjomataram, I.; Bray, F. Global Cancer Observatory: Cancer Today; International Agency for Research on Cancer: Lyon, France, 2024; Available online: https://gco.iarc.who.int/today (accessed on 4 July 2025).
- Didkowska, J.; Urszula, W.; Klaudia, B.; Marta, M.; Irmina, M.; Paweł, O. Nowotwory Złośliwe w Polsce w 2021 Roku; Polish National Cancer Registry: Warsaw, Poland, 2023. [Google Scholar]
- Bianchini, G.; Balko, J.M.; Mayer, I.A.; Sanders, M.E.; Gianni, L. Triple-negative breast cancer: Challenges and opportunities of a heterogeneous disease. Nat. Rev. Clin. Oncol. 2016, 13, 674–690. [Google Scholar] [CrossRef]
- Lehmann, B.D.; Pietenpol, J.A. Identification and use of biomarkers in treatment strategies for triple-negative breast cancer subtypes. J. Pathol. 2014, 232, 142–150. [Google Scholar] [CrossRef]
- Lehmann, U. Epigenetic therapies in triple-negative breast cancer: Concepts, visions, and challenges. Cancers 2024, 16, 2164. [Google Scholar] [CrossRef]
- Zolota, V.; Tzelepi, V.; Piperigkou, Z.; Kourea, H.; Papakonstantinou, E.; Argentou, M.-I.; Karamanos, N.K. Epigenetic alterations in triple-negative breast cancer—The critical role of extracellular matrix. Cancers 2021, 13, 713. [Google Scholar] [CrossRef]
- Dalamaga, M.; Diakopoulos, K.N.; Mantzoros, C.S. The role of adiponectin in cancer: A review of current evidence. Endocr. Rev. 2012, 33, 547–594. [Google Scholar] [CrossRef]
- Kelesidis, I.; Kelesidis, T.; Mantzoros, C.S. Adiponectin and cancer: A systematic review. Br. J. Cancer 2006, 94, 1221–1225. [Google Scholar] [CrossRef]
- Mantzoros, C.; Petridou, E.; Dessypris, N.; Chavelas, C.; Dalamaga, M.; Alexe, D.M.; Papadiamantis, Y.; Markopoulos, C.; Spanos, E.; Chrousos, G.; et al. Adiponectin and breast cancer risk. J. Clin. Endocrinol. Metab. 2004, 89, 1102–1107. [Google Scholar] [CrossRef] [PubMed]
- Grossmann, M.E.; Ray, A.; Nkhata, K.J.; Malakhov, D.A.; Rogozina, O.P.; Dogan, S.; Cleary, M.P. Obesity and breast cancer: Status of leptin and adiponectin in pathological processes. Cancer Metastasis Rev. 2010, 29, 641–653. [Google Scholar] [CrossRef] [PubMed]
- Pickard, M.R.; Williams, G.T. Molecular and cellular mechanisms of action of tumour suppressor GAS5 LncRNA. Genes 2015, 6, 484–499. [Google Scholar] [CrossRef] [PubMed]
- Mourtada-Maarabouni, M.; Pickard, M.R.; Hedge, V.L.; Farzaneh, F.; Williams, G.T. GAS5, a non-protein-coding RNA, controls apoptosis and is downregulated in breast cancer. Oncogene 2009, 28, 195–208. [Google Scholar] [CrossRef]
- Viger, R.S.; Guittot, S.M.; Anttonen, M.; Wilson, D.B.; Heikinheimo, M. Role of the GATA family of transcription factors in endocrine development, function, and disease. Mol. Endocrinol. 2008, 22, 781–798. [Google Scholar] [CrossRef]
- Yang, Y.; Song, S.; Li, S.; Kang, J.; Li, Y.; Zhao, N.; Ye, D.; Qin, F.; Du, Y.; Sun, J.; et al. GATA4 regulates the transcription of MMP9 to suppress the invasion and migration of breast cancer cells via HDAC1-mediated p65 deacetylation. Cell Death Dis. 2024, 15, 289. [Google Scholar] [CrossRef]
- Harvey, K.F.; Zhang, X.; Thomas, D.M. The Hippo pathway and human cancer. Nat. Rev. Cancer 2013, 13, 246–257. [Google Scholar] [CrossRef]
- Zhao, B.; Li, L.; Tumaneng, K.; Wang, C.Y.; Guan, K.L. A coordinated phosphorylation by Lats and CK1 regulates YAP stability through SCFβ-TRCP. Genes Dev. 2010, 24, 72–85. [Google Scholar] [CrossRef]
- Zanconato, F.; Cordenonsi, M.; Piccolo, S. YAP/TAZ at the roots of cancer. Cancer Cell 2016, 29, 783–803. [Google Scholar] [CrossRef]
- Yuan, M.; Tomlinson, V.; Lara, R.; Holliday, D.; Chelala, C.; Harada, T.; Gangeswaran, R.; Manson-Bishop, C.; Smith, P.; Danovi, S.A.; et al. Yes-associated protein (YAP) functions as a tumor suppressor in breast. Cell Death Differ. 2008, 15, 1752–1759. [Google Scholar] [CrossRef]
- Wang, X.; Su, L.; Ou, Q. Yes-associated protein promotes tumour development in luminal epithelial derived breast cancer. Eur. J. Cancer 2012, 48, 1227–1234. [Google Scholar] [CrossRef] [PubMed]
- Yu, B.; Su, J.; Shi, Q.; Liu, Q.; Ma, J.; Ru, G.; Zhang, L.; Zhang, J.; Hu, X.; Tang, J. KMT5A-methylated SNIP1 promotes triple-negative breast cancer metastasis by activating YAP signaling. Nat. Commun. 2022, 13, 2192. [Google Scholar] [CrossRef] [PubMed]
- Bielawski, K.; Rhone, P.; Bulsa, M.; Ruszkowska-Ciastek, B. Pre-operative combination of normal BMI with elevated YKL-40 and leptin but lower adiponectin level is linked to a higher risk of breast cancer relapse: A report of four-year follow-up study. J. Clin. Med. 2020, 9, 1742. [Google Scholar] [CrossRef] [PubMed]
- Grossmann, M.E.; Cleary, M.P. The balance between leptin and adiponectin in the control of carcinogenesis—Focus on mammary tumorigenesis. Biochimie 2012, 94, 2164–2171. [Google Scholar] [CrossRef]
- Pasha, H.F.; Mohamed, R.H.; Toam, M.M.; Yehia, A.M. Genetic and epigenetic modifications of adiponectin gene: Potential association with breast cancer risk. J. Gene Med. 2019, 21, e3120. [Google Scholar] [CrossRef]
- Kent, W.J.; Sugnet, C.W.; Furey, T.S.; Roskin, K.M.; Pringle, T.H.; Zahler, A.M.; Haussler, D. The Human Genome Browser atUCSC. Genome Res. 2002, 12, 996–1006. [Google Scholar] [CrossRef] [PubMed]
- Grossi, I.; Marchina, E.; De Petro, G.; Salvi, A. The Biological Role and Translational Implications of the Long Non-Coding RNA GAS5 in Breast Cancer. Cancers 2023, 15, 3318. [Google Scholar] [CrossRef]
- Zheng, S.; Li, M.; Miao, K.; Xu, H. lncRNA GAS5-promoted apoptosis in triple-negative breast cancer by targeting miR-378a-5p/SUFU signaling. J. Cell. Biochem. 2020, 121, 2225–2235. [Google Scholar] [CrossRef] [PubMed]
- Zhang, Y.-J.; Xie, R.; Jiang, J.; Zhai, L.; Yang, C.-H.; Zhang, J.; Wang, X.; Chen, D.-X.; Niu, H.-T.; Chen, L. 5-Aza-dC suppresses melanoma progression by inhibiting GAS5 hypermethylation. Oncol. Rep. 2022, 48, 1–11. [Google Scholar] [CrossRef]
- Filippova, E.A.; Fridman, M.V.; Burdennyy, A.M.; Loginov, V.I.; Pronina, I.V.; Lukina, S.S.; Dmitriev, A.A.; Braga, E.A. Long noncoding RNA GAS5 in breast cancer: Epigenetic mechanisms and biological functions. Int. J. Mol. Sci. 2021, 22, 6810. [Google Scholar] [CrossRef] [PubMed]
- Yu, W.; Lin, X.; Leng, S.; Hou, Y.; Dang, Z.; Xue, S.; Li, N.; Zhang, F. The PRC2 complex epigenetically silences GATA4 to suppress cellular senescence and promote the progression of breast cancer. Transl. Oncol. 2024, 46, 102014. [Google Scholar] [CrossRef]
- Han, X.; Tang, J.; Chen, T.; Ren, G. Restoration of GATA4 expression impedes breast cancer progression by transcriptional repression of ReLA and inhibition of NF-κB signaling. J. Cell. Biochem. 2019, 120, 917–927. [Google Scholar] [CrossRef]
- Muhammad, J.S.; Guimei, M.; Jayakumar, M.N.; Shafarin, J.; Janeeh, A.S.; AbuJabal, R.; Eladl, M.A.; Ranade, A.V.; Ali, A.; Hamad, M. Estrogen-induced hypomethylation and overexpression of YAP1 facilitate breast cancer cell growth and survival. Neoplasia 2021, 23, 68–79. [Google Scholar] [CrossRef]
- Zhang, X.; Yang, J.; Cai, H.; Ye, Y. Young age is an independent adverse prognostic factor in early stage breast cancer: A population-based study. Cancer Manag. Res. 2018, 10, 4005–4018. [Google Scholar] [CrossRef] [PubMed]
- Li, L.C.; Dahiya, R. MethPrimer: Designing primers for methylation PCRs. Bioinformatics 2002, 18, 1427–1431. [Google Scholar] [CrossRef]
- Słabuszewska-Jóźwiak, A.; Malinowska, M.; Kloska, A.; Jakóbkiewicz-Banecka, J.; Gujski, M.; Bojar, I.; Raczkiewicz, D.; Jakiel, G. Global changes of 5-mC/5h-mC ratio and methylation of adiponectin and leptin gene in placenta depending on mode of delivery. Int. J. Mol. Sci. 2021, 22, 3195. [Google Scholar] [CrossRef]
- Akiyama, Y.; Watkins, N.; Suzuki, H.; Jair, K.W.; Van Engeland, M.; Esteller, M.; Sakai, H.; Ren, C.-Y.; Yuasa, Y.; Herman, J.G.; et al. GATA-4 and GATA-5 transcription factor genes and potential downstream antitumor target genes are epigenetically silenced in colorectal and gastric cancer. Mol. Cell. Biol. 2003, 23, 8429–8439. [Google Scholar] [CrossRef] [PubMed]
- Real, S.A.S.; Parveen, F.; Rehman, A.U.; Khan, M.A.; Deo, S.V.S.; Shukla, N.K.; Husain, S.A. Aberrant promoter methylation of YAP gene and its subsequent downregulation in Indian breast cancer patients. BMC Cancer 2018, 18, 711. [Google Scholar] [CrossRef] [PubMed]
- Goldman, M.J.; Craft, B.; Hastie, M.; Repečka, K.; McDade, F.; Kamath, A.; Banerjee, A.; Luo, Y.; Rogers, D.; Brooks, A.N.; et al. Visualizing and interpreting cancer genomics data via the Xena platform. Nat. Biotechnol. 2020, 38, 675–678. [Google Scholar] [CrossRef]
- Lehmann, B.D.; Colaprico, A.; Silva, T.C.; Chen, J.; An, H.; Ban, Y.; Huang, H.; Wang, L.; James, J.L.; Balko, J.M.; et al. Multi-omics analysis identifies therapeutic vulnerabilities in triple-negative breast cancer subtypes. Nat. Commun. 2021, 12, 6276. [Google Scholar] [CrossRef]
- Gao, J.; Aksoy, B.A.; Dogrusoz, U.; Dresdner, G.; Gross, B.; Sumer, S.O.; Sun, Y.; Jacobsen, A.; Sinha, R.; Larsson, E.; et al. Integrative analysis of complex cancer genomics and clinical profiles using the cBioPortal. Sci. Signal. 2013, 6, pl1. [Google Scholar] [CrossRef] [PubMed]
- Liu, J.; Lichtenberg, T.; Hoadley, K.A.; Poisson, L.M.; Lazar, A.J.; Cherniack, A.D.; Kovatich, A.J.; Benz, C.C.; Levine, D.A.; Lee, A.V.; et al. An integrated TCGA pan-cancer clinical data resource to drive high-quality survival outcome analytics. Cell 2018, 173, 400–416. [Google Scholar] [CrossRef]
Disclaimer/Publisher’s Note: The statements, opinions and data contained in all publications are solely those of the individual author(s) and contributor(s) and not of MDPI and/or the editor(s). MDPI and/or the editor(s) disclaim responsibility for any injury to people or property resulting from any ideas, methods, instructions or products referred to in the content. |
© 2025 by the authors. Licensee MDPI, Basel, Switzerland. This article is an open access article distributed under the terms and conditions of the Creative Commons Attribution (CC BY) license (https://creativecommons.org/licenses/by/4.0/).



