Evaluation of Hypoxia Markers in Critically Ill Patients Categorized by Their Burden of Organ Dysfunction: A Novel Approach to Detect Pathophysiological and Clinical Relevance in a Secondary Analysis of a Prospective Observational Study
Abstract
1. Introduction
- Higher levels of hypoxia markers;
- Better performance in the kinetic parameters of serially measured SOFA scores and hypoxia markers in predicting death;
- Stronger correlations between the kinetic parameters of hypoxia markers and the respective SOFA scores.
2. Results
2.1. Categorizing Patients Based on the Median Initial SOFA Score
2.2. Patient Groups with Low and High BOD Show No Difference Regarding Overall Occurrence of Sepsis
2.3. Baseline and Clinical Characteristics of Study Participants
2.4. Time Course of SOFA Score, Lactate, and SAH Plasma Concentrations in Patients Grouped by BOD and Mortality
2.5. Performance of SOFA Scores, Lactate, and SAH Plasma Concentrations in Patients with Low and High BOD for Prediction of In-Hospital Mortality
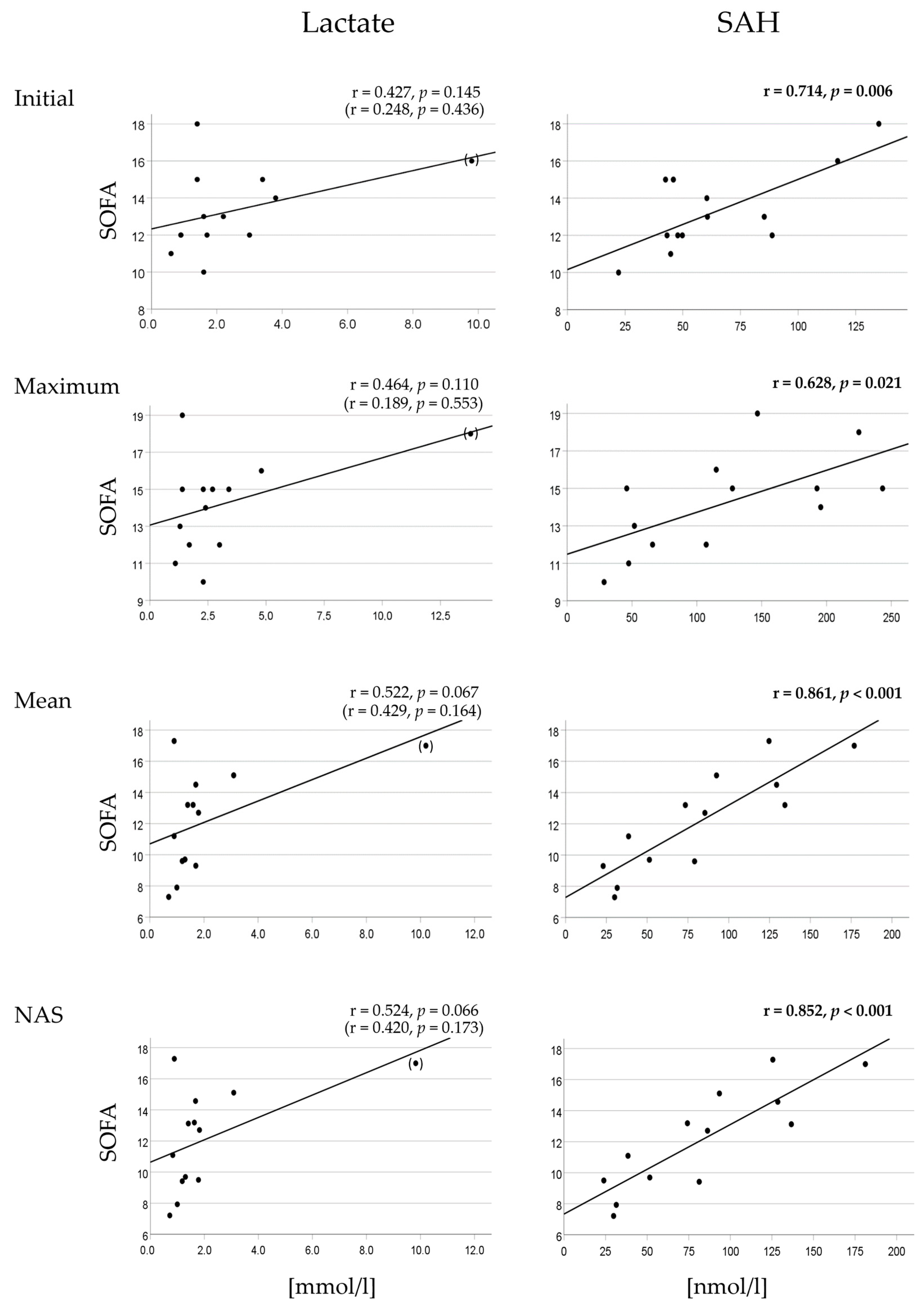
2.6. Correlation Between Initial Values and Kinetic Parameters of Lactate and SAH Plasma Concentrations and Corresponding SOFA Scores in Patients Grouped by BOD and Mortality
3. Discussion
Study Limitations
4. Materials and Methods
4.1. Ethics and General Aspects
4.2. Calculation of Kinetic Parameters of the SOFA Score, Lactate, and SAH Plasma Concentrations
4.3. Statistical Analyses
Supplementary Materials
Author Contributions
Funding
Institutional Review Board Statement
Informed Consent Statement
Data Availability Statement
Acknowledgments
Conflicts of Interest
References
- Cabré, L.; Mancebo, J.; Solsona, J.F.; Saura, P.; Gich, I.; Blanch, L.; Carrasco, G.; Martin, M. Multicenter study of the multiple organ dysfunction syndrome in intensive care units: The usefulness of Sequential Organ Failure Assessment scores in decision making. Intensive Care Med. 2005, 31, 927–933. [Google Scholar] [CrossRef]
- Gourd, N.M.; Nikitas, N. Multiple Organ Dysfunction Syndrome. J Intensive Care Med. 2020, 35, 1564–1575. [Google Scholar] [CrossRef]
- Ince, C.; De Backer, D.; Mayeux, P.R. Microvascular Dysfunction in the Critically Ill. Crit. Care Clin. 2020, 36, 323–331. [Google Scholar] [CrossRef]
- Favaron, E.; Ince, C.; Hilty, M.P.; Ergin, B.; van der Zee, P.; Uz, Z.; Wendel Garcia, P.D.; Hofmaenner, D.A.; Acevedo, C.T.; van Boven, W.J.; et al. Capillary Leukocytes, Microaggregates, and the Response to Hypoxemia in the Microcirculation of Coronavirus Disease 2019 Patients. Crit. Care Med. 2021, 49, 661–670. [Google Scholar] [CrossRef]
- Brouwer, F.; Ince, C.; Pols, J.; Uz, Z.; Hilty, M.P.; Arbous, M.S. The microcirculation in the first days of ICU admission in critically ill COVID-19 patients is influenced by severity of disease. Sci. Rep. 2024, 14, 6454. [Google Scholar] [CrossRef] [PubMed]
- Singer, M. Critical illness and flat batteries. Crit. Care 2017, 21, 309. [Google Scholar] [CrossRef] [PubMed]
- Gutierrez, G.; Williams, J.D. The riddle of hyperlactatemia. Crit. Care 2009, 13, 176. [Google Scholar] [CrossRef] [PubMed]
- Minne, L.; Abu-Hanna, A.; de Jonge, E. Evaluation of SOFA-based models for predicting mortality in the ICU: A systematic review. Crit. Care 2008, 12, R161. [Google Scholar] [CrossRef] [PubMed]
- Hernández, G.; Ospina-Tascón, G.A.; Damiani, L.P.; Estenssoro, E.; Dubin, A.; Hurtado, J.; Friedman, G.; Castro, R.; Alegría, L.; Teboul, J.L.; et al. Effect of a Resuscitation Strategy Targeting Peripheral Perfusion Status vs Serum Lactate Levels on 28-Day Mortality Among Patients With Septic Shock: The ANDROMEDA-SHOCK Randomized Clinical Trial. Jama 2019, 321, 654–664. [Google Scholar] [CrossRef]
- Chen, H.; Gong, S.R.; Yu, R.G. Increased normalized lactate load is associated with higher mortality in both sepsis and non-sepsis patients: An analysis of the MIMIC-IV database. BMC Anesthesiol. 2022, 22, 79. [Google Scholar] [CrossRef] [PubMed]
- Chen, H.; Gong, S.R.; Yu, R.G. Association between normalized lactate load and mortality in patients with septic shock: An analysis of the MIMIC-III database. BMC Anesthesiol. 2021, 21, 16. [Google Scholar] [CrossRef] [PubMed]
- Khodashahi, R.; Sarjamee, S. Early lactate area scores and serial blood lactate levels as prognostic markers for patients with septic shock: A systematic review. Infect. Dis. 2020, 52, 451–463. [Google Scholar] [CrossRef]
- Levy, B.; Desebbe, O.; Montemont, C.; Gibot, S. Increased aerobic glycolysis through beta2 stimulation is a common mechanism involved in lactate formation during shock states. Shock 2008, 30, 417–421. [Google Scholar] [CrossRef] [PubMed]
- Alamdari, N.; Constantin-Teodosiu, D.; Murton, A.J.; Gardiner, S.M.; Bennett, T.; Layfield, R.; Greenhaff, P.L. Temporal changes in the involvement of pyruvate dehydrogenase complex in muscle lactate accumulation during lipopolysaccharide infusion in rats. J. Physiol. 2008, 586, 1767–1775. [Google Scholar] [CrossRef]
- Sterling, S.A.; Puskarich, M.A.; Jones, A.E. The effect of liver disease on lactate normalization in severe sepsis and septic shock: A cohort study. Clin. Exp. Emerg. Med. 2015, 2, 197–202. [Google Scholar] [CrossRef] [PubMed]
- Xiao, Y.; Zhang, Y.; Wang, M.; Li, X.; Su, D.; Qiu, J.; Li, D.; Yang, Y.; Xia, M.; Ling, W. Plasma S-adenosylhomocysteine is associated with the risk of cardiovascular events in patients undergoing coronary angiography: A cohort study. Am. J. Clin. Nutr. 2013, 98, 1162–1169. [Google Scholar] [CrossRef] [PubMed]
- You, Y.; Chen, X.; Chen, Y.; Pang, J.; Chen, Q.; Liu, Q.; Xue, H.; Zeng, Y.; Xiao, J.; Mi, J.; et al. Epigenetic modulation of Drp1-mediated mitochondrial fission by inhibition of S-adenosylhomocysteine hydrolase promotes vascular senescence and atherosclerosis. Redox Biol. 2023, 65, 102828. [Google Scholar] [CrossRef]
- Dai, X.; Liao, R.; Liu, C.; Liu, S.; Huang, H.; Liu, J.; Jin, T.; Guo, H.; Zheng, Z.; Xia, M.; et al. Epigenetic regulation of TXNIP-mediated oxidative stress and NLRP3 inflammasome activation contributes to SAHH inhibition-aggravated diabetic nephropathy. Redox Biol. 2021, 45, 102033. [Google Scholar] [CrossRef] [PubMed]
- Kruglova, M.P.; Ivanov, A.V.; Fedoseev, A.N.; Virus, E.D.; Stupin, V.A.; Parfenov, V.A.; Titova, S.A.; Lazareva, P.I.; Kubatiev, A.A.; Silina, E.V. The Diagnostic and Prognostic Roles Played by Homocysteine and Other Aminothiols in Patients with Chronic Kidney Disease. J. Clin. Med. 2023, 12, 5653. [Google Scholar] [CrossRef] [PubMed]
- Deussen, A.; Borst, M.; Schrader, J. Formation of S-adenosylhomocysteine in the heart. I: An index of free intracellular adenosine. Circ. Res. 1988, 63, 240–249. [Google Scholar] [CrossRef] [PubMed]
- Deussen, A.; Borst, M.; Kroll, K.; Schrader, J. Formation of S-adenosylhomocysteine in the heart. II: A sensitive index for regional myocardial underperfusion. Circ. Res. 1988, 63, 250–261. [Google Scholar] [CrossRef] [PubMed]
- Kloor, D.; Delabar, U.; Mühlbauer, B.; Luippold, G.; Osswald, H. Tissue levels of S-adenosylhomocysteine in the rat kidney: Effects of ischemia and homocysteine. Biochem. Pharmacol. 2002, 63, 809–815. [Google Scholar] [CrossRef]
- Centner, F.S.; Schoettler, J.J.; Brohm, K.; Mindt, S.; Jäger, E.; Hahn, B.; Fuderer, T.; Lindner, H.A.; Schneider-Lindner, V.; Krebs, J.; et al. S-Adenosylhomocysteine Is a Useful Metabolic Factor in the Early Prediction of Septic Disease Progression and Death in Critically Ill Patients: A Prospective Cohort Study. Int. J. Mol. Sci. 2023, 24, 12600. [Google Scholar] [CrossRef] [PubMed]
- Schoettler, J.J.; Brohm, K.; Mindt, S.; Jager, E.; Hahn, B.; Fuderer, T.; Lindner, H.A.; Schneider-Lindner, V.; Krebs, J.; Neumaier, M.; et al. Mortality Prediction by Kinetic Parameters of Lactate and S-Adenosylhomocysteine in a Cohort of Critically Ill Patients. Int. J. Mol. Sci. 2024, 25, 6391. [Google Scholar] [CrossRef]
- Vincent, J.L.; Moreno, R.; Takala, J.; Willatts, S.; De Mendonca, A.; Bruining, H.; Reinhart, C.K.; Suter, P.M.; Thijs, L.G. The SOFA (Sepsis-related Organ Failure Assessment) score to describe organ dysfunction/failure. On behalf of the Working Group on Sepsis-Related Problems of the European Society of Intensive Care Medicine. Intensive Care Med. 1996, 22, 707–710. [Google Scholar] [CrossRef] [PubMed]
- Soo, A.; Zuege, D.J.; Fick, G.H.; Niven, D.J.; Berthiaume, L.R.; Stelfox, H.T.; Doig, C.J. Describing organ dysfunction in the intensive care unit: A cohort study of 20,000 patients. Crit. Care 2019, 23, 186. [Google Scholar] [CrossRef]
- Nuytinck, H.K.; Offermans, X.J.; Kubat, K.; Goris, J.A. Whole-body inflammation in trauma patients. An autopsy study. Arch. Surg. 1988, 123, 1519–1524. [Google Scholar] [CrossRef]
- Kozlov, A.V.; Grillari, J. Pathogenesis of Multiple Organ Failure: The Impact of Systemic Damage to Plasma Membranes. Front. Med. 2022, 9, 806462. [Google Scholar] [CrossRef]
- Kirkpatrick, C.J.; Bittinger, F.; Klein, C.L.; Hauptmann, S.; Klosterhalfen, B. The role of the microcirculation in multiple organ dysfunction syndrome (MODS): A review and perspective. Virchows Archiv 1996, 427, 461–476. [Google Scholar] [CrossRef] [PubMed]
- Moreno, R.; Vincent, J.L.; Matos, R.; Mendonça, A.; Cantraine, F.; Thijs, L.; Takala, J.; Sprung, C.; Antonelli, M.; Bruining, H.; et al. The use of maximum SOFA score to quantify organ dysfunction/failure in intensive care. Results of a prospective, multicentre study. Working Group on Sepsis related Problems of the ESICM. Intensive Care Med. 1999, 25, 686–696. [Google Scholar] [CrossRef]
- Vincent, J.L.; de Mendonça, A.; Cantraine, F.; Moreno, R.; Takala, J.; Suter, P.M.; Sprung, C.L.; Colardyn, F.; Blecher, S. Use of the SOFA score to assess the incidence of organ dysfunction/failure in intensive care units: Results of a multicenter, prospective study. Working group on “sepsis-related problems” of the European Society of Intensive Care Medicine. Crit. Care Med. 1998, 26, 1793–1800. [Google Scholar] [CrossRef] [PubMed]
- Ferreira, F.L.; Bota, D.P.; Bross, A.; Mélot, C.; Vincent, J.L. Serial evaluation of the SOFA score to predict outcome in critically ill patients. Jama 2001, 286, 1754–1758. [Google Scholar] [CrossRef]
- Hosmer, D.W.; Lemeshow, S. Applied Logistic Regression, 2nd ed.; John Wiley & Sons, Inc.: Hoboken, NJ, USA, 2000; p. 177. [Google Scholar]
- Cohen, J. Statistical Power Analysis for the Behavioral Sciences, 2nd ed.; Lawrence Erlbaum Associates Publishers: Mahwah, NJ, USA, 1988; p. 567. [Google Scholar]
- Singer, M.; Deutschman, C.S.; Seymour, C.W.; Shankar-Hari, M.; Annane, D.; Bauer, M.; Bellomo, R.; Bernard, G.R.; Chiche, J.D.; Coopersmith, C.M.; et al. The Third International Consensus Definitions for Sepsis and Septic Shock (Sepsis-3). Jama 2016, 315, 801–810. [Google Scholar] [CrossRef]
- Yoon, J.; Kym, D.; Hur, J.; Kim, Y.; Yang, H.T.; Yim, H.; Cho, Y.S.; Chun, W. Comparative Usefulness of Sepsis-3, Burn Sepsis, and Conventional Sepsis Criteria in Patients With Major Burns. Crit. Care Med. 2018, 46, e656–e662. [Google Scholar] [CrossRef]
- Williams, J.M.; Greenslade, J.H.; McKenzie, J.V.; Chu, K.; Brown, A.F.; Lipman, J. Systemic inflammatory response syndrome, quick sequential organ function assessment, and organ dysfunction: Insights from a prospective database of ED patients with infection. Chest 2017, 151, 586–596. [Google Scholar] [CrossRef] [PubMed]
- Costa, R.T.; Nassar Jr, A.P.; Caruso, P. Accuracy of SOFA, qSOFA, and SIRS scores for mortality in cancer patients admitted to an intensive care unit with suspected infection. J. Crit. Care 2018, 45, 52–57. [Google Scholar] [CrossRef] [PubMed]
- Centner, F.S.; Schoettler, J.J.; Fairley, A.M.; Lindner, H.A.; Schneider-Lindner, V.; Weiss, C.; Thiel, M.; Hagmann, M. Impact of different consensus definition criteria on sepsis diagnosis in a cohort of critically ill patients—Insights from a new mathematical probabilistic approach to mortality-based validation of sepsis criteria. PLoS ONE 2020, 15, e0238548. [Google Scholar] [CrossRef] [PubMed]
- Bakker, J.; Postelnicu, R.; Mukherjee, V. Lactate: Where Are We Now? Crit. Care Clin. 2020, 36, 115–124. [Google Scholar] [CrossRef] [PubMed]
- Yu, G.; Yoo, S.J.; Lee, S.H.; Kim, J.S.; Jung, S.; Kim, Y.J.; Kim, W.Y.; Ryoo, S.M. Utility of the early lactate area score as a prognostic marker for septic shock patients in the emergency department. Acute Crit. Care 2019, 34, 126–132. [Google Scholar] [CrossRef]
- Wang, H.; Li, Z.; Yin, M.; Chen, X.M.; Ding, S.F.; Li, C.; Zhai, Q.; Li, Y.; Liu, H.; Wu, D.W. Combination of Acute Physiology and Chronic Health Evaluation II score, early lactate area, and N-terminal prohormone of brain natriuretic peptide levels as a predictor of mortality in geriatric patients with septic shock. J. Crit. Care 2015, 30, 304–309. [Google Scholar] [CrossRef]
- Kim, Y.A.; Ha, E.J.; Jhang, W.K.; Park, S.J. Early blood lactate area as a prognostic marker in pediatric septic shock. Intensive Care Med. 2013, 39, 1818–1823. [Google Scholar] [CrossRef] [PubMed]
- Kraut, J.A.; Madias, N.E. Lactic acidosis. N. Engl. J. Med. 2014, 371, 2309–2319. [Google Scholar] [CrossRef] [PubMed]
- Ali, M.A.; Raza, M.T.; Majeed, S.; Tahir, U.; Ahmad, W.; Tahir, M.B.; Ali, R.S.; Afzal, A.; Hasan, M.Q.; Hassan, M.; et al. Correlation of Serum Albumin Levels With the Severity of Sepsis Among Intensive Care Unit Patients. Cureus 2024, 16, e71411. [Google Scholar] [CrossRef] [PubMed]
- Bone, R.C.; Balk, R.A.; Cerra, F.B.; Dellinger, R.P.; Fein, A.M.; Knaus, W.A.; Schein, R.M.; Sibbald, W.J. Definitions for sepsis and organ failure and guidelines for the use of innovative therapies in sepsis. The ACCP/SCCM Consensus Conference Committee. American College of Chest Physicians/Society of Critical Care Medicine. Chest 1992, 101, 1644–1655. [Google Scholar] [CrossRef]
- Centner, F.S.; Oster, M.E.; Dally, F.J.; Sauter-Servaes, J.; Pelzer, T.; Schoettler, J.J.; Hahn, B.; Fairley, A.M.; Abdulazim, A.; Hackenberg, K.A.M.; et al. Comparative Analyses of the Impact of Different Criteria for Sepsis Diagnosis on Outcome in Patients with Spontaneous Subarachnoid Hemorrhage. J. Clin. Med. 2022, 11, 3873. [Google Scholar] [CrossRef] [PubMed]
- Gellekink, H.; van Oppenraaij-Emmerzaal, D.; van Rooij, A.; Struys, E.A.; den Heijer, M.; Blom, H.J. Stable-isotope dilution liquid chromatography-electrospray injection tandem mass spectrometry method for fast, selective measurement of S-adenosylmethionine and S-adenosylhomocysteine in plasma. Clin. Chem. 2005, 51, 1487–1492. [Google Scholar] [CrossRef] [PubMed]
- Armstrong, R.A. When to use the Bonferroni correction. Ophthalmic Physiol. Opt. 2014, 34, 502–508. [Google Scholar] [CrossRef]






| Low BOD (SOFA ≤ 8) | High BOD (SOFA > 8) | ||||||||||||||||
|---|---|---|---|---|---|---|---|---|---|---|---|---|---|---|---|---|---|
| All (N = 99) | Low BOD (N = 53) | High BOD (N = 46) | Survivors (S) (N = 42) | Non-Survivors (NS) (N = 11) | Survivors (S) (N =33) | Non-Survivors (NS) (N = 13) | |||||||||||
| n | n | n | Low vs. High BOD | n | n | Low BOD S vs. NS | n | n | High BOD S vs. NS | ||||||||
| Demographics | |||||||||||||||||
| Age (years) | 99 | 63 (53–76) | 53 | 67 (60–78) | 46 | 56 (49–68) | 0.015 | 42 | 67 (60–78) | 11 | 76 (61–80) | 0.195 | 33 | 54 (43–63) | 13 | 68 (59–78) | 0.001 |
| Male (%) | 65 (66) | 29 (54.7) | 36 (78.3) | 0.014 | 21 (50.0) | 8 (72.7) | 0.308 | 25 (75.8) | 11 (84.6) | 0.700 | |||||||
| Clinical course | |||||||||||||||||
| Mechanical ventilation (%) | 86 (86.9) | 41 (77.4) | 45 (97.8) | 0.004 | 31 (73.8) | 10 (90.9) | 0.420 | 33 (100) | 12 (92.3) | 0.283 | |||||||
| Vasopressor therapy (%) | 68 (69) | 24 (45.3) | 44 (95.7) | <0.001 | 17 (40.5)) | 7 (63.6) | 0.190 | 31 (93.9) | 13 (100) | 1.000 | |||||||
| ICU-LOS (days) | 99 | 25 (16–47) | 53 | 21.3 (14.2–37.9) | 46 | 30.7 (20.4–68.9) | 0.006 | 42 | 23.0 (14.9–38.0) | 11 | 18.6 (10.3–32.3) | 0.232 | 33 | 36.9 (21.7–86.8) | 13 | 23.9 (14.7–35.9) | 0.048 |
| In-hospital mortality (%) | 24 (24) | 11 (20.8) | 13 (28.3) | 0.385 | |||||||||||||
| Primary diagnosis (%) | |||||||||||||||||
| Major surgery | 11 (11.1) | 9 (17.0) | 2 (4.35) | 0.046 | 7 (16.7) | 2 (18.2) | 1.000 | 1 (3.0) | 1 (7.7) | 0.489 | |||||||
| Sepsis | 20 (20.2) | 15 (28.3) | 5 (10.9) | 0.031 | 11 (26.2) | 4 (36.4) | 0.708 | 1 (3.0) | 4 (30.8) | 0.018 | |||||||
| Cardiac arrest | 2 (2.0) | 1 (1.9) | 1 (2.2) | 1.000 | 1 (2.4) | 1.000 | 1 (3.0) | 1.000 | |||||||||
| Polytrauma | 42 (42.4) | 16 (30.2) | 26 (56.5) | 0.008 | 13 (31.0) | 3 (27.3) | 1.000 | 23 (69.7) | 3 (23.1) | 0.004 | |||||||
| Major bleeding | 14 (14.1) | 4 (7.6) | 10 (21.7) | 0.043 | 4 (9.5) | 0.569 | 5 (15.2) | 5 (38.5) | 0.117 | ||||||||
| Respiratory insuff./ARDS | 10 (10.1) | 8 (15.1) | 2 (4.4) | 0.100 | 6 (14.3) | 2 (18.2) | 0.665 | 2 (6.1) | 1.000 | ||||||||
| Comorbidities (%) | |||||||||||||||||
| Cardiac | 35 (35.4) | 24 (45.3) | 11 (23.9) | 0.027 | 18 (42.9) | 6 (54.5) | 0.518 | 7 (21.2) | 4 (30.8) | 0.702 | |||||||
| Vascular | 21 (21.2) | 12 (22.6) | 9 (19.6) | 0.709 | 7 (16.7) | 5 (45.5) | 0.098 | 4 (12.1) | 5 (38.5) | 0.092 | |||||||
| Arterial hypertension | 51 (51.5) | 34 (64.2) | 17 (37.0) | 0.007 | 26 (61.9) | 8 (72.7) | 0.726 | 10 (30.3) | 7 (53.8) | 0.181 | |||||||
| Pulmonary | 12 (12.1) | 10 (18.9) | 2 (4.4) | 0.027 | 6 (14.3) | 4 (36.4) | 0.187 | 2 (6.1) | 1.000 | ||||||||
| Renal | 20 (20.2) | 13 (24.5) | 7 (15.2) | 0.250 | 8 (19.0) | 5 (45.5) | 0.112 | 4 (12.1) | 3 (23.1) | 0.385 | |||||||
| Hepatic | 6 (6.1) | 2 (3.77) | 4 (8.7) | 0.412 | 1 (2.4) | 1 (9.1) | 0.375 | 3 (9.1) | 1 (7.7) | 1.000 | |||||||
| Diabetes mellitus | 17 (17.2) | 13 (24.5) | 4 (8.7) | 0.037 | 10 (23.8) | 3 (27.3) | 1.000 | 3 (9.1) | 1 (7.7) | 1.000 | |||||||
| Metabolic | 10 (10.1) | 3 (5.7) | 7 (15.2) | 0.181 | 2 (4.8) | 1 (9.1) | 0.510 | 6 (18.2) | 1 (7.7) | 0.654 | |||||||
| Cerebral | 11 (11.1) | 7 (13.2) | 4 (8.7) | 0.476 | 6 (14.3) | 1 (9.1) | 1.000 | 3 (9.1) | 1 (7.7) | 1.000 | |||||||
| Smoking | 7 (7.1) | 4 (7.6) | 3 (6.5) | 1.000 | 2 (4.8) | 2 (18.2) | 0.186 | 2 (6.1) | 1 (7.7) | 1.000 | |||||||
| Alcoholism | 6 (6.1) | 2 (3.8) | 4 (8.7) | 0.412 | 2 (18.2) | 0.040 | 3 (9.1) | 1 (7.7) | 1.000 | ||||||||
| Clinical chemistry | |||||||||||||||||
| Creatinine (mg/dL) | 96 | 0.98 (0.73–1.50) | 50 | 0.79 (0.61–1.22) | 46 | 1.28 (0.89–1.83) | 0.017 | 39 | 0.76 (0.61–1.06) | 11 | 0.89 (0.63–2.82) | 0.163 | 3 | 1.07 (0.79–1.38) | 13 | 1.79 (1.68–2.25) | 0.008 |
| Urea (mg/dL) | 96 | 45.1 (33.4–63.8) | 50 | 44.8 (31.6–63.8) | 46 | 45.4 (35.5–62.9) | 0.990 | 39 | 41.0 (28.5–59.9) | 11 | 56.6 (35.6–103.0) | 0.106 | 33 | 43.6 (33.3–50.9) | 13 | 62.9 (48.7–68.4) | 0.017 |
| Potassium (mmol/L) | 98 | 4.1 (3.8–4.3) | 52 | 4.0 (3.8–4.2) | 46 | 4.1 (4.0–4.4) | 0.084 | 41 | 3.9 (3.7–4.2) | 11 | 4.3 (4.1–4.5) | 0.053 | 33 | 4.1 (4.0–4.3) | 13 | 4.2 (4.0–4.5) | 0.423 |
| Bilirubin (mg/dL) | 93 | 0.61 (0.35–0.94) | 49 | 0.45 (0.32–0.69) | 44 | 0.84 (0.51–1.30) | 0.006 | 39 | 0.45 (0.32–0.76) | 10 | 0.48 (0.37–0.56) | 0.785 | 32 | 0.77 (0.51–1.28) | 12 | 0.90 (0.61–1.42) | 0.496 |
| AST (U/L) | 90 | 43 (27–90) | 49 | 36 (24–52) | 41 | 75 (42–181) | <0.001 | 39 | 37 (24–54) | 10 | 28 (19–48) | 0.323 | 30 | 78 (42–182) | 11 | 70 (29–111) | 0.955 |
| ALT (U/L) | 92 | 37 (20–85) | 49 | 26 (19–45) | 43 | 55 (30–199) | 0.001 | 39 | 35 (17–47) | 10 | 21 (19–26) | 0.309 | 31 | 61 (32–206) | 12 | 38 (28–158) | 0.953 |
| Lipase (U/L) | 90 | 86 (61–207) | 47 | 80 (50–146) | 43 | 104 (64–357) | 0.031 | 38 | 83 (50–146) | 9 | 66 (49–82) | 0.351 | 31 | 94 (63–297) | 12 | 201 (72–541) | 0.357 |
| CRP (mg/dL) | 96 | 150 (90–218) | 50 | 140 (87–215) | 46 | 165 (90–223) | 0.577 | 39 | 148 (85–215) | 11 | 114 (87–218) | 0.761 | 33 | 175 (92–223) | 13 | 155 (81–214) | 0.678 |
| PCT (µg/L) | 69 | 0.63 (0.20–2.29) | 36 | 0.30 (0.15–0.87) | 33 | 1.24 (0.40–3.00) | 0.003 | 28 | 0.26 (0.12–0.62) | 8 | 0.52 (0.27–1.20) | 0.304 | 24 | 1.46 (0.52–2.81) | 9 | 0.99 (0.40–7.04) | 0.952 |
| Hematology | |||||||||||||||||
| Hemoglobin (g/dL) | 98 | 8.85 (8.10–10.1) | 52 | 8.90 (8.20–10.6) | 46 | 8.80 (7.80–9.60) | 0.048 | 41 | 8.90 (8.10–10.8) | 11 | 8.90 (8.30–9.70) | 0.631 | 33 | 8.80 (7.80–9.60) | 13 | 8.80 (8.50–9.50) | 0.543 |
| WBC (109/L) | 96 | 11.5 (8.3–14.3) | 50 | 12.5 (10.3–15.4) | 46 | 9.4 (6.3–13.0) | 0.005 | 39 | 8.9 (8.1–10.8) | 11 | 12.6 (7.5–13.8) | 0.573 | 33 | 9.9 (7.9–12.8) | 13 | 7.3 (4.8–14.9) | 0.510 |
| Thrombocytes (109/L) | 96 | 162 (106–250) | 50 | 203 (142–275) | 46 | 123 (82–195) | <0.001 | 39 | 198 (142–279) | 11 | 229 (136–252) | 0.963 | 33 | 133 (84–195) | 13 | 103 (81–138) | 0.386 |
| INR | 96 | 1.07 (1.00–1.12) | 50 | 1.04 (0.99–1.10) | 46 | 1.10 (1.04–1.19) | 0.003 | 39 | 1.04 (1.00–1.10) | 11 | 1.01 (0.95–1.12) | 0.606 | 33 | 1.07 (1.02–1.16) | 13 | 1.12 (1.07–1.19) | 0.271 |
| Vital signs | |||||||||||||||||
| Temperature (°C) | 96 | 37.1 (36.8–37.7) | 50 | 37.0 (36.7–37.5) | 46 | 37.2 (36.8–37.8) | 0.157 | 39 | 37.0 (36.6–37.6) | 11 | 37.1 (36.7–37.5) | 0.892 | 33 | 37.3 (36.9–37.8) | 13 | 37.1 (36.8–38.0) | 0.817 |
| Respiratory rate (1/min) | 98 | 19 (16–22) | 52 | 18 (16–22) | 46 | 20 (16–23) | 0.390 | 41 | 18 (16–21) | 11 | 20 (16–27) | 0.224 | 33 | 20 (18–22) | 13 | 19 (16–24) | 0.985 |
| Horovitz index (mmHg) | 98 | 280 (220–343) | 52 | 295 (224–353) | 46 | 271 (214–326) | 0.276 | 41 | 302 (234–357) | 11 | 215 (183–295) | 0.271 | 33 | 286 (227–326) | 13 | 220 (188–300) | 0.294 |
| Shock index | 98 | 0.70 (0.61–0.88) | 52 | 0.66 (0.54–0.82) | 46 | 0.80 (0.65–0.93) | <0.001 | 41 | 0.66 (0.55–0.82) | 11 | 0.62 (0.49–0.83) | 0.856 | 33 | 0.80 (0.66–0.89) | 13 | 0.76 (0.64–1.01) | 0.495 |
| Clinical scores | |||||||||||||||||
| RASS | 97 | −3 (−5–0) | 51 | −1 (−3–0) | 46 | −5 (−5–−3) | <0.001 | 41 | −1 (−3–0) | 10 | 0 (−1–1) | 0.084 | 33 | −5 (−5–−3) | 13 | −4 (−5–−1) | 0.423 |
| TISS | 98 | 18 (10–22) | 52 | 12 (10–18) | 46 | 22 (18–23) | <0.001 | 41 | 10 (10–18) | 11 | 13 (10–18) | 0.386 | 33 | 22 (18–23) | 13 | 23 (22–27) | 0.028 |
| SAPS II | 98 | 35 (28–43) | 52 | 35 (29–42) | 46 | 35 (26–45) | 0.975 | 41 | 10 (10–18) | 11 | 39 (35–45) | 0.110 | 33 | 30 (23–38) | 13 | 45 (40–51) | <0.001 |
| SOFA | 99 | 8 (5–11) | 53 | 6 (4–7) | 46 | 12 (10–13) | <0.001 | 42 | 5 (4–7) | 11 | 6 (5–8) | 0.040 | 33 | 11 (10–12) | 13 | 13 (12–15) | 0.003 |
| Hypoxia biomarkers | |||||||||||||||||
| Lactate (mmol/L) | 98 | 1.0 (0.7–1.6) | 52 | 0.9 (0.6–1.1) | 46 | 1.3 (0.8–1.9) | 0.004 | 41 | 0.8 (0.6–1.2) | 11 | 1.1 (0.6–1.1) | 0.543 | 33 | 1 (0.8–1.5) | 13 | 1.6 (1.4–3.0) | 0.031 |
| SAH (nmol/L) | 95 | 21.7 (13.5–47.8) | 53 | 18.6 (11.6–32.0) | 46 | 30.5 (16.5–59.8) | 0.018 | 42 | 18.4 (11.5–29.0) | 11 | 24.7 (11.6–101.0) | 0.308 | 33 | 19.3 (14.8–41.3) | 13 | 49.8 (44.8–85.3) | 0.001 |
| Low BOD (SOFA ≤ 8) | High BOD (SOFA > 8) | ||||||||
|---|---|---|---|---|---|---|---|---|---|
| All (N = 53) | Survivors (S) (N = 42) | Non-Survivors (NS) (N = 11) | S vs. NS | All (N = 46) | Survivors (N = 33) | Non-Survivors (N = 13) | S vs. NS | Low BOD vs. High BOD | |
| SOFA | |||||||||
| Initial/n | 6.0 (4.0–7.0)/53 | 5.0 (4.0–7.0)/42 | 6.0 (5.0–8.0)/11 | 0.038 | 12.0 (10.0–13.0)/46 | 11.0 (9.5–12.5)/33 | 13.0 (12.0–15.0)/13 | 0.003 | <0.001 |
| Maximum/n | 7.0 (5.0–8.0)/53 | 6.0 (4.8–8.0)/42 | 7.0 (6.0–8.0)/11 | 0.058 | 12.0 (10.0–14.0)/46 | 11.0 (10.0–12.5)/33 | 15.0 (12.0–15.5)/13 | <0.001 | <0.001 |
| Mean/n | 4.9 (3.2–6.0)/522 | 4.4 (2.8–5.8)/406 | 5.7 (5.1–7.2)/116 | 0.014 | 8.9 (6.7–11.3)/621 | 8.0 (6.3–10.0)/469 | 12.7 (9.5–14.8)/152 | <0.001 | <0.001 |
| NAS/n | 4.8 (3.4–5.9)/522 | 4.4 (2.8–5.9)/406 | 5.6 (4.8–7.3)/116 | 0.025 | 8.8 (6.6–11.2)/621 | 8.1 (6.2–9.9)/469 | 12.7 (9.5–1.8)/152 | <0.001 | <0.001 |
| Lactate (mmol/L) | |||||||||
| Initial/n | 0.9 (0.6–1.1)/52 | 0.8 (0.6–1.2)/41 | 1.1 (0.6–1.1)/11 | 0.535 | 1.3 (0.8–2.0)/46 | 1.0 (0.8–1.7)/33 | 1.6 (1.2–3.2)/13 | 0.030 | 0.004 |
| Maximum/n | 1.2 (1.0–1.8)/51 | 1.2 (0.9–1.8)/41 | 1.8 (1.3–2.6)/10 | 0.027 | 1.6 (1.3–2.5)/46 | 1.5 (1.2–2.1)/33 | 2.3 (1.4–3.2/13 | 0.049 | <0.001 |
| Mean/n | 0.9 (0.7–1.2)/506 | 0.9 (0.7–1.1)/389 | 1.2 (1.0–1.5)/117 | 0.003 | 1.1 (0.9–1.5)/620 | 1.0 (0.9–1.3)/470 | 1.4 (1.0–1.8)/150 | 0.047 | 0.005 |
| NAS/n | 1.0 (0.7–1.2)/506 | 0.9 (0.7–1.1)/389 | 1.2 (1.0–1.5)/117 | 0.004 | 1.1 (0.9–1.4)/620 | 1.0 (0.8–1.3)/470 | 1.4 (0.9–1.8)/150 | 0.039 | 0.008 |
| SAH (nmol/L) | |||||||||
| Initial/n | 18.6 (11.6–32.8)/53 | 18.4 (11.5–29.2)/42 | 24.7 (11.6–101.1)/11 | 0.303 | 30.5 (16.5–59.9)/46 | 19.3 (14.2–42.1)/33 | 49.8 (44.0–87.0)/13 | <0.001 | 0.018 |
| Maximum/n | 25.2 (17.4–48.3)/53 | 24.1 (15.9–42.8)/42 | 49.6 (19.7–143.8)/11 | 0.076 | 46.5 (28.6–98.5)/46 | 35.4 (26.7–60.4)/33 | 115.0 (49.7–194.1)/13 | <0.001 | <0.001 |
| Mean/n | 18.9 (12.7–36.5)/609 | 18.6 (12.0–30.0)/467 | 40.9 (12.8–116.4)/142 | 0.177 | 27.8 (20.2–65.2)/639 | 24.3 (18.1–36.3)/480 | 79.1 (35.2–127.0)/159 | <0.001 | 0.002 |
| NAS/n | 18.5 (12.3–36.6)/609 | 18.2 (11.9–30.1)/467 | 40.7 (12.6–118.1)/142 | 0.188 | 27.6 (20.4–65.6)/639 | 24.6 (17.6–36.2)/480 | 81.3 (35.0–127.0)/159 | <0.001 | 0.002 |
| Low BOD (SOFA ≤ 8) | High BOD (SOFA > 8) | |||||||||||
|---|---|---|---|---|---|---|---|---|---|---|---|---|
| Coefficient (Means, SE) | Odds Ratio (95% CI) | p-Value | AUROC (SE) | p-Value | Coefficient (Means, SE) | Odds Ratio (95% CI) | p-Value | AUROC (SE) | p-Value | ∆ AUROC = AUROCHigh BOD − AUROCLow BOD | p-Value | |
| SOFA | ||||||||||||
| Initial | 0.476 (0.239) | 1.609 (1.007–2.571) | 0.047 | 0.701 (0.079) | 0.041 | 0.537 (0.196) | 1.711 (1.165–2.515) | 0.006 | 0.780 (0.071) | 0.003 | 0.078 (0.106) | 0.460 |
| Maximum | 0.276 (0.144) | 1.318 (0.994–1.749) | 0.055 | 0.685 (0.076) | 0.061 | 0.603 (0.197) | 1.828 (1.241–2.691) | 0.002 | 0.815 (0.072) | 0.001 | 0.130 (0.105) | 0.217 |
| Mean | 0.178 (0.126) | 1.195 (0.934–1.529) | 0.157 | 0.741 (0.070) | 0.014 | 0.541 (0.172) | 1.718 (1.228–2.405) | 0.002 | 0.838 (0.066) | <0.001 | 0.097 (0.096) | 0.313 |
| NAS | 0.327 (0.169) | 1.386 (0.996–1.929) | 0.053 | 0.723 (0.073) | 0.024 | 0.540 (0.172) | 1.717 (1.226–2.403) | 0.002 | 0.840 (0.065) | <0.001 | 0.117 (0.098) | 0.229 |
| Lactate | ||||||||||||
| Initial | −0.116 (0.769) | 0.890 (0.197–4.018) | 0.880 | 0.561 (0.092) | 0.538 | 0.517 (0.299) | 1.678 (0.933–3.016) | 0.084 | 0.706 (0.086) | 0.031 | 0.145 (0.126) | 0.248 |
| Maximum | 1.552 (0.645) | 4.721 (1.334–16.71) | 0.016 | 0.718 (0.090) | 0.027 | 0.593 (0.358) | 1.810 (0.897–3.653) | 0.98 | 0.688 (0.091) | 0.050 | −0.031 (0.128) | 0.811 |
| Mean | 4.085 (1.387) | 59.46 (3.924–901.3) | 0.003 | 0.789 (0.082) * | 0.003 | 1.660 (0.877) | 5.262 (0.943–29.349) | 0.058 | 0.689 (0.093) | 0.048 | −0.101 (0.124) | 0.417 |
| NAS | 3.921 (1.382) | 50.46 (3.365–756.9) | 0.005 | 0.789 (0.082) * | 0.004 | 1.728 (0.885) | 5.686 (1.004–32.194) | 0.049 | 0.697 (0.095) | 0.039 | −0.092 (0.124) | 0.461 |
| SAH | ||||||||||||
| Initial | 0.025 (0.011) | 1.025 (1.004–1.047) | 0.019 | 0.602 (0.118) | 0.303 | 0.030 (0.110) | 1.030 (1.008–1.053) | 0.009 | 0.825 (0.061) | 0.001 | 0.223 (0.132) | 0.091 |
| Maximum | 0.010 (0.006) | 1.010 (0.999–1.021) | 0.088 | 0.675 (0.100) | 0.076 | 0.026 (0.008) | 1.026 (1.010–1.043) | 0.002 | 0.837 (0.066) | <0.001 | 0.162 (0.120) | 0.177 |
| Mean | 0.023 (0.009) | 1.023 (1.005–1.041) | 0.012 | 0.633 (0.111) | 0.177 | 0.039 (0.120) | 1.039 (1.015–1.065) | 0.002 | 0.865 (0.057) | <0.001 | 0.232 (0.125) | 0.064 |
| NAS | 0.018 (0.008) | 1.018 (1.002–1.034) | 0.026 | 0.630 (0.111) | 0.188 | 0.039 (0.012) | 1.040 (1.015–1.065) | 0.002 | 0.867 (0.056) | <0.001 | 0.237 (0.124) | 0.056 |
| Low BOD (SOFA ≤ 8) (N = 53) | High BOD (SOFA > 8) (N = 46) | |
|---|---|---|
| Linear Regression (r/p/n/a) | Linear Regression (r/p/n/a) | |
| All (N = 53) | All (N = 46) | |
| Initial | Initial SOFA | |
| Lactate | 0.114/0.414/52/1 | 0.487/<0.001/46/1 |
| SAH | 0.071/0.621/53/1 | 0.615/<0.001/46/1 |
| Maximum | Maximum SOFA | |
| Lactate | 0.202/0.148/52/1 | 0.489/<0.001/46/1 |
| SAH | 0.158/0.254/53/1 | 0.629/<0.001/46/1 |
| Mean | Mean SOFA | |
| Lactate | 0.044/0.740/52/9.5 | 0.493/<0.001/46/13.5 |
| SAH | 0.170/0.220/53/9.8 | 0.684/<0.001/46/13.5 |
| NAS | NAS of SOFA | |
| Lactate | 0.148/0.300/51/9.5 | 0.495/<0.001/46/13.5 |
| SAH | 0.176/0.208/53/9.8 | 0.678/<0.001/46/13.5 |
| Survivors (N = 42) | Survivors (N = 33) | |
| Initial | Initial SOFA | |
| Lactate | 0.077/0.631/41/1 | 0.436/0.011/33/1 |
| SAH | 0.167/0.287/42/1 | 0.420/0.015/33/1 |
| Maximum | Maximum SOFA | |
| Lactate | 0.031/0.845 /41/1 | 0.388/0.026/33/1 |
| SAH | 0.077/0.614/42/1 | 0.281/0.113/33/1 |
| Mean | Mean SOFA | |
| Lactate | 0.151/0.345/41/9.2 | 0.368/0.035/33/14.2 |
| SAH | 0.095/0.548/42/9.7 | 0.170/0.343/33/14.2 |
| NAS | NAS of SOFA | |
| Lactate | 0.070/0.657/40/9.2 | 0.352/0.045/33/14.2 |
| SAH | 0.031/0.852/42/9.7 | 0.161/0.370/33/14.2 |
| Non-survivors (N = 11) | Non-survivors (N = 13) | |
| Initial | Initial SOFA | |
| Lactate | 0.437/0.179/11/1 | 0.427/0.145/13/1 |
| SAH | 0.192/0.178/11/1 | 0.714/0.006/13/1 |
| Maximum | Maximum SOFA | |
| Lactate | 0.246/0.463/11/1 | 0.464/0.110/13/1 |
| SAH | 0.011/0.752/11/1 | 0.628/0.021/13/1 |
| Mean | Mean SOFA | |
| Lactate | 0.411/0.210/11/10.5 | 0.522/0.067/13/11.5 |
| SAH | 0.176/0.603/11/10.5 | 0.861/<0.001/13/11.7 |
| NAS | NAS of SOFA | |
| Lactate | 0.451/0.164/11/10.5 | 0.524/0.066/13/11.5 |
| SAH | 0.252/0.453/11/10.5 | 0.852/<0.001/13/11.7 |
Disclaimer/Publisher’s Note: The statements, opinions and data contained in all publications are solely those of the individual author(s) and contributor(s) and not of MDPI and/or the editor(s). MDPI and/or the editor(s) disclaim responsibility for any injury to people or property resulting from any ideas, methods, instructions or products referred to in the content. |
© 2025 by the authors. Licensee MDPI, Basel, Switzerland. This article is an open access article distributed under the terms and conditions of the Creative Commons Attribution (CC BY) license (https://creativecommons.org/licenses/by/4.0/).
Share and Cite
Centner, F.-S.; Brohm, K.; Mindt, S.; Jaeger, E.; Hahn, B.; Fuderer, T.; Lindner, H.A.; Schneider-Lindner, V.; Krebs, J.; Neumaier, M.; et al. Evaluation of Hypoxia Markers in Critically Ill Patients Categorized by Their Burden of Organ Dysfunction: A Novel Approach to Detect Pathophysiological and Clinical Relevance in a Secondary Analysis of a Prospective Observational Study. Int. J. Mol. Sci. 2025, 26, 659. https://doi.org/10.3390/ijms26020659
Centner F-S, Brohm K, Mindt S, Jaeger E, Hahn B, Fuderer T, Lindner HA, Schneider-Lindner V, Krebs J, Neumaier M, et al. Evaluation of Hypoxia Markers in Critically Ill Patients Categorized by Their Burden of Organ Dysfunction: A Novel Approach to Detect Pathophysiological and Clinical Relevance in a Secondary Analysis of a Prospective Observational Study. International Journal of Molecular Sciences. 2025; 26(2):659. https://doi.org/10.3390/ijms26020659
Chicago/Turabian StyleCentner, Franz-Simon, Kathrin Brohm, Sonani Mindt, Evelyn Jaeger, Bianka Hahn, Tanja Fuderer, Holger A. Lindner, Verena Schneider-Lindner, Joerg Krebs, Michael Neumaier, and et al. 2025. "Evaluation of Hypoxia Markers in Critically Ill Patients Categorized by Their Burden of Organ Dysfunction: A Novel Approach to Detect Pathophysiological and Clinical Relevance in a Secondary Analysis of a Prospective Observational Study" International Journal of Molecular Sciences 26, no. 2: 659. https://doi.org/10.3390/ijms26020659
APA StyleCentner, F.-S., Brohm, K., Mindt, S., Jaeger, E., Hahn, B., Fuderer, T., Lindner, H. A., Schneider-Lindner, V., Krebs, J., Neumaier, M., Thiel, M., & Schoettler, J. J. (2025). Evaluation of Hypoxia Markers in Critically Ill Patients Categorized by Their Burden of Organ Dysfunction: A Novel Approach to Detect Pathophysiological and Clinical Relevance in a Secondary Analysis of a Prospective Observational Study. International Journal of Molecular Sciences, 26(2), 659. https://doi.org/10.3390/ijms26020659

