Next Article in Journal
Ficus lindsayana Leaf Extract Protects C2C12 Mouse Myoblasts Against the Suppressive Effects of Bisphenol-A on Myogenic Differentiation
Next Article in Special Issue
Genome-Wide Identification and Expression Profile Analysis of the NADPH Oxidase Gene Family in Avena sativa L.
Previous Article in Journal
Targeting Metabolic and Epigenetic Vulnerabilities in Glioblastoma with SN-38 and Rabusertib Combination Therapy
Previous Article in Special Issue
The Identification and Characterization of the PeGRF Gene Family in Populus euphratica Oliv. Heteromorphic Leaves Provide a Theoretical Basis for the Functional Study of PeGRF9
 
 
Font Type:
Arial Georgia Verdana
Font Size:
Aa Aa Aa
Line Spacing:
Column Width:
Background:
Article

Methyl Jasmonate Was Involved in Hydrogen Sulfide-Alleviated Cadmium Stress in Cucumber Plants Through ROS Homeostasis and Chlorophyll Metabolism

School of Life Science and Engineering, Southwest University of Science and Technology, Mianyang 621010, China
*
Author to whom correspondence should be addressed.
These authors have contributed equally to this work.
Int. J. Mol. Sci. 2025, 26(2), 475; https://doi.org/10.3390/ijms26020475
Submission received: 25 November 2024 / Revised: 25 December 2024 / Accepted: 6 January 2025 / Published: 8 January 2025
(This article belongs to the Special Issue The Role and Mechanism of Hydrogen Sulfide and ROS in Plants)

Abstract

Cadmium (Cd), as one of the most toxic nonessential elements, severely prohibits plant growth and development. Hydrogen sulfide (H2S) and methyl jasmonate (MeJA) play essential roles in plant response to abiotic stress. However, the potential mechanism of H2S and MeJA in alleviating Cd stress in plants remains unclear. In the current study, the importance and crosstalk of H2S and MeJA in the Cd tolerance of cucumber seedlings have been investigated. Our results revealed that Cd stress obviously prohibited the growth of cucumber seedlings. Optimal concentrations of H2S donor sodium hydrosulfide (NaHS) or MeJA treatment, respectively, or in combination, significantly enhanced seedling growth under Cd stress. However, the positive effects of H2S during seedling growth were obviously reversed by the application of MeJA biosynthesis inhibitors, which implied that MeJA might be involved in the H2S-improved growth of cucumber seedlings under Cd stress. Moreover, Cd stress resulted in the increase in hydrogen peroxide (H2O2), superoxide radical (O2·−) accumulation, and impaired the functioning of the ascorbate–glutathione cycle. Both H2S and MeJA decreased the reactive oxygen species (ROS) level and ameliorated the negative effects of Cd stress through significantly increasing the ratio of ascorbate (AsA)/dehydroascorbic acid (DHA) and reduced glutathione (GSH)/oxidized glutathione (GSSG). Besides that, the expression level of ROS scavenge genes was significantly upregulated by the application of exogenous H2S or MeJA treatment. Moreover, H2S and MeJA significantly enhanced the chlorophyll concentration and inhibited chlorophyll degradation through decreasing the expression levels of chlorophyll catabolic enzymes. Additionally, exogenous H2S and MeJA obviously enhanced the chlorophyll fluorescence. However, MeJA biosynthesis inhibitors significantly suppressed the positive role of H2S. The above results suggested MeJA is involved in H2S-induced Cd stress alleviation in cucumber seedlings through enhancing ROS-scavenge capacity and improving the photosynthesis system.

1. Introduction

Hydrogen sulfide (H2S) has been considered as the third gaseous signaling molecule after nitric oxide and carbon monoxide [1]. In plants, L/D-cysteine desulfhydrase (L/DCD) is considered to be as primarily responsible for generating H2S [2]. Numerous studies have shown that H2S plays an essential role in regulating plant growth and development such as seed germination [3], the rooting process [4], flowering [5], fruit ripening, and senescence [6]. Moreover, emerging evidence has suggested that H2S is involved in the various physiological processes of plants, including stomatal closure [7], photosynthesis [8], and so on. Furthermore, research on the role of H2S in plants has mainly focused on the protective effect against abiotic stress, such as drought stress [9], cold stress [10], salt stress [11], and heavy metal stress [12]. For example, in Trigonella foenum-graecum, exogenous H2S enhanced tolerance to cadmium (Cd) stress through increasing the activities of antioxidant enzymes and modulating polyamine content [13]. Moreover, H2S treatment significantly decreased Cd accumulation and reactive oxygen species (ROS) production in S. matsudana; meanwhile, it restored the redox status of ascorbate (AsA) and reduced glutathione (GSH) through increasing monodehydroascorbate reductase (MDHAR) and dehydroascorbate reductase (DHAR) activities under Cd stress [14]. Furthermore, it has been demonstrated that the exogenous application of H2S significantly alleviated Cd stress by increasing the photosynthesis performance [8]. These results implied that H2S as positive regulator is involved in plant response to Cd stress.
Jasmonic acid (JA) and the related compound methyl jasmonate (MeJA), which are collectively referred to as Jasmonates (JAs), function in regulating plant growth and development, and also emerge as crucial cellular regulators involved in various physiological and biochemical processes, including stress responses, secondary metabolite synthesis, and so on [15,16]. Emerging evidence has shown that MeJA enhances plant tolerance under a variety of abiotic stresses. For example, the application of MeJA increased salt tolerance in okra through regulating endogenous hormones metabolism, osmotic adjustment, the process of photosynthesis, and ROS metabolism [17]. Moreover, exogenous MeJA also improved drought stress tolerance through regulating water use efficiency [18]. Additionally, it has been reported that exogenously applied MeJA alleviated Cd damage by improving the antioxidative ability. For instance, MeJA significantly reduced Cd damage through enhancing S-assimilation and GSH level and subsequently enhanced photosynthesis in mustard [19]. Meanwhile, MeJA could alleviate the Cd toxicity of wheat through enhancing the peroxidase (POD), DHAR, MDHAR, and glutathione reductase (GR) activities and regulating the expression levels of Cd transporter genes [20]. Also, MeJA played a vital role in enhancing the tolerance to cadmium by regulating photosynthesis [21]. Consequently, MeJA plays an essential role in plant growth and abiotic stress response. However, the mechanism of JA signaling in the plant response to abiotic stress still needs further exploration.
Increasing studies have proven that there existed a crosstalk between MeJA and H2S signaling in plants. For example, Deng et al. [22] found that H2S could function as a downstream molecule of JA signaling to inhibit stomatal development of Arabidopsis. Also, the inhibition of MeJA biosynthesis significantly declined the melatonin-induced endogenous H2S production of watermelon [23]. In addition, it has been reported that H2S obviously increases the endogenous JA level through inducing the gene expression of the JA pathway and increases the resistance to soft rot in kiwifruit during storage [24]. Moreover, Yu et al. [25] indicated that H2S could mediate MeJA signaling to alleviating chilling injury in peach. Additionally, Tian et al. [26] found that pretreatment with MeJA significantly reduced Cd damage, and H2S has been proven to participate the MeJA-induced Cd tolerance in foxtail millet. These studies suggested a possible crosstalk between MeJA and H2S signaling in plants. However, the relationship between MeJA and H2S in the enhancement of Cd tolerance in cucumber seedlings is still not clear. In this study, we hypothesis that (1) exogenous H2S or MeJA treatment could mitigate Cd-induced oxidative damage in cucumber seedlings through improving ROS-scavenge capacity and enhancing the photosynthesis system. (2) MeJA is involved in H2S-enhanced Cd stress resistance through regulating ROS homeostasis and chlorophyll metabolism in cucumber seedlings under Cd stress. In order to demonstrate these hypotheses, we provide evidence that MeJA is involved in H2S-enhanced Cd stress resistance in cucumber seedlings in order to improve our understanding of the mechanism of H2S signaling under heavy metal stress.

2. Results

2.1. Cd Stress Inhibited the Growth of Cucumber Seedlings

As shown in Figure 1, different concentrations of cadmium chloride (CdCl2) treatment obviously prohibited the growth of cucumber seedlings. Compared to CK, 100 μM CdCl2 significantly decreased the plant height, leaf area, and fresh weight by 13.5%, 40.0%, and 49.9%, respectively. Moreover, when these seedlings were treated with 200 μM CdCl2, the plant height, stem diameter, leaf area, and fresh weight noticeably declined by 32.2%, 24.4%, 49.5%, and 65.9%, respectively, compared to those of CK. Furthermore, higher concentrations of CdCl2 (500 μM, 800 μM, and 1000 μM) caused a more obvious inhibitory effect on the growth of cucumber seedlings. Therefore, 200 μM CdCl2 was utilized in the following experiments.

2.2. Appropriate Concentrations of H2S and MeJA Improved Seedling Growth Under Cd Stress

In order to evaluate the effect of H2S on the growth of cucumber seedlings under Cd stress, a dose–response experiment with sodium hydrosulfide (NaHS, H2S donor) was performed. As shown in Figure 2, different concentrations of H2S treatments under Cd stress significantly affected the growth of cucumber seedlings. There was no marked difference in plant height and stem diameter among CdCl2, 10 μM H2S, and 50 μM H2S. When 100 μM H2S was applied, the plant height, stem diameter, leaf area, and fresh weight were significantly increased by 27.6%, 36.4%, 41.4%, and 82.5%, respectively, which is comparable to those of Cd stress treatment (Figure 2). However, higher concentrations of H2S (500 μM and 1000 μM) obviously inhibited the seedling growth, implying that the effects of H2S on the growth process of cucumber seedlings under Cd stress were dose-dependent. Thus, since 100 μM H2S achieved the maximum biological effect during the growth of cucumber seedlings under Cd stress, we utilized 100 μM H2S for subsequent experiments.
As shown in Figure 3, the growth of cucumber seedlings was significantly influenced by different concentrations of MeJA treatment. Compared to CdCl2 treatment, 0.1 μM MeJA and 1 μM MeJA obviously increased the stem diameter by 11.9% and 27.7%, respectively (Figure 3B). Moreover, the plant height, stem diameter, leaf area, and fresh weight from 10 μM MeJA treatment increased by 8.4%, 35%, 34.5%, and 11.1%, respectively, compared with those of the CdCl2 treatment. Meanwhile, there were no significant differences in plant height and leaf area between 10 μM MeJA and 50 μM MeJA treatment under Cd stress (Figure 3A,C). However, higher concentrations of MeJA (100 μM and 500 μM) significantly hindered the growth of cucumber. These results indicated that 10 μM MeJA remarkably reversed the adverse effects of Cd stress and improved the growth of cucumber seedlings.

2.3. Effects of MeJA Biosynthesis Inhibitors on the Growth of Cucumber Under Cd Stress

In order to further investigate the relationship between H2S and MeJA in improving the growth of cucumber seedlings under Cd stress, MeJA biosynthesis inhibitors were used in this experiment. As shown in Figure 4, H2S, MeJA, or H2S + MeJA treatment significantly enhanced the seedlings’ growth under Cd stress. However, the plant height, stem diameter, leaf area, and fresh weight, which were treated with ibuprofen (IBU), significantly declined by 70.1%, 64.0%, and 61.9%, respectively, when compared to CdCl2 + H2S treatment (Figure 4). Meanwhile, the MeJA biosynthesis inhibitors diethyldithiocarbamic acid (DIECA) and Salicylhydroxamic acid (SHAM) remarkably inhibited H2S-improved seedlings’ growth under Cd stress, compared to that of the H2S treatment.

2.4. Endogenous Hydrogen Peroxide (H2O2) and Superoxide Radical (O2·−) Level Under Different Treatments

Figure 5 shows that the level of H2O2 and O2·− of cucumber seedlings in the Cd treatment significantly increased compared to those of CK. However, the exogenous application of H2S or MeJA obviously resulted in a reduction in endogenous H2O2 and O2·− level compared with Cd stress alone. Moreover, seedlings treated with H2S + MeJA caused a significant decline in the level of endogenous H2O2 and O2·− compared with those of CdCl2 treatment. However, the endogenous H2O2 and O2·− levels of treatment with MeJA synthesis inhibitors were significantly higher than those of the H2S or MeJA treatment.

2.5. The Ratio of AsA/DHA and GSH/GSSG in Cucumber Seedlings Under Different Treatments

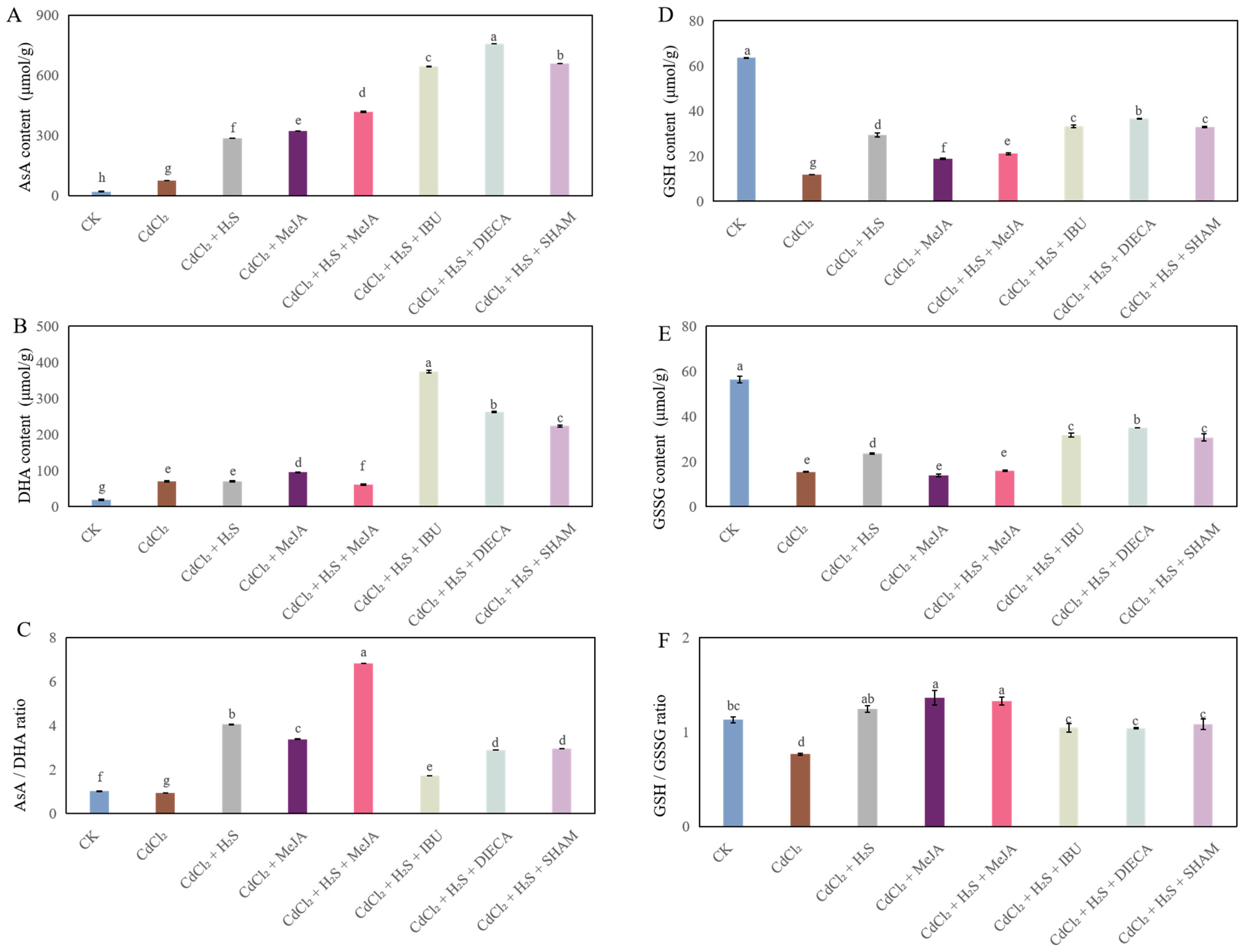
As shown in Figure 6A, compared to the control, Cd stress obviously enhanced the AsA content. However, H2S, MeJA, or H2S + MeJA treatment significantly elevated the level of AsA when compared to that of Cd stress alone. Moreover, the AsA level of these inhibitor treatments is higher than that of H2S, MeJA, or H2S + MeJA treatment. Meanwhile, DHA content when treated with H2S, MeJA or H2S + MeJA is less than that of the IBU, DIECA, or SHAM treatment (Figure 6B). CdCl2 treatment significantly decreased the AsA/DHA ratio, compared with CK. However, compared to Cd stress, the ratio of AsA/DHA remarkably increased when treated with H2S, MeJA, or H2S + MeJA. Besides that, a considerable reduction in the AsA/DHA ratio was observed under H2S + IBU, H2S + DIECA, or H2S + SHAM treatment (Figure 6C). Furthermore, H2S, MeJA, or H2S + MeJA treatment significantly enhanced the GSH content compared to that of the Cd treatment (Figure 6D). Meanwhile, compared to Cd stress, the application of exogenous H2S increased the GSSG content in cucumber seedlings, but there was no significant difference in the GSSG level among the treatments of CdCl2, CdCl2 + MeJA, and H2S + MeJA. The effects of MeJA synthesis inhibitors on the GSSG level followed the same pattern as the effect on the DHA level (Figure 6E). Additionally, the GSH/GSSG ratio of treatment with CdCl2 is less than that of the control (Figure 6F). However, H2S, MeJA, or H2S + MeJA treatment significantly enhanced the ratio of GSH/GSSG; meanwhile, seedlings treated with MeJA synthesis inhibitors exhibited a remarkable decline in the ratio of GSH/GSSG in comparison with H2S, MeJA, or H2S + MeJA treatment (Figure 6F).

2.6. The Expression Level of the ROS Scavenge Genes in Cucumber Seedlings Under Different Treatments

As shown in Figure 7, compared to CK treatment, Cd treatment significantly reduced the expression level of GR, MDHAR, DHAR, ascorbate peroxidase (APX), superoxide dismutase (SOD), catalase (CAT), and POD. However, H2S, MeJA, or H2S + MeJA treatment under Cd stress significantly improved the expression level of these genes, compared to those of the Cd treatment. Nevertheless, treatment with MeJA synthesis inhibitors remarkably down-regulated the transcriptional levels of the ROS scavenge genes compared to those of H2S, MeJA, or H2S + MeJA treatment (Figure 7).

2.7. Chlorophyll Metabolism in Cucumber Seedlings Under Different Treatments

Compared to CK, Cd stress significantly decreased the chlorophyll a (Chl a), chlorophyll b (Chl b), and total chlorophyll (Chl) concentration in leaves of cucumber seedlings. H2S, MeJA, or H2S + MeJA treatment remarkably increased chlorophyll concentration, compared with those of the CdCl2 treatment alone. However, IBU, DIECA, or SHAM treatment obviously decreased the Chl a, Chl b, and total Chl concentration, compared to H2S, MeJA, or H2S + MeJA treatment (Figure 8A–C). Moreover, the relative expression levels of Chl catabolic genes were determined. As shown in Figure 8D–F, Cd stress dramatically up-regulated the expression level of pheophorbide a oxygenase (PAO), red chlorophyll catabolite reductase (RCCR), non-yellow coloring 1 (NYC1). However, the application of exogenous H2S and MeJA markedly decreased the PAO, RCCR, NYC1 expression level compared with that of Cd treatment. Interestingly, IBU, DIECA, or SHAM treatment obviously reversed the effect of H2S on the transcriptional levels of Chl catabolic enzymes (Figure 8D–F).

2.8. Change in Chlorophyll Fluorescence in Cucumber Seedlings Under Different Treatments

As shown in Table 1, compared with CK, Cd stress significantly decreased the values of the maximum quantum yield of PSII (Fv/Fm), the effective quantum yield of PSII (ΦPSII) and photochemical quenching (qP) to 5.56%, 25.68%, and 34.62%, respectively. However, the apparent increase in Fv/Fm, ΦPSII, and qP was observed under H2S, MeJA, or H2S + MeJA treatment, compared to those of the Cd stress conditions. By contrast, the application of MeJA synthesis inhibitors obviously reduced the Fv/Fm, ΦPSII, and qP values. Moreover, CdCl2 treatment remarkably increased the value of non-photochemical quenching (NPQ) compared with that of CK. However, H2S, MeJA, or H2S + MeJA treatment obviously decreased NPQ. On the contrary, seedlings treated with MeJA synthesis inhibitors showed increased NPQ (Table 1).

3. Discussion

Several studies have shown that Cd stress has a significant inhibitory effect on the growth of plant seedlings [27,28]. In our study, Cd stress significantly hindered the growth of cucumber seedlings (Figure 1). A previous study has suggested that exogenous H2S alleviates the Cd stress-induced damage by increasing the activity of antioxidant enzymes and the endogenous polyamine level, as well as decreasing the H2O2 generation and electrolyte leakage of Trigonella foenum-graecum [13]. Moreover, it has been reported that MeJA alleviates the Cd toxicity of wheat seedlings by enhancing the antioxidant defense system and decreasing Cd transport [20]. Our results indicated that exogenous H2S or MeJA had a dose-dependent effect on promoting the growth of cucumber seedlings under Cd stress (Figure 2 and Figure 3). There are several pieces of evidence which imply that there exists a crosstalk between H2S and MeJA during the plant response to abiotic stress [23,26]. For instance, Yu et al. [25] found that H2S served as a downstream signaling pathway for MeJA to alleviate chilling injury in peach fruit. Besides that, Su et al. [23] indicated that H2S signaling relied on MeJA during the melatonin-induced defense response of watermelon. The inhibition of MeJA biosynthesis obviously decreased melatonin-stimulated H2S accumulation. Therefore, in order to further investigate the relationship between H2S and MeJA under Cd stress, cucumber seedlings were treated with MeJA biosynthesis inhibitors. Our results indicated that the application of MeJA biosynthesis inhibitors significantly inhibited the H2S-promoted growth of cucumber seedlings under Cd stress (Figure 4). These results implied that MeJA might be as a downstream signaling molecule of H2S, enhancing the cucumber seedling growth under Cd stress.
Excessive ROS caused oxidative damage to plants under stress conditions. Previous results revealed that Cd treatment significantly elevated the O2·− production rate and endogenous H2O2 content of mulberry leaves [29]. Meanwhile, Ou et al. [27] found that Cd stress increased the ROS production and lipid peroxidation of Platycladus orientalis seedlings. Our results indicated that Cd stress significantly elevated the endogenous H2O2 and O2·− levels, further aggravating the oxidative damage. Conversely, H2S and MeJA significantly reduced the H2O2 and O2·− accumulation (Figure 5). A previous study found that H2S could alleviate oxidative stress through scavenging ROS production [30,31]. Moreover, MeJA treatment decreased H2O2 and O2·− production under abiotic stress [32]. Our results suggested that H2S or MeJA maintain lower ROS levels and alleviate the cell damage caused by stress conditions [31]. However, the application of MeJA inhibitors maintained a higher level of H2O2 and O2·− than those of the H2S treatment (Figure 5), implying that MeJA is involved in H2S-enhanced Cd tolerance of cucumber seedlings.
The ascorbate–glutathione (AsA-GSH) cycle plays an essential role in the antioxidant defense system in plants [33]. The ratios of GSH/GSSG and AsA/DHA indicate the intracellular redox potential, and they are of great importance in the regulation of ROS [34]. Previous research suggested that the toxic impact of Cd stress is accompanied by a reduction in the AsA/DHA ratio in rice leaves [35]. Moreover, the GSH/GSSG ratio of Arabidopsis thaliana under Cd stress conditions was lower than that of the control treatment [36]. Our results revealed that the AsA/DHA and GSH/GSSH ratios significantly decreased under Cd stress (Figure 6), which led to a disturbance of the ROS homeostasis. It has been reported that H2S exerted its antioxidant activity under stress conditions through enhancing the AsA and GSH levels [37]. Moreover, Kaya et al. [38] found that the application of NaHS improved the proportion of AsA/DHA in the wheat plants under salt stress. In addition, a significant rise in the levels of AsA and GSH involved in the AsA-GSH cycle was detected under MeJA treatment under salt stress [17]. In our study, exogenous H2S and MeJA significantly increased the contents of AsA and DHA, along with the AsA/DHA and GSH/GSSH ratios (Figure 6), implying H2S and MeJA have a positive effect on mitigating oxidative damage caused by Cd stress through regulating the AsA-GSH cycle. However, the positive impact of H2S was critically reversed by the application of MeJA inhibitors, which indicated that MeJA may be a downstream signaling molecule of H2S in the regulation of the AsA-GSH cycle of these seedlings under Cd stress. The core enzymes, including ascorbate peroxidase (APX), GR, MDHAR, and DHAR affect the activity of the AsA-GSH cycle through balancing the redox homeostasis under stressful conditions [37]. A previous study found that Cd stress significantly decreased the activities of APX, GR, DHAR, and MDHAR enzymes’ activities [39,40]. Our results showed that Cd treatment significantly down-regulated the transcription levels of GR, MDHAR, DHAR, APX in cucumber seedlings (Figure 7A–D), indicating that Cd stress affected the redox balance and caused oxidative damage during the growth of cucumber plants. A previous study suggested that exogenous H2S enhances the transcript levels of the GR, MDHAR, DHAR, and APX of wheat seedlings under water stress [37]. Moreover, Kaya et al. [38] found that the exogenous application of MeJA increased the activities of AsA-GSH cycle–related enzymes. In our study, exogenous H2S and MeJA, applied singly and jointly, significantly up-regulated the expression levels of genes belongs to the AsA-GSH cycle (Figure 7A–D). However, MeJA inhibitors significantly reversed the positive effect of H2S, which indicated that MeJA played an essential role in the H2S-regulated AsA-GSH cycle under Cd stress. Besides that, significant increases were observed in the expression level of SOD, CAT, and POD, in the leaves of H2S or MeJA treatment, compared to those of CdCl2 treatment; however, MeJA inhibitors obviously prohibited the effect of H2S (Figure 7E–G). These results indicated that MeJA might be involved in an H2S-induced increase in ROS-scavenge capacity under Cd stress.
Cd stress led to the inhibition of photosynthesis, causing the decrease in photosynthetic pigment contents and the photosynthetic capacity of chloroplasts [41]. Previous studies have demonstrated that exogenous H2S alleviates Cd stress through enhancing the photosynthesis performance [8,42]. Moreover, the application of MeJA increases the tolerance to cadmium by regulating the photosynthesis system [21]. In our study, Cd stress significantly decreased the chlorophyll concentration. However, exogenous H2S and MeJA significantly inhibited the decrease in chlorophyll concentration (Figure 8A–C). These results implied that H2S and MeJA could effectively prevent the degradation of chlorophyll in cucumber seedlings under Cd stress. Previous results have demonstrated that Chl a is degraded and then converted to the chlorophyll breakdown products by PAO and RCCR [43,44]. Moreover, Yuan et al. [44] supposed that the low expression level of NYC1 might inhibit the degradation of Chl a. In our study, the application of H2S and MeJA obviously down-regulated the expression level of PAO, RCCR, and NYC1 (Figure 8D–F). Zhu et al. [45] found that exogenous NaHS treatment significantly decreased the PAO expression level for decreasing chlorophyll degradation in celery. Lv et al. [46] found that MeJA treatment significantly decreased the expression levels of MdPAO6, MdPAO8, and MdRCCR2, and also reduced the transcript levels of MdNYC1 for regulating the Chl degradation of apple. Our present results suggested that H2S and MeJA are involved in the regulation of chlorophyll metabolism in cucumber seedlings and significantly prevent the degradation of chlorophyll in cucumber in order to promote photosynthesis under Cd stress. However, MeJA inhibitors had the opposite effects, which implied that endogenous MeJA participated in the H2S-regulated chlorophyll metabolism in cucumber seedlings under Cd stress. Chlorophyll fluorescence is a suitable indicator for estimating the change in the photosynthetic performance affected by different stress conditions [47]. In our study, Cd stress treatment significantly decreased the chlorophyll fluorescence. Nevertheless, H2S and MeJA treatment significantly enhanced the value of Fv/Fm and ΦPSII under Cd stress, implying that exogenous H2S and MeJA could promote electron transport and improve the photochemical efficiency of cucumber seedlings [48]. Moreover, the exogenous application of H2S and MeJA improved qP but decreased the value of NPQ (Table 1), suggesting that H2S or MeJA could increase the photosynthetic activity of cucumber seedlings under Cd stress through regulating the capacity of the heat-dissipation pathway and alleviating the Cd-induced dissipation of damaging excessive energy [49]. Chen et al. [50] indicated that exogenous H2S regulated salt tolerance in Cyclocarya paliurus by maintaining chlorophyll fluorescence. In addition, exogenous MeJA obviously enhanced the photosynthetic capacity in plants [41,51]. Our results revealed that the inhibition of endogenous MeJA might reverse the positive effect of H2S, enhancing the photosynthetic capacity in cucumber seedlings under Cd stress. These findings suggested that MeJA, as a downstream signaling molecule, is involved in the H2S-mediated inhibition of chlorophyll metabolism and the enhancement of photochemical efficiency for improving the tolerance ability of cucumber seedlings under Cd stress.

4. Materials and Methods

4.1. Plant Material and Growth Condition

Cucumbers (Cucumis sativus cv. ‘Xinchun 4’) were used in our experiment. The seeds were surface-sterilized in 5% sodium hypochlorite for 10 min, washed extensively with distilled water, and then germinated on wet filter paper in Petri dishes at 25 °C for 5 days. Subsequently, cucumber seedlings were transferred into 1/2 Hoagland nutrient solution and plants were grown for a period in a climate chamber with a temperature of 25 °C and a relative humidity of 50–60%, with a 14 h photoperiod of 200 µmols−1m−2 light intensity. The nutrient solution was changed every 2 days. When the third leaf had just emerged, the seedlings with similar growth status were selected in our experiment. Each treatment was repeated three times.

4.2. Experiment Design

The cucumber seedlings of uniform growth were collected for the following treatments with different concentrations for 1 week: CdCl2 (Thermo Fisher Scientific, Waltham, MA, USA, 0, 100, 200, 500, 800, 1000 μM), NaHS (Yuanye Bio-Technology Co., Ltd., Shanghai, China, H2S donor, 0, 10, 50, 100, 500, 1000 μM), and MeJA (Solarbio, Beijing, China, 0, 0.1, 1, 10, 50, 100, 500 μM). Moreover, MeJA biosynthesis inhibitors ibuprofen (IBU, Yuanye Bio-Technology Co., Ltd., Shanghai, China, 1mM), diethyldithiocarbamic acid (DIECA, Yuanye Bio-Technology Co., Ltd., Shanghai, China, 5 mM), and Salicylhydroxamic acid (SHAM, Sigma-Aldrich, Saint Louis, MO, USA, 2 mM) were used in our study. The concentrations of MeJA biosynthesis inhibitors were based on the results of a preliminary experiment. After the treatments, the plant height and stem diameter of seedlings were measured by vernier calipers. The leaves were scanned with a scanner and the leaf area was analyzed using the Image J 1.8.0 software. The fresh weight was measured using an electronic scale.

4.3. ROS Measurement

For H2O2 measurement, 0.3 g samples were ground in an ice bath with 5 mL of trichloroacetic acid, followed by centrifugation at 12,000× g for 15min. A total of 1 mL of clear supernatant was added to 1 mL of potassium phosphate buffer and 2 mL of potassium iodide (Hushi, Shanghai, China). The absorbance of the supernatant was measured at 390 nm [52].
For measuring O2·−, the samples were ground with potassium phosphate buffer (pH 7.8), and then centrifuged at 4 °C at 8000× g for 20 min. The supernatant was added to aminobenzene sulfonic acid (Hushi, Shanghai, China) and α-naphthylamine (Yuanye Bio-Technology Co., Ltd., Shanghai, China), and then reacted at 25 °C for 20 min. The absorbance was measured at 530 nm [53].

4.4. Measurement of the Content of AsA, DHA, GSH, GSSG

The content of AsA and DHA were determined as described previously [54] with some modifications. Fresh leaf samples (0.5 g) were homogenized in ice bath with 5% (V/V) metaphosphoric acid (Hushi, Shanghai, China) and centrifuged at 4 °C at 12,000× g for 20 min. Then, the supernatant was used to measure the contents of total ascorbate and AsA. Total ascorbate was measured after incubation in dithiothreitol (Yuanye Bio-Technology Co., Ltd., Shanghai, China) for 10 min. DHA was estimated from the difference in total ascorbate and AsA. GSSG was determined after the removal of GSH by 2-vinylpyridine derivatization. The content of GSH was then estimated by subtracting GSSG from total GSH. The ratios of AsA/DHA and GSH/GSSG were calculated.

4.5. Chlorophyll Content and Chlorophyll Fluorescence Measurement

The 0.3 g samples were ground and extracted with 80% acetone (v/v, Hushi, Shanghai, China). The concentration of chlorophyll a, chlorophyll b, and total chlorophyll content were determined using a spectrophotometer (Shimadzu UV 2550, Kyoto, Japan). The absorbance of samples was recorded at 645 nm and 663 nm [55]. The chlorophyll fluorescence parameters of cucumber leaves were determined using a chlorophyll fluorescence imaging system (Imaging-PAM, Walz, Effeltrich, Germany) at 25 °C. The initial fluorescence yield (Fo), the maximum fluorescence yield (Fm), the effective quantum yield of PSII (ΦPSII), as well as the photochemical quenching (qP) and non-photochemical quenching coefficients (NPQ), were measured after dark adaptation following Genty et al. [56].

4.6. Quantative Real-Time PCR Analysis

In order to investigate the effect of H2S and MeJA on the ROS-scavenge system and the chlorophyll metabolism pathway in cucumber seedlings under Cd stress, the relative expression of genes encoding for ROS-scavenge enzymes and chlorophyll metabolism enzymes were determined. The expression level of the cucumber actin gene was used as an internal control [57]. Total RNA was extracted using the DP419 kit (TianGen, Beijing, China) in accordance with the manufacturer’s instructions. Quantitative real-time PCR experiments were performed using SYBR Green SuperReal PreMix Plus (TianGen, Beijing, China). PCR was initiated at 95 °C for 15 min, followed by 40 cycles of 95 °C for 10 s, and 60 °C for 32 s. The sequences of amplification primers are shown in Table 2. The gene expression was calculated by the 2−ΔΔCT method.

4.7. Statistical Analysis

The data were analyzed by using SPSS V. 23.0. The experiments were performed with three independent replicates. Analysis of variance (ANOVA) was carried out, and a value of p < 0.05 was considered significantly different according to Duncan’s multiple range test.

5. Conclusions

In conclusion, the present study shows that exogenously applied H2S and MeJA promoted the growth of cucumber seedlings under Cd stress through reducing the ROS level and improving the antioxidant content and the relative expression levels of the ROS-scavenge gene, thus maintaining the redox status and alleviating the oxidative damage of cucumber seedlings. Moreover, our results also revealed that MeJA might be used as a downstream molecule of the H2S signaling pathway to protect the photosynthesis system under Cd stress. These results implied that MeJA was involved in H2S-induced Cd stress tolerance in cucumber seedlings. Further research to deepen our understanding of the relationship between H2S and MeJA in alleviating plant stress is needed.

Author Contributions

Conceptualization, L.N. and J.Y.; Data curation, H.Z.; Formal analysis, L.N., H.Z. and Y.Z.; Funding acquisition, L.N. and J.Y.; Investigation, H.Z. and Y.Z.; Methodology, L.N. and H.Z.; Project administration, J.Y.; Resources, J.Y.; Software, Y.T., B.Z. and Q.W.; Supervision, J.Y.; Validation, B.Z.; Visualization, Q.W.; Writing—original draft, L.N. and H.Z.; Writing—review and editing, Y.T. and J.Y. All authors have read and agreed to the published version of the manuscript.

Funding

This research was funded by Natural Science Foundation of Sichuan Provincial Department of Science and Technology (2023NSFSC1244), Doctoral Scientific Fund Project of Southwest University of Science and Technology (20zx7135) and Doctoral Scientific Fund Project of Southwest University of Science and Technology (20zx7132).

Institutional Review Board Statement

Not applicable.

Informed Consent Statement

Not applicable.

Data Availability Statement

Data are contained within the article.

Conflicts of Interest

The authors declare no conflicts of interest.

References

  1. Guo, H.M.; Xiao, T.Y.; Zhou, H.; Xie, Y.J.; Shen, W.B. Hydrogen sulfide: A versatile regulator of environmental stress in plants. Acta Physiol. Plant. 2016, 38, 16. [Google Scholar] [CrossRef]
  2. Jin, Z.P.; Xue, S.W.; Luo, Y.N.; Tian, B.H.; Fang, H.H.; Li, H.; Pei, Y.X. Hydrogen sulfide interacting with abscisic acid in stomatal regulation responses to drought stress in Arabidopsis. Plant Physiol. Bioch. 2013, 62, 41–46. [Google Scholar] [CrossRef]
  3. Zhou, Z.H.; Wang, Y.; Ye, X.Y.; Li, Z.G. Signaling molecule hydrogen sulfide improves seed germination and seedling growth of maize (Zea mays L.) under high temperature by inducing antioxidant system and osmolyte biosynthesis. Front. Plant Sci. 2018, 9, 1288. [Google Scholar] [CrossRef]
  4. Li, H.; Chen, H.Y.; Chen, L.L.; Wang, C.Y. The role of hydrogen sulfide in plant roots during development and in response to abiotic stress. Int. J. Mol. Sci. 2022, 23, 1024. [Google Scholar] [CrossRef] [PubMed]
  5. Ma, X.L.; Zhang, L.P.; Pei, Z.Y.; Zhang, L.L.; Liu, Z.Q.; Liu, D.M.; Hao, X.F.; Jin, Z.P.; Pei, Y.X. Hydrogen sulfide promotes flowering in heading Chinese cabbage by S-sulfhydration of BraFLCs. Hortic. Res. 2021, 8, 19. [Google Scholar] [CrossRef] [PubMed]
  6. Wang, W.; Ni, Z.J.; Thakur, K.; Cao, S.Q.; Wei, Z.J. Recent update on the mechanism of hydrogen sulfide improving the preservation of postharvest fruits and vegetables. Curr. Opin. Food Sci. 2022, 47, 100906. [Google Scholar] [CrossRef]
  7. Scuffi, D.; Álvarez, C.; Laspina, N.; Gotor, C.; Lamattina, L.; García-Mata, C. Hydrogen sulfide generated by L-cysteine desulfhydrase acts upstream of nitric oxide to modulate abscisic acid-dependent stomatal closure. Plant Physiol. 2014, 166, 2065–2076. [Google Scholar] [CrossRef]
  8. Ozfidan-Konakci, C.; Yildiztugay, E.; Elbasan, F.; Kucukoduk, M.; Turkan, I. Hydrogen sulfide (H2S) and nitric oxide (NO) alleviate cobalt toxicity in wheat (Triticum aestivum L.) by modulating photosynthesis, chloroplastic redox and antioxidant capacity. J. Hazard. Mater. 2020, 388, 122061. [Google Scholar] [CrossRef]
  9. Thakur, M.; Anand, A. Hydrogen sulfide: An emerging signaling molecule regulating drought stress response in plants. Physiol. Plantarum. 2021, 172, 1227–1243. [Google Scholar] [CrossRef] [PubMed]
  10. Du, X.Z.; Jin, Z.P.; Liu, D.M.; Yang, G.D.; Pei, Y.X. Hydrogen sulfide alleviates the cold stress through MPK4 in Arabidopsis thaliana. Plant Physiol. Bioch. 2017, 120, 112–119. [Google Scholar] [CrossRef] [PubMed]
  11. Jiang, J.L.; Tian, Y.; Li, L.; Yu, M.; Hou, R.P.; Ren, X.M. H2S alleviates salinity stress in cucumber by maintaining the Na+/K+ balance and regulating H2S metabolism and oxidative stress response. Front. Plant Sci. 2019, 10, 678. [Google Scholar] [CrossRef]
  12. Arif, M.S.; Yasmeen, T.; Abbas, Z.; Ali, S.; Rizwan, M.; Aljarba, N.H.; Alkahtani, S.; Abdel-Daim, M.M. Role of exogenous and endogenous hydrogen sulfide (H2S) on functional traits of plants under heavy metal stresses: A recent perspective. Front. Plant Sci. 2021, 11, 545453. [Google Scholar] [CrossRef] [PubMed]
  13. Javad, S.; Shah, A.A.; Ramzan, M.; Sardar, R.; Javed, T.; Al-Huqail, A.A.; Ali, H.M.; Chaudhry, O.; Yasin, N.A.; Ahmed, S.; et al. Hydrogen sulphide alleviates cadmium stress in Trigonella foenum-graecum by modulating antioxidant enzymes and polyamine content. Plant Biol. 2022, 24, 618–626. [Google Scholar] [CrossRef] [PubMed]
  14. Guo, L.; Ling, L.; Wang, X.Q.; Cheng, T.; Wang, H.Y.; Ruan, Y.Y. Exogenous hydrogen sulfide and methylglyoxal alleviate cadmium-induced oxidative stress in Salix matsudana Koidz by regulating glutathione metabolism. Bmc Plant Biol. 2023, 23, 73. [Google Scholar] [CrossRef] [PubMed]
  15. Wang, J.; Song, L.; Gong, X.; Xu, J.F.; Li, M.H. Functions of jasmonic acid in plant regulation and response to abiotic stress. Int. J. Mol. Sci. 2020, 21, 1446. [Google Scholar] [CrossRef]
  16. Tang, H.; Hu, J.Y.; Zhao, M.; Cao, L.P.; Chen, Y.H. Comparative study of the physiological responses, secondary metabolites and gene expression of medicinal plant Prunella vulgaris L. treated with exogenous methyl jasmonate and salicylic acid. Acta Physiol. Plant. 2023, 45, 20. [Google Scholar] [CrossRef]
  17. Wang, F.B.; Wan, C.Z.; Wu, W.Y.; Zhang, Y.N.; Pan, Y.X.; Chen, X.M.; Li, C.; Pi, J.L.; Wang, Z.X.; Ye, Y.X.; et al. Methyl jasmonate (MeJA) enhances salt tolerance of okra (Abelmoschus esculentus L.) plants by regulating ABA signaling, osmotic adjustment substances, photosynthesis and ROS metabolism. Sci. Hortic. 2023, 319, 112145. [Google Scholar] [CrossRef]
  18. Sheteiwy, M.S.; Gong, D.; Gao, Y.; Pan, R.; Hu, J.; Guan, Y. Priming with methyl jasmonate alleviates polyethylene glycol-induced osmotic stress in rice seeds by regulating the seed metabolic profile. Environ. Exp. Bot. 2018, 153, 236–248. [Google Scholar] [CrossRef]
  19. Per, T.S.; Khan, N.A.; Masood, A.; Fatma, M. Methyl jasmonate alleviates cadmium-induced photosynthetic damages through increased S-assimilation and glutathione production in mustard. Front. Plant Sci. 2016, 7, 1933. [Google Scholar] [CrossRef] [PubMed]
  20. Zhang, D.Z.; Wang, H.R.; Zhang, Y.B.; Su, Z.; Hu, T.Z.; Liu, J.J.; Ding, Q.; Niu, N.; Ma, L.J. Methyl jasmonate enhances the safe production ability of Cd-stressed wheat by regulating the antioxidant capacity, Cd absorption and distribution in wheat. Plant Physiol. Bioch. 2024, 212, 108788. [Google Scholar] [CrossRef]
  21. Wang, F.B.; Wan, C.Z.; Wu, W.Y.; Pan, Y.X.; Cheng, X.M.; Li, C.; Pi, J.L.; Chen, X.H. Exogenous methyl jasmonate (MeJA) enhances the tolerance to cadmium (Cd) stress of okra (Abelmoschus esculentus L.) plants. Plant Cell Tiss. Org. 2023, 155, 907–922. [Google Scholar] [CrossRef]
  22. Deng, G.B.; Zhou, L.J.; Wang, Y.Y.; Zhang, G.S.; Chen, X.L. Hydrogen sulfide acts downstream of jasmonic acid to inhibit stomatal development in Arabidopsis. Planta 2020, 251, 42. [Google Scholar] [CrossRef]
  23. Su, Z.Z.; Lan, Z.X.; Gao, Y.F.; Liu, Y.F.; Shen, J.; Guo, Y.L.; Ma, J.X.; Zhang, Y.; Luan, F.S.; Zhang, X.; et al. Methyl jasmonate-dependent hydrogen sulfide mediates melatonin-induced aphid resistance of watermelon. Food Energy Secur. 2023, 12, e485. [Google Scholar] [CrossRef]
  24. Huang, T.H.; Duan, B.; Zuo, X.X.; Du, H.Y.; Wang, J.; Cai, Z.P.; Shen, Y.G.; Zhang, W.; Chen, J.Y.; Zhu, L.Q.; et al. Hydrogen sulfide enhances kiwifruit resistance to soft rot by regulating jasmonic acid signaling pathway. Plant Physiol. Bioch. 2024, 214, 108880. [Google Scholar] [CrossRef] [PubMed]
  25. Yu, M.M.; Chen, Y.; Zhu, Q.F.; Wu, X.P.; Jiang, S.; Wei, Y.Y.; Ye, J.F.; Xu, F.; Shao, X. Hydrogen sulfide mediated methyl jasmonate-induced cold resistance in peach fruit. Postharvest Biol. Technol. 2024, 210, 112779. [Google Scholar] [CrossRef]
  26. Tian, B.H.; Zhang, Y.J.; Jin, Z.P.; Liu, Z.Q.; Pei, Y.X. Role of hydrogen sulfide in the methyl jasmonate response to cadmium stress in foxtail millet. Front. Biosci. 2017, 22, 530–538. [Google Scholar]
  27. Ou, C.; Cheng, W.H.; Wang, Z.L.; Yao, X.M.; Yang, S.M. Exogenous melatonin enhances Cd stress tolerance in Platycladus orientalis seedlings by improving mineral nutrient uptake and oxidative stress. Ecotox Environ. Safe 2023, 252, 114619. [Google Scholar] [CrossRef]
  28. Ma, Y.; Hu, J.C.; Yu, Y.; Cheng, X.; Du, Y.L.; Zhao, Q.; Du, J.D. Interactive effects of drought and cadmium stress on adzuki bean seedling growth, DNA damage repair and Cd accumulation. Sci. Hortic. 2024, 324, 112624. [Google Scholar] [CrossRef]
  29. Zhang, H.H.; Li, X.; Xu, Z.S.; Wang, Y.W.; Teng, Z.Y.; An, M.J.; Zhang, Y.H.; Zhu, W.X.; Xu, N.B.; Sun, G.Y. Toxic effects of heavy metals Pb and Cd on mulberry (Morus alba L.) seedling leaves: Photosynthetic function and reactive oxygen species (ROS) metabolism responses. Ecotox Environ. Safe 2020, 195, 110469. [Google Scholar]
  30. Chen, Z.; Chen, M.S.; Jiang, M. Hydrogen sulfide alleviates mercury toxicity by sequestering it in roots or regulating reactive oxygen species productions in rice seedlings. Plant Physiol. Bioch. 2017, 111, 179–192. [Google Scholar] [CrossRef]
  31. Qi, Q.; Guo, Z.L.; Liang, Y.L.; Li, K.Z.; Xu, H.N. Hydrogen sulfide alleviates oxidative damage under excess nitrate stress through MAPK/NO signaling in cucumber. Plant Physiol. Bioch. 2019, 135, 1–8. [Google Scholar] [CrossRef]
  32. Sehar, Z.; Fatma, M.; Khan, S.; Mir, I.R.; Abdi, G.; Khan, N.A. Melatonin influences methyl jasmonate-induced protection of photosynthetic activity in wheat plants against heat stress by regulating ethylene-synthesis genes and antioxidant metabolism. Sci. Rep. 2023, 13, 7468. [Google Scholar] [CrossRef]
  33. Avashthi, H.; Pathak, R.K.; Pandey, N.; Arora, S.; Mishra, A.K.; Gupta, V.K.; Ramteke, P.W.; Kumar, A. Transcriptome-wide identification of genes involved in Ascorbate–Glutathione cycle (Halliwell–Asada pathway) and related pathway for elucidating its role in antioxidative potential in finger millet (Eleusine coracana L.). 3 Biotech 2018, 8, 499. [Google Scholar] [CrossRef]
  34. Asada, K. Production and action of active oxygen species in photosynthetic tissue. Causes of photooxidative stress and amelioration of defense system in plants. CRC Press. 2019, 77–104. [Google Scholar]
  35. Chao, Y.Y.; Hong, C.Y.; Kao, C.H. The decline in ascorbic acid content is associated with cadmium toxicity of rice seedlings. Plant Physiol. Bioch. 2010, 48, 374–381. [Google Scholar] [CrossRef]
  36. Semane, B.; Cuypers, A.; Smeets, K.; Van Belleghem, F.; Horemans, N.; Schat, H.; Vangronsveld, J. Cadmium responses in Arabidopsis thaliana: Glutathione metabolism and antioxidative defence system. Physiol. Plantarum. 2007, 129, 519–528. [Google Scholar] [CrossRef]
  37. Shan, C.J.; Wang, B.S.; Sun, H.L.; Gao, S.; Li, H. H2S induces NO in the regulation of AsA-GSH cycle in wheat seedlings by water stress. Protoplasma 2020, 257, 1487–1493. [Google Scholar] [CrossRef]
  38. Kaya, C.; Ugurlar, F.; Ashraf, M.; Alam, P.; Ahmad, P. Nitric oxide and hydrogen sulfide work together to improve tolerance to salinity stress in wheat plants by upraising the AsA-GSH cycle. Plant Physiol. Bioch. 2023, 194, 651–663. [Google Scholar] [CrossRef] [PubMed]
  39. Verma, N.; Prasad, S.M. Modulation of AsA-GSH cycle by exogenous nitric oxide and hydrogen peroxide to minimize the Cd-induced damages in photosynthetic cyanobacteria. Plant Stress 2023, 10, 100269. [Google Scholar] [CrossRef]
  40. Ulhassan, Z.; Gill, R.A.; Huang, H.F.; Ali, S.; Mwamba, T.M.; Ali, B.; Huang, Q.; Hamid, Y.; Khan, A.R.; Wang, J.; et al. Selenium mitigates the chromium toxicity in Brassicca napus L. by ameliorating nutrients uptake, amino acids metabolism and antioxidant defense system. Plant Physiol. Bioch. 2019, 145, 142–152. [Google Scholar] [CrossRef]
  41. Qiu, X.; Xu, Y.H.; Xiong, B.; Dai, L.; Huang, S.J.; Dong, T.T.; Sun, G.C.; Liao, L.; Deng, Q.X.; Wang, X.; et al. Effects of exogenous methyl jasmonate on the synthesis of endogenous jasmonates and the regulation of photosynthesis in citrus. Physiol. Plantarum. 2020, 170, 398–414. [Google Scholar] [CrossRef] [PubMed]
  42. Cui, Q.L.; Liu, D.D.; Chen, H.S.; Qiu, T.Y.; Zhao, S.L.; Duan, C.J.; Cui, Y.X.; Zhu, X.Z.; Chao, H.R.; Wang, Y.H.; et al. Synergistic interplay between Azospirillum brasilense and exogenous signaling molecule H2S promotes Cd stress resistance and growth in pak choi (Brassica chinensis L.). J. Hazard. Mater. 2023, 444, 130425. [Google Scholar] [CrossRef] [PubMed]
  43. Christ, B.; Egert, A.; Süssenbacher, I.; Kräutler, B.; Bartels, D.; Peters, S.; Hörtensteiner, S. Water deficit induces chlorophyll degradation via the ‘PAO/phyllobilin’ pathway in leaves of homoio—(Craterostigma pumilum) and poikilochlorophyllous (Xerophyta viscosa) resurrection plants. Plant Cell Environ. 2014, 37, 2521–2531. [Google Scholar] [CrossRef] [PubMed]
  44. Yuan, R.N.; Shu, S.; Guo, S.R.; Sun, J.; Wu, J.Q. The positive roles of exogenous putrescine on chlorophyll metabolism and xanthophyll cycle in salt-stressed cucumber seedlings. Photosynthetica 2018, 56, 557–566. [Google Scholar] [CrossRef]
  45. Zhu, Z.P.; Yu, J.X.; Qiao, X.H.; Yu, Z.F.; Xiong, A.S.; Sun, M. Hydrogen sulfide delays yellowing and softening, inhibits nutrient loss in postharvest celery. Sci. Hortic. 2023, 315, 111991. [Google Scholar] [CrossRef]
  46. Lv, J.Y.; Zhang, Y.Z.; Tang, W.J.; Chen, J.X.; Ge, Y.H.; Li, J.R. Concentration-dependent impacts of exogenous methyl jasmonate (MeJA) on chlorophyll degradation of apple fruit during ripening. Postharvest Biol. Technol. 2023, 203, 112398. [Google Scholar] [CrossRef]
  47. Ma, Y.L.; Wang, H.F.; Wang, P.; Yu, C.G.; Luo, S.Q.; Zhang, Y.F.; Xie, Y.F. Effects of cadmium stress on the antioxidant system and chlorophyll fluorescence characteristics of two Taxodium clones. Plant Cell Rep. 2018, 37, 1547–1555. [Google Scholar] [CrossRef] [PubMed]
  48. Zhang, X.H.; Liu, Y.H.; Liu, Q.; Zong, B.; Yuan, X.P.; Sun, H.; Wang, J.; Zang, L.; Xu, Y.; Ma, Z.Z.; et al. Nitric oxide is involved in abscisic acid-induced photosynthesis and antioxidant system of tall fescue seedlings response to low-light stress. Environ. Exp. Bot. 2018, 155, 226–238. [Google Scholar] [CrossRef]
  49. Khoshbakht, D.; Asghari, M.R.; Haghighi, M. Effects of foliar applications of nitric oxide and spermidine on chlorophyll fluorescence, photosynthesis and antioxidant enzyme activities of citrus seedlings under salinity stress. Photosynthetica 2018, 56, 1313–1325. [Google Scholar] [CrossRef]
  50. Chen, P.; Yang, W.X.; Wen, M.X.; Jin, S.H.; Liu, Y. Hydrogen sulfide alleviates salinity stress in Cyclocarya paliurus by maintaining chlorophyll fluorescence and regulating nitric oxide level and antioxidant capacity. Plant Physiol. Bioch. 2021, 167, 738–747. [Google Scholar] [CrossRef]
  51. Fatma, M.; Iqbal, N.; Sehar, Z.; Alyemeni, M.N.; Kaushik, P.; Khan, N.A.; Ahmad, P. Methyl jasmonate protects the PS II system by maintaining the stability of chloroplast D1 protein and accelerating enzymatic antioxidants in heat-stressed wheat plants. Antioxidants 2021, 10, 1216. [Google Scholar] [CrossRef] [PubMed]
  52. Nandagopal, J.T.; Harinarayanan, U.D.; Raghavan, S.; Girija, S. Foliar selenium application mitigates low-temperature stress in chilli (Capsicum annuum L.) seedlings. Energy Nexus 2022, 6, 100079. [Google Scholar] [CrossRef]
  53. Jiang, M.Y.; Zhang, J.H. Effect of abscisic acid on active oxygen species, antioxidative defence system and oxidative damage in leaves of maize seedlings. Plant Cell Physiol. 2001, 42, 1265–1273. [Google Scholar] [CrossRef]
  54. Hodges, D.M.; Andrews, C.J.; Johnson, D.A.; Hamilton, R.I. Antioxidant compound responses to chilling stress in differentially sensitive inbred maize lines. Physiol. Plantarum. 1996, 98, 685–692. [Google Scholar] [CrossRef]
  55. Mohammadi, H.; Kazemi, Z.; Aghaee, A.; Hazrati, S.; Golzari Dehno, R.; Ghorbanpour, M. Unraveling the influence of TiO2 nanoparticles on growth, physiological and phytochemical characteristics of Mentha piperita L. in cadmium-contaminated soil. Sci. Rep. 2023, 13, 22280. [Google Scholar] [CrossRef] [PubMed]
  56. Genty, B.; Briantais, J.M.; Baker, N.R. The relationship between the quantum yield of photosynthetic electron transport and quenching of chlorophyll fluorescence. Bba-Gen. Subjects 1989, 990, 87–92. [Google Scholar] [CrossRef]
  57. Wang, B.L.; Zhang, J.L.; Xia, X.Z.; Zhang, W.H. Ameliorative effect of brassinosteroid and ethylene on germination of cucumber seeds in the presence of sodium chloride. Plant Growth Regul. 2011, 65, 407–413. [Google Scholar] [CrossRef]
Figure 1. The effect of cadmium chloride (CdCl2) at different concentrations on the plant height (A), stem diameter (B), leaf area (C), and fresh weight (D) of cucumber seedlings. Photographs (E) were taken after 7 days of the treatment indicated. Bars with different letters are significantly different at p < 0.05 according to Duncan’s multiple range test.
Figure 1. The effect of cadmium chloride (CdCl2) at different concentrations on the plant height (A), stem diameter (B), leaf area (C), and fresh weight (D) of cucumber seedlings. Photographs (E) were taken after 7 days of the treatment indicated. Bars with different letters are significantly different at p < 0.05 according to Duncan’s multiple range test.
Ijms 26 00475 g001
Figure 2. The effects of hydrogen sulfide (H2S) at different concentrations on the plant height (A), stem diameter (B), leaf area (C), and fresh weight (D) of cucumber seedlings under Cd stress. Photographs (E) were taken after 7 days of the treatment indicated. Bars with different letters are significantly different at p < 0.05 according to Duncan’s multiple range test.
Figure 2. The effects of hydrogen sulfide (H2S) at different concentrations on the plant height (A), stem diameter (B), leaf area (C), and fresh weight (D) of cucumber seedlings under Cd stress. Photographs (E) were taken after 7 days of the treatment indicated. Bars with different letters are significantly different at p < 0.05 according to Duncan’s multiple range test.
Ijms 26 00475 g002
Figure 3. The effect of methyl jasmonate (MeJA) at different concentrations on the plant height (A), stem diameter (B), leaf area (C), and fresh weight (D) of cucumber seedlings under Cd stress. Photographs (E) were taken after 7 days of the treatment indicated. Bars with different letters are significantly different at p < 0.05 according to Duncan’s multiple range test.
Figure 3. The effect of methyl jasmonate (MeJA) at different concentrations on the plant height (A), stem diameter (B), leaf area (C), and fresh weight (D) of cucumber seedlings under Cd stress. Photographs (E) were taken after 7 days of the treatment indicated. Bars with different letters are significantly different at p < 0.05 according to Duncan’s multiple range test.
Ijms 26 00475 g003
Figure 4. The effects of methyl jasmonate (MeJA) biosynthesis inhibitors on the plant height (A), stem diameter (B), leaf area (C), and fresh weight (D) of cucumber seedlings under Cd stress. Photographs (E) were taken after 7 days of the treatment indicated. Bars with different letters are significantly different at p < 0.05 according to Duncan’s multiple range test.
Figure 4. The effects of methyl jasmonate (MeJA) biosynthesis inhibitors on the plant height (A), stem diameter (B), leaf area (C), and fresh weight (D) of cucumber seedlings under Cd stress. Photographs (E) were taken after 7 days of the treatment indicated. Bars with different letters are significantly different at p < 0.05 according to Duncan’s multiple range test.
Ijms 26 00475 g004
Figure 5. The effects of H2S and MeJA on the endogenous hydrogen peroxide (H2O2, (A)) and superoxide radical (O2·−, (B)) level of cucumber seedlings under Cd stress. Bars with different letters are significantly different at p < 0.05 according to Duncan’s multiple range test.
Figure 5. The effects of H2S and MeJA on the endogenous hydrogen peroxide (H2O2, (A)) and superoxide radical (O2·−, (B)) level of cucumber seedlings under Cd stress. Bars with different letters are significantly different at p < 0.05 according to Duncan’s multiple range test.
Ijms 26 00475 g005
Figure 6. The effects of H2S and MeJA on the content of ascorbate (AsA, (A)), dehydroascorbic acid (DHA, (B)), the ratio of AsA/DHA (C), reduced glutathione (GSH, (D)), oxidized glutathione (GSSG, (E)), and the ratio of GSH/GSSG (F) in cucumber seedlings under Cd stress. Bars with different letters are significantly different at p < 0.05 according to Duncan’s multiple range test.
Figure 6. The effects of H2S and MeJA on the content of ascorbate (AsA, (A)), dehydroascorbic acid (DHA, (B)), the ratio of AsA/DHA (C), reduced glutathione (GSH, (D)), oxidized glutathione (GSSG, (E)), and the ratio of GSH/GSSG (F) in cucumber seedlings under Cd stress. Bars with different letters are significantly different at p < 0.05 according to Duncan’s multiple range test.
Ijms 26 00475 g006
Figure 7. The effects of H2S and MeJA on the expression level of glutathione reductase (GR, (A)), monodehydroascorbate reductase (MDHAR, (B)), dehydroascorbate reductase (DHAR, (C)), ascorbate peroxidase (APX, (D)), superoxide dismutase (SOD, (E)), catalase (CAT, (F)), peroxidase (POD, (G)) in cucumber seedlings under Cd stress. Bars with different letters are significantly different at p < 0.05 according to Duncan’s multiple range test.
Figure 7. The effects of H2S and MeJA on the expression level of glutathione reductase (GR, (A)), monodehydroascorbate reductase (MDHAR, (B)), dehydroascorbate reductase (DHAR, (C)), ascorbate peroxidase (APX, (D)), superoxide dismutase (SOD, (E)), catalase (CAT, (F)), peroxidase (POD, (G)) in cucumber seedlings under Cd stress. Bars with different letters are significantly different at p < 0.05 according to Duncan’s multiple range test.
Ijms 26 00475 g007
Figure 8. The effects of H2S and MeJA on the chlorophyll a concentration (A), chlorophyll b concentration (B), total chlorophyll concentration (C) and the expression levels of pheophorbide a oxygenase (PAO, (D)), red chlorophyll catabolite reductase (RCCR, (E)), non-yellow coloring 1(NYC1, (F)) in cucumber seedlings under Cd stress. Bars with different letters are significantly different at p < 0.05 according to Duncan’s multiple range test.
Figure 8. The effects of H2S and MeJA on the chlorophyll a concentration (A), chlorophyll b concentration (B), total chlorophyll concentration (C) and the expression levels of pheophorbide a oxygenase (PAO, (D)), red chlorophyll catabolite reductase (RCCR, (E)), non-yellow coloring 1(NYC1, (F)) in cucumber seedlings under Cd stress. Bars with different letters are significantly different at p < 0.05 according to Duncan’s multiple range test.
Ijms 26 00475 g008
Table 1. Chlorophyll fluorescence changes in leaves of cucumber seedlings under Cd stress.
Table 1. Chlorophyll fluorescence changes in leaves of cucumber seedlings under Cd stress.
TreatmentsThe Maximum Quantum Yield of PSII
(Fv/Fm)
Effective Quantum Yield of PSII
(φPSII)
Photochemical Quenching
(qP)
Non-Photochemical Quenching
(NPQ)
CK0.72 a0.74 a0.78 a0.24 c
CdCl20.68 c0.55 c0.51 c0.52 b
CdCl2 + H2S0.71 a0.65 b0.68 b0.26 c
CdCl2 + MeJA0.71 b0.63 b0.66 b0.26 c
CdCl2 + H2S + MeJA0.72 a0.64 b0.70 b0.36 c
CdCl2 + H2S + IBU0.69 c0.56 c0.49 c0.53 b
CdCl2 + H2S + DIECA0.68 c0.44 d0.47 c0.74 a
CdCl2 + H2S + SHAM0.69 c0.56 c0.51 c0.50 b
Different letters in the same column indicate significant differences among the treatment (p < 0.05).
Table 2. Sequences of primers used for this study.
Table 2. Sequences of primers used for this study.
GeneForward PrimerReverse Primer
ActinTTGAATCCCAAGGCGAATAGTGCGACCACTGGCATAAAG
GRTGCGAAGTGTTACAAGGCGAAGAAACTTTGACACATCGAGACG
MDHARACAGCCTTCTTCTGTTGCCTTCAGCTCTATTGTCGTTGGCGAAATCCG
DHARATGTCGGGCTCCAGA ATCCAACCAAAAGCGAGGAATTGGAAGGAAGGT
APXTCACACATTGGGTAGGGCACTGCCTTGTCTGATGCCAACT
SODGCTGATGGAGTAGCAGAGGCCCAATCTTCCACCCGCATTG
CATACTTTA AGGAGCCCGGAGAGAGCGGATAAATCGTTCCTGCCTGTC
PODTTGTGATGGGTCGGTGCTACTGTCCTGATGCCAAGGTGAC
PAOGGGCATTGAAAACTGGAAGATTACTTGGCGATCAAAAATGG
RCCRTTCGAGTATGGGTAGACGAAATCTTGGCAAACTAGAACCC
NYC1TGATGATATGTTGCCGAGAGAGTTCTGCCTGTAACGACTT
Disclaimer/Publisher’s Note: The statements, opinions and data contained in all publications are solely those of the individual author(s) and contributor(s) and not of MDPI and/or the editor(s). MDPI and/or the editor(s) disclaim responsibility for any injury to people or property resulting from any ideas, methods, instructions or products referred to in the content.

Share and Cite

MDPI and ACS Style

Niu, L.; Zhao, H.; Tang, Y.; Zhu, B.; Zhao, Y.; Wang, Q.; Yu, J. Methyl Jasmonate Was Involved in Hydrogen Sulfide-Alleviated Cadmium Stress in Cucumber Plants Through ROS Homeostasis and Chlorophyll Metabolism. Int. J. Mol. Sci. 2025, 26, 475. https://doi.org/10.3390/ijms26020475

AMA Style

Niu L, Zhao H, Tang Y, Zhu B, Zhao Y, Wang Q, Yu J. Methyl Jasmonate Was Involved in Hydrogen Sulfide-Alleviated Cadmium Stress in Cucumber Plants Through ROS Homeostasis and Chlorophyll Metabolism. International Journal of Molecular Sciences. 2025; 26(2):475. https://doi.org/10.3390/ijms26020475

Chicago/Turabian Style

Niu, Lijuan, Haixia Zhao, Yunlai Tang, Bo Zhu, Yanshuo Zhao, Qian Wang, and Jian Yu. 2025. "Methyl Jasmonate Was Involved in Hydrogen Sulfide-Alleviated Cadmium Stress in Cucumber Plants Through ROS Homeostasis and Chlorophyll Metabolism" International Journal of Molecular Sciences 26, no. 2: 475. https://doi.org/10.3390/ijms26020475

APA Style

Niu, L., Zhao, H., Tang, Y., Zhu, B., Zhao, Y., Wang, Q., & Yu, J. (2025). Methyl Jasmonate Was Involved in Hydrogen Sulfide-Alleviated Cadmium Stress in Cucumber Plants Through ROS Homeostasis and Chlorophyll Metabolism. International Journal of Molecular Sciences, 26(2), 475. https://doi.org/10.3390/ijms26020475

Note that from the first issue of 2016, this journal uses article numbers instead of page numbers. See further details here.

Article Metrics

Back to TopTop