Abstract
Colorectal cancer (CRC) is the second leading cause of cancer-related mortality in the United States. Recent breakthroughs in research are highlighting the complex genetic and epigenetic alterations driving CRC progression. Among these, the ERK1/2 and PI3K pathways are central regulators of cellular proliferation, survival, and differentiation. The overactivation of these pathways is frequently observed in cancer and is associated with poor patient prognosis. Protein Arginine Methyltransferase 5 (PRMT5), a key epigenetic regulator, has been implicated in modulating the ERK1/2 and PI3K pathways in cancer. Previous studies, including those from our own group, are starting to suggest that targeting PRMT5 and the ERK1/2 and PI3K pathways may offer therapeutic benefits. Thus, we sought to provide further evidence of the relationship between PRMT5 and the ERK1/2 and PI3K pathways in CRC. Using patient tumor gene expression data and protein–protein interaction networks, we provide further evidence that PRMT5 is positively correlated with, and interacts with, the ERK1/2 and PI3K pathways in CRC. These findings are significant, as they further strengthen the case for the urgent need of additional research into therapeutic strategies targeting PRMT5 and the ERK1/2 and PI3K pathways in CRC.
1. Introduction
Colorectal cancer (CRC) is a significant public health challenge, ranking second in mortality among all cancers affecting men and women in the United States [1]. Despite advancements in early detection and treatment, survival outcomes for metastatic CRC remain poor, with fewer than 20% of patients surviving beyond five years after diagnosis [2]. However, recent breakthroughs in research are shedding light on the diverse genetic and epigenetic alterations underlying CRC progression [3,4,5,6,7,8,9].
The ERK1/2 and PI3K pathways are the chief signaling pathways for cellular proliferation, survival, and differentiation [5]. The overactivation of the ERK1/2 and PI3K pathways is commonly seen in cancer and is associated with poor patient prognosis [10]. Increasing evidence is showcasing that epigenetic alterations play a major role in regulating the ERK1/2 and PI3K pathways [11,12,13].
Protein Arginine Methyltransferase 5 (PRMT5) is an epigenetic regulator currently undergoing clinical trials as a potential therapeutic target for cancer [14]. PRMT5 has been shown to be overexpressed and negatively correlated with patient survival in many types of cancers [15,16,17,18]. Recent studies indicate that PRMT5 is involved in regulating the ERK1/2 and PI3K pathways [10]. PRMT5 has been shown to interact with many components of the ERK1/2 and PI3K pathways, including EGFR, Fibroblast Growth Factor Receptor 3 (FGFR3), RAF, ERK, PTEN, AKT, and more [10,19,20,21]. PRMT5 exerts differential regulatory effects on upstream and downstream nodes within the PI3K and MAPK signaling pathways. PRMT5 primarily modulates downstream effectors such as AKT and mTOR through direct methylation events. In contrast, PRMT5’s influence on upstream nodes is more indirect, leading to their enhanced degradation and reduced catalytic activity. This results in a dampening of the ERK1/2 signal amplitude [4,10,22].
Of particular interest, previous work from our group has indicated that PRMT5 interacts with KRAS, an upstream activator of both the ERK1/2 and PI3K pathways [23,24]. KRAS mutations are found in nearly 45% of CRCs and act as a molecular switch to constitutively stimulate cellular growth, survival, and proliferation, leading to tumorigenesis [25]. Yet, despite decades of intense research, a selective inhibitor for KRAS is yet to be developed. Patients with KRAS-mutant CRC, therefore, experience poor outcomes and a worse prognosis [26]. Our group’s previous work showed that KRAS-mutant CRC cells showed a greater therapeutic response to PRMT5 inhibition treatment compared to KRAS-WT CRC cells [23]. As such, our group’s work, as well as other studies, are starting to demonstrate that targeting PRMT5 and the ERK1/2 and PI3K pathways may offer therapeutic benefits [27,28,29,30].
In fact, recent clinical progress with PRMT5 inhibitors such as GSK3326595 and JNJ-64619178 has highlighted their therapeutic potential in molecularly defined subgroups of CRC [31,32,33]. Predictive biomarkers such as PRMT5 expression, MTAP deletion, and APC loss confer an increased dependency on PRMT5 and a greater sensitivity to its inhibition [34,35]. MTAP-deleted CRCs are especially vulnerable to MTA-cooperative PRMT5 inhibitors, and combinatorial screening has revealed a strong synergy between PRMT5 blockade and the inhibition of MAPK components including KRAS, MEK, ERK, and RAF (26078354). Moreover, dual targeting of PRMT5 and the PI3K/mTOR or MEK/ERK pathways enhances anti-tumor efficacy, supporting the development of biomarker-guided combination strategies to improve therapeutic outcomes in CRC [36,37,38]. Thus, we sought to provide further evidence of the relationship between PRMT5 and the ERK1/2 and PI3K pathways in CRC. Using patient tumor gene expression data and protein–protein interaction networks, we provide further evidence that PRMT5 is positively correlated with, and interacts with, the ERK1/2 and PI3K pathways in CRC. These findings are significant, as they further strengthen the case for the urgent need of additional research into therapeutic strategies targeting PRMT5 and the ERK1/2 and PI3K pathways in CRC.
2. Results
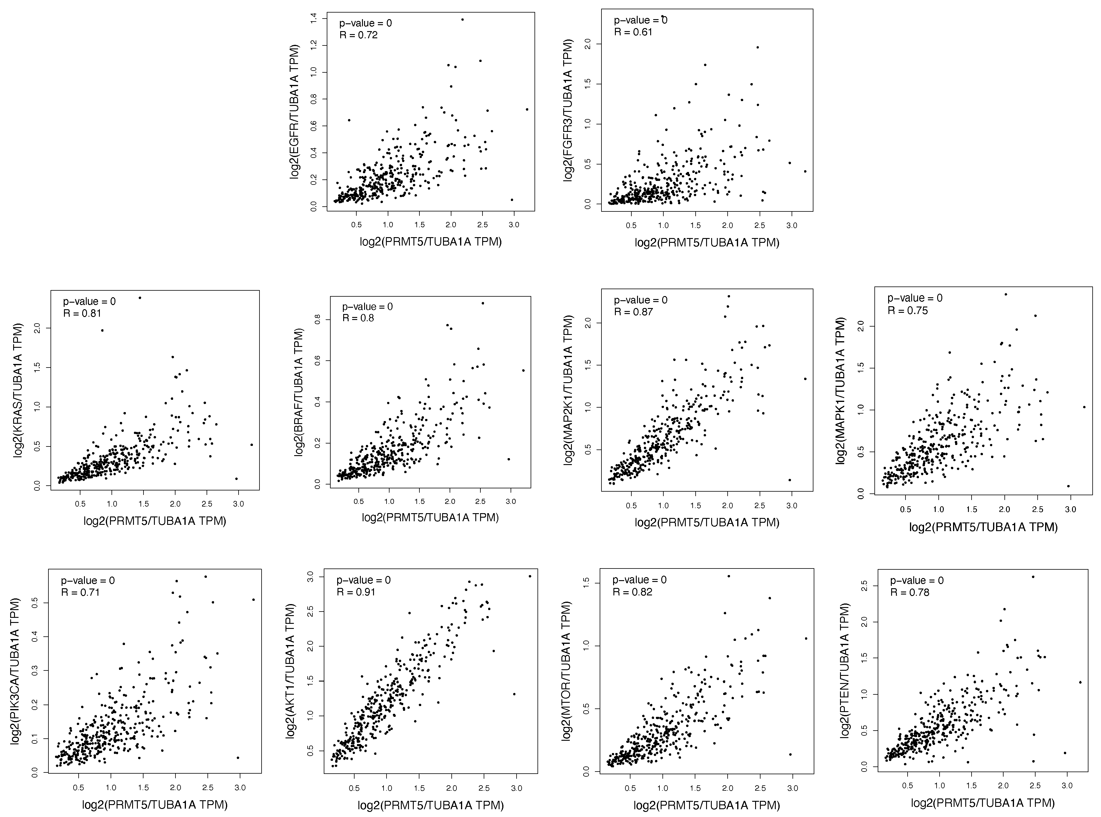
2.1. The ERK1/2 and PI3K Pathway Proteins Are Positively Correlated with PRMT5 in Colon and Rectum Patient Tumor Samples
Previous studies, including those from our own group, are starting to suggest that targeting PRMT5 and the ERK1/2 and PI3K pathways may offer therapeutic benefits. Thus, we sought to provide further evidence of the relationship between PRMT5 and the ERK1/2 and PI3K pathways in CRC. As such, we first used the GEPIA database to analyze colon and rectum patient tumor gene expression data to determine whether the ERK1/2 and PI3K pathway proteins have an expressional correlation with PRMT5 in colon and rectum patient tumor samples. Our results show that the ERK1/2 and PI3K pathway proteins are positively correlated with PRMT5 with a R-Value > 0.61 and a p-Value < 0.01. The analyzed colon and rectum patient tumor gene expression data plots for the ERK1/2 and PI3K pathway proteins can be seen in Figure 1 below.
Figure 1.
The ERK1/2 and PI3K pathway proteins are shown to be positively correlated with PRMT5 in colon and rectum patient tumor samples (R-Value > 0.61, p-Value < 0.01).
2.2. The ERK1/2 and PI3K Pathway Proteins Have Demonstrated Interactations with PRMT5 in the STRING Protein–Protein Interaction Network
After identifying that the ERK1/2 and PI3K pathway proteins have an expressional correlation with PRMT5 in colon and rectum patient tumor samples, we next used the STRING database to determine which of the ERK1/2 and PI3K pathway proteins have demonstrated interactions with PRMT5. Our results show that PRMT5 interacts with the receptor proteins EGFR and FGFR3, the ERK1/2 pathway proteins KRAS, RAF, MEK, and ERK, and lastly the PI3K pathway proteins AKT, mTOR, and PTEN, with an interaction score > 0.150. The analyzed protein–protein interaction network for the ERK1/2 and PI3K pathway proteins can be seen in Figure 2 below.
Figure 2.
The receptor proteins EGFR and FGFR3, the ERK1/2 pathway proteins KRAS, BRAF, MEK (MAP2K1), and ERK (MAPK1), and lastly the PI3K pathway proteins AKT (AKT1), mTOR, and PTEN are shown to interact with PRMT5 in the STRING database (Interaction score > 0.150).
2.3. Protein Network Map and Tabular Model Illustrates the Proteins in the ERK1/2 and PI3K Pathways That Both Positively Correlate with, as Well as Interact with, PRMT5
After identifying that the receptor proteins EGFR and FGFR3, the ERK1/2 pathway proteins KRAS, RAF, MEK, and ERK, and lastly the PI3K pathway proteins AKT, mTOR, and PTEN have demonstrated interactions with PRMT5 in the STRING database, we next created a tabular model and used Biorender to develop a protein network map to illustrate the proteins in the ERK1/2 and PI3K pathways that both positively correlate with, as well as interact with, PRMT5. Our protein network map and tabular model demonstrate that PRMT5 is positively correlated with (R-Value > 0.61, p-Value < 0.01) and interacts with (interaction score > 0.150) the following ERK1/2 and PI3K pathway proteins: EGFR, FGFR3, KRAS, RAF, MEK, ERK, AKT, mTOR, and PTEN. The analyzed protein network map and tabular model for the ERK1/2 and PI3K pathway proteins can be seen in Figure 3 below.
Figure 3.
Protein network map and tabular model are shown, which illustrate that the following ERK1/2 and PI3K pathway proteins, EGFR, FGFR3, KRAS, RAF, MEK, ERK, AKT, mTOR, and PTEN, both positively correlate with (R-Value > 0.61, p-Value < 0.01) and interact with (interaction score > 0.150) PRMT5.
3. Discussion
CRC remains a major public health concern, ranking as the second leading cause of cancer-related death among men and women in the United States. Emerging research is continuing to uncover that complex genetic and epigenetic alterations are driving CRC progression, which provides new insights into potential therapeutic targets.
The ERK1/2 and PI3K pathways serve as central signaling cascades governing cellular proliferation, survival, and differentiation. Aberrant activation of these pathways is frequently observed in cancer and is strongly linked to unfavorable patient outcomes. Growing evidence highlights the significant role of epigenetic mechanisms in modulating ERK1/2 and PI3K signaling.
Protein Arginine Methyltransferase 5 (PRMT5), an epigenetic enzyme currently under investigation in clinical trials, has emerged as a promising therapeutic target in oncology. PRMT5 overexpression has been reported across numerous cancer types and is often associated with reduced patient survival. Recent findings suggest that PRMT5 can influence both the ERK1/2 and PI3K pathways. Furthermore, our group and others have demonstrated that co-targeting PRMT5 alongside these signaling networks may provide enhanced therapeutic benefit.
Thus, we sought to provide further evidence of the relationship between PRMT5 and the ERK1/2 and PI3K pathways in CRC. As such, we first used the GEPIA database to analyze colon and rectum patient tumor gene expression data to determine whether the ERK1/2 and PI3K pathway proteins have an expressional correlation with PRMT5 in colon and rectum patient tumor samples. Our results show that the ERK1/2 and PI3K pathway proteins are positively correlated with PRMT5, with a R-Value > 0.61 and a p-Value < 0.01.
We next used the STRING database to determine which of the ERK1/2 and PI3K pathway proteins have demonstrated interactions with PRMT5. Our results show that PRMT5 interacts with the receptor proteins EGFR and FGFR3, the ERK1/2 pathway proteins KRAS, RAF, MEK, and ERK, and lastly the PI3K pathway proteins AKT, mTOR, and PTEN, with an interaction score > 0.150.
Finally, we used Biorender to develop a protein network map to model the proteins in the ERK1/2 and PI3K pathways that both positively correlate with, as well as interact with, PRMT5. Our protein network map demonstrates that PRMT5 is positively correlated with (R-Value > 0.61, p-Value < 0.01) and interacts with (interaction score > 0.150) the following ERK1/2 and PI3K pathway proteins: EGFR, FGFR3, KRAS, RAF, MEK, ERK, AKT, mTOR, and PTEN.
Our study thus shows further evidence that PRMT5 is positively correlated with, and interacts with, the ERK1/2 and PI3K pathways in CRC. These findings are significant, as they further strengthen the case for the urgent need of additional research into therapeutic strategies targeting PRMT5 and the ERK1/2 and PI3K pathways in CRC. It is important to note that, although our correlation analysis in Figure 1 highlights a strong association between PRMT5 and multiple nodes of the ERK1/2 and PI3K pathways, it does not prove causation or direct molecular interaction and does not show a linear regression correlation curve either. Furthermore, the interaction scores between PRMT5 and several of the ERK1/2 and PI3K pathway proteins are on the lower end, which makes the likelihood of an indiscriminate interaction between PRMT5 and all of the ERK1/2 and PI3K pathway proteins less likely. As such, additional research is urgently needed to delineate the exact molecular mechanisms behind PRMT5’s interactions with the ERK1/2 and PI3K pathways, as well as the specificity of these findings in KRAS-mutant CRC, as this can aid in the development of much needed therapeutic strategies to target PRMT5 and the ERK1/2 and PI3K pathways in CRC.
4. Materials and Methods
4.1. Gene Expression Profiling Interactive Analysis (GEPIA)
The GEPIA database (Peking University, Beijing, China) was used to analyze the RNA-Seq data of colon and rectum cancer patients from The Cancer Genome Atlas (TCGA) database to determine which of the ERK1/2 and PI3K pathway proteins are positively correlated with PRMT5 in colon and rectum patient tumor samples [39]. This was performed by using the GEPIA database’s Multiple Gene Analysis and Correlation Analysis. The generated data were normalized with the TUBA1A gene, and the Spearman Correlation Coefficient was determined. The results of the colon and rectum patient tumor gene expression were then analyzed.
4.2. STRING Protein–Protein Interaction Network
The STRING protein–protein interaction network (European Molecular Biology Laboratory (EMBL), Heidelberg, Germany) was used to determine which of the ERK1/2 and PI3K pathway proteins have demonstrated interactions with PRMT5 [40]. This was performed by using the STRING database, selecting multiple proteins, and listing all of the determined protein names and Homo sapiens for the organism. The results of the protein–protein interaction network were then analyzed.
4.3. Biorender: Scientific Image and Illustration Software
The Biorender Scientific Image and Illustration Software (BioRender, Toronto, ON, Canada) (https://www.biorender.com) was used to generate a protein network map that models the proteins in the ERK1/2 and PI3K pathways that both positively correlate with, as well as interact with, PRMT5. This was performed by using the Biorender Scientific Image and Illustration Software and developing the protein network map that models the proteins in the ERK1/2 and PI3K pathways that both positively correlate with, as well as interact with, PRMT5. The results of the protein network map were then analyzed.
5. Conclusions
In conclusion, previous studies, including those from our own group, are starting to suggest that targeting PRMT5 and the ERK1/2 and PI3K pathways may offer therapeutic benefits. Thus, we sought to provide further evidence of the relationship between PRMT5 and the ERK1/2 and PI3K pathways in CRC. Using patient tumor gene expression data and protein–protein interaction networks, we provide further evidence that PRMT5 is positively correlated with, and interacts with, the ERK1/2 and PI3K pathways in CRC. These findings are significant, as they further strengthen the case for the urgent need of additional research into therapeutic strategies targeting PRMT5 and the ERK1/2 and PI3K pathways in CRC.
Author Contributions
Conceptualization, design, and methodology, T.S. and D.S.; acquisition, analysis, and interpretation of data, M.S., T.S. and D.S.; writing—original draft preparation, M.S., M.P., D.D., T.S. and D.S.; writing—review and editing, M.S., M.P., D.D., T.S. and D.S.; supervision, T.S. and D.S. All authors have read and agreed to the published version of the manuscript.
Funding
This research received no external funding.
Institutional Review Board Statement
Not applicable.
Informed Consent Statement
Not applicable.
Data Availability Statement
The raw data presented and analyzed in this study can be obtained from the GEPIA and STRING databases as explained in the Materials and Methods Section 4 above.
Conflicts of Interest
The authors declare no conflicts of interest.
Abbreviations
The following abbreviations are used in this manuscript:
| PRMT5 | Protein Arginine Methyltransferase 5 |
| CRC | Colorectal cancer |
| ERK1/2 | Extracellular signal-regulated kinases 1 and 2 |
| KRAS | Kirsten rat sarcoma viral oncogene homolog |
| GEPIA | Gene Expression Profiling Interactive Analysis |
References
- Siegel, R.L.; Miller, K.D.; Fuchs, H.E.; Jemal, A. Cancer statistics, 2022. CA Cancer J. Clin. 2022, 72, 7–33. [Google Scholar] [CrossRef]
- Biller, L.H.; Schrag, D. Diagnosis and Treatment of Metastatic Colorectal Cancer: A Review. JAMA 2021, 325, 669–685. [Google Scholar] [CrossRef]
- Hong, S.N. Genetic and epigenetic alterations of colorectal cancer. Intest. Res. 2018, 16, 327–337. [Google Scholar] [CrossRef]
- Andreu-Perez, P.; Esteve-Puig, R.; de Torre-Minguela, C.; Lopez-Fauqued, M.; Bech-Serra, J.J.; Tenbaum, S.; Garcia-Trevijano, E.R.; Canals, F.; Merlino, G.; Avila, M.A.; et al. Protein arginine methyltransferase 5 regulates ERK1/2 signal transduction amplitude and cell fate through CRAF. Sci. Signal. 2011, 4, ra58. [Google Scholar] [CrossRef] [PubMed]
- Temraz, S.; Mukherji, D.; Shamseddine, A. Dual Inhibition of MEK and PI3K Pathway in KRAS and BRAF Mutated Colorectal Cancers. Int. J. Mol. Sci. 2015, 16, 22976–22988. [Google Scholar] [CrossRef] [PubMed]
- Rezapour, S.; Hosseinzadeh, E.; Marofi, F.; Hassanzadeh, A. Epigenetic-based therapy for colorectal cancer: Prospect and involved mechanisms. J. Cell. Physiol. 2019, 234, 19366–19383. [Google Scholar] [CrossRef]
- Cao, Q.; Tian, Y.; Deng, Z.; Yang, F.; Chen, E. Epigenetic Alteration in Colorectal Cancer: Potential Diagnostic and Prognostic Implications. Int. J. Mol. Sci. 2024, 25, 3358. [Google Scholar] [CrossRef]
- Kishore, C. Epigenetic Regulation and Promising Therapies in Colorectal Cancer. Curr. Mol. Pharmacol. 2021, 14, 838–852. [Google Scholar] [CrossRef] [PubMed]
- Okugawa, Y.; Grady, W.M.; Goel, A. Epigenetic Alterations in Colorectal Cancer: Emerging Biomarkers. Gastroenterology 2015, 149, 1204–1225 e12. [Google Scholar] [CrossRef]
- Sapir, T.; Shifteh, D.; Pahmer, M.; Goel, S.; Maitra, R. Protein Arginine Methyltransferase 5 (PRMT5) and the ERK1/2 & PI3K Pathways: A Case for PRMT5 Inhibition and Combination Therapies in Cancer. Mol. Cancer Res. 2021, 19, 388–394. [Google Scholar] [CrossRef]
- Wang, J.; Huang, S.K.; Marzese, D.M.; Hsu, S.C.; Kawas, N.P.; Chong, K.K.; Long, G.V.; Menzies, A.M.; Scolyer, R.A.; Izraely, S.; et al. Epigenetic changes of EGFR have an important role in BRAF inhibitor-resistant cutaneous melanomas. J. Investig. Dermatol. 2015, 135, 532–541. [Google Scholar] [CrossRef] [PubMed]
- Yang, L.; Ma, D.W.; Cao, Y.P.; Li, D.Z.; Zhou, X.; Feng, J.F.; Bao, J. PRMT5 functionally associates with EZH2 to promote colorectal cancer progression through epigenetically repressing CDKN2B expression. Theranostics 2021, 11, 3742–3759. [Google Scholar] [CrossRef]
- Li, J.; Wang, R.; Hu, X.; Gao, Y.; Wang, Z.; Li, J.; Wong, J. Activated MEK/ERK Pathway Drives Widespread and Coordinated Overexpression of UHRF1 and DNMT1 in Cancer cells. Sci. Rep. 2019, 9, 907. [Google Scholar] [CrossRef]
- Papon, N.; Copp, B.R.; Courdavault, V. Marine drugs: Biology, pipelines, current and future prospects for production. Biotechnol. Adv. 2022, 54, 107871. [Google Scholar] [CrossRef] [PubMed]
- Tan, L.; Xiao, K.; Ye, Y.; Liang, H.; Chen, M.; Luo, J.; Qin, Z. High PRMT5 expression is associated with poor overall survival and tumor progression in bladder cancer. Aging 2020, 12, 8728–8741. [Google Scholar] [CrossRef] [PubMed]
- Shailesh, H.; Zakaria, Z.Z.; Baiocchi, R.; Sif, S. Protein arginine methyltransferase 5 (PRMT5) dysregulation in cancer. Oncotarget 2018, 9, 36705–36718. [Google Scholar] [CrossRef]
- Lee, M.K.C.; Grimmond, S.M.; McArthur, G.A.; Sheppard, K.E. PRMT5: An Emerging Target for Pancreatic Adenocarcinoma. Cancers 2021, 13, 5136. [Google Scholar] [CrossRef]
- Kumar, D.; Jain, S.; Coulter, D.W.; Joshi, S.S.; Chaturvedi, N.K. PRMT5 as a Potential Therapeutic Target in MYC-Amplified Medulloblastoma. Cancers 2023, 15, 5855. [Google Scholar] [CrossRef]
- Huang, L.; Zhang, X.O.; Rozen, E.J.; Sun, X.; Sallis, B.; Verdejo-Torres, O.; Wigglesworth, K.; Moon, D.; Huang, T.; Cavaretta, J.P.; et al. PRMT5 activates AKT via methylation to promote tumor metastasis. Nat. Commun. 2022, 13, 3955. [Google Scholar] [CrossRef]
- Yin, S.; Liu, L.; Brobbey, C.; Palanisamy, V.; Ball, L.E.; Olsen, S.K.; Ostrowski, M.C.; Gan, W. PRMT5-mediated arginine methylation activates AKT kinase to govern tumorigenesis. Nat. Commun. 2021, 12, 3444. [Google Scholar] [CrossRef] [PubMed]
- Zheng, Y.; Lu, J.; Hu, X.; Hu, X.; Gao, X.; Zhou, J. PRMT5/FGFR3/AKT Signaling Axis Facilitates Lung Cancer Cell Metastasis. Technol. Cancer Res. Treat. 2023, 22, 15330338231161139. [Google Scholar] [CrossRef]
- Jurado, M.; Castano, O.; Zorzano, A. Stochastic modulation evidences a transitory EGF-Ras-ERK MAPK activity induced by PRMT5. Comput. Biol. Med. 2021, 133, 104339. [Google Scholar] [CrossRef]
- Shifteh, D.; Sapir, T.; Pahmer, M.; Haimowitz, A.; Goel, S.; Maitra, R. Protein Arginine Methyltransferase 5 as a Therapeutic Target for KRAS Mutated Colorectal Cancer. Cancers 2020, 12, 2091. [Google Scholar] [CrossRef]
- Thakur, N.L.; Jain, R.; Natalio, F.; Hamer, B.; Thakur, A.N.; Muller, W.E. Marine molecular biology: An emerging field of biological sciences. Biotechnol. Adv. 2008, 26, 233–245. [Google Scholar] [CrossRef] [PubMed]
- Zhu, G.; Pei, L.; Xia, H.; Tang, Q.; Bi, F. Role of oncogenic KRAS in the prognosis, diagnosis and treatment of colorectal cancer. Mol. Cancer 2021, 20, 143. [Google Scholar] [CrossRef]
- Taieb, J.; Le Malicot, K.; Shi, Q.; Penault-Llorca, F.; Bouche, O.; Tabernero, J.; Mini, E.; Goldberg, R.M.; Folprecht, G.; Luc Van Laethem, J.; et al. Prognostic Value of BRAF and KRAS Mutations in MSI and MSS Stage III Colon Cancer. J. Natl. Cancer Inst. 2017, 109, djw272. [Google Scholar] [CrossRef]
- Dai, W.; Zhang, J.; Li, S.; He, F.; Liu, Q.; Gong, J.; Yang, Z.; Gong, Y.; Tang, F.; Wang, Z.; et al. Protein Arginine Methylation: An Emerging Modification in Cancer Immunity and Immunotherapy. Front. Immunol. 2022, 13, 865964. [Google Scholar] [CrossRef] [PubMed]
- Xiao, W.; Chen, X.; Liu, L.; Shu, Y.; Zhang, M.; Zhong, Y. Role of protein arginine methyltransferase 5 in human cancers. Biomed. Pharmacother. 2019, 114, 108790. [Google Scholar] [CrossRef]
- Stopa, N.; Krebs, J.E.; Shechter, D. The PRMT5 arginine methyltransferase: Many roles in development, cancer and beyond. Cell Mol. Life Sci. 2015, 72, 2041–2059. [Google Scholar] [CrossRef] [PubMed]
- Gao, Y.; Feng, C.; Ma, J.; Yan, Q. Protein arginine methyltransferases (PRMTs): Orchestrators of cancer pathogenesis, immunotherapy dynamics, and drug resistance. Biochem. Pharmacol. 2024, 221, 116048. [Google Scholar] [CrossRef]
- Abizadeh, E.; Berglas, E.; Abizadeh, A.; Glatman, J.; Lavi, A.B.; Spivak, M.; Sapir, T.; Shifteh, D. Current and Emerging Therapies for Targeting the ERK1/2 & PI3K Pathways in Cancer. Int. J. Mol. Sci. 2025, 26, 8696. [Google Scholar] [CrossRef] [PubMed]
- Spivak, M.; Pahmer, M.; Delrahimnia, D.; Sapir, T.; Shifteh, D. PRMT5 Inhibition as a Potential Strategy for KRAS Mutant CRC: Downstream Mediators of the PRMT5-KRAS Crosstalk. Curr. Issues Mol. Biol. 2025, 47, 665. [Google Scholar] [CrossRef]
- Kaganovski, A.; Smith-Salzberg, B.; Shimshon, H.K.; Draheim, A.; Spivak, M.; Sapir, T.; Shifteh, D. Current and Emerging Therapies for Targeting Protein Arginine Methyltransferases (PRMTs) in Cancer. Int. J. Mol. Sci. 2025, 26, 7907. [Google Scholar] [CrossRef]
- Zhang, B.; Dong, S.; Zhu, R.; Hu, C.; Hou, J.; Li, Y.; Zhao, Q.; Shao, X.; Bu, Q.; Li, H.; et al. Targeting protein arginine methyltransferase 5 inhibits colorectal cancer growth by decreasing arginine methylation of eIF4E and FGFR3. Oncotarget 2015, 6, 22799–22811. [Google Scholar] [CrossRef]
- Atanasova, V.S.; Riedl, A.; Strobl, M.; Flandorfer, J.; Unterleuthner, D.; Weindorfer, C.; Neuhold, P.; Stang, S.; Hengstschlager, M.; Bergmann, M.; et al. Selective Eradication of Colon Cancer Cells Harboring PI3K and/or MAPK Pathway Mutations in 3D Culture by Combined PI3K/AKT/mTOR Pathway and MEK Inhibition. Int. J. Mol. Sci. 2023, 24, 1668. [Google Scholar] [CrossRef]
- Pitts, T.M.; Newton, T.P.; Bradshaw-Pierce, E.L.; Addison, R.; Arcaroli, J.J.; Klauck, P.J.; Bagby, S.M.; Hyatt, S.L.; Purkey, A.; Tentler, J.J.; et al. Dual pharmacological targeting of the MAP kinase and PI3K/mTOR pathway in preclinical models of colorectal cancer. PLoS ONE 2014, 9, e113037. [Google Scholar] [CrossRef]
- Hulpia, F.; Schepens, W.; Lepri, S.; Nicolai, J.; Jiang, Z.; Boj, S.F.; Bush, T.L.; Carvalho, M.A.; Chen, F.; Chu, G.; et al. Discovery of Gut-Restricted PRMT5 Inhibitors to Intercept Colorectal Cancer in Patients with Genetic Loss of Tumor Suppressor Adenomatous Polyposis Coli. J. Med. Chem. 2025. [Google Scholar] [CrossRef] [PubMed]
- Zhu, J.; Fu, S.; Zou, X.; Zeng, H.; Cui, G.; Peng, Y.; Tang, D.; Zhang, F.; Shen, H.; Zeng, S.; et al. PRMT5 Inhibitor Synergizes with Chemotherapy to Induce Resembling Mismatch Repair Deficiency and Enhance Anti-TIGIT Therapy in Microsatellite-Stable Colorectal Cancer. Adv. Sci. 2025, 12, e2500271. [Google Scholar] [CrossRef] [PubMed]
- Tang, Z.; Li, C.; Kang, B.; Gao, G.; Li, C.; Zhang, Z. GEPIA: A web server for cancer and normal gene expression profiling and interactive analyses. Nucleic Acids Res. 2017, 45, W98–W102. [Google Scholar] [CrossRef]
- Szklarczyk, D.; Kirsch, R.; Koutrouli, M.; Nastou, K.; Mehryary, F.; Hachilif, R.; Gable, A.L.; Fang, T.; Doncheva, N.T.; Pyysalo, S.; et al. The STRING database in 2023: Protein-protein association networks and functional enrichment analyses for any sequenced genome of interest. Nucleic Acids Res. 2023, 51, D638–D646. [Google Scholar] [CrossRef]
Disclaimer/Publisher’s Note: The statements, opinions and data contained in all publications are solely those of the individual author(s) and contributor(s) and not of MDPI and/or the editor(s). MDPI and/or the editor(s) disclaim responsibility for any injury to people or property resulting from any ideas, methods, instructions or products referred to in the content. |
© 2025 by the authors. Licensee MDPI, Basel, Switzerland. This article is an open access article distributed under the terms and conditions of the Creative Commons Attribution (CC BY) license (https://creativecommons.org/licenses/by/4.0/).


