Circulating Soluble TREM2 and Cardiovascular Outcome in Cohort Study of Coronary Atherosclerosis Patients
Abstract
1. Introduction
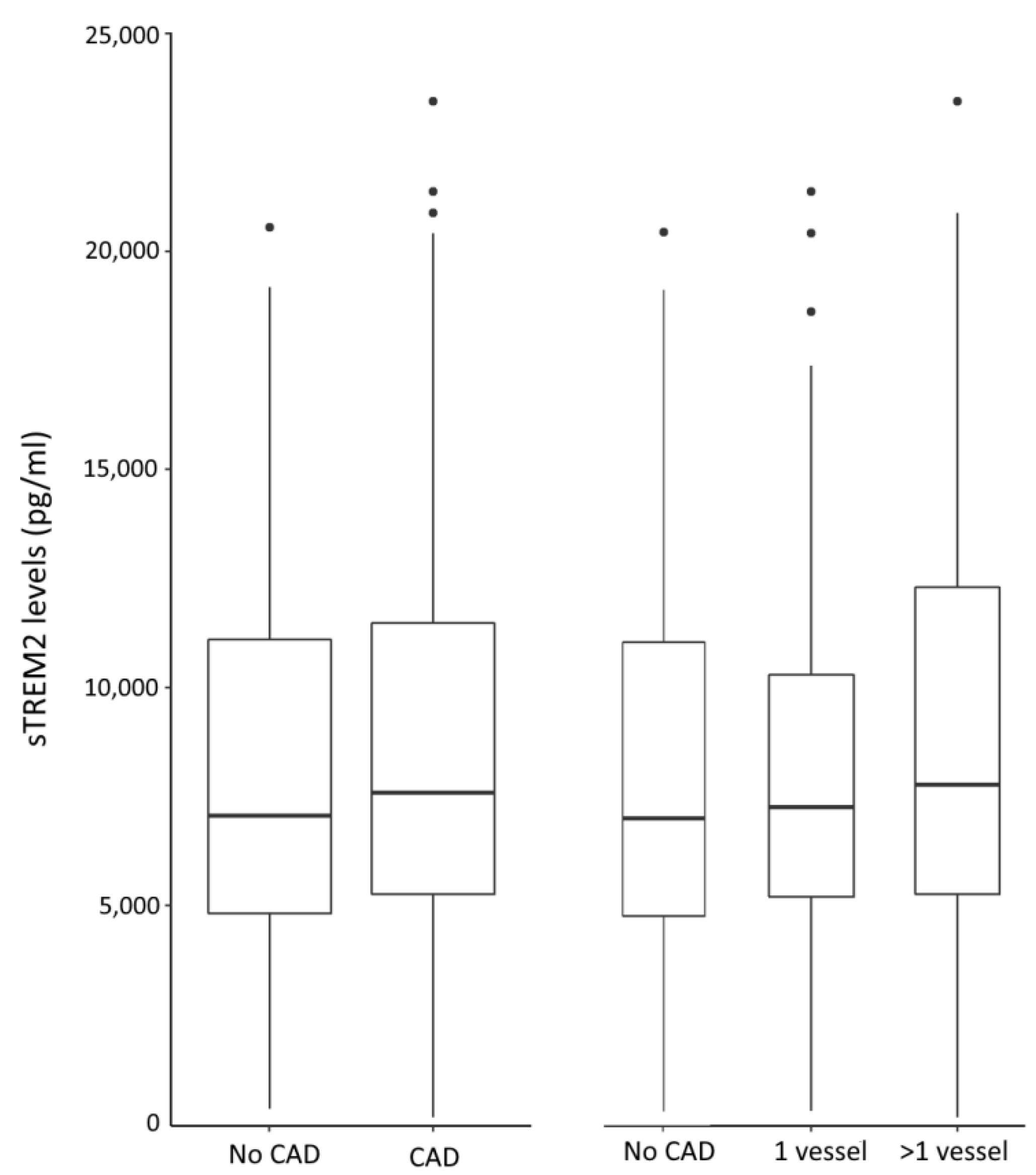
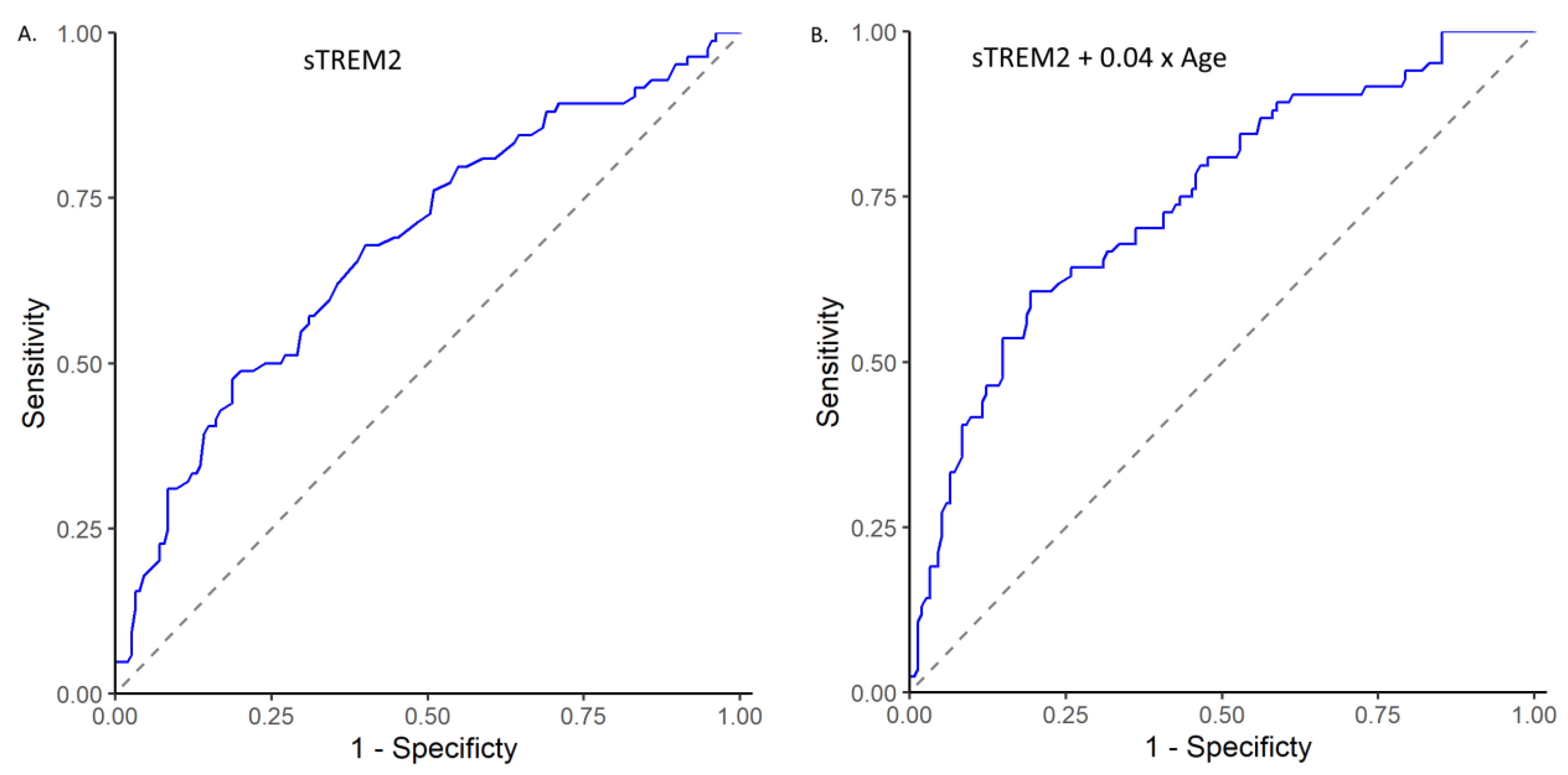
2. Results
3. Discussion
Study Limitations
4. Materials and Methods
4.1. Study Population
4.2. Determination of sTREM2 Levels in Serum
4.3. Statistical Methods
5. Conclusions
Author Contributions
Funding
Institutional Review Board Statement
Informed Consent Statement
Data Availability Statement
Conflicts of Interest
References
- Ulland, T.K.; Colonna, M. TREM2—A key player in microglial biology and Alzheimer disease. Nat. Rev. Neurol. 2018, 14, 667–675. [Google Scholar] [CrossRef] [PubMed]
- Daws, M.R.; Lanier, L.L.; Seaman, W.E.; Ryan, J.C. Cloning and characterization of a novel mouse myeloid DAP12-associated receptor family. Eur. J. Immunol. 2001, 31, 783–791. [Google Scholar] [CrossRef]
- Bouchon, A.; Hernandez-Munain, C.; Cella, M.; Colonna, M. A DAP12-mediated pathway regulates expression of CC chemokine receptor 7 and maturation of human dendritic cells. J. Exp. Med. 2001, 194, 1111–1122. [Google Scholar] [CrossRef]
- Cella, M.; Buonsanti, C.; Strader, C.; Kondo, T.; Salmaggi, A.; Colonna, M. Impaired differentiation of osteoclasts in TREM-2–deficient individuals. J. Exp. Med. 2003, 198, 645–651. [Google Scholar] [CrossRef]
- Turnbull, I.R.; Gilfillan, S.; Cella, M.; Aoshi, T.; Miller, M.; Piccio, L.; Hernandez, M.; Colonna, M. Cutting edge: TREM-2 attenuates macrophage activation. J. Immunol. 2006, 177, 3520–3524. [Google Scholar] [CrossRef] [PubMed]
- Hickman, S.E.; Kingery, N.D.; Ohsumi, T.K.; Borowsky, M.L.; Wang, L.C.; Means, T.K.; El Khoury, J. The microglial sensome revealed by direct RNA sequencing. Nat. Neurosci. 2013, 16, 1896–1905. [Google Scholar] [CrossRef]
- Schmid, C.D.; Sautkulis, L.N.; Danielson, P.E.; Cooper, J.; Hasel, K.W.; Hilbush, B.S.; Sutcliffe, J.G.; Carson, M.J. Heterogeneous expression of the triggering receptor expressed on myeloid cells-2 on adult murine microglia. J. Neurochem. 2002, 83, 1309–1320. [Google Scholar] [CrossRef]
- Zhang, Y.; Chen, K.; Sloan, S.A.; Bennett, M.L.; Scholze, A.R.; O’Keeffe, S.; Phatnani, H.P.; Guarnieri, P.; Caneda, C.; Ruderisch, N.; et al. An RNA-sequencing transcriptome and splicing database of glia, neurons, and vascular cells of the cerebral cortex. J. Neurosci. 2014, 34, 11929–11947. [Google Scholar] [CrossRef]
- Guerreiro, R.; Wojtas, A.; Bras, J.; Carrasquillo, M.; Rogaeva, E.; Majounie, E.; Cruchaga, C.; Sassi, C.; Kauwe, J.S.; Younkin, S.; et al. TREM2 variants in Alzheimer’s disease. N. Engl. J. Med. 2013, 368, 117–127. [Google Scholar] [CrossRef]
- Jonsson, T.; Stefansson, H.; Steinberg, S.; Jonsdottir, I.; Jonsson, P.V.; Snaedal, J.; Bjornsson, S.; Huttenlocher, J.; Levey, A.I.; Lah, J.J.; et al. Variant of TREM2 associated with the risk of Alzheimer’s disease. N. Engl. J. Med. 2013, 368, 107–116. [Google Scholar] [CrossRef]
- Filipello, F.; Goldsbury, C.; You, S.F.; Locca, A.; Karch, C.M.; Piccio, L. Soluble TREM2: Innocent bystander or active player in neurological diseases? Neurobiol. Dis. 2022, 165, 105630. [Google Scholar] [CrossRef] [PubMed]
- Libby, P. The changing landscape of atherosclerosis. Nature 2021, 592, 524–533. [Google Scholar] [CrossRef] [PubMed]
- Zernecke, A.; Winkels, H.; Cochain, C.; Williams, J.W.; Wolf, D.; Soehnlein, O.; Robbins, C.S.; Monaco, C.; Park, I.; McNamara, C.A.; et al. Meta-Analysis of Leukocyte Diversity in Atherosclerotic Mouse Aortas. Circ. Res. 2020, 127, 402–426. [Google Scholar] [CrossRef] [PubMed]
- Kim, K.; Shim, D.; Lee, J.S.; Zaitsev, K.; Williams, J.W.; Kim, K.W.; Jang, M.Y.; Seok Jang, H.; Yun, T.J.; Lee, S.H.; et al. Transcriptome Analysis Reveals Nonfoamy Rather Than Foamy Plaque Macrophages Are Proinflammatory in Atherosclerotic Murine Models. Circ. Res. 2018, 123, 1127–1142. [Google Scholar] [CrossRef] [PubMed]
- Depuydt, M.A.C.; Prange, K.H.M.; Slenders, L.; Ord, T.; Elbersen, D.; Boltjes, A.; de Jager, S.C.A.; Asselbergs, F.W.; de Borst, G.J.; Aavik, E.; et al. Microanatomy of the Human Atherosclerotic Plaque by Single-Cell Transcriptomics. Circ. Res. 2020, 127, 1437–1455. [Google Scholar] [CrossRef]
- Jaitin, D.A.; Adlung, L.; Thaiss, C.A.; Weiner, A.; Li, B.; Descamps, H.; Lundgren, P.; Bleriot, C.; Liu, Z.; Deczkowska, A.; et al. Lipid-Associated Macrophages Control Metabolic Homeostasis in a Trem2-Dependent Manner. Cell 2019, 178, 686–698.e14. [Google Scholar] [CrossRef]
- Deczkowska, A.; Weiner, A.; Amit, I. The Physiology, Pathology, and Potential Therapeutic Applications of the TREM2 Signaling Pathway. Cell 2020, 181, 1207–1217. [Google Scholar] [CrossRef]
- Lu, Y.; Zhao, Y.; Zhang, Q.; Fang, C.; Bao, A.; Dong, W.; Peng, Y.; Peng, H.; Ju, Z.; He, J.; et al. Soluble TREM2 is associated with death and cardiovascular events after acute ischemic stroke: An observational study from CATIS. J. Neuroinflamm. 2022, 19, 88. [Google Scholar] [CrossRef]
- Medina-Leyte, D.J.; Zepeda-García, O.; Domínguez-Pérez, M.; González-Garrido, A.; Villarreal-Molina, T.; Jacobo-Albavera, L. Endothelial Dysfunction, Inflammation and Coronary Artery Disease: Potential Biomarkers and Promising Therapeutical Approaches. Int. J. Mol. Sci. 2021, 22, 3850. [Google Scholar] [CrossRef]
- Fassler, M.; Rappaport, M.S.; Cuno, C.B.; George, J. Engagement of TREM2 by a novel monoclonal antibody induces activation of microglia and improves cognitive function in Alzheimer’s disease models. J. Neuroinflammation 2021, 18, 19. [Google Scholar] [CrossRef]
- Zhong, L.; Chen, X.F.; Wang, T.; Wang, Z.; Liao, C.; Wang, Z.; Huang, R.; Wang, D.; Li, X.; Wu, L.; et al. Soluble TREM2 induces inflammatory responses and enhances microglial survival. J. Exp. Med. 2017, 214, 597–607. [Google Scholar] [CrossRef] [PubMed]
- Li, X.X.; Zhang, F. Targeting TREM2 for Parkinson’s Disease: Where to Go? Front. Immunol. 2021, 12, 795036. [Google Scholar] [CrossRef] [PubMed]




| CAD (n = 230) | Non-CAD (n = 53) | |
|---|---|---|
| sTREM2 (pg/mL) | 9115 ± 5969 | 8049± 4518 |
| Age (years) | 67 ± 12 | 65 ± 14 |
| Male | 152 (66%) | 33 (63%) |
| BMI (kg/m2) | 28.9 ± 5.4 | 28.1 ± 6.0 |
| Diabetes mellitus | 92 (40.0%) | 18 (34.0%) |
| Hypertension | 172 (74.8%) | 34 (64.2%) |
| Hyperlipidemia | 158 (68.7%) | 26 (49.1%) |
| Smoking (current) | 42 (18.3%) | 10 (18.9%) |
| PVD | 10 (4.4%) | 1 (1.8%) |
| CVA | 19 (8.3%) | 3 (5.7%) |
| Chronic renal failure | 44 (19.1%) | 8 (15.1%) |
| Unadjusted Model | Adjusted Model | |||||
|---|---|---|---|---|---|---|
| β1 | 95% CI | p-Value | β1 | 95% CI | p-Value | |
| Age (years) | 0.009 | 0.007–0.011 | <0.001 | 0.008 | 0.005–0.010 | <0.001 |
| Sex | 0.124 | 0.063–0.185 | <0.001 | −0.056 | −0.122 | 0.132 |
| Diabetes mellitus | 0.095 | 0.036–0.155 | 0.008 | 0.039 | −0.118 | 0.274 |
| Hypertension | 0.18 | 0.116–0.244 | <0.001 | 0.076 | 0.007–0.144 | 0.068 |
| Past smoking | −0.043 | −0.172 | 0.411 | 0.087 | 0.003–0.170 | 0.089 |
| Current smoking | −0.096 | −0.174, −0.018 | 0.044 | 0.06 | −0.167 | 0.236 |
| PVD | 0.115 | −0.294 | 0.197 | 0.055 | −0.293 | 0.532 |
| Atherosclerosis | 0.038 | −0.144 | 0.388 | 0.033 | −0.134 | 0.422 |
| Unadjusted Model | Adjusted Model | |||
|---|---|---|---|---|
| HR (95% CI) | p-Value | Adjusted HR (95% CI) | p-Value | |
| log sTREM2 | 7.050 (2.943–16.891) | <0.001 | 3.857 (1.419–10.485) | 0.008 |
| Age | 1.061 (1.038–1.083) | <0.001 | 1.052 (1.023–1.081) | <0.001 |
| Sex | 1.315 (0.841–2.055) | 0.230 | 0.924 (0.563–1.518) | 0.756 |
| BMI (kg/m2) | 1.018 (0.977–1.060) | 0.394 | 1.017 (0.975–1.061) | 0.428 |
| Diabetes | 1.302 (0.891–1.903) | 0.173 | 1.089 (0.697–1.700) | 0.709 |
| HTN | 1.762 (0.991–3.133) | 0.054 | 0.881 (0.469–1.656) | 0.694 |
| Smoking | 0.595 (0.356–0.994) | 0.047 | 1.096 (0.609–1.972) | 0.760 |
| AF | 3.277 (2.051–5.233) | <0.001 | 1.647 (0.987–2.750) | 0.056 |
| Dyslipidemia | 1.276 (0.782–2.081) | 0.329 | 0.942 (0.559–1.589) | 0.824 |
| Family history | 0.736 (0.268–2.019) | 0.552 | 1.656 (0.563–4.869) | 0.360 |
| Single- vs. multi-vessel | 0.639 (0.406–1.005) | 0.053 | 0.714 (0.418–1.218) | 0.216 |
Publisher’s Note: MDPI stays neutral with regard to jurisdictional claims in published maps and institutional affiliations. |
© 2022 by the authors. Licensee MDPI, Basel, Switzerland. This article is an open access article distributed under the terms and conditions of the Creative Commons Attribution (CC BY) license (https://creativecommons.org/licenses/by/4.0/).
Share and Cite
Cuciuc, V.; Tshori, S.; Grib, L.; Sella, G.; Tuvali, O.; Volodarsky, I.; Welt, M.; Fassler, M.; Shimoni, S.; George, J. Circulating Soluble TREM2 and Cardiovascular Outcome in Cohort Study of Coronary Atherosclerosis Patients. Int. J. Mol. Sci. 2022, 23, 13121. https://doi.org/10.3390/ijms232113121
Cuciuc V, Tshori S, Grib L, Sella G, Tuvali O, Volodarsky I, Welt M, Fassler M, Shimoni S, George J. Circulating Soluble TREM2 and Cardiovascular Outcome in Cohort Study of Coronary Atherosclerosis Patients. International Journal of Molecular Sciences. 2022; 23(21):13121. https://doi.org/10.3390/ijms232113121
Chicago/Turabian StyleCuciuc, Valeri, Sagi Tshori, Livi Grib, Gal Sella, Ortal Tuvali, Igor Volodarsky, Michael Welt, Michael Fassler, Sara Shimoni, and Jacob George. 2022. "Circulating Soluble TREM2 and Cardiovascular Outcome in Cohort Study of Coronary Atherosclerosis Patients" International Journal of Molecular Sciences 23, no. 21: 13121. https://doi.org/10.3390/ijms232113121
APA StyleCuciuc, V., Tshori, S., Grib, L., Sella, G., Tuvali, O., Volodarsky, I., Welt, M., Fassler, M., Shimoni, S., & George, J. (2022). Circulating Soluble TREM2 and Cardiovascular Outcome in Cohort Study of Coronary Atherosclerosis Patients. International Journal of Molecular Sciences, 23(21), 13121. https://doi.org/10.3390/ijms232113121
