Follicular Fluid Components in Reduced Ovarian Reserve, Endometriosis, and Idiopathic Infertility
Abstract
1. Introduction
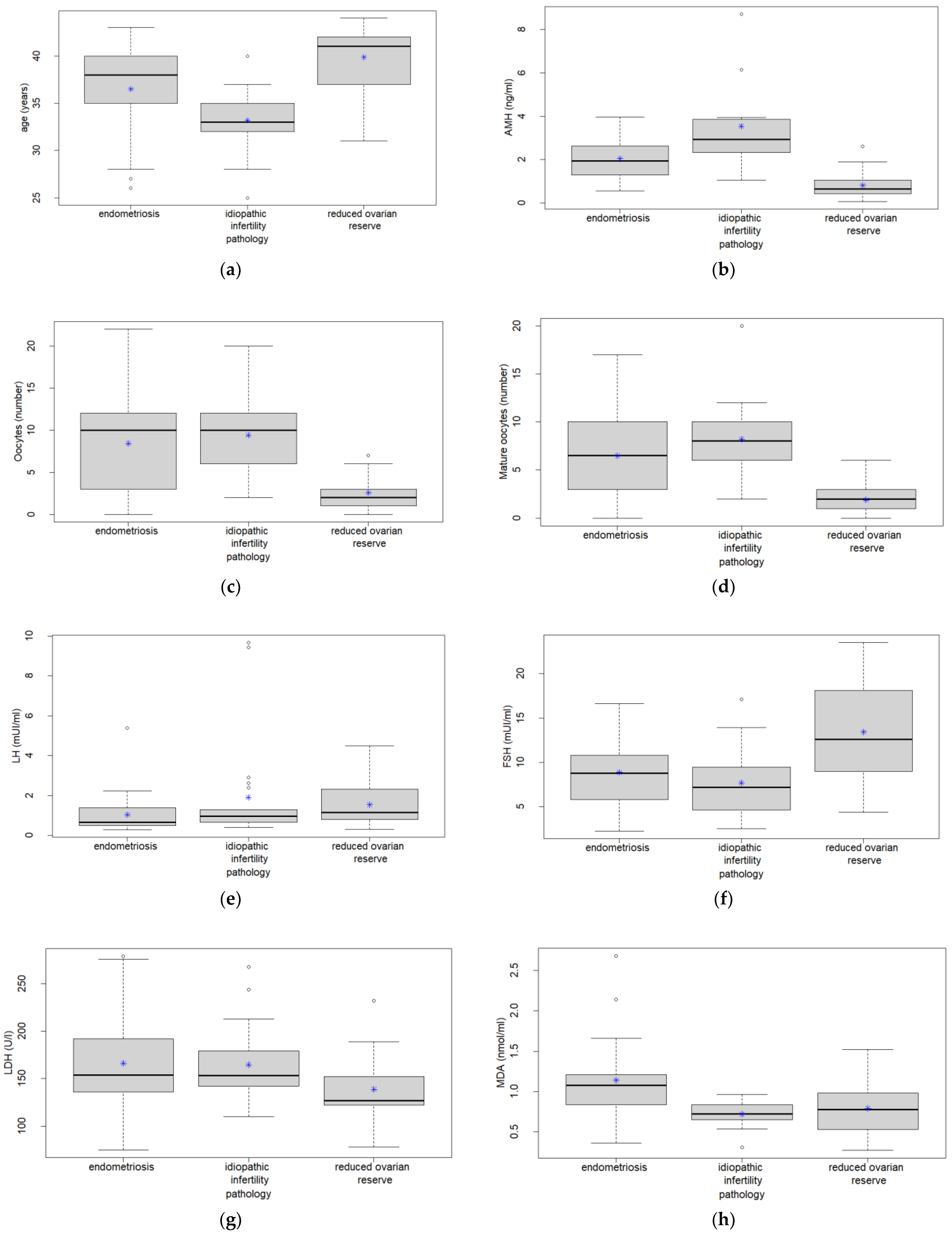
2. Results
3. Discussion
4. Conclusions
5. Materials and Methods
5.1. Patients
5.2. Clinical Biochemistry Determinations
5.3. F2-Isoprostane (F2-IsoP) Determination
5.4. Resolvin (Rv) D1 Assay
5.5. Total Glutathione (GSH)
5.6. Ascorbic Acid (AA) Assay
5.7. Malondialdehyde (MDA) Assessment
5.8. Catalase (CAT) Activity
5.9. Glutathione Reductase (GR) Activity
5.10. Glutathione Peroxidase (GP) Assay
5.11. Statistical Analysis
Supplementary Materials
Author Contributions
Funding
Institutional Review Board Statement
Informed Consent Statement
Data Availability Statement
Acknowledgments
Conflicts of Interest
Abbreviations
References
- Dumesic, D.A.; Meldrum, D.R.; Katz-Jaffe, M.G.; Krisher, R.L.; Schoolcraft, W.B. Oocyte environment: Follicular fluid and cumulus cells are critical for oocyte health. Fertil. Steril. 2015, 103, 303–316. [Google Scholar] [CrossRef] [PubMed]
- Ambekar, A.S.; Nirujogi, R.S.; Srikanth, S.M.; Chavan, S.; Kelkar, D.S.; Hinduja, I.; Zaveri, K.; Prasad, T.S.K.; Harsha, H.C.; Pandey, A.; et al. PROTEOMIC analysis of human follicular fluid: A new perspective towards understanding folliculogenesis. J. Proteomics. 2013, 87, 68–77. [Google Scholar] [CrossRef] [PubMed]
- Freitas, C.; Neto, A.C.; Matos, L.; Silva, E.; Ribeiro, A.; Silva-Carvalho, J.L.; Almeida, H. Follicular fluid redox involvement for ovarian follicle growth. J. Ovarian. Res. 2017, 10, 44. [Google Scholar] [CrossRef]
- Carbone, M.C.; Tatone, C.; Delle Monache, S.; Marci, R.; Caserta, D.; Colonna, R.; Amicarelli, F. Antioxidant enzymatic defences in human follicular fluid: Characterisation and age-dependent changes. Mol. Hum. Reprod. 2003, 9, 639–643. [Google Scholar] [CrossRef] [PubMed]
- Pacella, L.; Zander-Fox, D.L.; Armstrong, D.T.; Lane, M. Women with reduced ovarian reserve or advanced maternal age have an altered follicular environment. Fertil. Steril. 2012, 98, 986–994.e1–2. [Google Scholar] [CrossRef] [PubMed]
- Prins, J.R.; Marissen, L.M.; Scherjon, S.A.; Hoek, A.; Cantineau, A.E.P. Is there an immune modulating role for follicular fluid in endometriosis? A narrative review. Reproduction 2020, 159, R45–R54. [Google Scholar] [CrossRef]
- Jakubczyk, P.; Paja, W.; Pancerz, K.; Cebulskia, J.; Depciuchd, J.; Uzune, O.; Tarhanf, N.; Guleken, Z. Determination of idiopathic female infertility from infrared spectra of follicle fluid combined with gonadotrophin levels, multivariate analysis and machine learning methods. Photodiagn. Photodynam. Ther. 2022, 26, 102883. [Google Scholar] [CrossRef]
- Lewandowska, A.E.; Macur, K.; Czaplewska, P.; Liss, J.; Łukaszuk, K.; Ołdziej, S. Human follicular fluid proteomic and peptidomic composition quantitative studies by SWATH-MS methodology. Applicability of high pH RP-HPLC fractionation. J. Proteomics. 2019, 191, 131–142. [Google Scholar] [CrossRef]
- Kermack, A.J.; Wellstead, S.J.; Fisk, H.L.; Cheong, Y.; Houghton, F.D.; Macklon, N.S.; Calder, P.C. Fatty acid composition of human follicular fluid is altered by a 6-week dietary intervention that includes marine omega-3 fatty acids. Lipids 2021, 56, 201–209. [Google Scholar] [CrossRef]
- Rungsiwiwut, R.; Numchaisrika, P.; Thuwanut, P.; Pruksananonda, K. Characterisation of stem cells from human ovarian follicular fluid; a potential source of autologous stem cell for cell-based therapy. Hum. Cell 2021, 34, 300–309. [Google Scholar] [CrossRef]
- Collodel, G.; Moretti, E.; Noto, D.; Corsaro, R.; Signorini, C. Oxidation of polyunsaturated fatty acids as a promising area of research in infertility. Antioxidants 2022, 11, 1002. [Google Scholar] [CrossRef] [PubMed]
- Satué, K.; Fazio, E.; Ferlazzo, A.; Medica, P. Haematochemical patterns in follicular fluid and blood stream in cycling mares: A comparative note. J. Equine Vet. Sci. 2019, 80, 20–26. [Google Scholar] [CrossRef] [PubMed]
- King, T.P. On the sulphhydryl group of human plasma albumin. J. Biol. Chem. 1961, 236, PC5. [Google Scholar] [CrossRef] [PubMed]
- Otsuki, J.; Nagai, Y.; Matsuyama, Y.; Terada, T.; Era, S. The influence of the redox state of follicular fluid albumin on the viability of aspirated human oocytes. Syst. Biol. Reprod. Med. 2012, 58, 149–153. [Google Scholar] [CrossRef] [PubMed]
- Gonzalez, D.H.; Diaz, D.A.; Baumann, J.P.; Ghio, A.J.; Paulson, S.E. Effects of albumin, transferrin and humic-like substances on iron-mediated OH radical formation in human lung fluids. Free Radic. Biol. Med. 2021, 165, 79–87. [Google Scholar] [CrossRef]
- Gonzalès, J.; Lesourd, S.; Van Dreden, P.; Richard, P.; Lefèbvre, G.; Vauthier Brouzes, D. Protein composition of follicular fluid and oocyte cleavage occurrence in in vitro fertilisation (IVF). J. Assist. Reprod. Genet. 1992, 9, 211–262. [Google Scholar] [CrossRef]
- Mihou, D.; Katodritou, E.E.; Zervas, K. Multiple myeloma staging based on the combination of beta-2-microglobulin and albumin: The role of albumin in the model. Hematology 2007, 12, 527–531. [Google Scholar] [CrossRef]
- Li, C.; Wu, X.; Liu, S.; Shen, D.; Zhu, J.; Liu, K. Role of resolvins in the inflammatory resolution of neurological diseases. Front. Pharmacol. 2020, 11, 612. [Google Scholar] [CrossRef]
- Xiang, S.Y.; Ye, Y.; Yang, Q.; Xu, H.R.; Shen, C.X.; Ma, M.Q.; Jin, S.W.; Mei, H.X.; Sheng-Xing Zheng, S.X.; Smith, F.G.; et al. RvD1 accelerates the resolution of inflammation by promoting apoptosis of the recruited macrophages via the ALX/FasL-FasR/caspase-3 signalling pathway. Cell Death Discov. 2021, 7, 339. [Google Scholar] [CrossRef]
- Cui, L.; Qin, Y.; Gao, X.; Lu, J.; Geng, L.; Ding, L.; Qu, Z.; Zhang, X.; Chen, Z.J. Antimüllerian hormone: Correlation with age and androgenic and metabolic factors in women from birth to post-menopause. Fertil. Steril. 2016, 105, 481–485.e1. [Google Scholar] [CrossRef]
- Shrikhande, L.L.; Shrikhande, B.; Shrikhande, A. AMH and its clinical implications. J. Obstet. Gynecol. India 2020, 70, 337–341. [Google Scholar] [CrossRef] [PubMed]
- Signorini, C.; Moretti, E.; Noto, D.; Micheli, L.; Ponchia, R.; Collodel, G. Fatty acid oxidation and pro-resolving lipid mediators are related to male infertility. Antioxidants 2022, 11, 107. [Google Scholar] [CrossRef]
- Milne, G.L.; Yin, H.; Hardy, K.D.; Davies, S.S.; Roberts, L.J. 2nd. Isoprostane generation and function. Chem. Rew. 2011, 111, 5973–5996. [Google Scholar] [CrossRef] [PubMed]
- Regidor, P.A.; de la Rosa, X.; Müller, A.; Mayr, M.; Gonzalez Santos, F.; Banzo, R.G.; Rizo, J.M. PCOS: A chronic disease that fails to produce adequately specialised pro-resolving lipid mediators (SPMs). Biomedicines 2022, 10, 456. [Google Scholar] [CrossRef]
- Agarwal, A.; Aponte-Mellado, A.; Premkumar, B.J.; Shaman, A.; Gupta, S. The effects of oxidative stress on female reproduction: A review. Reprod Biol. Endocrinol. 2012, 10, 49. [Google Scholar] [CrossRef]
- Banihani, S.A.; Abu-Alhayjaa, R.F. The activity of seminal creatine kinase is increased in the presence of pentoxifylline. Andrologia 2016, 48, 603–604. [Google Scholar] [CrossRef]
- Collodel, G.; Nerucci, F.; Signorini, C.; Iacoponi, F.; Moretti, E. Associations between biochemical components of human semen with seminal conditions. Syst. Biol. Reprod. Med. 2019, 65, 155–163. [Google Scholar] [CrossRef]
- Nasrallah, F.; Hammami, M.B.; Omar, S.; Aribia, H.B.; Sanhaji, H.; Feki, M. Semen creatine and creatine kinase activity as an indicator of sperm quality. Clin. Lab. 2020, 66. [Google Scholar] [CrossRef]
- Lee, M.S.; Liu, C.H.; Lee, T.H.; Lee, T.H.; Wu, H.M.; Huang, C.C.; Huang, L.S.; Chen, C.M.; Cheng, E.H. Association of creatin kinase B and peroxiredoxin 2 expression with age and embryo quality in cumulus cells. J. Assist. Reprod. Genet. 2010, 27, 629–639. [Google Scholar] [CrossRef]
- Adiga, S.K.; Kumar, P.; Bijoor, S.N. Lactate dehydrogenase estimation in follicular fluid: Correlation with patient age, follicle size and super ovulation in ART cycles. Eur. J. Obstet. Gynaecol. Reprod. Biol. 2002, 105, 150–154. [Google Scholar] [CrossRef]
- Steiner, A.Z.; Pritchard, D.; Stanczyk, F.Z.; Kesner, J.S.; Meadows, J.W.; Herring, A.H.; Baird, D.D. Association between biomarkers of ovarian reserve and infertility among older women of reproductive age. JAMA 2017, 318, 1367–1376. [Google Scholar] [CrossRef]
- Du, Y.B.; Gao, M.Z.; Shi, Y.; Sun, Z.G.; Wang, J. Endocrine and inflammatory factors and endometriosis-associated infertility in assisted reproduction techniques. Arch. Gynecol. Obstet. 2013, 287, 123–130. [Google Scholar] [CrossRef]
- Liu, F.; He, L.; Liu, Y.; Shi, Y.; Du, H. The expression and role of oxidative stress markers in the serum and follicular fluid of patients with endometriosis. Clin. Exp. Obstet. Gynecol. 2013, 40, 372–376. [Google Scholar]
- Choi, Y.S.; Cho, S.; Seo, S.K.; Park, J.H.; Kim, S.H.; Lee, B.S. Alteration in the intrafollicular thiol-redox system in infertile women with endometriosis. Reproduction 2015, 149, 155–162. [Google Scholar] [CrossRef]
- Micheli, L.; Cerretani, D.; Collodel, G.; Menchiari, A.; Moltoni, L.; Fiaschi, A.I.; Moretti, E. Evaluation of enzymatic and non-enzymatic antioxidants in seminal plasma of men with genitourinary infections, varicocele and idiopathic infertility. Andrology 2016, 4, 456–464. [Google Scholar] [CrossRef]
- Zhang, X.; Wang, T.; Song, J.; Deng, J.; Sun, Z. Study on follicular fluid metabolomics components at different ages based on lipid metabolism. Reprod. Biol. Endocrinol. 2020, 18, 42. [Google Scholar] [CrossRef]
- Revelli, A.; Delle Piane, L.; Casano, S.; Molinari, E.; Massobrio, M.; Rinaudo, P. Follicular fluid content and oocyte quality: From single biochemical markers to metabolomics. Reprod. Biol. Endocrinol. 2009, 7, 40. [Google Scholar] [CrossRef]
- Ferraretti, A.P.; La Marca, A.; Fauser, B.C.J.M.; Tarlatzis, B.; Nargund, G.; Gianaroli, L.; ESHRE working group on Poor Ovarian Response Definition. ESHRE consensus on the definition of ’poor response’ to ovarian stimulation for in vitro fertilisation: The Bologna criteria. Hum Reprod. 2011, 26, 1616–1624. [Google Scholar] [CrossRef]
- Kennedy, S.; Bergqvist, A.A.; Chapron, C.; D’Hooghe, T.; Dunselman, G.; Greb, R.; Hummelshoj, L.; Prentice, A.; Saridogan, E. ESHRE Special Interest Group for Endometriosis and Endometrium Guideline Development Group, ESHRE guideline for the diagnosis and treatment of endometriosis. Hum. Reprod. 2005, 20, 2698–2704. [Google Scholar] [CrossRef]
- Dunselman, G.A.; Vermeulen, N.; Becker, C.; Calhaz-Jorge, C.; D’ Hooghe, T.; De Bie, B.; Heikinheimo, O.; Horne, A.W.; Kiesel, L.; Nap, A.; et al. European Society of Human Reproduction and Embryology. ESHRE guideline: Management of women with endometriosis. Hum. Reprod. 2014, 29, 400–412. [Google Scholar] [CrossRef]
- Signorini, C.; De Felice, C.; Durand, T.; Galano, J.M.; Oger, C.; Leoncini, S.; Hayek, J.; Chung-Yung Lee, J.; Lund, T.C.; Orchard, P.J. Isoprostanoid plasma levels are relevant to cerebral adrenoleukodystrophy disease. Life 2022, 12, 146. [Google Scholar] [CrossRef] [PubMed]
- Nencini, C.; Giorgi, G.; Micheli, L. Protective effect of silymarin on oxidative stress in rat brain. Phytomedicine 2007, 14, 129–135. [Google Scholar] [CrossRef]
- Ross, M.A. Determination of ascorbic acid and uric acid in plasma by high-performance liquid chromatography. J. Chromatogr. B Biomed. Sci. Appl. 1994, 657, 197–200. [Google Scholar] [CrossRef] [PubMed]
- Shara, M.A.; Dickson, P.H.; Bagchi, D.; Stohs, S.J. Excretion of formaldehyde, malondialdehyde, acetaldehyde and acetone in the urine of rats in response to 2,3,7,8-tetrachlorodibenzo-p-dioxin, paraquat, endrin and carbon tetrachloride. J. Chromatogr. 1992, 576, 221–233. [Google Scholar] [CrossRef] [PubMed]
- Johansson, H.; Borg, L.A.H. A spectrophotometric method for determination of catalase activity in small tissue samples. Anal. Biochem. 1988, 174, 331–336. [Google Scholar] [CrossRef] [PubMed]
- Cribb, A.E.; Leeder, J.S.; Spielberg, S.P. Use of a microplate reader in an assay of glutathione reductase using 5,5ʹ-dithiobis(2-nitrobenzoic acid). Anal. Biochem. 1989, 183, 195–196. [Google Scholar] [CrossRef] [PubMed]
- Flohé, L.; Günzler, W.A. Assays of glutathione peroxidase. Methods Enzymol. 1984, 105, 114–121. [Google Scholar]


| ALB | B12 | AMH | Oocytes n° | Mature Oocytes n° | B2MG | LH | FSH | TESTO | Fe | LDH | CK | MDA | GSH | GP | GR | CAT | AA | F2-IsoPs | RvD1 | IL-6 | |
|---|---|---|---|---|---|---|---|---|---|---|---|---|---|---|---|---|---|---|---|---|---|
| ≥38 years | 3.5 (3.1–3.8) | 216.5 (171–289.8) | 0.77 (0.6–1.8) | 3 (1–7.2) | 2.5 (1–5.2) | 1.9 (1.7–2.1) | 0.9 (0.6–1.6) | 10.6 (8.7–15.9) | 5.8 (3.1–10.4) | 61.2 (48.4–75.1) | 136.5 (122.8–160.5) | 57.5 (40.2–76.2) | 0.9 (0.6–1.1) | 0.03 (0.02–0.05) | 60.5 (51.9–70.6) | 13.8 (11.5–15.9) | 6.3 (4.6–8.3) | 7.6 (3.8–12.2) | 54.8 (45.5–67.9) | 563 (413–764) | 12.1 (8.5–16.9) |
| <38 years | 3.4 (2.9–3.9) | 239.5 (198–294.8) | 2.3 (1.2–3.5) | 8.5 (3.7–12) | 6 (2.7–10) | 2.1 (1.8–2.4) | 0.8 (0.6–1.4) | 7.7 (4.6–10.8) | 4.3 (3–8.8) | 69.4 (57.3–75.8) | 152 (134–181.5) | 45 (35–55.2) | 0.6 (0.6–0.7) | 0.05 (0.03–0.07) | 77.8 (59.1–114.7) | 12.4 (9–16.2) | 5.6 (4.2–7.8) | 10.5 (6.3–14.6) | 54.1 (45.2–72.2) | 459.4 (367.7–555.6) | 12 (8–14.5) |
| p-values | ns | ns | 0.007 | 0.003 | 0.004 | ns | ns | 0.0004 | ns | ns | ns | ns | ns | ns | ns | ns | ns | ns | ns | ns | ns |
| Age | ALB | B12 | AMH | Oocytes n° | Mature Oocytes n° | B2MG | LH | FSH | TESTO | Fe | LDH | CK | MDA | GSH | GP | GR | CAT | AA | F2-IsoPs | RvD1 | IL-6 | |
|---|---|---|---|---|---|---|---|---|---|---|---|---|---|---|---|---|---|---|---|---|---|---|
| Negative ART outcome | 38 (35–42) | 3.5 (2.8–3.8) | 237 (182–310) | 1 (0.6–2.2) | 4 (1–10) | 3 (1–7) | 1.9 (1.7–2.2) | 0.9 (0.6–1.7) | 10.3 (8.2–13.5) | 6.1 (2.9–10) | 62.8 (48–75.6) | 147 (124–175) | 47 (36–66) | 0.9 (0.6–1.1) | 0.03 (0.02–0.05) | 60.5 (51.9–70.6) | 13.8 (11.5–15.9) | 6.3 (4.6–8.3) | 7.6 (3.8–12.2) | 54.8 (45.5–67.9) | 563 (413–764) | 12.1 (8.5–16.9) |
| Positive ART outcome | 34 (32–37) | 3.5 (3.4–3.8) | 229 (205–271.5) | 2.8 (2.4–3.7) | 10 (5.5–11.5) | 8 (5.5–11) | 2.3 (1.9–2.4) | 0.7 (0.6–1.2) | 7.2 (4.6–9.1) | 3.9 (3.2–5.7) | 69.4 (63.2–78.4) | 152 (138–175.5) | 46 (43–56.5) | 0.6 (0.6–0.7) | 0.05 (0.03–0.07) | 77.8 (59.1–114.7) | 12.4 (9–16.2) | 5.6 (4.2–7.8) | 10.5 (6.3–14.6) | 54.1 (45.2–72.2) | 459.4 (367.7–555.6) | 12 (8–14.5) |
| p-values | 0.005 | ns | ns | 0.021 | 0.013 | 0.0016 | 0.021 | ns | 0.0069 | ns | ns | ns | ns | ns | ns | ns | ns | ns | ns | ns | ns | ns |
| Age | AMH | Oocytes n° | Mature Oocytes n° | LH | FSH | LDH | MDA | RvD1 | |
|---|---|---|---|---|---|---|---|---|---|
| sample size | 62 | 38 | 62 | 62 | 62 | 62 | 62 | 50 | 55 |
| n° patients for group | 22, 21, 29 | 7, 12, 19 | 22, 21, 29 | 22, 21, 29 | 22, 21, 29 | 22, 21, 29 | 22, 21, 29 | 16, 13, 21 | 18, 18, 19 |
| endometriosis-idiopathic infertility | 0.011 | 0.147 | 0.375 | 0.162 | 0.181 | 0.317 | 0.914 | 0.040 | 0.074 |
| endometriosis-reduced ovarian reserve | 0.022 | 0.054 | <0.001 | <0.001 | 0.039 | 0.011 | 0.035 | 0.036 | 0.801 |
| idiopathic infertility- reduced ovarian reserve | <0.001 | <0.001 | <0.001 | <0.001 | 0.503 | <0.001 | 0.041 | 0.692 | 0.080 |
| p-value | <0.001 | <0.001 | <0.001 | <0.001 | 0.042 | <0.001 | 0.017 | 0.021 | 0.047 |
Disclaimer/Publisher’s Note: The statements, opinions and data contained in all publications are solely those of the individual author(s) and contributor(s) and not of MDPI and/or the editor(s). MDPI and/or the editor(s) disclaim responsibility for any injury to people or property resulting from any ideas, methods, instructions or products referred to in the content. |
© 2023 by the authors. Licensee MDPI, Basel, Switzerland. This article is an open access article distributed under the terms and conditions of the Creative Commons Attribution (CC BY) license (https://creativecommons.org/licenses/by/4.0/).
Share and Cite
Collodel, G.; Gambera, L.; Stendardi, A.; Nerucci, F.; Signorini, C.; Pisani, C.; Marcheselli, M.; Vellucci, F.L.; Pizzasegale, S.E.; Micheli, L.; et al. Follicular Fluid Components in Reduced Ovarian Reserve, Endometriosis, and Idiopathic Infertility. Int. J. Mol. Sci. 2023, 24, 2589. https://doi.org/10.3390/ijms24032589
Collodel G, Gambera L, Stendardi A, Nerucci F, Signorini C, Pisani C, Marcheselli M, Vellucci FL, Pizzasegale SE, Micheli L, et al. Follicular Fluid Components in Reduced Ovarian Reserve, Endometriosis, and Idiopathic Infertility. International Journal of Molecular Sciences. 2023; 24(3):2589. https://doi.org/10.3390/ijms24032589
Chicago/Turabian StyleCollodel, Giulia, Laura Gambera, Anita Stendardi, Fabiola Nerucci, Cinzia Signorini, Caterina Pisani, Marzia Marcheselli, Francesca Letizia Vellucci, Silvana Enrica Pizzasegale, Lucia Micheli, and et al. 2023. "Follicular Fluid Components in Reduced Ovarian Reserve, Endometriosis, and Idiopathic Infertility" International Journal of Molecular Sciences 24, no. 3: 2589. https://doi.org/10.3390/ijms24032589
APA StyleCollodel, G., Gambera, L., Stendardi, A., Nerucci, F., Signorini, C., Pisani, C., Marcheselli, M., Vellucci, F. L., Pizzasegale, S. E., Micheli, L., & Moretti, E. (2023). Follicular Fluid Components in Reduced Ovarian Reserve, Endometriosis, and Idiopathic Infertility. International Journal of Molecular Sciences, 24(3), 2589. https://doi.org/10.3390/ijms24032589

