The Effects of the Light Spectral Composition on the Development of Olive Tree Varieties Mediated by Photoreceptors
Abstract
1. Introduction
2. Results
2.1. Physiological Phenotyping of Light Quality Response on Olive Cultivars
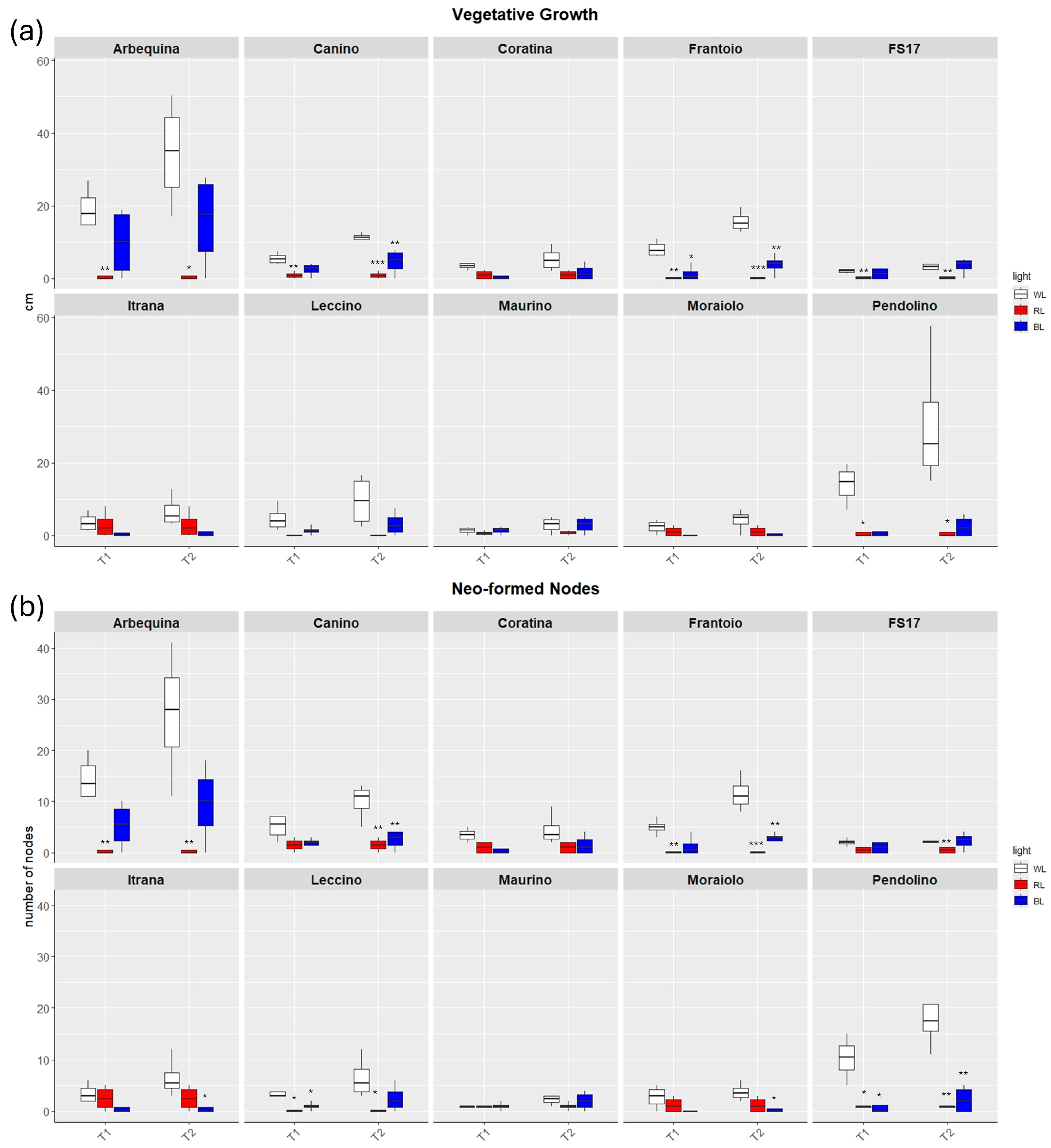
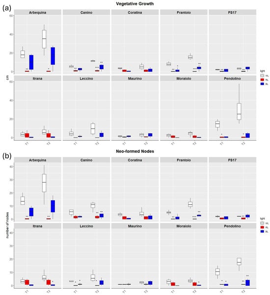
2.1.1. Growth Responses Mediated by Blue and Red Lights
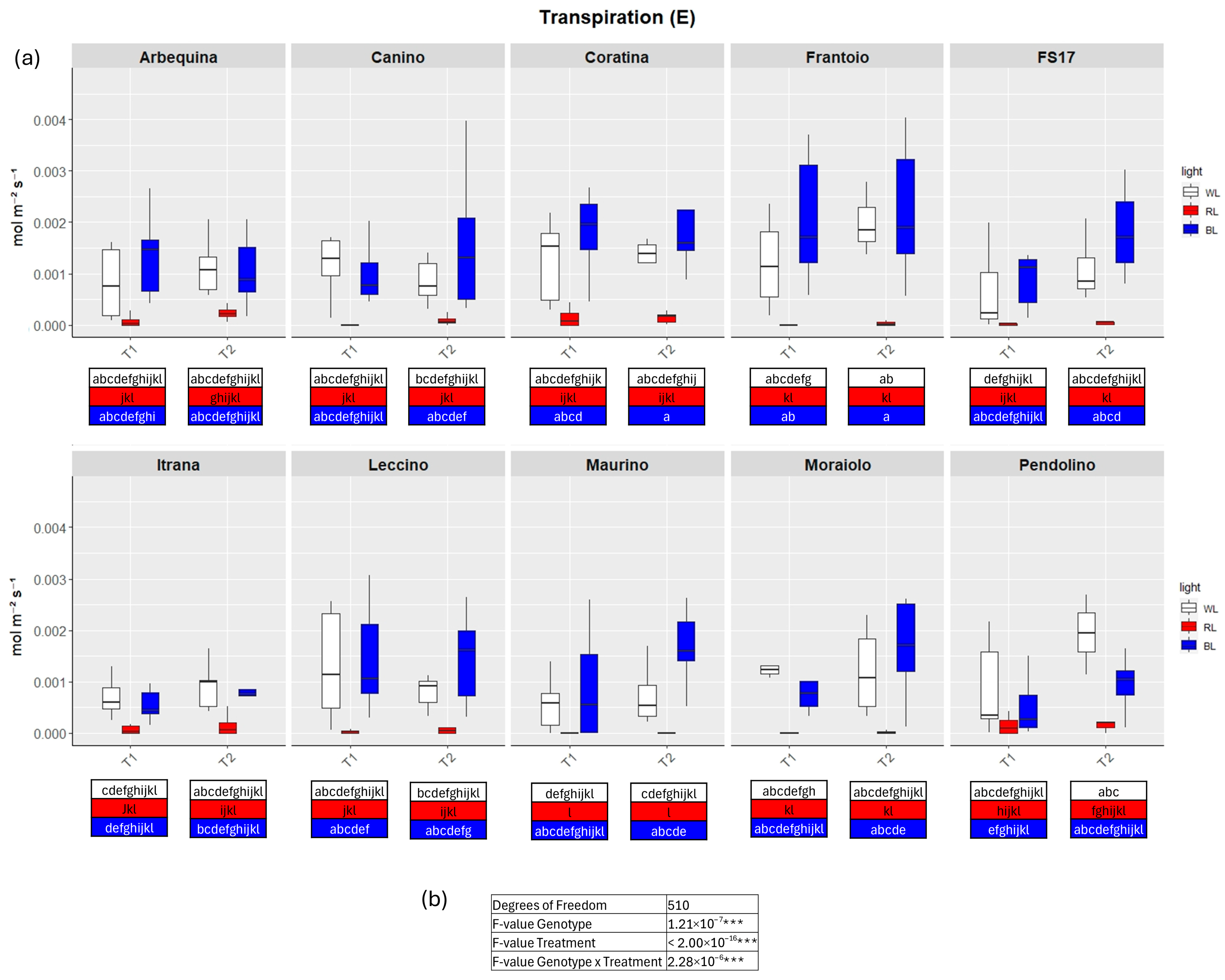
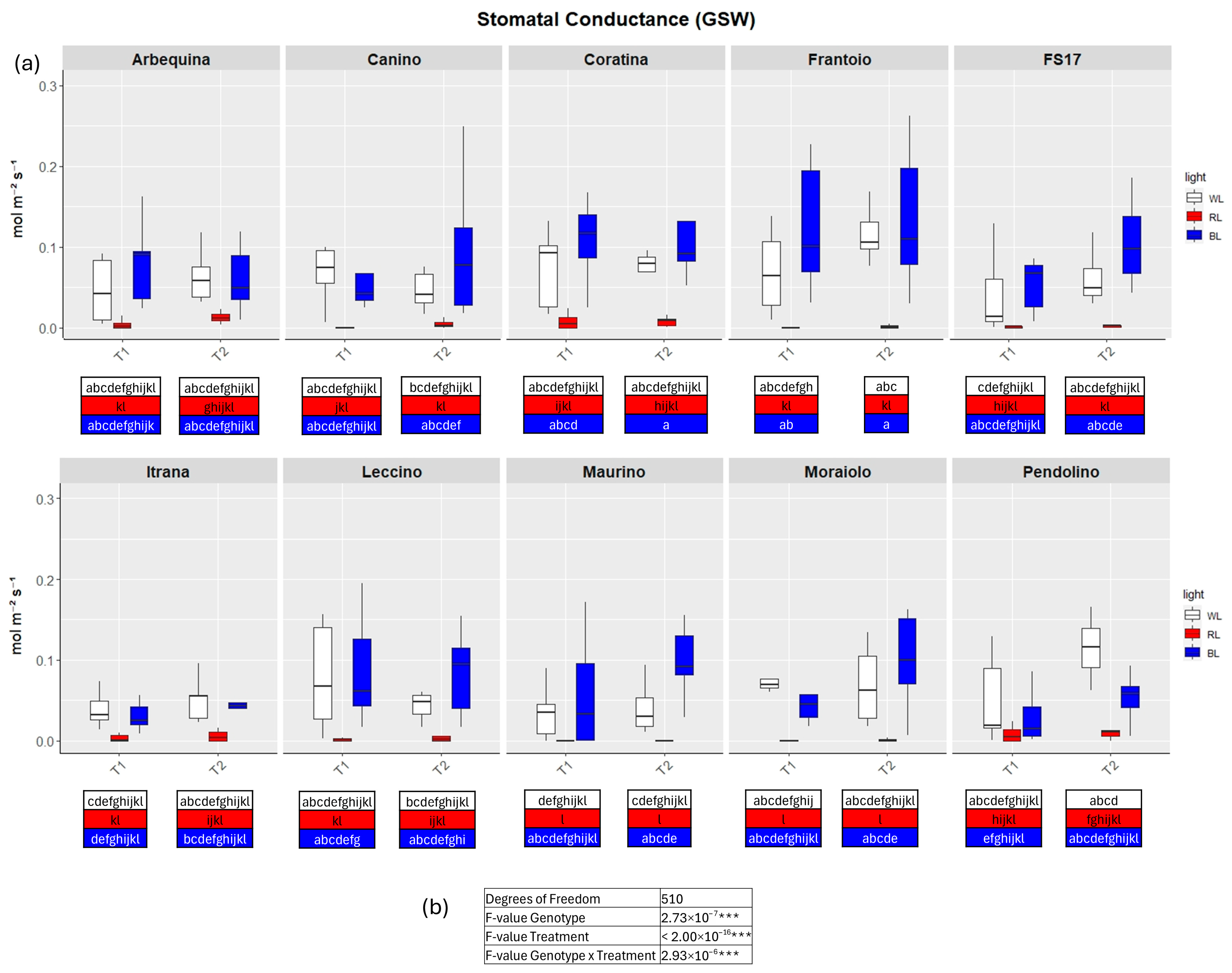
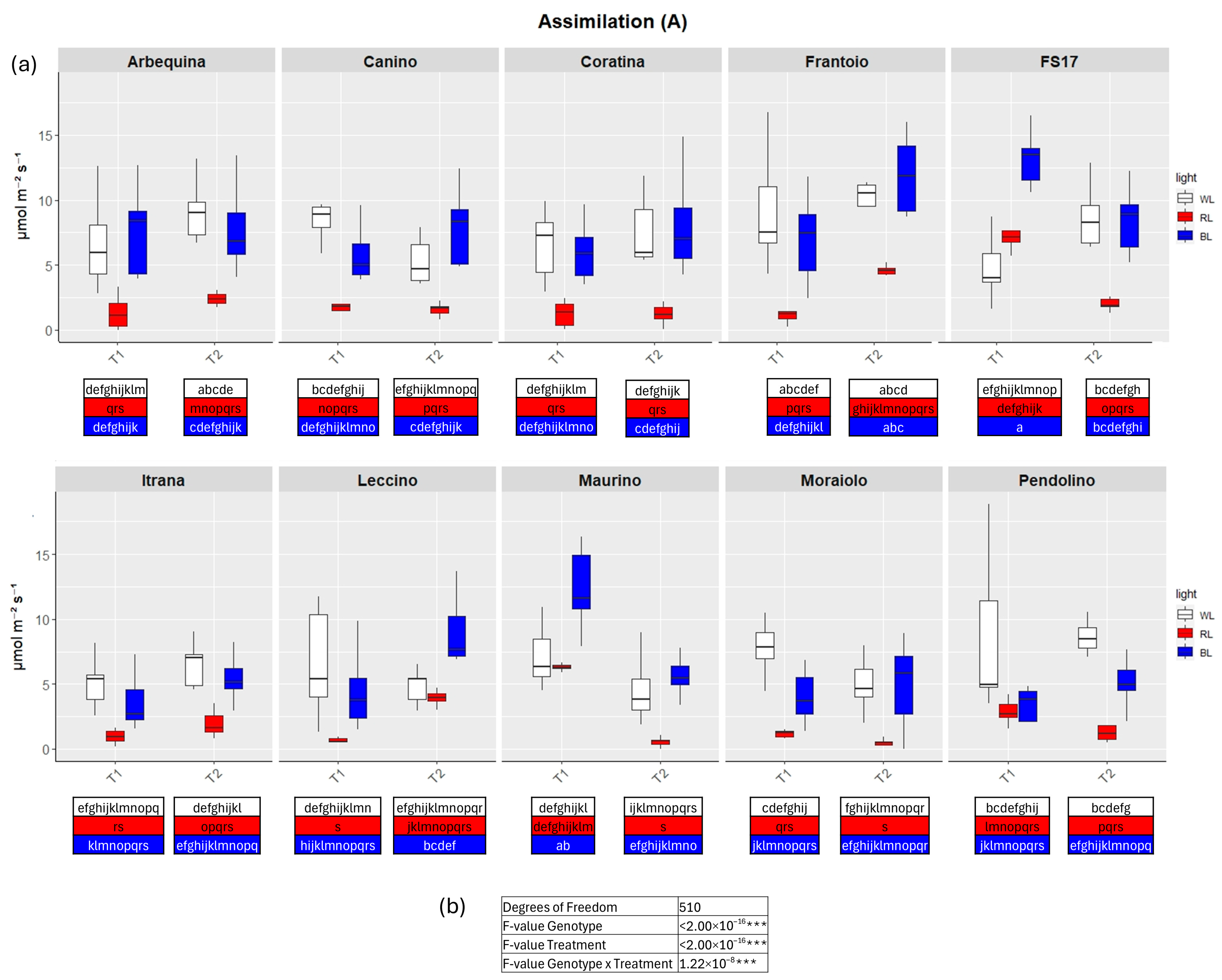
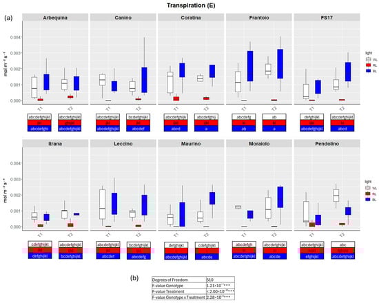
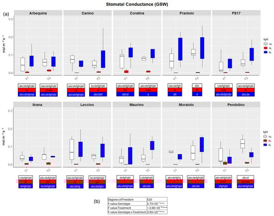
2.1.2. Quantification of Photosynthetic Efficiency Affected by Light Quality
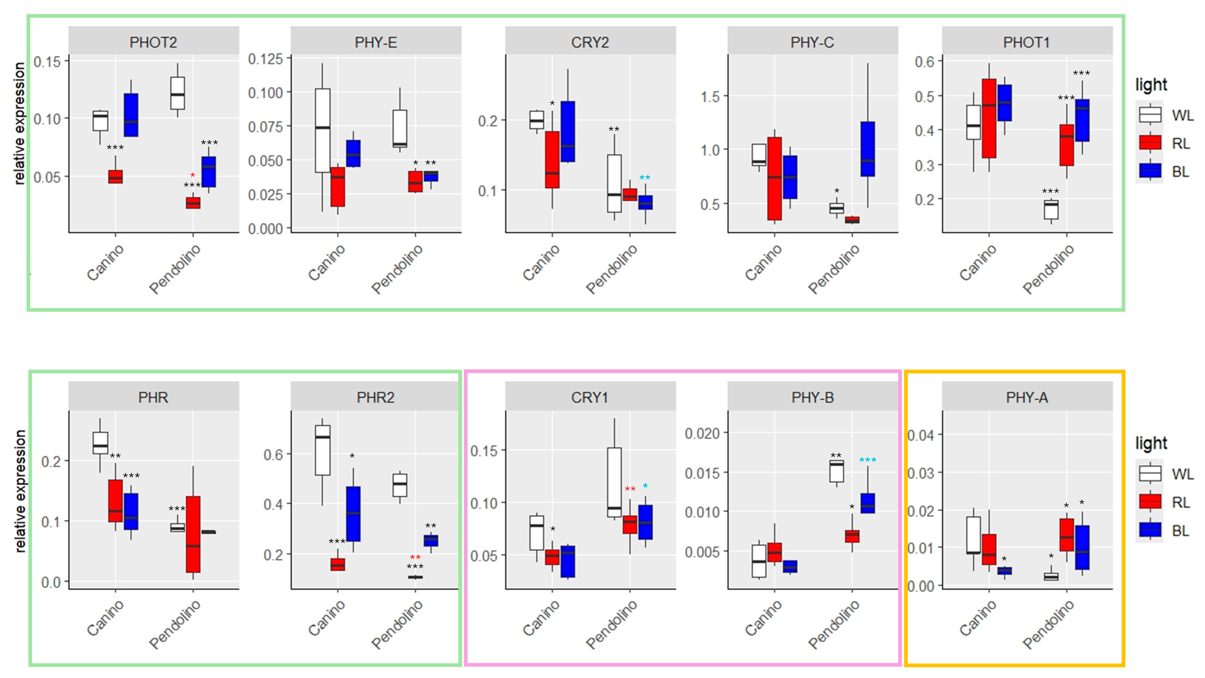
2.2. Gene Expression Analysis of Photoreceptors in Contrasting Light-Responsive Cultivars
3. Discussion
4. Materials and Methods
4.1. Plant Material
4.2. Phenotypic Evaluations
4.3. Physiological Data Evaluation
4.4. Quantitative RT-PCR
5. Conclusions
Supplementary Materials
Author Contributions
Funding
Data Availability Statement
Acknowledgments
Conflicts of Interest
References
- Santos-Antunes, F.; León, L.; de la Rosa, R.; Alvarado, J.; Mohedo, A.; Trujillo, I.; Rallo, L. The Length of the Juvenile Period in Olive as Influenced by Vigor of the Seedlings and the Precocity of the Parents. HortSci 2005, 40, 1213–1215. [Google Scholar] [CrossRef]
- Salimonti, A.; Forgione, I.; Sirangelo, T.M.; Puccio, G.; Mauceri, A.; Mercati, F.; Sunseri, F.; Carbone, F. A Complex Gene Network Mediated by Ethylene Signal Transduction TFs Defines the Flower Induction and Differentiation in Olea europaea L. Genes 2021, 12, 545. [Google Scholar] [CrossRef]
- Arbonés Florensa, A.; Pascual Roca, M.; Rufat Lamarca, J. Análisis técnico-económico de diferentes sistemas de plantación de olivo en zonas semiáridas del Valle del Ebro. ITEA 2014, 110, 4. [Google Scholar] [CrossRef]
- Arnon, D.I. Conversion of Light into Chemical Energy in Photosynthesis. Nature 1959, 184, 10–21. [Google Scholar] [CrossRef]
- Quail, P.H. Phytochrome Photosensory Signalling Networks. Nat. Rev. Mol. Cell Biol. 2002, 3, 85–93. [Google Scholar] [CrossRef] [PubMed]
- Lin, C. Blue Light Receptors and Signal Transduction. Plant Cell 2002, 14, S207–S225. [Google Scholar] [CrossRef]
- Takemiya, A.; Inoue, S.-I.; Doi, M.; Kinoshita, T.; Shimazaki, K.-I. Phototropins Promote Plant Growth in Response to Blue Light in Low Light Environments. Plant Cell 2005, 17, 1120–1127. [Google Scholar] [CrossRef] [PubMed]
- Rai, N.; O’Hara, A.; Farkas, D.; Safronov, O.; Ratanasopa, K.; Wang, F.; Lindfors, A.V.; Jenkins, G.I.; Lehto, T.; Salojärvi, J.; et al. The Photoreceptor UVR8 Mediates the Perception of Both UV-B and UV-A Wavelengths up to 350 Nm of Sunlight with Responsivity Moderated by Cryptochromes. Plant Cell Environ. 2020, 43, 1513–1527. [Google Scholar] [CrossRef]
- Whitelam, G.C.; Halliday, K.J. (Eds.) Annual plant reviews. In Light and Plant Development; Blackwell Pub: Oxford, UK; Ames, Iowa, USA, 2007; ISBN 978-1-4051-4538-1. [Google Scholar]
- Sellaro, R.; Hoecker, U.; Yanovsky, M.; Chory, J.; Casal, J.J. Synergism of Red and Blue Light in the Control of Arabidopsis Gene Expression and Development. Curr. Biol. 2009, 19, 1216–1220. [Google Scholar] [CrossRef] [PubMed]
- Arif, A.B.; Budiyanto, A.; Setiawan; Cahyono, T.; Sulistiyani, T.R.; Marwati, T.; Widayanti, S.M.; Setyadjit; Manalu, L.P.; Adinegoro, H.; et al. Application of Red and Blue LED Light on Cultivation and Postharvest of Tomatoes (Solanum lycopersicum L.). Scientifica 2024, 2024, 3815651. [Google Scholar] [CrossRef]
- Muneer, S.; Kim, E.; Park, J.; Lee, J. Influence of Green, Red and Blue Light Emitting Diodes on Multiprotein Complex Proteins and Photosynthetic Activity under Different Light Intensities in Lettuce Leaves (Lactuca sativa L.). Int. J. Mol. Sci. 2014, 15, 4657–4670. [Google Scholar] [CrossRef]
- Husaineid, S.S.H.; Kok, R.A.; Schreuder, M.E.L.; Hanumappa, M.; Cordonnier-Pratt, M.-M.; Pratt, L.H.; Van Der Plas, L.H.W.; Van Der Krol, A.R. Overexpression of Homologous Phytochrome Genes in Tomato: Exploring the Limits in Photoperception. J. Exp. Bot. 2007, 58, 615–626. [Google Scholar] [CrossRef]
- Giliberto, L.; Perrotta, G.; Pallara, P.; Weller, J.L.; Fraser, P.D.; Bramley, P.M.; Fiore, A.; Tavazza, M.; Giuliano, G. Manipulation of the Blue Light Photoreceptor Cryptochrome 2 in Tomato Affects Vegetative Development, Flowering Time, and Fruit Antioxidant Content. Plant Physiol. 2005, 137, 199–208. [Google Scholar] [CrossRef]
- Fernbach, E.; Mohr, H. Coaction of Blue/Ultraviolet-A Light and Light Absorbed by Phytochrome in Controlling Growth of Pine (Pinus sylestris L.) seedlings. Planta 1990, 180, 212–216. [Google Scholar] [CrossRef]
- Ito, A.; Saito, T.; Nishijima, T.; Moriguchi, T. Effect of Extending the Photoperiod with Low-Intensity Red or Far-Red Light on the Timing of Shoot Elongation and Flower-Bud Formation of 1-Year-Old Japanese Pear (Pyrus pyrifolia). Tree Physiol. 2014, 34, 534–546. [Google Scholar] [CrossRef] [PubMed]
- Pallozzi, E.; Tsonev, T.; Marino, G.; Copolovici, L.; Niinemets, Ü.; Loreto, F.; Centritto, M. Isoprenoid Emissions, Photosynthesis and Mesophyll Diffusion Conductance in Response to Blue Light. Environ. Exp. Bot. 2013, 95, 50–58. [Google Scholar] [CrossRef]
- Reale, L.; Nasini, L.; Cerri, M.; Regni, L.; Ferranti, F.; Proietti, P. The Influence of Light on Olive (Olea europaea L.) Fruit. Dev. Is. Cultiv. Dependent. Front. Plant Sci. 2019, 10, 385. [Google Scholar] [CrossRef]
- Díaz-Rueda, P.; Cantos-Barragán, M.; Colmenero-Flores, J.M. Growth Quality and Development of Olive Plants Cultured In-Vitro under Different Illumination Regimes. Plants 2021, 10, 2214. [Google Scholar] [CrossRef]
- Forgione, I.; Sirangelo, T.M.; Godino, G.; Vendramin, E.; Salimonti, A.; Sunseri, F.; Carbone, F. Circadian- and Light-Driven Rhythmicity of Interconnected Gene Networks in Olive Tree. Int. J. Mol. Sci. 2025, 26, 361. [Google Scholar] [CrossRef]
- Sirangelo, T.M.; Forgione, I.; Zelasco, S.; Benincasa, C.; Perri, E.; Vendramin, E.; Angilè, F.; Fanizzi, F.P.; Sunseri, F.; Salimonti, A.; et al. Combined Transcriptomic and Metabolomic Approach Revealed a Relationship between Light Control, Photoprotective Pigments, and Lipid Biosynthesis in Olives. Int. J. Mol. Sci. 2023, 24, 14448. [Google Scholar] [CrossRef] [PubMed]
- Miao, Y.; Wang, X.; Gao, L.; Chen, Q.; Qu, M. Blue Light Is More Essential than Red Light for Maintaining the Activities of Photosystem II and I and Photosynthetic Electron Transport Capacity in Cucumber Leaves. J. Integr. Agric. 2016, 15, 87–100. [Google Scholar] [CrossRef]
- Wang, J.; Lu, W.; Tong, Y.; Yang, Q. Leaf Morphology, Photosynthetic Performance, Chlorophyll Fluorescence, Stomatal Development of Lettuce (Lactuca sativa L.) Exposed to Different Ratios of Red Light to Blue Light. Front. Plant Sci. 2016, 7, 250. [Google Scholar] [CrossRef]
- Izzo, L.G.; Hay Mele, B.; Vitale, L.; Vitale, E.; Arena, C. The Role of Monochromatic Red and Blue Light in Tomato Early Photomorphogenesis and Photosynthetic Traits. Environ. Exp. Bot. 2020, 179, 104195. [Google Scholar] [CrossRef]
- Christie, W.W. The Preparation of Derivatives of Fatty Acids. In Gas Chromatography Lip; The Oily Press: Ayr, Scotland, 1998. [Google Scholar]
- Johkan, M.; Shoji, K.; Goto, F.; Hashida, S.; Yoshihara, T. Blue Light-Emitting Diode Light Irradiation of Seedlings Improves Seedling Quality and Growth after Transplanting in Red Leaf Lettuce. Cover HortScience 2010, 45, 1809–1814. [Google Scholar] [CrossRef]
- Dougher, T.A.O.; Bugbee, B. Differences in the Response of Wheat, Soybean and Lettuce to Reduced Blue Radiation. Photochem. Photobiol. 2007, 73, 199–207. [Google Scholar] [CrossRef]
- Van Volkenburgh, E.; Cleland, R.E.; Watanabe, M. Light-Stimulated Cell Expansion in Bean (Phaseolus vulgaris L.) Leaves. II. Quant. Qual. Light. Required. Planta 1990, 182, 77–80. [Google Scholar] [CrossRef]
- Hogewoning, S.W.; Trouwborst, G.; Maljaars, H.; Poorter, H.; van Ieperen, W.; Harbinson, J. Blue Light Dose-Responses of Leaf Photosynthesis, Morphology, and Chemical Composition of Cucumis Sativus Grown under Different Combinations of Red and Blue Light. J. Exp. Bot. 2010, 61, 3107–3117. [Google Scholar] [CrossRef]
- Chia, P.-L.; Kubota, C. End-of-Day Far-Red Light Quality and Dose Requirements for Tomato Rootstock Hypocotyl Elongation. HortScience 2010, 45, 1501–1506. [Google Scholar] [CrossRef]
- Nhut, D.T.; Takamura, T.; Watanabe, H.; Okamoto, K.; Tanaka, M. Responses of Strawberry Plantlets Cultured in Vitro under Superbright Red and Blue Light-Emitting Diodes (LEDs). Plant Cell Tissue Organ. Cult. 2003, 73, 43–52. [Google Scholar] [CrossRef]
- Appelgren, M. Effects of Light Quality on Stem Elongation of Pelargonium In Vitro. Sci. Hortic. 1991, 45, 345–351. [Google Scholar] [CrossRef]
- Aksenova, N.P.; Konstantinova, T.N.; Sergeeva, L.I.; Macháčková, I.; Golyanovskaya, S.A. Morphogenesis of Potato Plants In Vitro. I. Effect of light quality and hormones. J. Plant Growth Regul. 1994, 13, 143–146. [Google Scholar] [CrossRef]
- Sakai, T.; Kagawa, T.; Kasahara, M.; Swartz, T.E.; Christie, J.M.; Briggs, W.R.; Wada, M.; Okada, K. Arabidopsis Nph1 and Npl1: Blue Light Receptors That Mediate Both Phototropism and Chloroplast Relocation. Proc. Natl. Acad. Sci. USA 2001, 98, 6969–6974. [Google Scholar] [CrossRef]
- Kinoshita, T.; Doi, M.; Suetsugu, N.; Kagawa, T.; Wada, M.; Shimazaki, K. Phot1 and Phot2 Mediate Blue Light Regulation of Stomatal Opening. Nature 2001, 414, 656–660. [Google Scholar] [CrossRef]
- Devlin, P.F.; Patel, S.R.; Whitelam, G.C. Phytochrome E Influences Internode Elongation and Flowering Time in Arabidopsis. Plant Cell 1998, 10, 1479–1487. [Google Scholar] [CrossRef] [PubMed]
- Deng, X.W.; Quail, P.H. Signalling in Light-Controlled Development. Semin. Cell Dev. Biol. 1999, 10, 121–129. [Google Scholar] [CrossRef] [PubMed]
- Hennig, L.; Stoddart, W.M.; Dieterle, M.; Whitelam, G.C.; Schäfer, E. Phytochrome E Controls Light-Induced Germination of Arabidopsis. Plant Physiol. 2002, 128, 194–200. [Google Scholar] [CrossRef]
- Whippo, C.W.; Hangarter, R.P. Phytochrome Modulation of Blue-light-induced Phototropism. Plant Cell Environ. 2004, 27, 1223–1228. [Google Scholar] [CrossRef]
- DeBlasio, S.L.; Mullen, J.L.; Luesse, D.R.; Hangarter, R.P. Phytochrome Modulation of Blue Light-Induced Chloroplast Movements in Arabidopsis. Plant Physiol. 2003, 133, 1471–1479. [Google Scholar] [CrossRef]
- Mao, J.; Zhang, Y.-C.; Sang, Y.; Li, Q.-H.; Yang, H.-Q. A Role for Arabidopsis Cryptochromes and COP1 in the Regulation of Stomatal Opening. Proc. Natl. Acad. Sci. USA 2005, 102, 12270–12275. [Google Scholar] [CrossRef]
- Thum, K.E.; Kim, M.; Christopher, D.A.; Mullet, J.E. Cryptochrome 1, Cryptochrome 2, and Phytochrome A Co-Activate the Chloroplast psbD Blue Light–Responsive Promoter. Plant Cell 2001, 13, 2747–2760. [Google Scholar] [CrossRef]
- Guo, H.; Yang, H.; Mockler, T.C.; Lin, C. Regulation of Flowering Time by Arabidopsis Photoreceptors. Science 1998, 279, 1360–1363. [Google Scholar] [CrossRef]
- Qin, M.; Kuhn, R.; Moran, S.; Quail, P.H. Overexpressed Phytochrome C Has Similar Photosensory Specificity to Phytochrome B but a Distinctive Capacity to Enhance Primary Leaf Expansion. Plant J. 1997, 12, 1163–1172. [Google Scholar] [CrossRef]
- Christie, J.M. Phototropin Blue-Light Receptors. Annu. Rev. Plant Biol. 2007, 58, 21–45. [Google Scholar] [CrossRef] [PubMed]
- Franklin, K.A.; Davis, S.J.; Stoddart, W.M.; Vierstra, R.D.; Whitelam, G.C. Mutant Analyses Define Multiple Roles for Phytochrome C in Arabidopsis Photomorphogenesis. Plant Cell 2003, 15, 1981–1989. [Google Scholar] [CrossRef]
- Mei, Q.; Dvornyk, V. Evolutionary History of the Photolyase/Cryptochrome Superfamily in Eukaryotes. PLoS ONE 2015, 10, e0135940. [Google Scholar] [CrossRef] [PubMed]
- Ahmad, M.; Cashmore, A.R. HY4 Gene of A. Thaliana Encodes a Protein with Characteristics of a Blue-Light Photoreceptor. Nature 1993, 366, 162–166. [Google Scholar] [CrossRef]
- Koornneef, M.; Rolff, E.; Spruit, C.J.P. Genetic Control of Light-Inhibited Hypocotyl Elongation in Arabidopsis thaliana (L.) Heynh. Z. Für Pflanzenphysiol. 1980, 100, 147–160. [Google Scholar] [CrossRef]
- Casal, J.J.; Sanchez, R.A.; Botto, J.F. Modes of Action of Phytochromes. J. Exp. Bot. 1998, 49, 127–138. [Google Scholar] [CrossRef]
- Valverde, F.; Mouradov, A.; Soppe, W.; Ravenscroft, D.; Samach, A.; Coupland, G. Photoreceptor Regulation of CONSTANS Protein in Photoperiodic Flowering. Science 2004, 303, 1003–1006. [Google Scholar] [CrossRef] [PubMed]
- Mockler, T.C.; Guo, H.; Yang, H.; Duong, H.; Lin, C. Antagonistic Actions of Arabidopsis Cryptochromes and Phytochrome B in the Regulation of Floral Induction. Development 1999, 126, 2073–2082. [Google Scholar] [CrossRef]
- Canamero, R.C.; Bakrim, N.; Bouly, J.-P.; Garay, A.; Dudkin, E.E.; Habricot, Y.; Ahmad, M. Cryptochrome Photoreceptors Cry1 and Cry2 Antagonistically Regulate Primary Root Elongation in Arabidopsis Thaliana. Planta 2006, 224, 995–1003. [Google Scholar] [CrossRef] [PubMed]
- Tóth, R.; Kevei, E.; Hall, A.; Millar, A.J.; Nagy, F.; Kozma-Bognár, L. Circadian Clock-Regulated Expression of Phytochrome and Cryptochrome Genes in Arabidopsis. Plant Physiol. 2001, 127, 1607–1616. [Google Scholar] [CrossRef]
- Usami, T.; Mochizuki, N.; Kondo, M.; Nishimura, M.; Nagatani, A. Cryptochromes and Phytochromes Synergistically Regulate Arabidopsis Root Greening under Blue Light. Plant Cell Physiol. 2004, 45, 1798–1808. [Google Scholar] [CrossRef]
- Rausenberger, J.; Tscheuschler, A.; Nordmeier, W.; Wüst, F.; Timmer, J.; Schäfer, E.; Fleck, C.; Hiltbrunner, A. Photoconversion and Nuclear Trafficking Cycles Determine Phytochrome A’s Response Profile to Far-Red Light. Cell 2011, 146, 813–825. [Google Scholar] [CrossRef]
- Tepperman, J.M.; Hwang, Y.-S.; Quail, P.H. phyA Dominates in Transduction of Red-Light Signals to Rapidly Responding Genes at the Initiation of Arabidopsis Seedling de-Etiolation. Plant J. 2006, 48, 728–742. [Google Scholar] [CrossRef]
- Parks, B.M.; Quail, P.H.; Hangarter, R.P. Phytochrome A Regulates Red-Light Induction of Phototropic Enhancement in Arabidopsis. Plant Physiol. 1996, 110, 155–162. [Google Scholar] [CrossRef]
- Weller, J.L.; Murfet, I.C.; Reid, J.B. Pea Mutants with Reduced Sensitivity to Far-Red Light Define an Important Role for Phytochrome A in Day-Length Detection. Plant Physiol. 1997, 114, 1225–1236. [Google Scholar] [CrossRef]
- Takano, M.; Kanegae, H.; Shinomura, T.; Miyao, A.; Hirochika, H.; Furuya, M. Isolation and Characterization of Rice Phytochrome A Mutants. Plant Cell 2001, 13, 521–534. [Google Scholar] [CrossRef] [PubMed]
- Wickham, H. Ggplot2; Springer: New York, NY, USA, 2009; ISBN 978-0-387-98140-6. [Google Scholar]
- Livak, K.J.; Schmittgen, T.D. Analysis of Relative Gene Expression Data Using Real-Time Quantitative PCR and the 2(-Delta Delta C(T)) Method. Methods 2001, 25, 402–408. [Google Scholar] [CrossRef] [PubMed]
- Carbone, F.; Bruno, L.; Perrotta, G.; Bitonti, M.B.; Muzzalupo, I.; Chiappetta, A. Identification of miRNAs Involved in Fruit Ripening by Deep Sequencing of Olea europaea L. Transcriptome. PLoS ONE 2019, 14, e0221460. [Google Scholar] [CrossRef]







Disclaimer/Publisher’s Note: The statements, opinions and data contained in all publications are solely those of the individual author(s) and contributor(s) and not of MDPI and/or the editor(s). MDPI and/or the editor(s) disclaim responsibility for any injury to people or property resulting from any ideas, methods, instructions or products referred to in the content. |
© 2025 by the authors. Licensee MDPI, Basel, Switzerland. This article is an open access article distributed under the terms and conditions of the Creative Commons Attribution (CC BY) license (https://creativecommons.org/licenses/by/4.0/).
Share and Cite
Forgione, I.; Quattromano, I.; Regina, T.M.R.; Salimonti, A.; Carbone, F. The Effects of the Light Spectral Composition on the Development of Olive Tree Varieties Mediated by Photoreceptors. Int. J. Mol. Sci. 2025, 26, 8319. https://doi.org/10.3390/ijms26178319
Forgione I, Quattromano I, Regina TMR, Salimonti A, Carbone F. The Effects of the Light Spectral Composition on the Development of Olive Tree Varieties Mediated by Photoreceptors. International Journal of Molecular Sciences. 2025; 26(17):8319. https://doi.org/10.3390/ijms26178319
Chicago/Turabian StyleForgione, Ivano, Ida Quattromano, Teresa Maria Rosaria Regina, Amelia Salimonti, and Fabrizio Carbone. 2025. "The Effects of the Light Spectral Composition on the Development of Olive Tree Varieties Mediated by Photoreceptors" International Journal of Molecular Sciences 26, no. 17: 8319. https://doi.org/10.3390/ijms26178319
APA StyleForgione, I., Quattromano, I., Regina, T. M. R., Salimonti, A., & Carbone, F. (2025). The Effects of the Light Spectral Composition on the Development of Olive Tree Varieties Mediated by Photoreceptors. International Journal of Molecular Sciences, 26(17), 8319. https://doi.org/10.3390/ijms26178319

