Comprehensive Molecular Characterization of the Mitochondrial Genome of the Takin Lungworm Varestrongylus eleguneniensis (Strongylida: Protostrongylidae)
Abstract
1. Introduction
2. Results and Discussion
2.1. Genome Feature of the Takin Lungworm
2.2. Nucleotide Content and Codon Usage
2.3. tRNAs and rRNAs
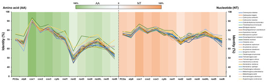
2.4. Comparison with Other Strongylida Genomes
2.5. Phylogenetic Analysis
3. Materials and Methods
3.1. Parasite Sampling
3.2. V. eleguneniensis mtDNA Sequencing and Annotation
3.3. Sequence Analysis
3.4. Phylogenetic Analysis
4. Conclusions
Supplementary Materials
Author Contributions
Funding
Institutional Review Board Statement
Informed Consent Statement
Data Availability Statement
Conflicts of Interest
References
- Zhou, M.; Yu, J.; Li, B.; Ouyang, B.; Yang, J. The complete mitochondrial genome of Budorcas taxicolor tibetana (Artiodactyla: Bovidae) and comparison with other Caprinae species: Insight into the phylogeny of the genus Budorcas. Int. J. Biol. Macromol. 2019, 121, 223–232. [Google Scholar] [CrossRef] [PubMed]
- Liu, S.X. A new species of protostrongylid lungworm from takin. Acta Zootax Sin. 1989, 14, 269–272. [Google Scholar]
- Kafle, P.; Sullivan, J.; Verocai, G.G.; Kutz, S.J. Experimental life-cycle of Varestrongylus eleguneniensis (Nematoda: Protostrongylidae) in a Captive Reindeer (Rangifer tarandus tarandus) and a Muskox (Ovibos moschatus moschatus). J. Parasitol. 2017, 103, 584–587. [Google Scholar] [CrossRef][Green Version]
- Yang, G.Y.; Zhang, Z.H. Parasitic Diseases of Wildlife; Science Press: Beijing, China, 2013. [Google Scholar]
- Blaxter, M.L.; De Ley, P.; Garey, J.R.; Liu, L.X.; Scheldeman, P.; Vierstraete, A.; Vanfleteren, J.R.; Mackey, L.Y.; Dorris, M.; Frisse, L.M.; et al. A molecular evolutionary framework for the phylum Nematoda. Nature 1998, 392, 71–75. [Google Scholar] [CrossRef]
- De Ley, P.; Blaxter, M.L. Systematic position and phylogeny. In The Biology of Nematodes; Lee, D.L., Ed.; CRC Press: New York, NY, USA, 2002; pp. 1–30. [Google Scholar]
- Kern, E.M.A.; Kim, T.; Park, J.K. The mitochondrial genome in nematode phylogenetics. Front. Ecol. Evol. 2020, 8, 250. [Google Scholar] [CrossRef]
- Bryan, H.M.; Sim, K.A.; Darimont, C.T.; Paquet, P.C.; Wagner, B.; Muñoz-Fuentes, V.; Smits, J.E.; Chilton, N.B. Identification of Parelaphostrongylus odocoilei (Nematoda: Protostrongylidae) first-stage larvae in the feces of gray wolves (Canis lupus) by molecular methods. J. Wildl. Dis. 2010, 46, 297–302. [Google Scholar] [CrossRef] [PubMed]
- Bowman, D.D.; Lynn, R.C.; Eberhard, D.M.L. Georgis’ Parasitology for Veterinarians; Elsevier Science: Saint Louis, MI, USA, 2003. [Google Scholar]
- Chilton, N.B. The use of nuclear ribosomal DNA markers for the identification of bursate nematodes (order Strongylida) and for the diagnosis of infections. Anim. Health Res. Rev. 2004, 5, 173–187. [Google Scholar] [CrossRef]
- Hu, M.; Jex, A.R.; Campbell, B.E.; Gasser, R.B. Long PCR amplification of the entire mitochondrial genome from individual helminths for direct sequencing. Nat. Protoc. 2007, 2, 2339–2344. [Google Scholar] [CrossRef]
- Jex, A.R.; Littlewood, D.T.; Gasser, R.B. Toward next-generation sequencing of mitochondrial genome-focus on parasitic worms of animals and biotechnological implications. Biotechnol. Adv. 2010, 28, 151–159. [Google Scholar] [CrossRef]
- Verocai, G.G.; Kutz, S.J.; Simard, M.; Hoberg, E.P. Varestrongylus eleguneniensis sp. n. (Nematoda: Protostrongylidae): A widespread, multi-host lungworm of wild North American ungulates, with an emended diagnosis for the genus and explorations of biogeography. Parasit. Vectors 2014, 7, 566. [Google Scholar] [CrossRef]
- Park, J.K.; Sultana, T.; Lee, S.H.; Kang, S.; Kim, H.K.; Min, G.S.; Eom, K.S.; Nadler, S.A. Monophyly of clade III nematodes is not supported by phylogenetic analysis of complete mitochondrial genome sequences. BMC Genom. 2011, 12, 392. [Google Scholar] [CrossRef] [PubMed]
- Li, K.; Luo, H.; Zhang, H.; Lan, Y.; Han, Z.; Shahzad, M.; Wang, X.; Qiu, G.; Huang, S.; Jiang, W.; et al. First report of Metastrongylus pudendotectus by the genetic characterization of mitochondria genome of cox1 in pigs from Tibet, China. Vet. Parasitol. 2016, 223, 91–95. [Google Scholar] [CrossRef] [PubMed]
- Filip-Hutsch, K.; Demiaszkiewicz, A.W.; Chęcińska, A.; Hutsch, T.; Czopowicz, M.; Pyziel, A.M. First report of a newly-described lungworm, Dictyocaulus cervi (Nematoda: Trichostrongyloidea), in moose (Alces alces) in central Europe. Int. J. Parasitol. Parasites Wildl. 2020, 13, 275–282. [Google Scholar] [CrossRef] [PubMed]
- Hahn, C.; Bachmann, L.; Chevreux, B. Reconstructing mitochondrial genomes directly from genomic next-generation sequencing reads–A baiting and iterative mapping approach. Nucleic Acids Res. 2013, 13, e129. [Google Scholar] [CrossRef] [PubMed]
- Hu, M.; Chilton, N.; Gasser, R. The Mitochondrial Genomics of Parasitic Nematodes of Socio-Economic Importance: Recent Progress, and Implications for Population Genetics and Systematics. In Advances in Parasitology; Elsevier: Amsterdam, The Netherlands, 2003; Volume 56, pp. 133–212. ISBN 978-0-12-031756-1. [Google Scholar]
- Hu, M.; Gasser, R.B. Mitochondrial Genomes of Parasitic Nematodes–Progress and Perspectives. Trends Parasitol. 2006, 22, 78–84. [Google Scholar] [CrossRef] [PubMed]
- Liu, G.H.; Gasser, R.B.; Otranto, D.; Xu, M.J.; Shen, J.L.; Mohandas, N.; Zhou, D.H.; Zhu, X.Q. Mitochondrial Genome of the Eyeworm, Thelazia callipaeda (Nematoda: Spirurida), as the First Representative from the Family Thelaziidae. PLoS Negl. Trop. Dis. 2013, 7, e2029. [Google Scholar] [CrossRef]
- Xie, Y.; Niu, L.; Zhao, B.; Wang, Q.; Nong, X.; Chen, L.; Zhou, X.; Gu, X.; Wang, S.; Peng, X.; et al. Complete Mitochondrial Genomes of Chimpanzee- and Gibbon-Derived Ascaris Isolated from a Zoological Garden in Southwest China. PLoS ONE 2013, 8, e82795. [Google Scholar] [CrossRef][Green Version]
- Yatawara, L.; Wickramasinghe, S.; Rajapakse, R.P.V.J.; Agatsuma, T. The Complete Mitochondrial Genome of Setaria digitata (Nematoda: Filarioidea): Mitochondrial Gene Content, Arrangement and Composition Compared with Other Nematodes. Mol. Biochem. Parasitol. 2010, 173, 32–38. [Google Scholar] [CrossRef]
- Duan, H. Analysis of Complete Mitochondrial Genomes and Genetic Relationships of Three Nematodes of Genus Triodontophorus; Heilongjiang Bayi Agricultural University: Heilongjiang, China, 2006. [Google Scholar]
- Liu, G.H.; Wang, Y.; Song, H.Q.; Li, M.W.; Ai, L.; Yu, X.L.; Zhu, X.Q. Characterization of the Complete Mitochondrial Genome of Spirocerca lupi: Sequence, Gene Organization and Phylogenetic Implications. Parasit. Vectors 2013, 6, 45. [Google Scholar] [CrossRef]
- Sun, L.; Zhuo, K.; Lin, B.; Wang, H.; Liao, J. The Complete Mitochondrial Genome of Meloidogyne graminicola (Tylenchina): A Unique Gene Arrangement and Its Phylogenetic Implications. PLoS ONE 2014, 9, e98558. [Google Scholar] [CrossRef]
- Perna, N.T.; Kocher, T.D. Patterns of Nucleotide Composition at Fourfold Degenerate Sites of Animal Mitochondrial Genomes. J. Mol. Evol. 1995, 41, 353–358. [Google Scholar] [CrossRef] [PubMed]
- Ojala, D.; Montoya, J.; Attardi, G. TRNA Punctuation Model of RNA Processing in Human Mitochondria. Nature 1981, 290, 470–474. [Google Scholar] [CrossRef] [PubMed]
- Schuster, G.; Stern, D. Chapter 10 RNA Polyadenylation and Decay in Mitochondria and Chloroplasts. In Progress in Molecular Biology and Translational Science; Elsevier: Amsterdam, The Netherlands, 2009; Volume 85, pp. 393–422. ISBN 978-0-12-374761-7. [Google Scholar]
- Jacob, J.E.M.; Vanholme, B.; Van Leeuwen, T.; Gheysen, G. A Unique Genetic Code Change in the Mitochondrial Genome of the Parasitic Nematode Radopholus similis. BMC Res. Notes 2009, 2, 192. [Google Scholar] [CrossRef] [PubMed]
- Yang, Z.; Nielsen, R. Estimating Synonymous and Nonsynonymous Substitution Rates under Realistic Evolutionary Models. Mol. Biol. Evol. 2000, 17, 32–43. [Google Scholar] [CrossRef] [PubMed]
- Hurst, L.D. The Ka/Ks Ratio: Diagnosing the Form of Sequence Evolution. Trends Genet. 2002, 18, 486. [Google Scholar] [CrossRef]
- Li, H.; Liu, H.; Shi, A.; Štys, P.; Zhou, X.; Cai, W. The Complete Mitochondrial Genome and Novel Gene Arrangement of the Unique-Headed Bug Stenopirates sp. (Hemiptera: Enicocephalidae). PLoS ONE 2012, 7, e29419. [Google Scholar] [CrossRef]
- Jabbar, A.; Jex, A.R.; Mohandas, N.; Hall, R.S.; Littlewood, D.T.; Gasser, R.B. The mitochondrial genome of Aelurostrongylus abstrusus-diagnostic, epidemiological and systematic implications. Gene 2013, 516, 294–300. [Google Scholar] [CrossRef]
- Jex, A.R.; Hall, R.S.; Littlewood, D.T.; Gasser, R.B. An integrated pipeline for next-generation sequencing and annotation of mitochondrial genomes. Nucleic Acids Res. 2010, 38, 522–533. [Google Scholar] [CrossRef]
- Jex, A.R.; Hu, M.; Littlewood, D.T.J.; Waeschenbach, A.; Gasser, R.B. Using 454 Technology for Long-PCR Based Sequencing of the Complete Mitochondrial Genome from Single Haemonchus Contortus (Nematoda). BMC Genom. 2008, 9, 11. [Google Scholar] [CrossRef]
- Jabbar, A.; Mohandas, N.; Jex, A.R.; Gasser, R.B. The Mitochondrial Genome of Protostrongylus rufescens–Implications for Population and Systematic Studies. Parasit. Vectors 2013, 6, 263. [Google Scholar] [CrossRef]
- Prosser, S.W.; Velarde-Aguilar, M.G.; León-Règagnon, V.; Hebert, P.D. Advancing nematode barcoding: A primer cocktail for the cytochrome c oxidase subunit I gene from vertebrate parasitic nematodes. Mol. Ecol. Resour. 2013, 13, 1108–1115. [Google Scholar] [CrossRef] [PubMed]
- Gonçalves, L.T.; Bianchi, F.M.; Deprá, M.; Calegaro-Marques, C. Barcoding a can of worms: Testing cox1 performance as a DNA barcode of Nematoda. Genome 2021, 64, 705–717. [Google Scholar] [CrossRef] [PubMed]
- Bernt, M.; Donath, A.; Jühling, F.; Externbrink, F.; Florentz, C.; Fritzsch, G.; Pütz, J.; Middendorf, M.; Stadler, P.F. MITOS: Improved de novo metazoan mitochondrial genome annotation. Mol. Phylogenet. Evol. 2013, 69, 313–319. [Google Scholar] [CrossRef] [PubMed]
- Singh, V.K.; Mangalam, A.K.; Dwivedi, S.; Naik, S. Primer premier: Program for design of degenerate primers from a protein sequence. Biotechniques 1998, 24, 318–319. [Google Scholar] [CrossRef]
- Laslett, D.; Canbäck, B. ARWEN, a program to detect tRNA genes in metazoan mitochondrial nucleotide sequences. Bioinformatics 2008, 24, 172–175. [Google Scholar] [CrossRef]
- Lowe, T.M.; Chan, P.P. tRNAscan-SE on-line: Search and contextual analysis of transfer RNA genes. Nucleic Acids Res. 2016, 44, W54–W57. [Google Scholar] [CrossRef]
- Kearse, M.; Moir, R.; Wilson, A.; Stones-Havas, S.; Cheung, M.; Sturrock, S.; Buxton, S.; Cooper, A.; Markowitz, S.; Duran, C.; et al. Geneious Basic: An integrated and extendable desktop software platform for the organization and analysis of sequence data. Bioinformatics 2012, 28, 1647–1649. [Google Scholar] [CrossRef]
- Zhang, D.; Gao, F.L.; Li, W.X.; Jakovlić, I.; Zou, H.; Zhang, J.; Wang, G.T. PhyloSuite: An integrated and scalable desktop platform for streamlined molecular sequence data management and evolutionary phylogenetics studies. Mol. Ecol. Resour. 2020, 20, 348–355. [Google Scholar] [CrossRef]
- Jex, A.R.; Waeschenbach, A.; Hu, M.; van Wyk, J.A.; Beveridge, I.; Littlewood, D.T.; Gasser, R.B. The mitochondrial genomes of Ancylostoma caninum and Bunostomum phlebotomum- two hookworms of animal health and zoonotic importance. BMC Genom. 2009, 10, 79. [Google Scholar] [CrossRef]
- Hu, M.; Chilton, N.B.; Gasser, R.B. The mitochondrial genomes of the human hookworms, Ancylostoma duodenale and Necator americanus (Nematoda: Secernentea). Int. J. Parasitol. 2002, 32, 145–158. [Google Scholar] [CrossRef]
- Shi, X.L.; Fu, Y.Q.; Abdullahi, A.Y.; Wang, M.W.; Yang, F.; Yu, X.G.; Pan, W.D.; Yan, X.X.; Hang, J.X.; Zhang, P.; et al. The mitochondrial genome of Ancylostoma tubaeforme from cats in China. J. Helminthol. 2018, 92, 22–33. [Google Scholar] [CrossRef] [PubMed]
- Gasser, R.B.; Jabbar, A.; Mohandas, N.; Schnyder, M.; Deplazes, P.; Littlewood, D.T.; Jex, A.R. Mitochondrial genome of Angiostrongylus vasorum: Comparison with congeners and implications for studying the population genetics and epidemiology of this parasite. Infect. Genet. Evol. 2012, 12, 1884–1891. [Google Scholar] [CrossRef] [PubMed]
- Liu, G.H.; Zhao, L.; Song, H.Q.; Zhao, G.H.; Cai, J.Z.; Zhao, Q.; Zhu, X.Q. Chabertia erschowi (Nematoda) is a distinct species based on nuclear ribosomal DNA sequences and mitochondrial DNA sequences. Parasit. Vectors 2014, 7, 44. [Google Scholar] [CrossRef]
- Jabbar, A.; Beveridge, I.; Mohandas, N.; Chilton, N.B.; Littlewood, D.T.; Jex, A.R.; Gasser, R.B. Analyses of mitochondrial amino acid sequence datasets support the proposal that specimens of Hypodontus macropi from three species of macropodid hosts represent distinct species. BMC Evol. Biol. 2013, 13, 259. [Google Scholar] [CrossRef] [PubMed]
- Zhao, G.H.; Hu, B.; Cheng, W.Y.; Jia, Y.Q.; Li, H.M.; Yu, S.K.; Liu, G.H. The complete mitochondrial genomes of Oesophagostomum asperum and Oesophagostomum columbianum in small ruminants. Infect. Evol. 2013, 19, 205–211. [Google Scholar] [CrossRef] [PubMed]
- Lin, R.Q.; Liu, G.H.; Hu, M.; Song, H.Q.; Wu, X.Y.; Li, M.W.; Zhang, Y.; Zou, F.C.; Zhu, X.Q. Oesophagostomum dentatum and Oesophagostomum quadrispinulatum: Characterization of the complete mitochondrial genome sequences of the two pig nodule worms. Exp. Parasitol. 2012, 131, 1–7. [Google Scholar] [CrossRef] [PubMed]
- Van der Veer, M.; de Vries, E. A single nucleotide polymorphism map of the mitochondrial genome of the parasitic nematode Cooperia oncophora. Parasitology 2004, 128, 421–431. [Google Scholar] [CrossRef] [PubMed]
- Gasser, R.B.; Jabbar, A.; Mohandas, N.; Höglund, J.; Hall, R.S.; Littlewood, D.T.J.; Jex, A.R. Assessment of the Genetic Relationship between Dictyocaulus Species from Bos Taurus and Cervus Elaphus Using Complete Mitochondrial Genomic Datasets. Parasit. Vectors 2012, 5, 241. [Google Scholar] [CrossRef]
- Jabbar, A.; Mohandas, N.; Gasser, R.B. Characterisation of the Mitochondrial Genome of Parafilaroides normani (Lungworm) of Arctocephalus Pusillus Doriferus (Australian Fur Seal). Parasitol. Res. 2014, 113, 3049–3055. [Google Scholar] [CrossRef]
- Zhao, G.H.; Jia, Y.Q.; Cheng, W.Y.; Zhao, W.; Bian, Q.Q.; Liu, G.H. Characterization of the Complete Mitochondrial Genomes of Nematodirus oiratianus and Nematodirus spathiger of Small Ruminants. Parasit. Vectors 2014, 7, 319. [Google Scholar] [CrossRef] [PubMed]
- Yang, S.; Li, P.; Sun, C.; Liu, W. The Complete Mitochondrial Genome of Coronocyclus Labratus (Rhabditida: Cyathostominae). Mitochondrial DNA Part B 2020, 5, 1044–1045. [Google Scholar] [CrossRef] [PubMed]
- Burland, T.G. DNASTAR’s Lasergene Sequence Analysis Software. In Bioinformatics Methods and Protocols; Humana Press: Totowa, NJ, USA, 1999; Volume 132, pp. 71–91. ISBN 978-1-59259-192-3. [Google Scholar]
- Rozas, J.; Ferrer-Mata, A.; Sánchez-DelBarrio, J.C.; Guirao-Rico, S.; Librado, P.; Ramos-Onsins, S.E.; Sánchez-Gracia, A. DnaSP 6: DNA Sequence Polymorphism Analysis of Large Data Sets. Mol. Biol. Evol. 2017, 34, 3299–3302. [Google Scholar] [CrossRef] [PubMed]
- Zhang, Z.; Li, J.; Zhao, X.-Q.; Wang, J.; Wong, G.K.-S.; Yu, J. KaKs_Calculator: Calculating Ka and Ks Through Model Selection and Model Averaging. Genom. Proteom. Bioinform. 2006, 4, 259–263. [Google Scholar] [CrossRef]
- Goloboff, P.A.; Catalano, S.A.; Torres, A. Parsimony Analysis of Phylogenomic Datasets (II): Evaluation of PAUP*, MEGA and MPBoot. Cladistics 2022, 38, 126–146. [Google Scholar] [CrossRef] [PubMed]
- Kalyaanamoorthy, S.; Minh, B.Q.; Wong, T.K.F.; von Haeseler, A.; Jermiin, L.S. ModelFinder: Fast Model Selection for Accurate Phylogenetic Estimates. Nat. Methods 2017, 14, 587–589. [Google Scholar] [CrossRef] [PubMed]
- Ronquist, F.; Teslenko, M.; van der Mark, P.; Ayres, D.L.; Darling, A.; Höhna, S.; Larget, B.; Liu, L.; Suchard, M.A.; Huelsenbeck, J.P. MrBayes 3.2: Efficient Bayesian Phylogenetic Inference and Model Choice across a Large Model Space. Syst. Biol. 2012, 61, 539–542. [Google Scholar] [CrossRef] [PubMed]
- Page, R.D.M. Visualizing Phylogenetic Trees Using TreeView. Curr. Protoc. Bioinform. 2002, 6. [Google Scholar] [CrossRef]








| Gene | Location | Length | Start Codon | Stop Codon | Anticodon |
|---|---|---|---|---|---|
| cytb | 1–1110 | 1110 | TTG | TAA | |
| tRNA-Leu (UAG) | 1110–1167 | 58 | UAG | ||
| cox3 | 1168–1933 | 766 | TTG | T | |
| tRNA-Thr | 1934–1991 | 58 | UGU | ||
| nad4 | 1996–3225 | 1230 | TTG | TAG | |
| cox1 | 3250–4865 | 1616 | ATA | TA | |
| tRNA-Cys | 4866–4921 | 56 | GCA | ||
| tRNA-Met | 4922–4980 | 59 | CAU | ||
| tRNA-Asp | 4981–5040 | 60 | GUC | ||
| tRNA-Gly | 5041–5099 | 59 | UCC | ||
| cox2 | 5100–5792 | 693 | ATT | TAG | |
| tRNA-His | 5791–5846 | 56 | GUG | ||
| rrnL | 5846–6800 | 955 | |||
| nad3 | 6801–7136 | 336 | TTA | TAA | |
| nad5 | 7143–8724 | 1582 | ATT | T | |
| tRNA-Ala | 8725–8779 | 55 | UGC | ||
| tRNA-Pro | 8972–9025 | 54 | UGG | ||
| tRNA-Val | 9027–9090 | 64 | UAC | ||
| nad6 | 9094–9516 | 423 | TTG | TAA | |
| nad4L | 9517–9748 | 232 | ATT | T | |
| tRNA-Trp | 9749–9805 | 57 | UCA | ||
| tRNA-Glu | 9863–9920 | 58 | UUC | ||
| rrnS | 9900–10,621 | 722 | |||
| tRNA-Ser (UGA) | 10,622–10,678 | 57 | UGA | ||
| tRNA-Asn | 10,678–10,740 | 63 | GUU | ||
| tRNA-Tyr | 10,749–10,804 | 56 | GUA | ||
| nad1 | 10,805–11,687 | 884 | TTG | T | |
| atp6 | 11,691–12,289 | 599 | ATT | TA | |
| tRNA-Lys | 12,301–12,364 | 64 | UUU | ||
| tRNA-Leu (UAA) | 12,401–12,455 | 55 | UAA | ||
| tRNA-Ser (UCU) | 12,456–12,507 | 52 | UCU | ||
| nad2 | 12,508–13,359 | 852 | ATA | TAA | |
| tRNA-Ile | 13,386–13,439 | 54 | GAU | ||
| tRNA-Arg | 13,440–13,492 | 53 | ACG | ||
| tRNA-Gln | 13,493–13,549 | 57 | UUG | ||
| tRNA-Phe | 13,568–13,625 | 58 | GAA |
| Family | Species | Host | Country | GenBank Nos. | References |
|---|---|---|---|---|---|
| Ancylostomatidae | Ancylostoma caninum | Dog | South Africa | NC_012309 | [45] |
| Ancylostomatidae | Ancylostoma ceylanicum | Hamster | Solomon Islands | AP017674 | Unpublished |
| Ancylostomatidae | Ancylostoma duodenale | Human | China | NC_003415 | [46] |
| Ancylostomatidae | Ancylostoma tubaeforme | Cat | China | NC_034289 | [47] |
| Angiostrongylidae | Aelurostrongylus abstrusus | Cat | Australia | NC_019571 | [33] |
| Angiostrongylidae | Angiostrongylus cantonensis | Rat | China | AP017672 | Unpublished |
| Angiostrongylidae | Angiostrongylus costaricensis | Rat | Japan | AP017675 | Unpublished |
| Angiostrongylidae | Angiostrongylus vasorum | Dog | China | NC_018602 | [48] |
| Chabertiidae | Chabertia erschowi | Yak | China | NC_023782 | [49] |
| Chabertiidae | Chabertia ovina | Sheep | Australia | GQ888721 | [34] |
| Chabertiidae | Hypodontus macropi | Kangaroo | Australia | KF361317 | [50] |
| Chabertiidae | Macropicola ocydromi | Wallaby | Australia | KF361320 | [50] |
| Chabertiidae | Oesophagostomum asperum | Goat | China | KC715826 | [51] |
| Chabertiidae | Oesophagostomum columbianum | Sheep | China | KC715827 | [51] |
| Chabertiidae | Oesophagostomum quadrispinulatum | Pig | China | FM161883 | [52] |
| Chabertiidae | Oesophagostomum dentatum | Pig | China | FM161882 | [52] |
| Cooperiidae | Cooperia oncophora | Cow | Netherlands | AY265417 | [53] |
| Dictyocaulidae | Dictyocaulus eckerti | Cattle | Sweden | NC_019809 | [54] |
| Dictyocaulidae | Dictyocaulus viviparus | Cattle | Sweden | NC_019810 | [54] |
| Filaroididae | Parafilaroides normani | Fur seal | Australia | KJ801815 | [55] |
| Haemonchidae | Haemonchus placei | Sheep | Japan | AP017687 | Unpublished |
| Haemonchidae | Mecistocirrus digitatus | Sheep | China | NC_013848 | [34] |
| Haemonchidae | Teladorsagia circumcincta | Sheep | Australia | GQ888720 | [34] |
| Haemonchidae | Haemonchus contortus | Sheep | Australia | EU346694 | [35] |
| Metastrongylidae | Metastrongylus pudendotectus | Pig | Estonia | NC_013813 | [34] |
| Metastrongylidae | Metastrongylus salmi | Pig | Estonia | GQ888715 | [34] |
| Molineidae | Nematodirus oiratianus | Goat | China | KF573750 | [56] |
| Molineidae | Nematodirus spathiger | Sheep | China | KF573749 | [56] |
| Protostrongylidae | Protostrongylus rufescens | Sheep | Australia | KF481953 | [36] |
| Strongylidae | Coronocyclus labiatus | Horse | China | MH551242 | Unpublished |
| Strongylidae | Cyathostomum pateratum | Horse | China | NC_038070 | Unpublished |
| Strongylidae | Cylicocyclus ashworthi | Horse | China | NC_046711 | [57] |
| Strongylidae | Cylicocyclus insignis | Horse | Australia | NC_013808 | [34] |
| Strongylidae | Cylicocyclus nassatus | Horse | Australia | NC_032299 | Unpublished |
| Strongylidae | Cylicodontophorus bicoronatus | Horse | China | MH551241 | Unpublished |
| Strongylidae | Poteriostomum imparidentatum | Horse | China | NC_035005 | Unpublished |
| Strongylidae | Strongylus equinus | Horse | China | KM605251 | Unpublished |
| Strongylidae | Strongylus vulgaris | Horse | Australia | GQ888717 | [34] |
| Strongylidae | Triodontophorus brevicauda | Horse | China | NC_026729 | Unpublished |
| Strongylidae | Triodontophorus nipponicus | Horse | China | NC_031517 | Unpublished |
| Strongylidae | Triodontophorus serratus | Horse | China | NC_031516 | Unpublished |
| Strongylidea | Cylicostephanus goldi | Horse | Japan | AP017681 | Unpublished |
| Syngamidae | Syngamus trachea | Magpie | Australia | NC_013821 | [34] |
| Trichostrongylidae | Trichostrongylus axei | Sheep | Australia | NC_013824 | [34] |
| Trichostrongylidae | Trichostrongylus vitrinus | Sheep | Australia | NC_013807 | [34] |
Publisher’s Note: MDPI stays neutral with regard to jurisdictional claims in published maps and institutional affiliations. |
© 2022 by the authors. Licensee MDPI, Basel, Switzerland. This article is an open access article distributed under the terms and conditions of the Creative Commons Attribution (CC BY) license (https://creativecommons.org/licenses/by/4.0/).
Share and Cite
Xie, Y.; Chen, Y.; Wang, L.; Wang, Z.; Zhu, P.; Hu, Z.; Gu, X.; He, R.; Xu, J.; Jing, B.; et al. Comprehensive Molecular Characterization of the Mitochondrial Genome of the Takin Lungworm Varestrongylus eleguneniensis (Strongylida: Protostrongylidae). Int. J. Mol. Sci. 2022, 23, 13597. https://doi.org/10.3390/ijms232113597
Xie Y, Chen Y, Wang L, Wang Z, Zhu P, Hu Z, Gu X, He R, Xu J, Jing B, et al. Comprehensive Molecular Characterization of the Mitochondrial Genome of the Takin Lungworm Varestrongylus eleguneniensis (Strongylida: Protostrongylidae). International Journal of Molecular Sciences. 2022; 23(21):13597. https://doi.org/10.3390/ijms232113597
Chicago/Turabian StyleXie, Yue, Yijun Chen, Lidan Wang, Zhao Wang, Pengchen Zhu, Zun Hu, Xiaobin Gu, Ran He, Jing Xu, Bo Jing, and et al. 2022. "Comprehensive Molecular Characterization of the Mitochondrial Genome of the Takin Lungworm Varestrongylus eleguneniensis (Strongylida: Protostrongylidae)" International Journal of Molecular Sciences 23, no. 21: 13597. https://doi.org/10.3390/ijms232113597
APA StyleXie, Y., Chen, Y., Wang, L., Wang, Z., Zhu, P., Hu, Z., Gu, X., He, R., Xu, J., Jing, B., Peng, X., Yang, G., & Zhou, X. (2022). Comprehensive Molecular Characterization of the Mitochondrial Genome of the Takin Lungworm Varestrongylus eleguneniensis (Strongylida: Protostrongylidae). International Journal of Molecular Sciences, 23(21), 13597. https://doi.org/10.3390/ijms232113597

