Molecular Implications of ADIPOQ, GAS5, GATA4, and YAP1 Methylation in Triple-Negative Breast Cancer Prognosis
Abstract
1. Introduction
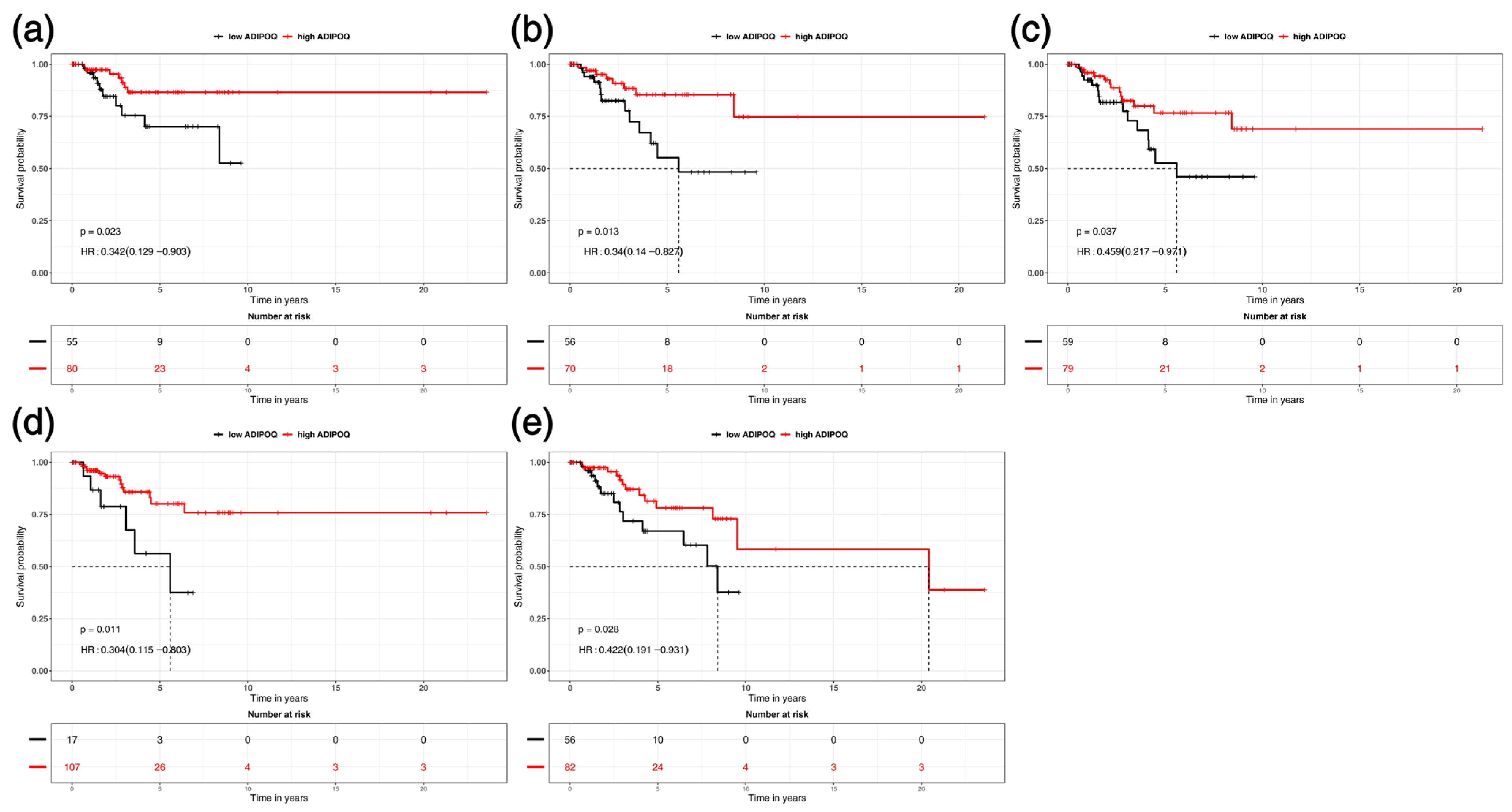
2. Results
In Silico Group
3. Discussion
4. Materials and Methods
4.1. Study Group
4.2. Gene Methylation Analysis
4.3. Bioinformatic Analysis
4.4. Statistical Analysis
Supplementary Materials
Author Contributions
Funding
Institutional Review Board Statement
Informed Consent Statement
Data Availability Statement
Acknowledgments
Conflicts of Interest
Abbreviations
| TNBC | triple-negative breast cancer |
| ADIPOQ | Adiponectin |
| GAS5 | Growth Arrest-Specific 5 |
| GATA4 | GATA Binding Protein 4 |
| YAP1 | Yes-Associated Protein 1 |
| TCGA | The Cancer Genome Atlas |
| OS | overall survival |
| DSS | disease-specific survival |
| DFI | disease-free interval |
| PFI | progression-free interval |
| RFS | relapse-free survival |
| ER | estrogen receptors |
| PR | progesterone receptors |
| HER2 | human epidermal growth factor receptor 2 |
| DNA | deoxyribonucleic acid |
| DNMTs | DNA methyltransferases |
| EMT | epithelial–mesenchymal transition |
| AMPK | AMP-activated protein kinase |
| PPAR-α | peroxisome proliferator-activated receptor alpha |
| RNA | ribonucleic acid |
| lncRNA | long non-coding RNA |
| miRNAs | microRNAs |
| NAC | neoadjuvant chemotherapy |
| NST/NOS | invasive carcinoma of no special type |
| pCR | pathological complete response |
| FFPE | formalin-fixed paraffin-embedded |
| MSP | methyl-specific PCR |
| HR | hazard ratio |
| IQR | interquartile range |
| T | tumor staging |
| N | lymph node metastasis |
| G | tumor grading |
References
- Ferlay, J.; Ervik, M.; Lam, F.; Laversanne, M.; Colombet, M.; Mery, L.; Piñeros, M.; Znaor, A.; Soerjomataram, I.; Bray, F. Global Cancer Observatory: Cancer Today; International Agency for Research on Cancer: Lyon, France, 2024; Available online: https://gco.iarc.who.int/today (accessed on 4 July 2025).
- Didkowska, J.; Urszula, W.; Klaudia, B.; Marta, M.; Irmina, M.; Paweł, O. Nowotwory Złośliwe w Polsce w 2021 Roku; Polish National Cancer Registry: Warsaw, Poland, 2023. [Google Scholar]
- Bianchini, G.; Balko, J.M.; Mayer, I.A.; Sanders, M.E.; Gianni, L. Triple-negative breast cancer: Challenges and opportunities of a heterogeneous disease. Nat. Rev. Clin. Oncol. 2016, 13, 674–690. [Google Scholar] [CrossRef]
- Lehmann, B.D.; Pietenpol, J.A. Identification and use of biomarkers in treatment strategies for triple-negative breast cancer subtypes. J. Pathol. 2014, 232, 142–150. [Google Scholar] [CrossRef]
- Lehmann, U. Epigenetic therapies in triple-negative breast cancer: Concepts, visions, and challenges. Cancers 2024, 16, 2164. [Google Scholar] [CrossRef]
- Zolota, V.; Tzelepi, V.; Piperigkou, Z.; Kourea, H.; Papakonstantinou, E.; Argentou, M.-I.; Karamanos, N.K. Epigenetic alterations in triple-negative breast cancer—The critical role of extracellular matrix. Cancers 2021, 13, 713. [Google Scholar] [CrossRef]
- Dalamaga, M.; Diakopoulos, K.N.; Mantzoros, C.S. The role of adiponectin in cancer: A review of current evidence. Endocr. Rev. 2012, 33, 547–594. [Google Scholar] [CrossRef]
- Kelesidis, I.; Kelesidis, T.; Mantzoros, C.S. Adiponectin and cancer: A systematic review. Br. J. Cancer 2006, 94, 1221–1225. [Google Scholar] [CrossRef]
- Mantzoros, C.; Petridou, E.; Dessypris, N.; Chavelas, C.; Dalamaga, M.; Alexe, D.M.; Papadiamantis, Y.; Markopoulos, C.; Spanos, E.; Chrousos, G.; et al. Adiponectin and breast cancer risk. J. Clin. Endocrinol. Metab. 2004, 89, 1102–1107. [Google Scholar] [CrossRef] [PubMed]
- Grossmann, M.E.; Ray, A.; Nkhata, K.J.; Malakhov, D.A.; Rogozina, O.P.; Dogan, S.; Cleary, M.P. Obesity and breast cancer: Status of leptin and adiponectin in pathological processes. Cancer Metastasis Rev. 2010, 29, 641–653. [Google Scholar] [CrossRef] [PubMed]
- Pickard, M.R.; Williams, G.T. Molecular and cellular mechanisms of action of tumour suppressor GAS5 LncRNA. Genes 2015, 6, 484–499. [Google Scholar] [CrossRef] [PubMed]
- Mourtada-Maarabouni, M.; Pickard, M.R.; Hedge, V.L.; Farzaneh, F.; Williams, G.T. GAS5, a non-protein-coding RNA, controls apoptosis and is downregulated in breast cancer. Oncogene 2009, 28, 195–208. [Google Scholar] [CrossRef]
- Viger, R.S.; Guittot, S.M.; Anttonen, M.; Wilson, D.B.; Heikinheimo, M. Role of the GATA family of transcription factors in endocrine development, function, and disease. Mol. Endocrinol. 2008, 22, 781–798. [Google Scholar] [CrossRef]
- Yang, Y.; Song, S.; Li, S.; Kang, J.; Li, Y.; Zhao, N.; Ye, D.; Qin, F.; Du, Y.; Sun, J.; et al. GATA4 regulates the transcription of MMP9 to suppress the invasion and migration of breast cancer cells via HDAC1-mediated p65 deacetylation. Cell Death Dis. 2024, 15, 289. [Google Scholar] [CrossRef]
- Harvey, K.F.; Zhang, X.; Thomas, D.M. The Hippo pathway and human cancer. Nat. Rev. Cancer 2013, 13, 246–257. [Google Scholar] [CrossRef]
- Zhao, B.; Li, L.; Tumaneng, K.; Wang, C.Y.; Guan, K.L. A coordinated phosphorylation by Lats and CK1 regulates YAP stability through SCFβ-TRCP. Genes Dev. 2010, 24, 72–85. [Google Scholar] [CrossRef]
- Zanconato, F.; Cordenonsi, M.; Piccolo, S. YAP/TAZ at the roots of cancer. Cancer Cell 2016, 29, 783–803. [Google Scholar] [CrossRef]
- Yuan, M.; Tomlinson, V.; Lara, R.; Holliday, D.; Chelala, C.; Harada, T.; Gangeswaran, R.; Manson-Bishop, C.; Smith, P.; Danovi, S.A.; et al. Yes-associated protein (YAP) functions as a tumor suppressor in breast. Cell Death Differ. 2008, 15, 1752–1759. [Google Scholar] [CrossRef]
- Wang, X.; Su, L.; Ou, Q. Yes-associated protein promotes tumour development in luminal epithelial derived breast cancer. Eur. J. Cancer 2012, 48, 1227–1234. [Google Scholar] [CrossRef] [PubMed]
- Yu, B.; Su, J.; Shi, Q.; Liu, Q.; Ma, J.; Ru, G.; Zhang, L.; Zhang, J.; Hu, X.; Tang, J. KMT5A-methylated SNIP1 promotes triple-negative breast cancer metastasis by activating YAP signaling. Nat. Commun. 2022, 13, 2192. [Google Scholar] [CrossRef] [PubMed]
- Bielawski, K.; Rhone, P.; Bulsa, M.; Ruszkowska-Ciastek, B. Pre-operative combination of normal BMI with elevated YKL-40 and leptin but lower adiponectin level is linked to a higher risk of breast cancer relapse: A report of four-year follow-up study. J. Clin. Med. 2020, 9, 1742. [Google Scholar] [CrossRef] [PubMed]
- Grossmann, M.E.; Cleary, M.P. The balance between leptin and adiponectin in the control of carcinogenesis—Focus on mammary tumorigenesis. Biochimie 2012, 94, 2164–2171. [Google Scholar] [CrossRef]
- Pasha, H.F.; Mohamed, R.H.; Toam, M.M.; Yehia, A.M. Genetic and epigenetic modifications of adiponectin gene: Potential association with breast cancer risk. J. Gene Med. 2019, 21, e3120. [Google Scholar] [CrossRef]
- Kent, W.J.; Sugnet, C.W.; Furey, T.S.; Roskin, K.M.; Pringle, T.H.; Zahler, A.M.; Haussler, D. The Human Genome Browser atUCSC. Genome Res. 2002, 12, 996–1006. [Google Scholar] [CrossRef] [PubMed]
- Grossi, I.; Marchina, E.; De Petro, G.; Salvi, A. The Biological Role and Translational Implications of the Long Non-Coding RNA GAS5 in Breast Cancer. Cancers 2023, 15, 3318. [Google Scholar] [CrossRef]
- Zheng, S.; Li, M.; Miao, K.; Xu, H. lncRNA GAS5-promoted apoptosis in triple-negative breast cancer by targeting miR-378a-5p/SUFU signaling. J. Cell. Biochem. 2020, 121, 2225–2235. [Google Scholar] [CrossRef] [PubMed]
- Zhang, Y.-J.; Xie, R.; Jiang, J.; Zhai, L.; Yang, C.-H.; Zhang, J.; Wang, X.; Chen, D.-X.; Niu, H.-T.; Chen, L. 5-Aza-dC suppresses melanoma progression by inhibiting GAS5 hypermethylation. Oncol. Rep. 2022, 48, 1–11. [Google Scholar] [CrossRef]
- Filippova, E.A.; Fridman, M.V.; Burdennyy, A.M.; Loginov, V.I.; Pronina, I.V.; Lukina, S.S.; Dmitriev, A.A.; Braga, E.A. Long noncoding RNA GAS5 in breast cancer: Epigenetic mechanisms and biological functions. Int. J. Mol. Sci. 2021, 22, 6810. [Google Scholar] [CrossRef] [PubMed]
- Yu, W.; Lin, X.; Leng, S.; Hou, Y.; Dang, Z.; Xue, S.; Li, N.; Zhang, F. The PRC2 complex epigenetically silences GATA4 to suppress cellular senescence and promote the progression of breast cancer. Transl. Oncol. 2024, 46, 102014. [Google Scholar] [CrossRef]
- Han, X.; Tang, J.; Chen, T.; Ren, G. Restoration of GATA4 expression impedes breast cancer progression by transcriptional repression of ReLA and inhibition of NF-κB signaling. J. Cell. Biochem. 2019, 120, 917–927. [Google Scholar] [CrossRef]
- Muhammad, J.S.; Guimei, M.; Jayakumar, M.N.; Shafarin, J.; Janeeh, A.S.; AbuJabal, R.; Eladl, M.A.; Ranade, A.V.; Ali, A.; Hamad, M. Estrogen-induced hypomethylation and overexpression of YAP1 facilitate breast cancer cell growth and survival. Neoplasia 2021, 23, 68–79. [Google Scholar] [CrossRef]
- Zhang, X.; Yang, J.; Cai, H.; Ye, Y. Young age is an independent adverse prognostic factor in early stage breast cancer: A population-based study. Cancer Manag. Res. 2018, 10, 4005–4018. [Google Scholar] [CrossRef] [PubMed]
- Li, L.C.; Dahiya, R. MethPrimer: Designing primers for methylation PCRs. Bioinformatics 2002, 18, 1427–1431. [Google Scholar] [CrossRef]
- Słabuszewska-Jóźwiak, A.; Malinowska, M.; Kloska, A.; Jakóbkiewicz-Banecka, J.; Gujski, M.; Bojar, I.; Raczkiewicz, D.; Jakiel, G. Global changes of 5-mC/5h-mC ratio and methylation of adiponectin and leptin gene in placenta depending on mode of delivery. Int. J. Mol. Sci. 2021, 22, 3195. [Google Scholar] [CrossRef]
- Akiyama, Y.; Watkins, N.; Suzuki, H.; Jair, K.W.; Van Engeland, M.; Esteller, M.; Sakai, H.; Ren, C.-Y.; Yuasa, Y.; Herman, J.G.; et al. GATA-4 and GATA-5 transcription factor genes and potential downstream antitumor target genes are epigenetically silenced in colorectal and gastric cancer. Mol. Cell. Biol. 2003, 23, 8429–8439. [Google Scholar] [CrossRef] [PubMed]
- Real, S.A.S.; Parveen, F.; Rehman, A.U.; Khan, M.A.; Deo, S.V.S.; Shukla, N.K.; Husain, S.A. Aberrant promoter methylation of YAP gene and its subsequent downregulation in Indian breast cancer patients. BMC Cancer 2018, 18, 711. [Google Scholar] [CrossRef] [PubMed]
- Goldman, M.J.; Craft, B.; Hastie, M.; Repečka, K.; McDade, F.; Kamath, A.; Banerjee, A.; Luo, Y.; Rogers, D.; Brooks, A.N.; et al. Visualizing and interpreting cancer genomics data via the Xena platform. Nat. Biotechnol. 2020, 38, 675–678. [Google Scholar] [CrossRef]
- Lehmann, B.D.; Colaprico, A.; Silva, T.C.; Chen, J.; An, H.; Ban, Y.; Huang, H.; Wang, L.; James, J.L.; Balko, J.M.; et al. Multi-omics analysis identifies therapeutic vulnerabilities in triple-negative breast cancer subtypes. Nat. Commun. 2021, 12, 6276. [Google Scholar] [CrossRef]
- Gao, J.; Aksoy, B.A.; Dogrusoz, U.; Dresdner, G.; Gross, B.; Sumer, S.O.; Sun, Y.; Jacobsen, A.; Sinha, R.; Larsson, E.; et al. Integrative analysis of complex cancer genomics and clinical profiles using the cBioPortal. Sci. Signal. 2013, 6, pl1. [Google Scholar] [CrossRef] [PubMed]
- Liu, J.; Lichtenberg, T.; Hoadley, K.A.; Poisson, L.M.; Lazar, A.J.; Cherniack, A.D.; Kovatich, A.J.; Benz, C.C.; Levine, D.A.; Lee, A.V.; et al. An integrated TCGA pan-cancer clinical data resource to drive high-quality survival outcome analytics. Cell 2018, 173, 400–416. [Google Scholar] [CrossRef]




| Methylation Status | ADIPOQ n (%) | GAS5 n (%) | GATA4 n (%) | YAP1 n (%) |
|---|---|---|---|---|
| All | 57 (100.0%) | 57 (100.0%) | 57 (100.0%) | 57 (100.0%) |
| Unmethylated | 1 (1.8%) | 54 (94.7%) | 13 (22.8%) | 29 (50.9%) |
| Partially Methylated | 30 (52.6%) | 0 (0.0%) | 22 (38.6%) | 22 (38.6%) |
| Methylated | 23 (40.4%) | 0 (0.0%) | 15 (26.3%) | 2 (3.5%) |
| Missing Data | 3 (5.3%) | 3 (5.3%) | 7 (12.3%) | 4 (7.0%) |
| Biopsies | ||||
| All | 20 (100.0%) | 20 (100.0%) | 20 (100.0%) | 20 (100.0%) |
| Unmethylated | 0 (0.0%) | 18 (90.0%) | 5 (25.0%) | 13 (65.0%) |
| Partially Methylated | 6 (30.0%) | (0.0%) | 2 (10.0%) | 2 (10.0%) |
| Methylated | 12 (60.0%) | (0.0%) | 9 (45.0%) | 1 (5.0%) |
| Missing Data | 2 (10.0%) | 2 (10.0%) | 4 (20.0%) | 4 (20.0%) |
| Surgical Samples | ||||
| All | 37 (100.0%) | 37 (100.0%) | 37 (100.0%) | 37 (100.0%) |
| Unmethylated | 1 (2.7%) | 36 (97.3%) | 8 (21.6%) | 16 (43.2%) |
| Partially Methylated | 24 (64.9%) | 0 (0.0%) | 20 (54.1%) | 20 (54.0%) |
| Methylated | 11 (29.7%) | 0 (0.0%) | 6 (16.2%) | 1 (2.7%) |
| Missing Data | 1 (2.7%) | 1 (2.7%) | 3 (8.1%) | 0 (0.0%) |
| Clinicopathological Characteristics | ADIPOQ n = 54 | GATA4 n = 50 | YAP1 n = 53 | |||
|---|---|---|---|---|---|---|
| Unmethylated + Partially Methylated (n) | Methylated (n) | Unmethylated (n) | Partially Methylated + Methylated (n) | Unmethylated (n) | Partially Methylated + Methylated (n) | |
| Tumor Grading (G) | ||||||
| G1 + G2 | 12 | 11 | 5 | 16 | 16 | 8 |
| G3 | 19 | 12 | 8 | 21 | 13 | 16 |
| p * | 0.583 | 1.000 | 0.166 | |||
| Tumor Staging (T) | ||||||
| T1 + T2 | 23 | 21 | 10 | 29 | 24 | 18 |
| T3 + T4 | 8 | 2 | 3 | 8 | 5 | 6 |
| p * | 0.161 | 1.000 | 0.517 | |||
| Lymph Node Metastasis (N) | ||||||
| N0 | 17 | 13 | 6 | 21 | 15 | 13 |
| N1–3 | 14 | 10 | 7 | 16 | 14 | 11 |
| p * | 1.000 | 0.537 | 1.000 | |||
| Pathological Complete Response (pCR) | ADIPOQ n = 18 | GATA4 n = 16 | YAP1 n = 16 | |||
|---|---|---|---|---|---|---|
| Methylated (n) | Unmethylated + Partially Methylated (n) | Partially Methylated + Methylated (n) | Unmethylated (n) | Partially Methylated + Methylated (n) | Unmethylated (n) | |
| Yes | 3 | 1 | 3 | 0 | 1 | 2 |
| No | 9 | 5 | 8 | 5 | 2 | 11 |
| p * | >0.999 | 0.509 | 0.489 | |||
| OR (95% CI) | 1.67 (0.19–25.50) | N/A (0.39-infinity) | 2.75 (0.13–32.04) | |||
| Characteristic | Category | Total Cohort (N = 172) | % or Median (Range) |
|---|---|---|---|
| Age at Diagnosis (years) | |||
| Median (Range) | 54 (26–90) | ||
| ≤50 | 78 | 45.3% | |
| >50 | 94 | 54.7% | |
| Race | |||
| White | 95 | 55.2% | |
| Black or African American | 67 | 39.0% | |
| Asian | 5 | 2.9% | |
| Not Available/Not Evaluated | 5 | 2.9% | |
| AJCC Pathologic Stage | |||
| Stage I | 21 | 12.2% | |
| Stage II (IIA/IIB) | 98 | 57.0% | |
| Stage III (IIIA/IIIB/IIIC) | 45 | 26.2% | |
| Stage IV | 2 | 1.2% | |
| Stage X/Not Available | 6 | 3.5% | |
| Histological Type | |||
| Invasive Ductal Carcinoma (IDC) | 143 | 83.1% | |
| Metaplastic Carcinoma | 10 | 5.8% | |
| Invasive Lobular Carcinoma (ILC) | 7 | 4.1% | |
| Mixed/Other Specified Types | 12 | 7.0% | |
| Menopausal Status | |||
| Premenopausal | 36 | 20.9% | |
| Perimenopausal | 9 | 5.2% | |
| Postmenopausal | 109 | 63.4% | |
| Indeterminate/Not Available | 18 | 10.5% | |
| Vital Status (Follow-up) | |||
| Alive | 133 | 77.3% | |
| Deceased | 39 | 22.7% | |
| Survival Endpoint | ADIPOQ | GAS5 | GATA4 | YAP1 |
|---|---|---|---|---|
| Methylation (high vs. low) | ||||
| Primary Outcomes | ||||
| DSS | HR = 0.342 (0.129–0.903) p = 0.023 | HR = 3.350 (1.270–8.830) p = 0.009 | HR = 0.258 (0.034–1.950) p = 0.160 | HR = 1.29 × 10−8 (0–Inf) p = 0.190 |
| Secondary Outcomes | ||||
| OS | HR = 0.422 (0.191–0.931) p = 0.028 | HR = 3.000 (1.340–6.740) p = 0.005 | HR = 1.520 (0.693–3.320) p = 0.290 | HR = 2.400 (0.978–5.860) p = 0.049 |
| DFI | HR = 0.340 (0.140–0.827) p = 0.013 | HR = 0.443 (0.146–1.340) p = 0.140 | HR = 0.375 (0.087–1.620) p = 0.170 | HR = 0.455 (0.183–1.130) p = 0.082 |
| PFI | HR = 0.459 (0.217–0.971) p = 0.037 | HR = 1.830 (0.865–3.890) p = 0.110 | HR = 0.253 (0.059–1.070) p = 0.044 | HR = 0.536 (0.247–1.160) p = 0.110 |
| RFS | HR = 0.304 (0.115–0.803) p = 0.011 | HR = 3.160 (1.280–7.820) p = 0.009 | HR = 0.555 (0.223–1.380) p = 0.200 | HR = 0.342 (0.123–0.951) p = 0.031 |
| Expression (high vs. low) | ||||
| Primary Outcomes | ||||
| DSS | HR = 1.710 (0.726–4.040) p = 0.214 | HR = 3.200 (0.942–10.900) p = 0.049 | HR = 1.28 × 10−8 (0–Inf) p = 0.124 | HR = 1.970 (0.828–4.680) p = 0.118 |
| Secondary Outcomes | ||||
| OS | HR = 1.870 (0.852–4.100) p = 0.113 | HR = 2.280 (0.798–6.540) p = 0.113 | HR = 1.850 (0.909–3.770) p = 0.085 | HR = 0.197 (0.027–1.450) p = 0.076 |
| DFI | HR = 1.970 (0.808–4.790) p = 0.129 | HR = 2.500 (0.976–6.400) p = 0.048 | HR = 1.990 (0.867–4.560) p = 0.098 | HR = 0.248 (0.033–1.840) p = 0.140 |
| PFI | HR = 0.581 (0.287–1.180) p = 0.127 | HR = 2.560 (0.900–7.270) p = 0.067 | HR = 0.262 (0.036–1.920) p = 0.156 | HR = 0.355 (0.085–1.480) p = 0.137 |
| RFS | HR = 0.541 (0.227–1.290) p = 0.160 | HR = 7.940 (1.070–59.000) p = 0.016 | HR = 1.760 (0.756–4.090) p = 0.184 | HR = 0.245 (0.033–1.820) p = 0.136 |
| Characteristic | Total (n = 57) | Preoperative Chemotherapy (NAC n = 20) | No Preoperative Chemotherapy (n = 37) |
|---|---|---|---|
| Age at diagnosis (years) | |||
| Mean ± SD | 58.1 ± 15.2 | 52.1 ± 12.2 | 61.4 ± 15.8 |
| Median (full range) | 60 (30–90) | 49.5 (30–75) | 62 (27–90) |
| Ki-67 Index (%) | |||
| Mean ± SD | 58.2 ± 22.6 | 55.5 ± 19.5 | 55.6 ± 24.3 |
| Median (full range) | 60 (8–90) | 60 (25–90) | 60 (8–90) |
| Receptor Status | |||
| ER/PR/HER2 negative | 57 (100%) | 20 (100%) | 37 (100%) |
| Histopathological Type | |||
| NST/NOS (no special type) | 47 (82.5%) | 18 (90.0%) | 29 (78.4%) |
| Medullary (M) | 3 (5.3%) | 1 (5.0%) | 2 (5.4%) |
| Apocrine (ACC) | 2 (3.5%) | 0 (0%) | 2 (5.4%) |
| Other subtypes | 5 (8.7%) | 1 (5.0%) | 4 (10.8%) |
| Tumor grade (G) | |||
| G1 | 1 (1.8%) | 0 (0%) | 1 (2.7%) |
| G2 | 24 (42.1%) | 11 (55.0%) | 13 (35.1%) |
| G3 | 32 (56.1%) | 9 (45.0%) | 23 (62.2%) |
| T | |||
| T1 | 12 (21.1%) | 1 (5.0%) | 11 (29.7%) |
| T2 | 33 (57.9%) | 11 (55.0%) | 22 (59.5%) |
| T3/T4 | 12 (21.0%) | 8 (40.0%) | 4 (10.8%) |
| N | |||
| N0 | 31 (54.4%) | 7 (35.0%) | 24 (64.9%) |
| N1 | 17 (29.8%) | 7 (35.0%) | 10 (27.0%) |
| N2/N3 | 9 (15.8%) | 6 (30.0%) | 3 (8.1%) |
| M | |||
| M0 | 55 (96.5%) | 19 (95.0%) | 36 (97.3%) |
| M1 | 2 (3.5%) | 1 (5.0%) | 1 (2.7%) |
| Stage (NAC) | |||
| I–IIA | 32 (56.1%) | 10 (50.0%) | 22 (59.5%) |
| IIB–III | 25 (43.9%) | 10 (50.0%) | 15 (40.5%) |
| Surgery Type | |||
| Breast-conserving (BCT) | 25 (43.9%) | 8 (40.0%) | 17 (45.9%) |
| Mastectomy (M) | 32 (56.1%) | 12 (60.0%) | 20 (54.1%) |
| Pathological Features | |||
| Multifocality | 8 (14.0%) | 4 (20.0%) | 4 (10.8%) |
| Vascular emboli | 18 (31.6%) | 7 (35.0%) | 11 (29.7%) |
| Skin invasion | 7 (12.3%) | 2 (10.0%) | 5 (13.5%) |
| Extensive intraductal (EIC) | 2 (3.5%) | 0 (0%) | 2 (5.4%) |
| Gene | Primer Sequence | Product Size [bp] | Annealing Temperature [°C] |
|---|---|---|---|
| ADIPOQ M | F: TATTTTATATGATTATATTTCGCGG R: AACTCTATTCTAACTTCCTAACGAA | 121 | 57 |
| ADIPOQ UM | F: TTTATTTTATATGATTATATTTTGTGG R: AACTCTATTCTAACTTCCTAACAAA | 123 | 57 |
| GAS5 M | F: AGTTGTTAGGAGGTGGGTGTGC R: CCCGACCGAACTAATCTACC | 128 | 63 |
| GAS5 UM | F: AGTTGTTAGGAGGTGGGTGTGT R: CTTAACCCCCAACCAAACTAATCTACC | 135 | 63 |
| GATA4 M | F: GTATAGTTTCGTAGTTTGCGTTTAGC R: AACTCGCGACTCGAATCCCCG | 136 | 65 |
| GATA4 UM | F: TTTGTATAGTTTTGTAGTTTGTGTTTAGT R: CCCAACTCACAACTCAAATCCCCA | 142 | 62 |
| YAP1 M | F: AGTTCGTATAGGCGTTTCGTTC R: CTTAACTACAAAAAATTCTTCCGCT | 187 | 57 |
| YAP1 UM | F: AAGTTTGTATAGGTGTTTTGTTTGG R: CTTAACTACAAAAAATTCTTCCACT | 188 | 58 |
Disclaimer/Publisher’s Note: The statements, opinions and data contained in all publications are solely those of the individual author(s) and contributor(s) and not of MDPI and/or the editor(s). MDPI and/or the editor(s) disclaim responsibility for any injury to people or property resulting from any ideas, methods, instructions or products referred to in the content. |
© 2025 by the authors. Licensee MDPI, Basel, Switzerland. This article is an open access article distributed under the terms and conditions of the Creative Commons Attribution (CC BY) license (https://creativecommons.org/licenses/by/4.0/).
Share and Cite
Wichtowski, M.; Kołacińska-Wow, A.; Skrzypek, K.; Jabłońska, E.; Płoszka, K.; Kołat, D.; Paszek, S.; Zawlik, I.; Płuciennik, E.; Potocka, N.; et al. Molecular Implications of ADIPOQ, GAS5, GATA4, and YAP1 Methylation in Triple-Negative Breast Cancer Prognosis. Int. J. Mol. Sci. 2025, 26, 10652. https://doi.org/10.3390/ijms262110652
Wichtowski M, Kołacińska-Wow A, Skrzypek K, Jabłońska E, Płoszka K, Kołat D, Paszek S, Zawlik I, Płuciennik E, Potocka N, et al. Molecular Implications of ADIPOQ, GAS5, GATA4, and YAP1 Methylation in Triple-Negative Breast Cancer Prognosis. International Journal of Molecular Sciences. 2025; 26(21):10652. https://doi.org/10.3390/ijms262110652
Chicago/Turabian StyleWichtowski, Mateusz, Agnieszka Kołacińska-Wow, Katarzyna Skrzypek, Ewa Jabłońska, Katarzyna Płoszka, Damian Kołat, Sylwia Paszek, Izabela Zawlik, Elżbieta Płuciennik, Natalia Potocka, and et al. 2025. "Molecular Implications of ADIPOQ, GAS5, GATA4, and YAP1 Methylation in Triple-Negative Breast Cancer Prognosis" International Journal of Molecular Sciences 26, no. 21: 10652. https://doi.org/10.3390/ijms262110652
APA StyleWichtowski, M., Kołacińska-Wow, A., Skrzypek, K., Jabłońska, E., Płoszka, K., Kołat, D., Paszek, S., Zawlik, I., Płuciennik, E., Potocka, N., Fendler, W., Kurzawa, P., Bigos, P., Urbański, Ł., Gibowska-Maruniak, P., & Wow, T. (2025). Molecular Implications of ADIPOQ, GAS5, GATA4, and YAP1 Methylation in Triple-Negative Breast Cancer Prognosis. International Journal of Molecular Sciences, 26(21), 10652. https://doi.org/10.3390/ijms262110652

