Phytoestrogens Present in Follicular Fluid and Urine Are Positively Associated with IVF Outcomes following Single Euploid Embryo Transfer
Abstract
1. Introduction
2. Results
2.1. Participants Demographic Characteristics
2.2. Phytoestrogen Distribution in Biofluids
2.3. Association of Phytoestrogen Concentrations with Ovarian Reserve, Ovarian Response, and Preimplantation IVF Outcomes
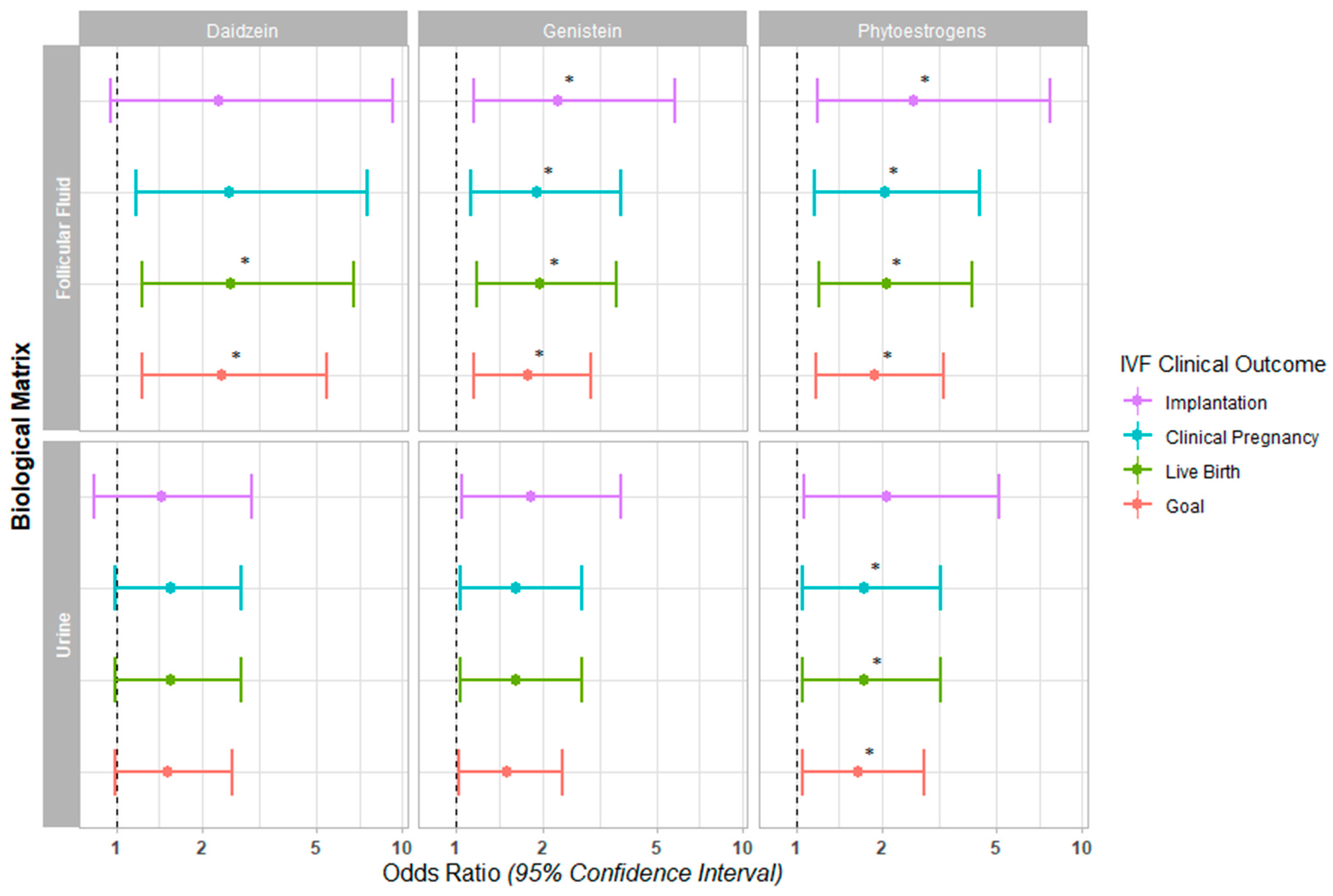
2.4. Association of Phytoestrogen Concentrations with Clinical IVF Outcomes
3. Discussion
4. Materials and Methods
4.1. Study Population
4.2. Collection of Follicular Fluid and Urine Samples
4.3. Phytoestrogen Quantification by UPLC–MS/MS
4.4. Clinical Management and Outcome Assessment
4.5. Statistical Analysis
5. Conclusions
Supplementary Materials
Author Contributions
Funding
Institutional Review Board Statement
Informed Consent Statement
Data Availability Statement
Acknowledgments
Conflicts of Interest
References
- Kim, I.S. Current perspectives on the beneficial effects of soybean isoflavones and their metabolites on plants. Food Sci. Biotechnol. 2022, 31, 515–526. [Google Scholar] [CrossRef] [PubMed]
- Carbonel, A.A.F.; Simões, R.S.; Girão, J.H.C.; Da Silva Sasso, G.R.; Bertoncini, C.R.A.; Sorpreso, I.C.E.; Soares, J.M.; Simões, M.J.; Baracat, E.C. Isoflavones in gynecology. Rev. Assoc. Med. Bras. 2018, 64, 560–564. [Google Scholar] [CrossRef]
- Křížová, L.; Dadáková, K.; Kašparovská, J.; Kašparovský, T. Isoflavones. Molecules 2019, 24, 1076. [Google Scholar] [CrossRef] [PubMed]
- Rizzo, G.; Feraco, A.; Storz, M.A.; Lombardo, M. The role of soy and soy isoflavones on women’s fertility and related outcomes: An update. J. Nutr. Sci. 2022, 11, e17. [Google Scholar] [CrossRef] [PubMed]
- Pool, K.R.; Chazal, F.; Smith, J.T.; Blache, D. Estrogenic Pastures: A Source of Endocrine Disruption in Sheep Reproduction. Front. Endocrinol. 2022, 13, 880861. [Google Scholar] [CrossRef] [PubMed]
- Setchell, K.D.R.; Gosselin, S.J.; Welsh, M.B.; Johnston, J.O.; Balistreri, W.F.; Kramer, L.W.; Dresser, B.L.; Tarr, M.J. Dietary estrogens-A probable cause of infertility and liver disease in captive cheetahs. Gastroenterology 1987, 93, 225–233. [Google Scholar] [CrossRef]
- Muhlhauser, A.; Susiarjo, M.; Rubio, C.; Griswold, J.; Gorence, G.; Hassold, T.; Hunt, P.A. Bisphenol A effects on the growing mouse oocyte are influenced by diet. Biol. Reprod. 2009, 80, 1066–1071. [Google Scholar] [CrossRef]
- Awoniyi, C.A.; Roberts, D.; Rao Veeramachaneni, D.N.; Hurst, B.S.; Tucker, K.E.; Schlaff, W.D. Reproductive sequelae in female rats after in utero and neonatal exposure to the phytoestrogen genistein. Fertil. Steril. 1998, 70, 440–447. [Google Scholar] [CrossRef]
- Wu, Z.; Yang, Y.; Chen, Y.; Xia, G.; Zhang, R. Effects of subcutaneous administration of daidzein on blastocyst implantation in rats. Food Chem. Toxicol. 2005, 43, 167–172. [Google Scholar] [CrossRef]
- Md Zin, S.R.; Omar, S.Z.; Ali Khan, N.L.; Musameh, N.I.; Das, S.; Kassim, N.M. Effects of the phytoestrogen genistein on the development of the reproductive system of Sprague Dawley rats. Clinics 2013, 68, 253–262. [Google Scholar] [CrossRef]
- Salsano, S.; Pérez-Debén, S.; Quiñonero, A.; González-Martín, R.; Domínguez, F. Phytoestrogen exposure alters endometrial stromal cells and interferes with decidualization signaling. Fertil. Steril. 2019, 112, 947–958.e3. [Google Scholar] [CrossRef]
- Toktay, E.; Selli, J.; Gurbuz, M.A.; Tastan, T.B.; Ugan, R.A.; Un, H.; Halici, Z. Effects of soy isoflavonoids (genistein and daidzein) on endometrial receptivity. Iran. J. Basic Med. Sci. 2020, 23, 1603–1609. [Google Scholar] [CrossRef]
- Kohama, T.; Kobayashi, H.; Inoue, M. The effect of soybeans on the anovulatory cycle. J. Med. Food 2005, 8, 550–551. [Google Scholar] [CrossRef]
- Unfer, V.; Casini, M.L.; Gerli, S.; Costabile, L.; Mignosa, M.; Di Renzo, G.C. Phytoestrogens may improve the pregnancy rate in in vitro fertilization-embryo transfer cycles: A prospective, controlled, randomized trial. Fertil. Steril. 2004, 82, 1509–1513. [Google Scholar] [CrossRef]
- Shahin, A.Y.; Ismail, A.M.; Shaaban, O.M. Supplementation of clomiphene citrate cycles with Cimicifuga racemosa or ethinyl oestradiol—A randomized trial. Reprod. Biomed. Online 2009, 19, 501–507. [Google Scholar] [CrossRef]
- Mumford, S.L.; Sundaram, R.; Schisterman, E.F.; Sweeney, A.M.; Barr, D.B.; Rybak, M.E.; Maisog, J.M.; Parker, D.L.; Pfeiffer, C.M.; Buck Louis, G.M. Higher urinary lignan concentrations in women but not men are positively associated with shorter time to pregnancy. J. Nutr. 2014, 144, 352–358. [Google Scholar] [CrossRef]
- Wesselink, A.K.; Hatch, E.E.; Mikkelsen, E.M.; Trolle, E.; Willis, S.K.; McCann, S.E.; Valsta, L.; Lundqvist, A.; Tucker, K.L.; Rothman, K.J.; et al. Dietary phytoestrogen intakes of adult women are not strongly related to fecundability in 2 preconception cohort studies. J. Nutr. 2020, 150, 1240–1251. [Google Scholar] [CrossRef]
- Vanegas, J.C.; Afeiche, M.C.; Gaskins, A.J.; Mínguez-Alarcón, L.; Williams, P.L.; Wright, D.L.; Toth, T.L.; Hauser, R.; Chavarro, J.E. Soy food intake and treatment outcomes of women undergoing assisted reproductive technology. Fertil. Steril. 2015, 103, 749–755.e2. [Google Scholar] [CrossRef]
- Sun, J.; Jiang, H.; Wang, W.; Dong, X.; Zhang, D. Associations of Urinary Phytoestrogen Concentrations with Sleep Disorders and Sleep Duration among Adults. Nutrients 2020, 12, 2103. [Google Scholar] [CrossRef]
- Montenegro, I.S.; Kuhl, C.P.; Schneider, R.d.A.; Zachia, S.d.A.; Durli, I.C.L.d.O.; Terraciano, P.B.; Rivero, R.C.; Passos, E.P. Use of clomiphene citrate protocol for controlled ovarian stimulation impairs endometrial maturity. J. Bras. Reprod. Assist. 2021, 25, 90–96. [Google Scholar] [CrossRef]
- Chavarro, J.E.; Mínguez-Alarcón, L.; Chiu, Y.H.; Gaskins, A.J.; Souter, I.; Williams, P.L.; Calafat, A.M.; Hauser, R. Soy intake modifies the relation between urinary bisphenol a concentrations and pregnancy outcomes among women undergoing assisted reproduction. J. Clin. Endocrinol. Metab. 2016, 101, 1082–1090. [Google Scholar] [CrossRef] [PubMed]
- Haddad, Y.H.; Said, R.S.; Kamel, R.; Morsy, E.M.E.; El-Demerdash, E. Phytoestrogen genistein hinders ovarian oxidative damage and apoptotic cell death-induced by ionizing radiation: Co-operative role of ER-β, TGF-β, and FOXL-2. Sci. Rep. 2020, 10, 13551. [Google Scholar] [CrossRef] [PubMed]
- Sharma, R.; Biedenharn, K.R.; Fedor, J.M.; Agarwal, A. Lifestyle factors and reproductive health: Taking control of your fertility. Reprod. Biol. Endocrinol. 2013, 11, 66. [Google Scholar] [CrossRef] [PubMed]
- Hanson, B.M.; Kim, J.G.; Osman, E.K.; Tiegs, A.W.; Lathi, R.B.; Cheng, P.J.; Scott, R.T.; Franasiak, J.M. Impact of paternal age on embryology and pregnancy outcomes in the setting of a euploid single-embryo transfer with ejaculated sperm: Retrospective cohort study. F S Rep. 2020, 1, 99–105. [Google Scholar] [CrossRef]
- Tiegs, A.W.; Tao, X.; Zhan, Y.; Whitehead, C.; Kim, J.; Hanson, B.; Osman, E.; Kim, T.J.; Patounakis, G.; Gutmann, J.; et al. A multicenter, prospective, blinded, nonselection study evaluating the predictive value of an aneuploid diagnosis using a targeted next-generation sequencing–based preimplantation genetic testing for aneuploidy assay and impact of biopsy. Fertil. Steril. 2021, 115, 627–637. [Google Scholar] [CrossRef]
- Yoshida, K.; Bartel, A. tableone: Create “Table 1” to Describe Baseline Characteristics with or without Propensity Score Weights. Available online: https://cran.r-project.org/package=tableone (accessed on 15 January 2022).
- Wei, T.; Simko, V. R Package “corrplot”: Visualization of a Correlation Matrix. Available online: https://github.com/taiyun/corrplot (accessed on 15 January 2022).
- Barnier, J.; Briatte, F.; Larmarange, J. Questionr: Functions to Make Surveys Processing Easier. Available online: https://cran.r-project.org/package=questionr (accessed on 15 January 2022).

| Demographic characteristics | |
| Age (years), median [IQR] | 33.40 [31.37–36.50] |
| Body mass index (kg/m2), median [IQR] | 23.87 [21.57–26.30] |
| Race/ethnic group, n (%) | |
| White/Caucasian | 43 (71.7%) |
| Afro-American | 2 (3.3%) |
| Asian | 6 (10.0%) |
| Hispanic | 6 (10.0%) |
| Other | 3 (5.0%) |
| Education level, n (%) | |
| >High school | 55 (94.8%) |
| Smoking habit, n (%) | |
| Never Smoked | 49 (81.7%) |
| Ex-smoker | 10 (16.7%) |
| Passive smoker | 1 (1.7%) |
| Reproductive characteristics | |
| Serum AMH (ng/mL), median [IQR] | 3.60 [2.49–5.17] |
| Initial GnRH Antagonist stimulation protocol, n (%) | 60 (100.0%) |
| Total FSH dose during stimulation (IU), median [IQR] | 2100.00 [1800.00–2700.00] |
| Total LH dose during stimulation (IU), median [IQR] | 1125.00 [675.00–1443.75] |
| Serum E2 on trigger day (pg/mL), median [IQR] | 3750.65 [2622.20–5204.62] |
| Number of retrieved oocytes, median [IQR] | 17.00 [11.00–24.25] |
| Oocyte maturation rate, % mean ± SD | 77.47 ± 14.30% |
| Fertilization rate, % mean ± SD | 81.44 ± 16.29% |
| Blastulation rate, % mean ± SD | 55.62 ± 21.47% |
| Euploid rate, % mean ± SD | 60.17 ± 23.72% |
| Transfer rate, n (%) | 55 (91.7%) |
| Implantation (positive hCG) rate, n (%) | 44 (80.0%) |
| Clinical pregnancy rate, n (%) | 38 (69.1%) |
| Live newborn rate, n (%) | 35 (63.6%) |
| Reproductive goal rate, n (%) | 35 (58.3%) |
| LOD | Detected (%) | GM ± SD | Minimun | 25% | 50% | 75% | Maximun | |
|---|---|---|---|---|---|---|---|---|
| Follicular Fluid | ||||||||
| Daidzein (ng/mL) | 0.25 | 53.60% | 0.24 (2.96) | 0.10 | 0.10 | 0.17 | 0.32 | 20.94 |
| Genistein (ng/mL) | 0.25 | 78.60% | 1.19 (9.11) | 0.20 | 0.47 | 0.81 | 2.78 | 44.74 |
| ∑ phytoestrogens (ng/mL) | N/A | N/A | 1.51 (11.44) | 0.30 | 0.60 | 1.10 | 3.44 | 57.88 |
| Urine | ||||||||
| Daidzein (ng/mL) | 0.25 | 100% | 47.64 (685.16) | 3.45 | 16.24 | 36.56 | 137.69 | 3725.67 |
| Creatinine Corrected (µg/g CR) | 54.69 (565.26) | 3.74 | 7.84 | 23.64 | 47.32 | 124.80 | ||
| Genistein (ng/mL) | 0.25 | 100% | 38.83 (348.60) | 0.81 | 10.91 | 43.79 | 101.73 | 2010.60 |
| Creatinine Corrected (µg/g CR) | 44.57 (281.26) | 2.76 | 7.04 | 16.10 | 35.45 | 114.57 | ||
| ∑ phytoestrogens (ng/mL) | N/A | N/A | 104.88 (916.19) | 4.69 | 39.65 | 77.76 | 243.17 | 4395.50 |
| Creatinine Corrected (µg/g CR) | 120.41 (728.19) | 9.71 | 42.37 | 100.90 | 253.55 | 3988.65 |
| Anti-Mullerian Hormone | Serum Estradiol on Day of hCG Trigger | Number of Retrieved Oocytes | Mature Oocytes | Fertilized Embryos | Blastocysts | Euploid Embryos | ||||||||
|---|---|---|---|---|---|---|---|---|---|---|---|---|---|---|
| p20 vs. p80 (95% CI) | p | p20 vs. p80 (95% CI) | p | p20 vs. p80 (95% CI) | p | p20 vs. p80 (95% CI) | p | p20 vs. p80 (95% CI) | p | p20 vs. p80 (95%CI) | p | p20 vs. p80 (95%CI) | p | |
| Follicular Fluid | ||||||||||||||
| Daidzein | 1.43 (0.75–2.76) | 0.273 | 1.15 (1.00–1.31) | 0.044 | 1.10 (0.95–1.27) | 0.195 | 1.16 (1.03–1.31) | 0.017 | 1.19 (1.05–1.35) | 0.009 | 1.11 (0.97–1.27) | 0.134 | 1.04 (0.89–1.21) | 0.604 |
| Genistein | 3.00 (0.84–10.74) | 0.089 | 1.41 (1.09–1.82) | 0.010 | 1.13 (0.82–1.56) | 0.456 | 1.23 (0.92–1.65) | 0.166 | 1.28 (0.94–1.75) | 0.112 | 1.12 (0.82–1.52) | 0.481 | 1.00 (0.71–1.40) | 0.997 |
| Phytoestrogens | 2.51 (0.84–7.46) | 0.097 | 1.33 (1.07–1.66) | 0.012 | 1.13 (0.86–1.48) | 0.382 | 1.22 (0.96–1.56) | 0.105 | 1.27 (0.98–1.64) | 0.066 | 1.12 (0.86–1.45) | 0.388 | 1.02 (0.77–1.35) | 0.903 |
| Urine | ||||||||||||||
| Daidzein | 1.45 (0.61–3.44) | 0.389 | 1.13 (0.95–1.35) | 0.176 | 1.10 (0.91–1.34) | 0.300 | 1.23 (1.06–1.43) | 0.007 | 1.27 (1.09–1.48) | 0.003 | 1.12 (0.95–1.32) | 0.171 | 1.07 (0.89–1.28) | 0.450 |
| Genistein | 3.28 (1.06–10.20) | 0.040 | 1.29 (1.02–1.63) | 0.036 | 1.21 (0.92–1.59) | 0.175 | 1.31 (1.03–1.66) | 0.030 | 1.34 (1.05–1.72) | 0.020 | 1.21 (0.94–1.56) | 0.133 | 1.14 (0.86–1.51) | 0.352 |
| Phytoestrogens | 2.34 (0.84–6.52) | 0.103 | 1.23 (1.00–1.52) | 0.054 | 1.17 (0.93–1.47) | 0.188 | 1.30 (1.08–1.56) | 0.007 | 1.34 (1.10–1.62) | 0.004 | 1.17 (0.95–1.43) | 0.133 | 1.12 (0.89–1.40) | 0.320 |
Disclaimer/Publisher’s Note: The statements, opinions and data contained in all publications are solely those of the individual author(s) and contributor(s) and not of MDPI and/or the editor(s). MDPI and/or the editor(s) disclaim responsibility for any injury to people or property resulting from any ideas, methods, instructions or products referred to in the content. |
© 2023 by the authors. Licensee MDPI, Basel, Switzerland. This article is an open access article distributed under the terms and conditions of the Creative Commons Attribution (CC BY) license (https://creativecommons.org/licenses/by/4.0/).
Share and Cite
Gonzalez-Martin, R.; Palomar, A.; Quiñonero, A.; Pellicer, N.; Zuckerman, C.; Whitehead, C.; Scott, R.T., Jr.; Dominguez, F. Phytoestrogens Present in Follicular Fluid and Urine Are Positively Associated with IVF Outcomes following Single Euploid Embryo Transfer. Int. J. Mol. Sci. 2023, 24, 10852. https://doi.org/10.3390/ijms241310852
Gonzalez-Martin R, Palomar A, Quiñonero A, Pellicer N, Zuckerman C, Whitehead C, Scott RT Jr., Dominguez F. Phytoestrogens Present in Follicular Fluid and Urine Are Positively Associated with IVF Outcomes following Single Euploid Embryo Transfer. International Journal of Molecular Sciences. 2023; 24(13):10852. https://doi.org/10.3390/ijms241310852
Chicago/Turabian StyleGonzalez-Martin, Roberto, Andrea Palomar, Alicia Quiñonero, Nuria Pellicer, Caroline Zuckerman, Christine Whitehead, Richard T. Scott, Jr., and Francisco Dominguez. 2023. "Phytoestrogens Present in Follicular Fluid and Urine Are Positively Associated with IVF Outcomes following Single Euploid Embryo Transfer" International Journal of Molecular Sciences 24, no. 13: 10852. https://doi.org/10.3390/ijms241310852
APA StyleGonzalez-Martin, R., Palomar, A., Quiñonero, A., Pellicer, N., Zuckerman, C., Whitehead, C., Scott, R. T., Jr., & Dominguez, F. (2023). Phytoestrogens Present in Follicular Fluid and Urine Are Positively Associated with IVF Outcomes following Single Euploid Embryo Transfer. International Journal of Molecular Sciences, 24(13), 10852. https://doi.org/10.3390/ijms241310852

