Effect of Vagus Nerve Stimulation on the GASH/Sal Audiogenic-Seizure-Prone Hamster
Abstract
1. Introduction
2. Results
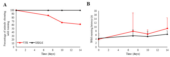
2.1. Effects of Treatment on Seizures
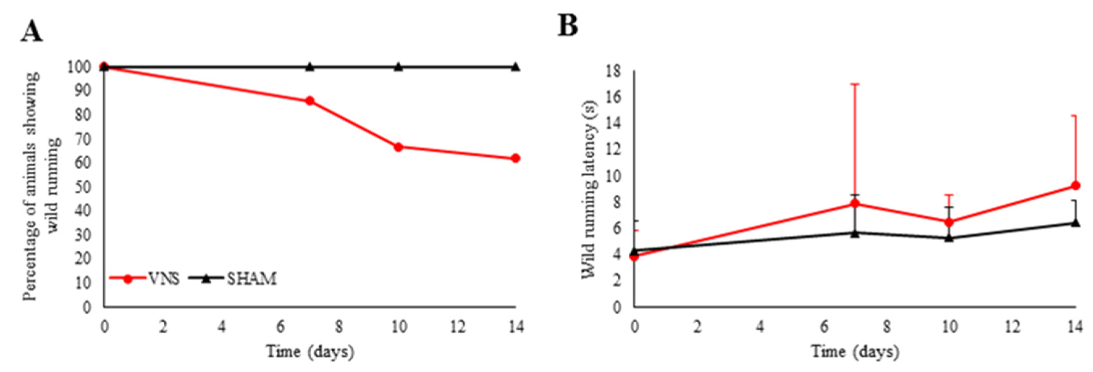
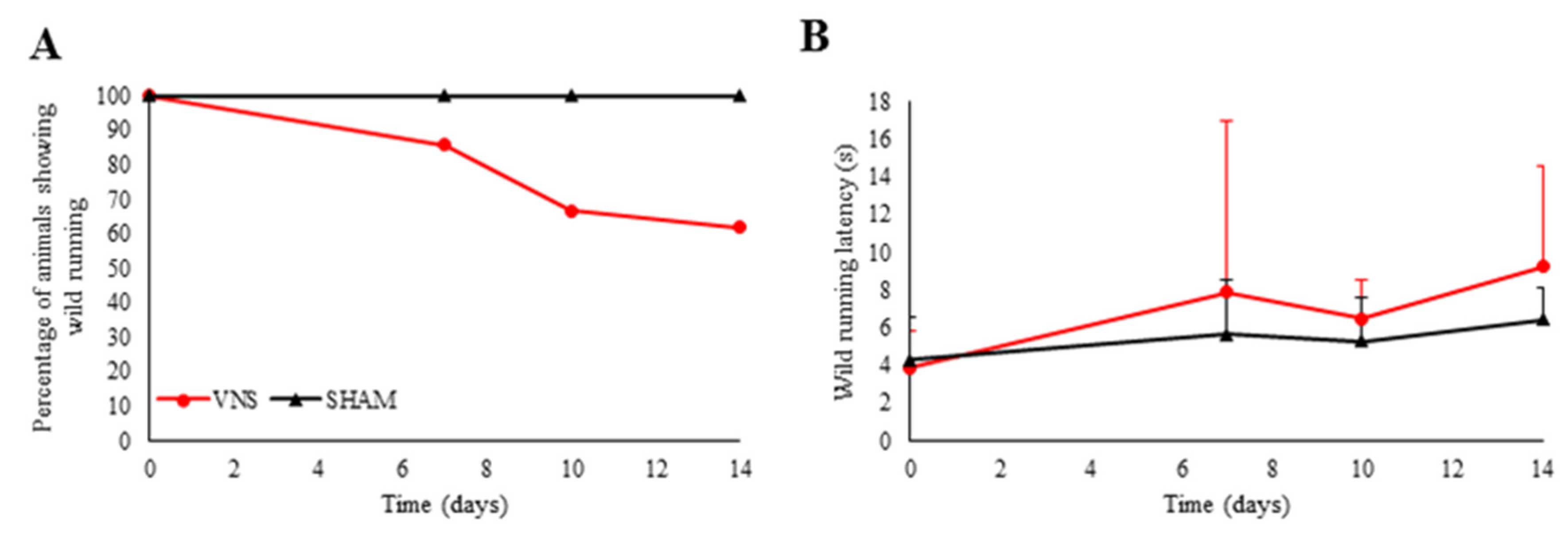
2.2. Effects of VNS on Behavior
2.3. Evaluation of Overall State
2.4. Electrophysiological Recordings
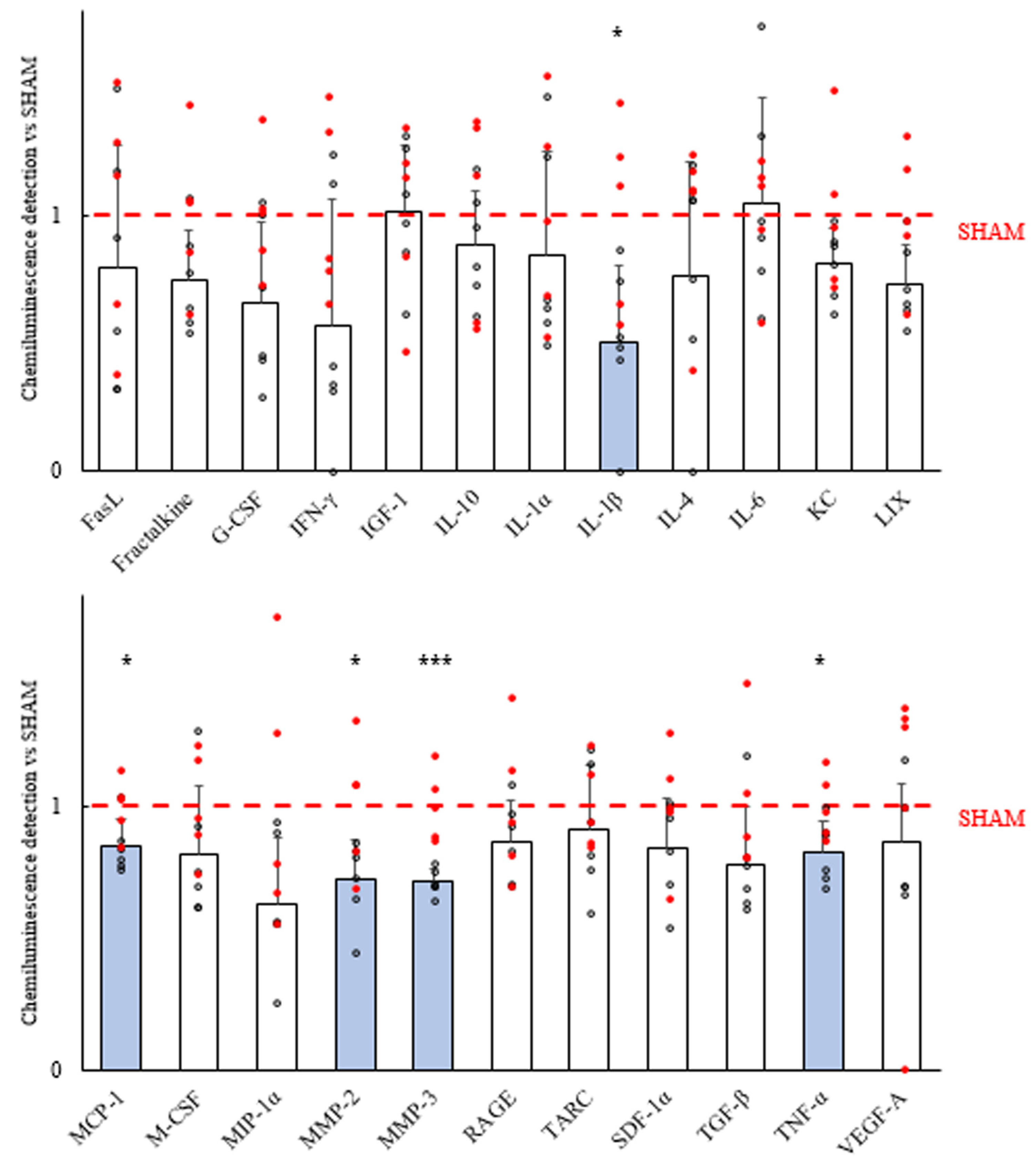
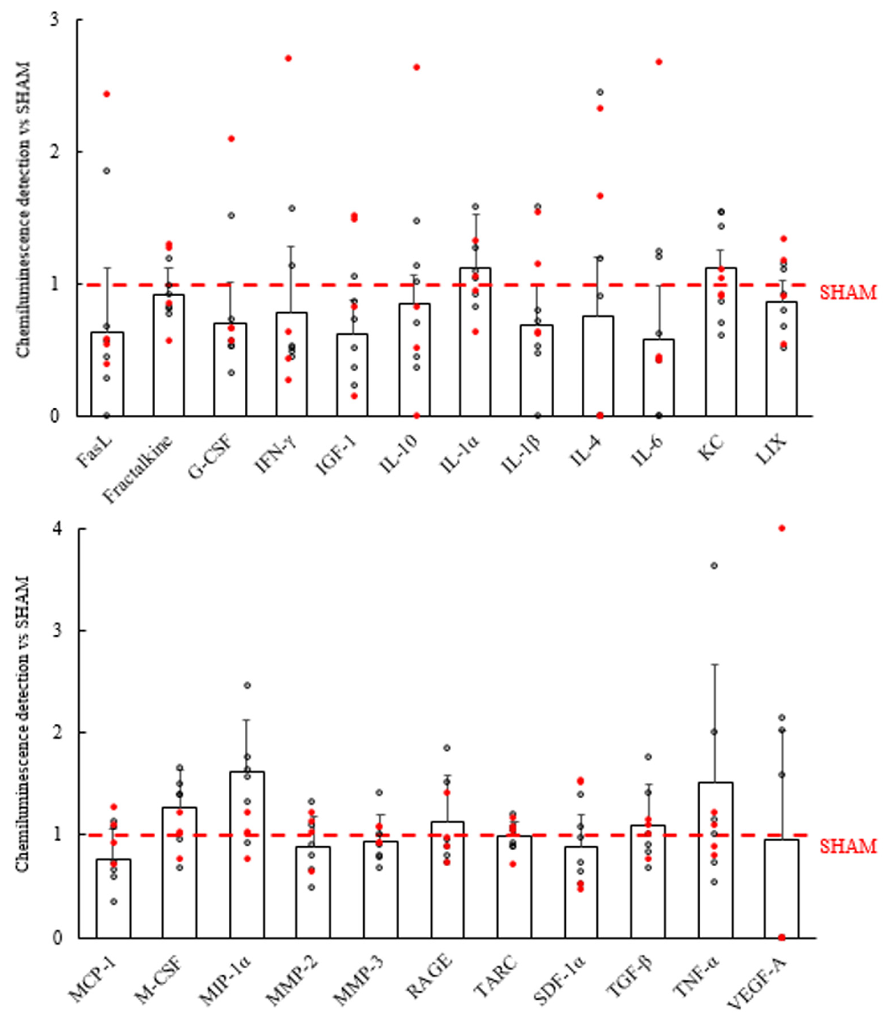
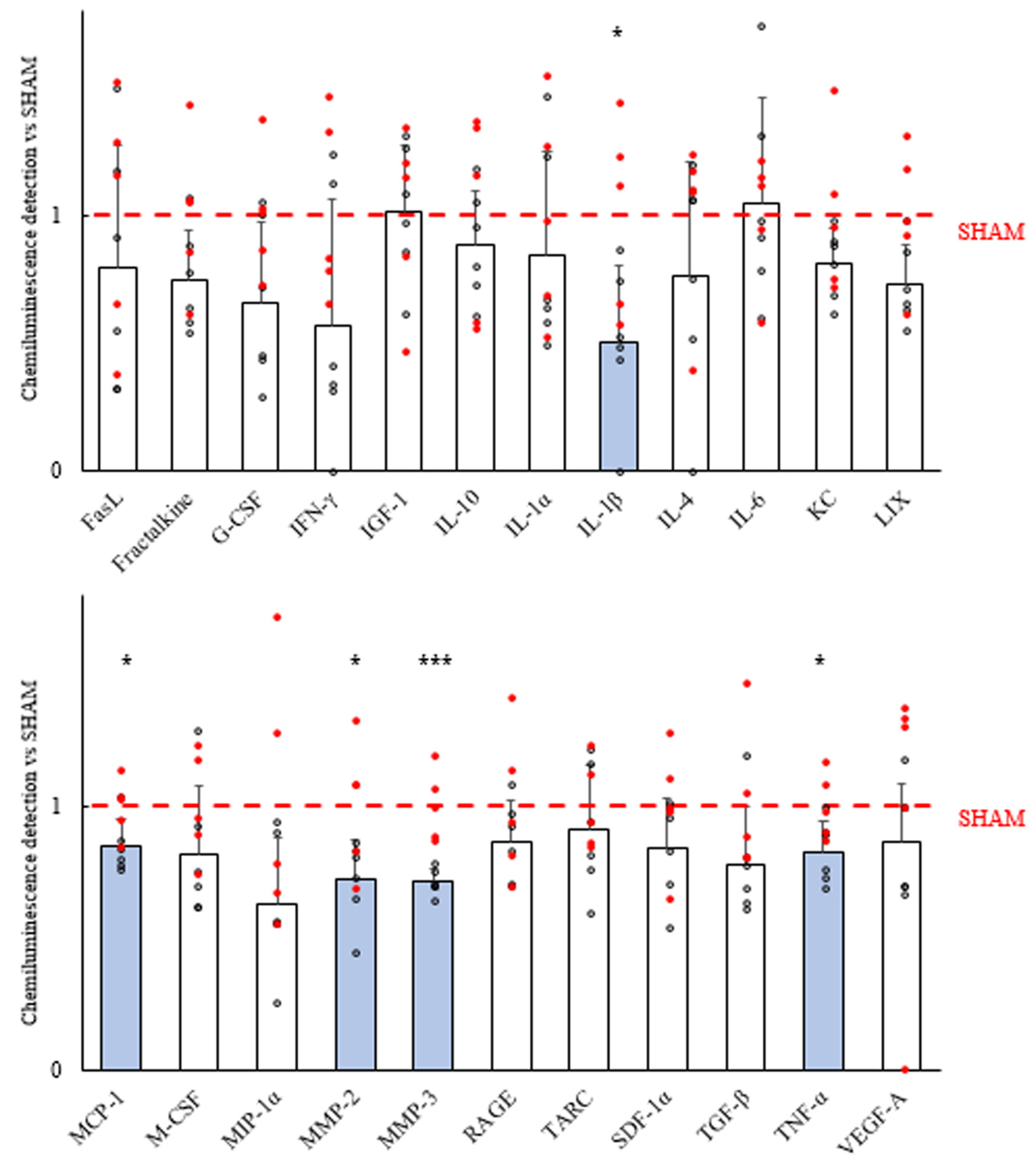
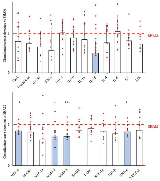
2.5. Effect on Inflammatory Markers
3. Discussion
4. Materials and Methods
4.1. Animals
4.2. Ethics Statement
4.3. Experimental Desgin
4.4. VNS Protocol
4.5. Surgical Procedure
4.6. Electrophysiological Recordings
4.7. Acoustic Stimuli
4.8. Neuroethological Analysis
4.9. Open-Field Tests
4.10. Hematological and Biochemical Liver Profiles
4.11. Study of Inflammatory Markers
4.12. Statistical Analysis
Supplementary Materials
Author Contributions
Funding
Institutional Review Board Statement
Informed Consent Statement
Data Availability Statement
Acknowledgments
Conflicts of Interest
References
- Fiest, K.M.; Sauro, K.M.; Wiebe, S.; Patten, S.B.; Kwon, C.S.; Dykeman, J.; Pringsheim, T.; Lorenzetti, D.L.; Jetté, N. Prevalence and incidence of epilepsy: A systematic review and meta-analysis of international studies. Neurology 2017, 88, 296–303. [Google Scholar] [CrossRef] [PubMed]
- Picot, M.C.; Baldy-Moulinier, M.; Daurès, J.P.; Dujols, P.; Crespel, A. The prevalence of epilepsy and pharmacoresistant epilepsy in adults: A population-based study in a Western European country. Epilepsia 2008, 49, 1230–1238. [Google Scholar] [CrossRef] [PubMed]
- Kwan, P.; Schachter, S.C.; Brodie, M.J. Drug-Resistant epilepsy. N. Engl. J. Med. 2011, 365, 919–926. [Google Scholar] [CrossRef] [PubMed]
- Rugg-Gunn, F.; Miserocchi, A.; McEvoy, A. Epilepsy surgery. Pract. Neurol. 2020, 20, 4–14. [Google Scholar] [CrossRef] [PubMed]
- Englot, D.J.; Birk, H.; Chang, E.F. Seizure outcomes in nonresective epilepsy surgery: An update. Neurosurg. Rev. 2017, 40, 181–194. [Google Scholar] [CrossRef] [PubMed]
- Terry, R.S.; Tarver, W.B.; Zabara, J. The implantable neurocybernetic prosthesis system. Pacing Clin. Electrophysiol. 1991, 14, 86–93. [Google Scholar] [CrossRef] [PubMed]
- Elliott, R.E.; Morsi, A.; Kalhorn, S.P.; Marcus, J.; Sellin, J.; Kang, M.; Silverberg, A.; Rivera, E.; Geller, E.; Carlson, C.; et al. Vagus nerve stimulation in 436 consecutive patients with treatment-resistant epilepsy: Long-term outcomes and predictors of response. Epilepsy Behav. 2011, 20, 57–63. [Google Scholar] [CrossRef] [PubMed]
- Toffa, D.H.; Touma, L.; El Meskine, T.; Bouthillier, A.; Nguyen, D.K. Learnings from 30 years of reported efficacy and safety of vagus nerve stimulation (VNS) for epilepsy treatment: A critical review. Seizure 2020, 83, 104–123. [Google Scholar] [CrossRef]
- Spindler, P.; Bohlmann, K.; Straub, H.B.; Vajkoczy, P.; Schneider, U.C. Effects of vagus nerve stimulation on symptoms of depression in patients with difficult-to-treat epilepsy. Seizure 2019, 69, 77–79. [Google Scholar] [CrossRef]
- Englot, D.J.; Hassnain, K.H.; Rolston, J.D.; Harward, S.C.; Sinha, S.R.; Haglund, M.M. Quality-of-life metrics with vagus nerve stimulation for epilepsy from provider survey data. Epilepsy Behav. 2017, 66, 4–9. [Google Scholar] [CrossRef]
- Ben-Menachem, E. Vagus nerve stimulation, side effects, and long-term safety. J. Clin. Neurophysiol. 2001, 18, 415–418. [Google Scholar] [CrossRef] [PubMed]
- Kopciuch, D.; Barciszewska, A.M.; Fliciński, J.; Paczkowska, A.; Winczewska-Wiktor, A.; Jankowski, R.; Steinborn, B.; Nowakowska, E. Economic and clinical evaluation of vagus nerve stimulation therapy. Acta Neurol. Scand. 2019, 140, 244–251. [Google Scholar] [CrossRef] [PubMed]
- Zabara, J. Peripheral control of hypersynchronous discharge in epilepsy. Electroencephalography 1985, 61, S162. [Google Scholar] [CrossRef]
- Zabara, J. Inhibition of experimental seizures in canines by repetitive vagal stimulation. Epilepsia 1992, 33, 1005–1012. [Google Scholar] [CrossRef] [PubMed]
- Penry, J.K.; Dean, J.C. Prevention of intractable partial seizures by intermittent vagal stimulation in humans: Preliminary results. Epilepsia 1990, 31, S40–S43. [Google Scholar] [CrossRef] [PubMed]
- Morrow, J.I.; Bingham, E.; Craig, J.J.; Gray, W.J. Vagal nerve stimulation in patients with refractory epilepsy. Effect on seizure frequency, severity and quality of life. Seizure 2000, 9, 442–445. [Google Scholar] [CrossRef] [PubMed]
- Suller Marti, A.; Mirsattari, S.M.; MacDougall, K.; Steven, D.A.; Parrent, A.; de Ribaupierre, S.; Andrade, A.; Diosy, D.; McLachlan, R.S.; Burneo, J.G. Vagus nerve stimulation in patients with therapy-resistant generalized epilepsy. Epilepsy Behav. 2020, 111, 107253. [Google Scholar] [CrossRef] [PubMed]
- Jain, P.; Arya, R. Vagus Nerve Stimulation and Seizure Outcomes in Pediatric Refractory Epilepsy: Systematic Review and Meta-Analysis. Neurology 2021, 96, 1041–1051. [Google Scholar] [CrossRef]
- Arya, R.; Greiner, H.M.; Lewis, A.; Mangano, F.T.; Gonsalves, C.; Holland, K.D.; Glauser, T.A. Vagus nerve stimulation for medically refractory absence epilepsy. Seizure 2013, 22, 267–270. [Google Scholar] [CrossRef][Green Version]
- Kamel, L.Y.; Xiong, W.; Gott, B.M.; Kumar, A.; Conway, C.R. Vagus nerve stimulation: An update on a novel treatment for treatment-resistant depression. J. Neurol. Sci. 2022, 434, 120171. [Google Scholar] [CrossRef]
- Nemeroff, C.B.; Mayberg, H.S.; Krahl, S.E.; McNamara, J.; Frazer, A.; Henry, T.R.; George, M.S.; Charney, D.S.; Brannan, S.K. VNS Therapy in Treatment-Resistant Depression: Clinical Evidence and Putative Neurobiological Mechanisms. Neuropsychopharmacology 2006, 31, 1345–1355. [Google Scholar] [CrossRef] [PubMed]
- Hamilton, P.; Soryal, I.; Dhahri, P.; Wimalachandra, W.; Leat, A.; Hughes, D.; Toghill, N.; Hodson, J.; Sawlani, V.; Hayton, T.; et al. Clinical outcomes of VNS therapy with AspireSR® (including cardiac-based seizure detection) at a large complex epilepsy and surgery centre. Seizure 2018, 58, 120–126. [Google Scholar] [CrossRef] [PubMed]
- Silberstein, S.D.; Yuan, H.; Najib, U.; Ailani, J.; Morais, A.L.; Mathew, P.G.; Liebler, E.; Tassorelli, C.; Diener, H.C. Non-invasive vagus nerve stimulation for primary headache: A clinical update. Cephalalgia 2020, 40, 1370–1384. [Google Scholar] [CrossRef] [PubMed]
- Afra, P.; Adamolekun, B.; Aydemir, S.; Watson, G.D.R. Evolution of the Vagus Nerve Stimulation (VNS) Therapy System Technology for Drug-Resistant Epilepsy. Front. Med. Technol. 2021, 3, 696543. [Google Scholar] [CrossRef] [PubMed]
- George, M.S.; Rush, A.J.; Sackeim, H.A.; Marangell, L.B. Vagus nerve stimulation (VNS): Utility in neuropsychiatric disorders. Int. J. Neuropsychopharmacol. 2003, 6, 73–83. [Google Scholar] [CrossRef] [PubMed]
- Vonck, K.; Boon, P.; Van Laere, K.; D’Havé, M.; Vandekerckhove, T.; O’Connor, S.; Brans, B.; Dierckx, R.; De Reuck, J. Acute single photon emission computed tomographic study of vagus nerve stimulation in refractory epilepsy. Epilepsia 2000, 41, 601–609. [Google Scholar] [CrossRef]
- Henry, T.R.; Bakay, R.A.; Pennell, P.B.; Epstein, C.M.; Votaw, J.R. Brain blood-flow alterations induced by therapeutic vagus nerve stimulation in partial epilepsy: II. prolonged effects at high and low levels of stimulation. Epilepsia 2004, 45, 1064–1070. [Google Scholar] [CrossRef]
- Koo, B. EEG changes with vagus nerve stimulation. J. Clin. Neurophysiol. 2001, 18, 434–441. [Google Scholar] [CrossRef]
- Kuba, R.; Guzaninová, M.; Brázdil, M.; Novák, Z.; Chrastina, J.; Rektor, I. Effect of vagal nerve stimulation on interictal epileptiform discharges: A scalp EEG study. Epilepsia 2002, 43, 1181–1188. [Google Scholar] [CrossRef]
- Manta, S.; Dong, J.; Debonnel, G.; Blier, P. Enhancement of the function of rat serotonin and norepinephrine neurons by sustained vagus nerve stimulation. J. Psychiatry Neurosci. 2009, 34, 272–280. [Google Scholar]
- Tracey, K.J. The inflammatory reflex. Nature 2002, 420, 853–859. [Google Scholar] [CrossRef] [PubMed]
- Kwan, H.; Garzoni, L.; Liu, H.L.; Cao, M.; Desrochers, A.; Fecteau, G.; Burns, P.; Frasch, M.G. Vagus Nerve Stimulation for Treatment of Inflammation: Systematic Review of Animal Models and Clinical Studies. Bioelectron. Med. 2016, 3, 1–6. [Google Scholar] [CrossRef] [PubMed]
- Marsal, S.; Corominas, H.; de Agustín, J.J.; Pérez-García, C.; López-Lasanta, M.; Borrell, H.; Reina, D.; Sanmartí, R.; Narváez, J.; Franco-Jarava, C.; et al. Non-invasive vagus nerve stimulation for rheumatoid arthritis: A proof-of-concept study. Lancet Rheumatol. 2021, 3, 262–269. [Google Scholar] [CrossRef]
- Vezzani, A.; French, J.; Bartfai, T.; Baram, T.Z. The role of inflammation in epilepsy. Nat. Rev. Neurol. 2011, 7, 31–40. [Google Scholar] [CrossRef] [PubMed]
- Fan, J.J.; Shan, W.; Wu, J.P.; Wang, Q. Research progress of vagus nerve stimulation in the treatment of epilepsy. CNS Neurosci. Ther. 2019, 25, 1222–1228. [Google Scholar] [CrossRef] [PubMed]
- Krahl, S.E.; Clark, K.B.; Smith, D.C.; Browning, R.A. Locus coeruleus lesions suppress the seizure-attenuating effects of vagus nerve stimulation. Epilepsia 1998, 39, 709–714. [Google Scholar] [CrossRef] [PubMed]
- Naritoku, D.K.; Terry, W.J.; Helfert, R.H. Regional induction of fos immunoreactivity in the brain by anticonvulsant stimulation of the vagus nerve. Epilepsy Res. 1995, 22, 53–62. [Google Scholar] [CrossRef]
- Aalbers, M.; Vles, J.; Klinkenberg, S.; Hoogland, G.; Majoie, M.; Rijkers, K. Animal models for vagus nerve stimulation in epilepsy. Exp. Neurol. 2011, 230, 167–175. [Google Scholar] [CrossRef]
- Muñoz, L.J.; Carballosa-Gautam, M.M.; Yanowsky, K.; Garcia-Atarés, N.; López, D.E. The genetic audiogenic seizure hamster from Salamanca: The GASH:Sal. Epilepsy Behav. 2017, 71, 181–192. [Google Scholar] [CrossRef]
- Sánchez-Benito, D.; Hyppolito, M.A.; Alvarez-Morujo, A.J.; López, D.E.; Gómez-Nieto, R. Morphological and molecular correlates of altered hearing sensitivity in the genetically audiogenic seizure-prone hamster GASH/Sal. Hear. Res. 2020, 392, 107973. [Google Scholar] [CrossRef]
- López-López, D.; Gómez-Nieto, R.; Herrero-Turrión, J.M.; Garcia-Cairasco, N.; Sánchez-Benito, D.; Ludeña, M.D.; López, D.E. Over-expression of the immediate-early genes Egr1, Egr2 and Egr3 in two strains of rodents susceptible to audiogenic seizures. Epilepsy Behav. 2016, 71, 226–237. [Google Scholar] [CrossRef] [PubMed]
- Díaz-Casado, E.; Gómez-Nieto, R.; de Pereda, J.M.; Muñoz, L.J.; Jara-Acevedo, M.; López, D.E. Analysis of gene variants in the GASH/Sal model of epilepsy. PLoS ONE 2020, 15, e0229953. [Google Scholar] [CrossRef] [PubMed]
- Díaz-Rodríguez, S.M.; López-López, D.; Herrero-Turrión, M.J.; Gómez-Nieto, R.; Canal-Alonso, A.; López, D.E. Inferior Colliculus Transcriptome After Status Epilepticus in the Genetically Audiogenic Seizure-Prone Hamster GASH/Sal. Front. Neurosci. 2020, 14, 508. [Google Scholar] [CrossRef] [PubMed]
- Barrera-Bailón, B.; Oliveira, J.A.C.; López, D.E.; Muñoz de la Pascua, L.J.; Garcia-Cairasco, N.; Sancho, C. Pharmacological and neuroethological study of three antiepileptic drugs in the genetic audiogenic seizure hamster (GASH/Sal). Epilepsy Behav. 2013, 28, 413–425. [Google Scholar] [CrossRef][Green Version]
- Barrera-Bailón, B.; Oliveira, J.A.C.; López, D.E.; Muñoz, L.J.; Garcia-Cairasco, N.; Sancho, C. Pharmacological and neuroethological study of the acute and chronic effects of lamotrigine in the genetic audiogenic seizure hamster (GASH:Sal). Epilepsy Behav. 2017, 71, 207–217. [Google Scholar] [CrossRef] [PubMed]
- Garcia-Cairasco, N.; Doretto, M.C.; Prado, R.P.; Jorge, B.P.; Terra, V.C.; Oliveira, J.A. New insights into behavioral evaluation of audiogenic seizures. A comparison of two ethological methods. Behav. Brain Res. 1992, 48, 49–56. [Google Scholar] [CrossRef] [PubMed]
- Garcia-Cairasco, N.; Rossetti, F.; Oliveira, J.A.; Furtado, M.d.A. Neuroethological study of status epilepticus induced by systemic pilocarpine in Wistar audiogenic rats (WAR strain). Epilepsy Behav. 2004, 5, 455–463. [Google Scholar] [CrossRef] [PubMed]
- Garcia-Cairasco, N.; Wakamatsu, H.; Oliveira, J.A.; Gomes, E.L.; Del Bel, E.A.; Mello, L.E. Neuroethological and morphological (Neo-Timm staining) correlates of limbic recruitment during the development of audiogenic kindling in seizure susceptible Wistar rats. Epilepsy Res. 1996, 26, 177–192. [Google Scholar] [CrossRef]
- Cabral-Pereira, G.; Sánchez-Benito, D.; Díaz-Rodríguez, S.M.; Gonçalves, J.; Sancho, C.; Castellano, O.; Muñoz, L.J.; López, D.E.; Gómez-Nieto, R. Behavioral and Molecular Effects Induced by Cannabidiol and Valproate Administration in the GASH/Sal Model of Acute Audiogenic Seizures. Front. Behav. Neurosci. 2021, 14, 612624. [Google Scholar] [CrossRef]
- Dal-Cól, M.L.C.; Terra-Bustamente, V.C.; Velasco, T.R.; Oliveira, J.A.C.; Sakamoto, A.C.; Garcia-Cairasco, N. Neuroethology application for the study of human temporal lobe epilepsy: From basic to applied sciences. Epilepsy Behav. 2006, 8, 149–160. [Google Scholar] [CrossRef]
- Bertti, P.; Dal-Cól, M.L.C.; Wichert-Ana, L.; Kato, M.; Terra, V.C.; Cortes de Oliveira, J.A.C.; Rodrigues Velasco, T.; Sakamoto, A.C.; Garcia-Cairasco, N. The neurobiological substrates of behavioral manifestations during temporal lobe seizures: A neuroethological and ictal SPECT correlation study. Epilepsy Behav. 2010, 17, 344–353. [Google Scholar] [CrossRef] [PubMed]
- Bertti, P.; Tejada, J.; Martins, A.P.P.; Dal-Cól, M.L.C.; Terra, V.C.; Oliveira, J.A.C.; Velasco, T.R.; Sakamoto, A.C.; Garcia-Cairasco, N. Looking for complexity in quantitative semiology of frontal and temporal lobe seizures using neuroethology and graph theory. Epilepsy Behav. 2014, 28, 81–93. [Google Scholar] [CrossRef] [PubMed]
- Noller, C.M.; Levine, Y.A.; Urakov, T.M.; Aronson, J.P.; Nash, M.S. Vagus Nerve Stimulation in Rodent Models: An Overview of Technical Considerations. Front. Neurosci. 2019, 13, 911. [Google Scholar] [CrossRef] [PubMed]
- Canal-Alonso, A.; Casado-Vara, R.; Castellano, O.; Herrera-Santos, J.; Gonçalves, J.; Màrquez-Sànchez, S.; Gonçalves, J.M.; Corchado, J.M. An affordable implantable vagus nerve stimulator system for use in animal research. Philos. Trans. R. Soc. A 2022, 380, 20210010. [Google Scholar] [CrossRef] [PubMed]
- Okudan, Z.V.; Özkara, Ç. Reflex epilepsy: Triggers and management strategies. Neuropsychiatr. Dis. Treat. 2018, 14, 327–337. [Google Scholar] [CrossRef] [PubMed]
- Kandratavicius, L.; Balista, P.A.; Lopes-Aguiar, C.; Ruggiero, R.N.; Umeoka, E.H.; Garcia-Cairasco, N.; Bueno-Junior, L.S.; Leite, J.P. Animal models of epilepsy: Use and limitations. Neuropsychiatr. Dis. Treat. 2014, 10, 1693–1705. [Google Scholar] [CrossRef]
- Garcia-Cairasco, N.; Oliveira, J.A.; Wakamatsu, H.; Bueno, S.T.; Guimarães, F.S. Reduced exploratory activity of audiogenic seizures susceptible Wistar rats. Physiol. Behav. 1998, 64, 671–674. [Google Scholar] [CrossRef] [PubMed]
- Lazarini-Lopes, W.; Campos-Rodriguez, C.; Palmer, D.; N’Gouemo, P.; Garcia-Cairasco, N.; Forcelli, P.A. Absence epilepsy in male and female WAG/Rij rats: A longitudinal EEG analysis of seizure expression. Epilepsy Res. 2021, 176, 106693. [Google Scholar] [CrossRef]
- Alves, S.S.; da Silva Junior, R.M.P.; Delfino-Pereira, P.; Pereira, M.G.A.G.; Vasconcelos, I.; Schwaemmle, H.; Mazzei, R.F.; Carlos, M.L.; Espreafico, E.M.; Tedesco, A.C.; et al. A Genetic Model of Epilepsy with a Partial Alzheimer’s Disease-Like Phenotype and Central Insulin Resistance. Mol. Neurobiol. 2022, 59, 3721–3737. [Google Scholar] [CrossRef]
- De Vries, E.E.; van den Munckhof, B.; Braun, K.P.; van Royen-Kerkhof, A.; de Jager, W.; Jansen, F.E. Inflammatory mediators in human epilepsy: A systematic review and meta-analysis. Neurosci. Biobehav. Rev. 2016, 63, 177–190. [Google Scholar] [CrossRef]
- Mazdeh, M.; Omrani, M.D.; Sayad, A.; Komaki, A.; Arsang-Jang, S.; Taheri, M.; Ghafouri-Fard, S. Expression analysis of cytokine coding genes in epileptic patients. Cytokine 2018, 110, 284–287. [Google Scholar] [CrossRef] [PubMed]
- Majoie, H.J.; Rijkers, K.; Berfelo, M.W.; Hulsman, J.A.; Myint, A.; Schwarz, M.; Vles, J.S. Vagus nerve stimulation in refractory epilepsy: Effects on pro- and anti-inflammatory cytokines in peripheral blood. Neuroimmunomodulation 2011, 18, 52–56. [Google Scholar] [CrossRef] [PubMed]
- Viviani, B.; Bartesaghi, S.; Gardoni, F.; Vezzani, A.; Behrens, M.M.; Bartfai, T.; Binaglia, M.; Corsini, E.; Di Luca, M.; Galli, C.L.; et al. Interleukin-1beta enhances NMDA receptor-mediated intracellular calcium increase through activation of the Src family of kinases. J. Neurosci. 2003, 23, 8692–8700. [Google Scholar] [CrossRef] [PubMed]
- Vezzani, A.; Conti, M.; De Luigi, A.; Ravizza, T.; Moneta, D.; Marchesi, F.; De Simoni, M.G. Interleukin-1beta immunoreactivity and microglia are enhanced in the rat hippocampus by focal kainate application: Functional evidence for enhancement of electrographic seizures. J. Neurosci. 1999, 19, 5054–5065. [Google Scholar] [CrossRef] [PubMed]
- Heida, J.G.; Moshé, S.L.; Pittman, Q.J. The role of interleukin-1beta in febrile seizures. Brain Dev. 2009, 31, 388–393. [Google Scholar] [CrossRef] [PubMed]
- Han, T.; Qin, Y.; Mou, C.; Wang, M.; Jiang, M.; Liu, B. Seizure induced synaptic plasticity alteration in hippocampus is mediated by IL-1β receptor through PI3K/Akt pathway. Am. J. Transl. Res. 2019, 8, 4499–4509. [Google Scholar]
- Mazarati, A.M.; Lewis, M.L.; Pittman, Q.J. Neurobehavioral comorbidities of epilepsy: Role of inflammation. Epilepsia 2017, 58, 48–56. [Google Scholar] [CrossRef]
- Rana, A.; Musto, A.E. The role of inflammation in the development of epilepsy. J. Neuroinflammation 2018, 15, 144. [Google Scholar] [CrossRef]
- Goehler, L.E.; Gaykema, R.P.; Hansen, M.K.; Anderson, K.; Maier, S.F.; Watkins, L.R. Vagal immune-to-brain communication: A visceral chemosensory pathway. Auton. Neurosci. 2000, 85, 49–59. [Google Scholar] [CrossRef]
- Hosoi, T.; Okuma, Y.; Nomura, Y. Electrical stimulation of afferent vagus nerve induces IL-1beta expression in the brain and activates HPA axis. Am. J. Physiol. Regul. Integr. Comp. Physiol. 2000, 279, 141–147. [Google Scholar] [CrossRef]
- Choi, J.; Nordli, D.R., Jr.; Alden, T.D.; DiPatri, A., Jr.; Laux, L.; Kelley, K.; Rosenow, J.; Schuele, S.U.; Rajaram, V.; Koh, S. Cellular injury and neuroinflammation in children with chronic intractable epilepsy. J. Neuroinflammation 2009, 6, 38. [Google Scholar] [CrossRef]
- Wu, Y.; Wang, X.; Mo, X.; Xi, Z.; Xiao, F.; Li, J.; Zhu, X.; Luan, G.; Wang, Y.; Li, Y.; et al. Expression of monocyte chemoattractant protein-1 in brain tissue of patients with intractable epilepsy. Clin. Neuropathol. 2008, 27, 55–63. [Google Scholar] [CrossRef] [PubMed]
- Foresti, M.L.; Arisi, G.M.; Katki, K.; Montañez, A.; Sanchez, R.M.; Shapiro, L.A. Chemokine CCL2 and its receptor CCR2 are increased in the hippocampus following pilocarpine-induced status epilepticus. J. Neuroinflammation 2009, 6, 40. [Google Scholar] [CrossRef] [PubMed]
- Arisi, G.M.; Foresti, M.L.; Katki, K.; Shapiro, L.A. Increased CCL2, CCL3, CCL5, and IL-1β cytokine concentration in piriform cortex, hippocampus, and neocortex after pilocarpine-induced seizures. J. Neuroinflammation 2015, 12, 129. [Google Scholar] [CrossRef] [PubMed]
- Manley, N.C.; Bertrand, A.A.; Kinney, K.S.; Hing, T.C.; Sapolsky, R.M. Characterization of monocyte chemoattractant protein-1 expression following a kainate model of status epilepticus. Brain Res. 2007, 1182, 138–143. [Google Scholar] [CrossRef] [PubMed]
- Varvel, N.H.; Neher, J.J.; Bosch, A.; Wang, W.; Ransohoff, R.M.; Miller, R.J.; Dingledine, R. Infiltrating monocytes promote brain inflammation and exacerbate neuronal damage after status epilepticus. Proc. Natl. Acad. Sci. USA 2016, 113, e5665–e5674. [Google Scholar] [CrossRef] [PubMed]
- Ikonomidou, C. Matrix metalloproteinases and epileptogenesis. Mol. Cell. Pediatr. 2014, 1, 6. [Google Scholar] [CrossRef] [PubMed]
- Rempe, R.G.; Hartz, A.M.S.; Soldner, E.L.B.; Sokola, B.S.; Alluri, S.R.; Abner, E.L.; Kryscio, R.J.; Pekcec, A.; Schlichtiger, J.; Bauer, B. Matrix Metalloproteinase-Mediated Blood-Brain Barrier Dysfunction in Epilepsy. J. Neurosci. 2018, 38, 4301–4315. [Google Scholar] [CrossRef]
- Korotkov, A.; Broekaart, D.W.M.; van Scheppingen, J.; Anink, J.J.; Baayen, J.C.; Idema, S.; Gorter, J.A.; Aronica, E.; van Vliet, E.A. Increased expression of matrix metalloproteinase 3 can be attenuated by inhibition of microRNA-155 in cultured human astrocytes. J. Neuroinflammation 2018, 15, 211. [Google Scholar] [CrossRef]
- Bronisz, E.; Kurkowska-Jastrzębska, I. Matrix Metalloproteinase 9 in Epilepsy: The Role of Neuroinflammation in Seizure Development. Mediat. Inflamm. 2016, 2016, 7369020. [Google Scholar] [CrossRef]
- Yang, Y.; Yang, L.Y.; Orban, L.; Cuylear, D.; Thompson, J.; Simon, B.; Yang, Y. Non-invasive vagus nerve stimulation reduces blood-brain barrier disruption in a rat model of ischemic stroke. Brain Stimul. 2018, 11, 689–698. [Google Scholar] [CrossRef] [PubMed]
- Liu, C.; Chu, D.; Kalantar-Zadeh, K.; George, J.; Young, H.A.; Liu, G. Cytokines: From Clinical Significance to Quantification. Adv. Sci. 2021, 8, e2004433. [Google Scholar] [CrossRef] [PubMed]
- Koopman, F.A.; Chavan, S.S.; Miljko, S.; Grazio, S.; Sokolovic, S.; Schuurman, P.R.; Mehta, A.D.; Levine, Y.A.; Faltys, M.; Zitnik, R.; et al. Vagus nerve stimulation inhibits cytokine production and attenuates disease severity in rheumatoid arthritis. Proc. Natl. Acad. Sci. USA 2016, 113, 8284–8289. [Google Scholar] [CrossRef] [PubMed]
- Bonaz, B.; Sinniger, V.; Pellissier, S. Vagus nerve stimulation: A new promising therapeutic tool in inflammatory bowel disease. J. Intern. Med. 2017, 282, 46–63. [Google Scholar] [CrossRef]
- Schneider, C.A.; Rasband, W.S.; Eliceiri, K.W. NIH Image to ImageJ: 25 years of image analysis. Nat. Methods 2012, 9, 671–675. [Google Scholar] [CrossRef]










Disclaimer/Publisher’s Note: The statements, opinions and data contained in all publications are solely those of the individual author(s) and contributor(s) and not of MDPI and/or the editor(s). MDPI and/or the editor(s) disclaim responsibility for any injury to people or property resulting from any ideas, methods, instructions or products referred to in the content. |
© 2023 by the authors. Licensee MDPI, Basel, Switzerland. This article is an open access article distributed under the terms and conditions of the Creative Commons Attribution (CC BY) license (https://creativecommons.org/licenses/by/4.0/).
Share and Cite
Gonçalves-Sánchez, J.; Sancho, C.; López, D.E.; Castellano, O.; García-Cenador, B.; Servilha-Menezes, G.; Corchado, J.M.; García-Cairasco, N.; Gonçalves-Estella, J.M. Effect of Vagus Nerve Stimulation on the GASH/Sal Audiogenic-Seizure-Prone Hamster. Int. J. Mol. Sci. 2024, 25, 91. https://doi.org/10.3390/ijms25010091
Gonçalves-Sánchez J, Sancho C, López DE, Castellano O, García-Cenador B, Servilha-Menezes G, Corchado JM, García-Cairasco N, Gonçalves-Estella JM. Effect of Vagus Nerve Stimulation on the GASH/Sal Audiogenic-Seizure-Prone Hamster. International Journal of Molecular Sciences. 2024; 25(1):91. https://doi.org/10.3390/ijms25010091
Chicago/Turabian StyleGonçalves-Sánchez, Jaime, Consuelo Sancho, Dolores E. López, Orlando Castellano, Begoña García-Cenador, Gabriel Servilha-Menezes, Juan M. Corchado, Norberto García-Cairasco, and Jesús M. Gonçalves-Estella. 2024. "Effect of Vagus Nerve Stimulation on the GASH/Sal Audiogenic-Seizure-Prone Hamster" International Journal of Molecular Sciences 25, no. 1: 91. https://doi.org/10.3390/ijms25010091
APA StyleGonçalves-Sánchez, J., Sancho, C., López, D. E., Castellano, O., García-Cenador, B., Servilha-Menezes, G., Corchado, J. M., García-Cairasco, N., & Gonçalves-Estella, J. M. (2024). Effect of Vagus Nerve Stimulation on the GASH/Sal Audiogenic-Seizure-Prone Hamster. International Journal of Molecular Sciences, 25(1), 91. https://doi.org/10.3390/ijms25010091

