Synthesis of Novel Antimicrobial CHX-CaCl2 Coatings on Maxillofacial Fixatures for Infection Prevention
Abstract
1. Introduction
2. Results
2.1. Energy Dispersive X-ray Spectroscopy (EDS) Results
2.2. Scanning Electron Microscopy (SEM) Results
2.3. Light Profilometry Results
2.4. Ultraviolet-Visible Spectroscopy (UV-Vis) Results
2.5. X-ray Diffraction (XRD) Results
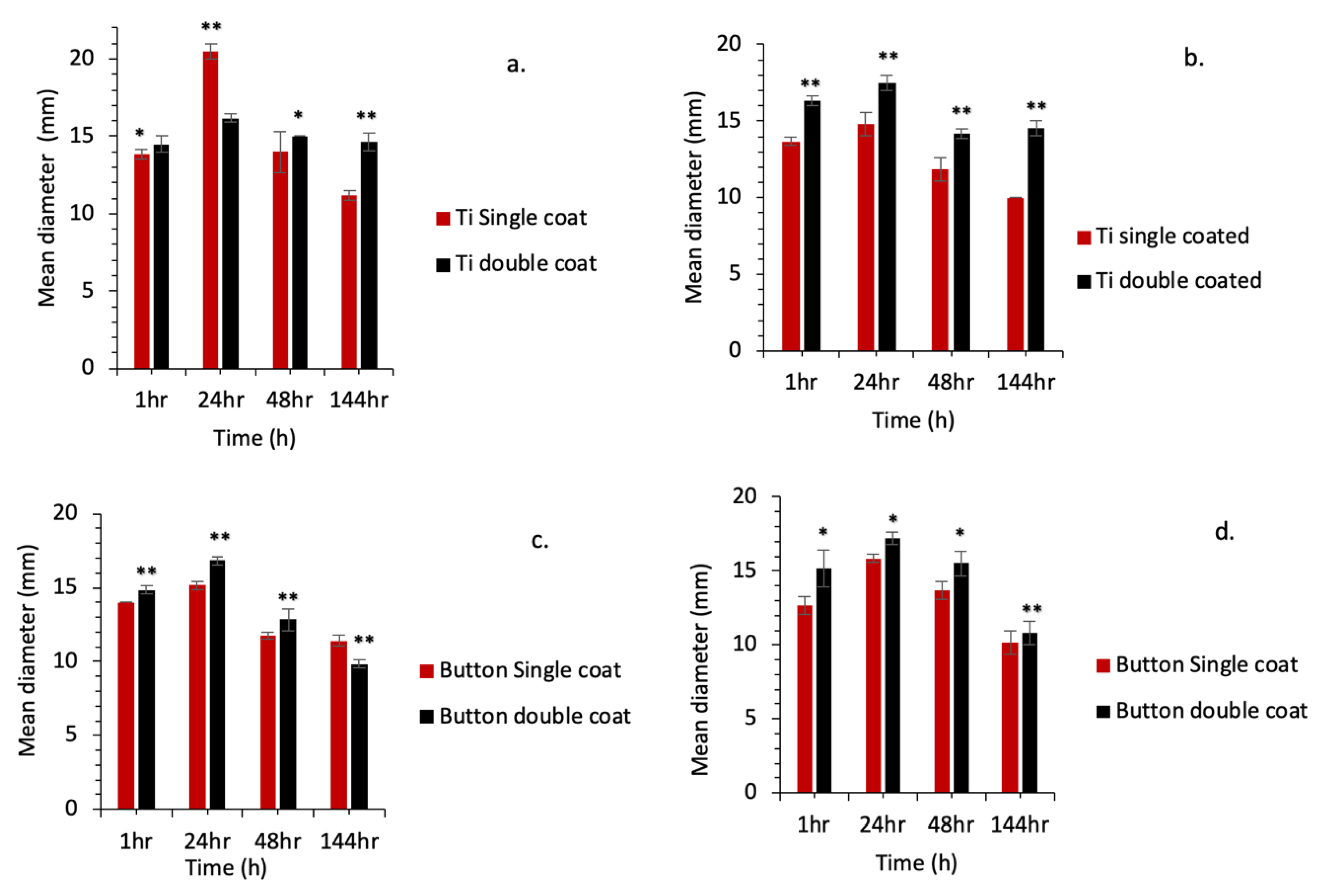
2.6. Zone of Inhibition (ZOI) Results
3. Discussion
4. Materials and Methods
4.1. Energy Dispersive X-ray Spectroscopy
4.2. Surface Coating of CHX-CaCl2 Particles
4.3. Scanning Electron Microscopy
4.4. UV-Vis Spectroscopy
4.5. X-ray Diffraction Analysis
4.6. Non-Contact Light Profilometry
4.7. Preparation of Pathogens
4.8. Kirby–Bauer Test (Zone of Inhibition)
5. Conclusions
Author Contributions
Funding
Institutional Review Board Statement
Informed Consent Statement
Data Availability Statement
Acknowledgments
Conflicts of Interest
References
- Davies, R.; Hammond, D.; Ridout, F.; Hutchison, I.; Magennis, P. British Association of Oral and Maxillofacial Surgeons’ National Facial Injury Surveys: Hard tissue facial injuries presenting to UK emergency departments. Br. J. Oral Maxillofac. Surg. 2020, 58, 152–157. [Google Scholar] [CrossRef] [PubMed]
- Hutchison, I.; Magennis, P.; Shepherd, J.; Brown, A. The BAOMS United Kingdom survey of facial injuries part 1: Aetiology and the association with alcohol consumption. Br. J. Oral Maxillofac. Surg. 1998, 36, 3–13. [Google Scholar] [CrossRef] [PubMed]
- Oksa, M.; Haapanen, A.; Marttila, E.; Snall, J. Simple dentate area fractures of the mandible—Can we prevent postoperative infections? Acta. Odontol. Scand. 2022, 80, 494–500. [Google Scholar] [CrossRef] [PubMed]
- Ahmed, A.; Wu, E.; Sarai, R.; Williams, R.; Breeze, J. Potentially modifiable patient factors in mandible fracture complications: A systematic review and meta-analysis. Br. J. Oral Maxillofac. Surg. 2021, 60, 266–270. [Google Scholar] [CrossRef]
- Janaphan, K.; Hashem, I.; Smith, C.; Holmes, S.; Chatzopoulou, D. Periodontal disease as a primary cause of surgical site infection in fractures of the mandible: Is smoking a confounding variable? Br. J. Oral Maxillofac. Surg. 2022, 60, 1424–1429. [Google Scholar] [CrossRef] [PubMed]
- Hanson, J.; Lovald, S.; Cowgill, I.; Erdman, M.; Diamond, B. National hardware removal rate associated with internal fixation of facial fractures. J. Oral Maxillofac. Surg. 2011, 69, 1152–1158. [Google Scholar] [CrossRef]
- Abdelfadil, E.; Salem, A.S.; Mourad, S.I.; Al-Belasy, F.A. Infected mandibular fractures: Risk factors and management. Oral. Hyg. Health 2013, 102, 1–8. [Google Scholar] [CrossRef]
- Ghazali, N.; Benlidayi, M.E.; Abizadeh, N.; Bentley, R.P. Leonard buttons: A Reliable method of intraoperative intermaxillary fixation in bilateral mandibular fractures. J. Oral Maxillofac. Surg. 2012, 70, 1131–1138. [Google Scholar] [CrossRef]
- Leonard, T. The button wire as an aid to fixation. Br. J. Oral Surg. 1977, 14, 210–212. [Google Scholar] [CrossRef]
- Sahoo, N.K.; Mohan, R. IMF screw: An ideal intermaxillary fixation device during open reduction of mandibular fracture. J. Maxillofac. Oral Surg. 2010, 9, 170–172. [Google Scholar] [CrossRef]
- Pedemonte, C.; Valenzuela, K.; González, L.E.; Vargas, I.; Noguera, A. Types of intermaxillary fixation and their interaction with palatine fracture reduction. J. Oral Maxillofac. Surg. 2019, 77, 2083.e1–2083.e8. [Google Scholar] [CrossRef] [PubMed]
- Kosutic, D.; Uglesic, V.; Perkovic, D.; Persic, Z.; Solman, L.; Lupi-Ferandin, S.; Knezevic, P.; Sokler, K. Preoperative antiseptics in clean/contaminated maxillofacial and oral surgery: Prospective randomized study. Int. J. Oral Maxillofac. Surg. 2009, 38, 160–165. [Google Scholar] [CrossRef] [PubMed]
- ADA. American Dental Association Interim Guidance for Minimizing Risk of COVID-19 Transmission. 2020. Available online: https://www.kavo.com/en-us/resource-center/ada-interim-guidance-minimizing-risk-covid-19-transmission (accessed on 8 August 2021).
- CDC. Centers for Disease Control and Prevention. Interim Infection Prevention and Control Guidance for Dental Settings during the COVID-19 Response. 2019. Available online: https://www.cdc.gov/coronavirus/2019-ncov/hcp/dental-settings.html (accessed on 11 August 2021).
- Wang, G.; Wang, L.; Meng, Z.; Su, X.; Jia, C.; Qiao, X.; Pan, S.; Chen, Y.; Cheng, Y.; Zhu, M. Visual detection of COVID-19 from materials aspect. Adv. Fiber Mater. 2022, 4, 1304–1333. [Google Scholar] [CrossRef] [PubMed]
- Luo, D.; Shahid, S.; Sukhorukov, G.B.; Cattell, M.J. Synthesis of novel chlorhexidine spheres with controlled release from a UDMA–HEMA resin using ultrasound. Dent. Mater. 2017, 33, 713–722. [Google Scholar] [CrossRef] [PubMed]
- Luo, D.; Hasan, S.; Shahid, S.; Khlebtsov, B.N.; Cattell, M.J.; Sukhorukov, G.B. Gold nanorod mediated chlorhexidine microparticle formation and near-infrared light induced release. Langmuir 2017, 33, 7982–7993. [Google Scholar] [CrossRef]
- Cattell, M.; Sukhorukov, G.; Saroash, S.; Luo, D. Chlorhexidine Crystal Forms and Uses Thereof in Medicine. WO 2017/158379 Al, 21 September 2017. [Google Scholar]
- Joseph, L.A.; Israel, O.K.; Edet, E.J.; Ekwumemgbo, P.A. Determination of metal ions released by stainless steel arch bar into bio-fluids. Bull. Chem. Soc. Ethiop. 2009, 23, 37–45. [Google Scholar] [CrossRef]
- Gilardino, M.S.; Chen, E.; Bartlett, S.P. Choice of internal rigid fixation materials in the treatment of facial fractures. Craniomaxillofacial Trauma Reconstr. 2009, 2, 49–60. [Google Scholar] [CrossRef]
- León, C.P.; Sagisaka, K.; Fujita, D.; Han, L. Ethanol adsorption on rutile TiO2(110). RSC Adv. 2014, 4, 8550–8557. [Google Scholar] [CrossRef]
- Sun, R.; Zhang, J.; Whiley, R.A.; Sukhorukov, G.B.; Cattell, M.J. Synthesis, drug release, and antibacterial properties of novel dendritic CHX-SrCl2 and CHX-ZnCl2 particles. Pharmaceutics 2021, 13, 1799. [Google Scholar] [CrossRef]
- Ostwald, W. Studien über die bildung und umwandlung fester Körper. 1. Abhandlung: Übersättigung und Überkaltung. Z. Phys. Chem. 1987, 22, 289–330. [Google Scholar] [CrossRef]
- Zhang, Q.; Peng, X.; Nie, Y.; Zheng, Q.; Shangguan, J.; Zhu, C.; Bustillo, K.C.; Ercius, P.; Wang, L.; Limmer, D.T.; et al. Defect-mediated ripening of core-shell nanostructures. Nat. Commun. 2022, 13, 2211. [Google Scholar] [CrossRef]
- Page, A.J.; Sear, R.P. Crystallization controlled by the geometry of a surface. J. Am. Chem. Soc. 2009, 131, 17550–17551. [Google Scholar] [CrossRef] [PubMed]
- Suematsu, N.J.; Iwamoto, J.; Ishii, Y.; Yamamoto, A. Dendrite pattern formation of sodium chloride crystal. Materials 2021, 14, 4434. [Google Scholar] [CrossRef] [PubMed]
- Lorenz, H.P.; Longaker, M.T. Wounds: Biology, pathology, and management. In Essential Practice of Surgery; Springer: New York, NY, USA, 2003; pp. 77–88. [Google Scholar] [CrossRef]
- NICE. Chlorhexidine Drug, BNF Content Published by NICE. Bnf.nice.org.uk. 2019. Available online: https://bnf.nice.org.uk/drug/chlorhexidine.html#indicationsAndDoses (accessed on 20 February 2021).
- Cate, J.T.; Exterkate, R.; Buijs, M. The relative efficacy of fluoride toothpastes assessed with pH cycling. Caries Res. 2006, 40, 136–141. [Google Scholar] [CrossRef] [PubMed]







| Mean (SD) of Elements (Atomic %) | |||||
|---|---|---|---|---|---|
| Spectrum | Si | Ti | Cr | Fe | Ga |
| Titanium disc | 99.57 (0.38) | 0.13 (0.11) | 0.31 (0.27) | ||
| Leonard Button | 0.52 (0.20) | 99.26 (0.34) | 0.04 (0.08) | 0.28 (0.11) | 0.30 (0.08) |
| Samples | Mean X (µm) | Mean Y (µm) | Average (µm) |
|---|---|---|---|
| Ti disc (Group 1) | 4.2 | 4.2 | 4.2 |
| Lapped Ti disc (Group 3) | 3.3 | 3.3 | 3.3 |
| Week | Day | Time Interval (min/h) | |
|---|---|---|---|
| 1st Week | 1st Day (Monday) | 5 min | ~10:05 (10:00 am start) |
| 10 min | ~10:10 | ||
| 20 min | ~10:20 | ||
| 40 min | ~10:40 | ||
| 60 min (1 h) | ~11:00 | ||
| 120 min (2 h) | ~12:00 | ||
| 180 min (3 h) | ~13:00 | ||
| 240 min (4 h) | ~14:00 | ||
| 300 min (5 h) | ~15:00 | ||
| 360 min (6 h) | ~16:00 | ||
| 420 min (7 h) | ~17:00 | ||
| 2nd Day (Tuesday) | 2 readings | ~10:00 and ~16:00 | |
| 3rd Day (Wednesday) | 2 readings | ~10:00 and ~16:00 | |
| 4th Day (Thursday) | 2 readings | ~10:00 and ~16:00 | |
| 5th Day (Friday) | 2 readings | ~10:00 and ~16:00 | |
| 6th Day (Saturday) | 1 reading | ~12:00 | |
| 7th Day (Sunday) | 1 reading | ~12:00 | |
| 2nd Week | Monday | 1 reading | ~12:00 |
| Friday | 1 reading | ~12:00 | |
Disclaimer/Publisher’s Note: The statements, opinions and data contained in all publications are solely those of the individual author(s) and contributor(s) and not of MDPI and/or the editor(s). MDPI and/or the editor(s) disclaim responsibility for any injury to people or property resulting from any ideas, methods, instructions or products referred to in the content. |
© 2023 by the authors. Licensee MDPI, Basel, Switzerland. This article is an open access article distributed under the terms and conditions of the Creative Commons Attribution (CC BY) license (https://creativecommons.org/licenses/by/4.0/).
Share and Cite
Alostath, H.F.; Chatzopoulou, D.; Holmes, S.; Gould, D.; Sukhorukov, G.; Cattell, M.J. Synthesis of Novel Antimicrobial CHX-CaCl2 Coatings on Maxillofacial Fixatures for Infection Prevention. Int. J. Mol. Sci. 2023, 24, 9801. https://doi.org/10.3390/ijms24129801
Alostath HF, Chatzopoulou D, Holmes S, Gould D, Sukhorukov G, Cattell MJ. Synthesis of Novel Antimicrobial CHX-CaCl2 Coatings on Maxillofacial Fixatures for Infection Prevention. International Journal of Molecular Sciences. 2023; 24(12):9801. https://doi.org/10.3390/ijms24129801
Chicago/Turabian StyleAlostath, Hawraa F., Domniki Chatzopoulou, Simon Holmes, David Gould, Gleb Sukhorukov, and Michael J. Cattell. 2023. "Synthesis of Novel Antimicrobial CHX-CaCl2 Coatings on Maxillofacial Fixatures for Infection Prevention" International Journal of Molecular Sciences 24, no. 12: 9801. https://doi.org/10.3390/ijms24129801
APA StyleAlostath, H. F., Chatzopoulou, D., Holmes, S., Gould, D., Sukhorukov, G., & Cattell, M. J. (2023). Synthesis of Novel Antimicrobial CHX-CaCl2 Coatings on Maxillofacial Fixatures for Infection Prevention. International Journal of Molecular Sciences, 24(12), 9801. https://doi.org/10.3390/ijms24129801

