New Benzotriazole and Benzodithiophene-Based Conjugated Terpolymer Bearing a Fluorescein Derivative as Side-Group: In-Ternal Förster Resonance Energy Transfer to Improve Organic Solar Cells
Abstract
1. Introduction
2. Results and Discussion
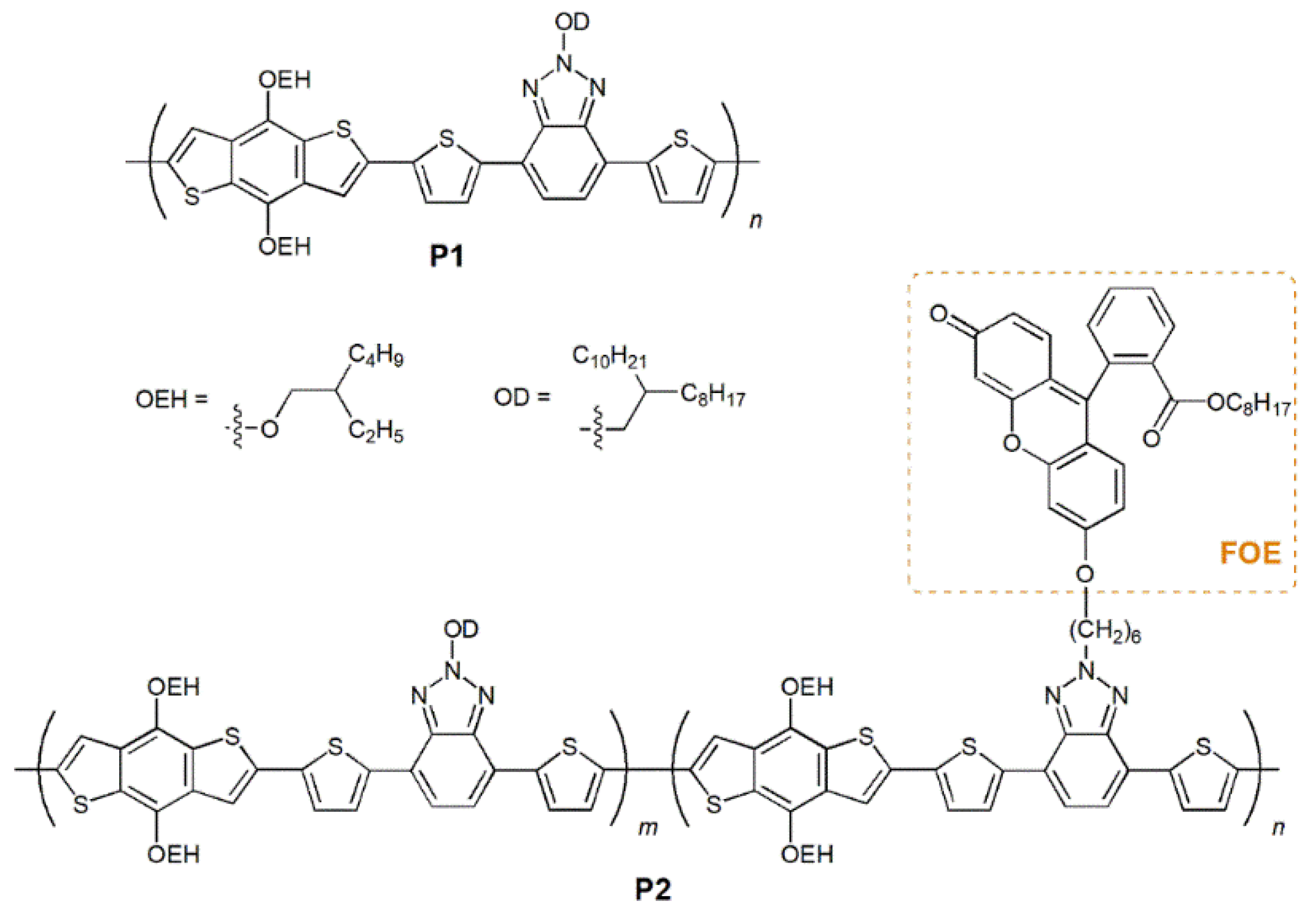
2.1. Synthesis of Polymers P1 and P2
2.2. Photophysical and Electrochemical Characterization
2.3. Photovoltaic Characterization
3. Materials and Methods
3.1. Materials
3.2. Measurements
3.3. OPV Devices Fabrication
3.4. General Procedure for Polymerizations
4. Conclusions
Supplementary Materials
Author Contributions
Funding
Institutional Review Board Statement
Informed Consent Statement
Data Availability Statement
Acknowledgments
Conflicts of Interest
References
- Li, Y.; Huang, W.; Zhao, D.; Wang, L.; Jiao, Z.; Huang, Q.; Wang, P.; Sun, M.; Yuan, G. Recent Progress in Organic Solar Cells: A Review on Materials from Acceptor to Donor. Molecules 2022, 27, 1800. [Google Scholar] [CrossRef] [PubMed]
- Lim, D.-H.; Ha, J.-W.; Choi, H.; Yoon, S.C.; Lee, B.R.; Ko, S.-J. Recent progress of ultra-narrow-bandgap polymer donors for NIR-absorbing organic solar cells. Nanoscale Adv. 2021, 3, 4306–4320. [Google Scholar] [CrossRef] [PubMed]
- Chang, Y.; Zhu, X.; Lu, K.; Wei, Z. Progress and prospects of thick-film organic solar cells. J. Mater. Chem. A 2021, 9, 3125–3150. [Google Scholar] [CrossRef]
- Murad, A.R.; Iraqi, A.; Aziz, S.B.; Abdullah, S.N.; Brza, M.A. Conducting Polymers for Optoelectronic Devices and Organic Solar Cells: A Review. Polymers 2020, 12, 2627. [Google Scholar] [CrossRef] [PubMed]
- Fu, H.; Wang, Z.; Sun, Y. Polymer Donors for High-Performance Non-Fullerene Organic Solar Cells. Angew. Chem. Int. Ed. Engl. 2019, 58, 4442–4453. [Google Scholar] [CrossRef]
- Li, B.; Zhang, X.; Wu, Z.; Yang, J.; Liu, B.; Liao, Q.; Wang, J.; Feng, K.; Chen, R.; Woo, H.Y.; et al. Over 16% efficiency all-polymer solar cells by sequential deposition. Sci. China Chem. 2022, 65, 1157–1163. [Google Scholar] [CrossRef]
- Jessop, I.A.; Díaz, F.R.; Terraza, C.A.; Tundidor-Camba, A.; Leiva, Á.; Cattin, L.; Bèrnede, J.-C. PANI Branches onto Donor-Acceptor Copolymers: Synthesis, Characterization and Electroluminescent Properties of New 2D-Materials. Polymers 2018, 10, 553. [Google Scholar] [CrossRef]
- Jessop, I.A.; Chong, A.; Graffo, L.; Camarada, M.B.; Espinoza, C.; Angel, F.A.; Saldías, C.; Tundidor-Camba, A.; Terraza, C.A. Synthesis and Characterization of a 2,3-Dialkoxynaphthalene-Based Conjugated Copolymer via Direct Arylation Polymerization (DAP) for Organic Electronics. Polymers 2020, 12, 1377. [Google Scholar] [CrossRef]
- Jessop, I.A.; Bustos, M.; Hidalgo, D.; Terraza, C.A.; Tundidor-Camba, A.; Pardo, M.A.; Fuentealba, D.; Hssein, M.; Bernede, J.C. Synthesis of 2H-benzotriazole based donor-acceptor polymers bearing carbazole derivative as pendant groups: Optical, electronical and photovoltaic properties. Int. J. Electrochem. Sci. 2016, 11, 9822–9838. [Google Scholar] [CrossRef]
- Li, Z.; Chueh, C.-C.; Jen, A.K.Y. Recent advances in molecular design of functional conjugated polymers for high-performance polymer solar cells. Prog. Polym. Sci. 2019, 99, 101175. [Google Scholar] [CrossRef]
- He, K.; Kumar, P.; Yuan, Y.; Li, Y. Wide bandgap polymer donors for high efficiency non-fullerene acceptor based organic solar cells. Mater. Adv. 2021, 2, 115–145. [Google Scholar] [CrossRef]
- Armin, A.; Li, W.; Sandberg, O.J.; Xiao, Z.; Ding, L.; Nelson, J.; Neher, D.; Vandewal, K.; Shoaee, S.; Wang, T.; et al. A History and Perspective of Non-Fullerene Electron Acceptors for Organic Solar Cells. Adv. Energy Mater. 2021, 11, 2003570. [Google Scholar] [CrossRef]
- Karki, A.; Gillett, A.J.; Friend, R.H.; Nguyen, T.Q. The Path to 20% Power Conversion Efficiencies in Nonfullerene Acceptor Organic Solar Cells. Adv. Energy Mater. 2020, 11, 2003441. [Google Scholar] [CrossRef]
- Liu, F.; Zhou, L.; Liu, W.; Zhou, Z.; Yue, Q.; Zheng, W.; Sun, R.; Liu, W.; Xu, S.; Fan, H.; et al. Organic Solar Cells with 18% Efficiency Enabled by an Alloy Acceptor: A Two-in-One Strategy. Adv. Mater. 2021, 33, 2100830. [Google Scholar] [CrossRef]
- Lee, C.; Lee, S.; Kim, G.U.; Lee, W.; Kim, B.J. Recent Advances, Design Guidelines, and Prospects of All-Polymer Solar Cells. Chem. Rev. 2019, 119, 8028–8086. [Google Scholar] [CrossRef] [PubMed]
- Moser, M.; Wadsworth, A.; Gasparini, N.; McCulloch, I. Challenges to the Success of Commercial Organic Photovoltaic Products. Adv. Energy Mater. 2021, 11, 2100056. [Google Scholar] [CrossRef]
- Riede, M.; Spoltore, D.; Leo, K. Organic Solar Cells—The Path to Commercial Success. Adv. Energy Mater. 2020, 11, 2002653. [Google Scholar] [CrossRef]
- Kang, H.; Kim, G.; Kim, J.; Kwon, S.; Kim, H.; Lee, K. Bulk-Heterojunction Organic Solar Cells: Five Core Technologies for Their Commercialization. Adv. Mater. 2016, 28, 7821–7861. [Google Scholar] [CrossRef]
- Xue, R.; Zhang, J.; Li, Y.; Li, Y. Organic Solar Cell Materials toward Commercialization. Small 2018, 14, e1801793. [Google Scholar] [CrossRef]
- Guo, Q.; Guo, Q.; Geng, Y.; Tang, A.; Zhang, M.; Du, M.; Sun, X.; Zhou, E. Recent advances in PM6:Y6-based organic solar cells. Mater. Chem. Front. 2021, 5, 3257–3280. [Google Scholar] [CrossRef]
- Yu, R.; Wu, G.; Tan, Z.a. Realization of high performance for PM6:Y6 based organic photovoltaic cells. J. Energy Chem. 2021, 61, 29–46. [Google Scholar] [CrossRef]
- Scharber, M.C.; Sariciftci, N.S. Low Band Gap Conjugated Semiconducting Polymers. Adv. Mater. Technol. 2021, 6, 2000857. [Google Scholar] [CrossRef]
- An, C.; Zheng, Z.; Hou, J. Recent progress in wide bandgap conjugated polymer donors for high-performance nonfullerene organic photovoltaics. Chem. Commun. 2020, 56, 4750–4760. [Google Scholar] [CrossRef]
- Bisht, H.; Singh, A.P.; Joshi, H.C.; Jit, S.; Mishra, H. Forster Resonance Energy Transfer between Fluorescent Organic Semiconductors: Poly(9,9-dioctylfluorene-alt-benzothiadiazole) and 6,13-Bis(triisopropylsilylethynyl)pentacene. J. Phys. Chem. B 2022, 126, 3931–3939. [Google Scholar] [CrossRef]
- Anzola, M.; Sissa, C.; Painelli, A.; Hassanali, A.A.; Grisanti, L. Understanding Forster Energy Transfer through the Lens of Molecular Dynamics. J. Chem. Theory Comput. 2020, 16, 7281–7288. [Google Scholar] [CrossRef] [PubMed]
- Zong, H.; Wang, J.; Mu, X.; Xu, X.; Li, J.; Wang, X.; Long, F.; Wang, J.; Sun, M. Physical mechanism of photoinduced intermolecular charge transfer enhanced by fluorescence resonance energy transfer. Phys. Chem. Chem. Phys. 2018, 20, 13558–13565. [Google Scholar] [CrossRef] [PubMed]
- Xiao, L.; Wu, X.; Ren, G.; Kolaczkowski, M.A.; Huang, G.; Tan, W.; Ma, L.; Liu, Y.; Peng, X.; Min, Y.; et al. Highly Efficient Ternary Solar Cells with Efficient Förster Resonance Energy Transfer for Simultaneously Enhanced Photovoltaic Parameters. Adv. Funct. Mater. 2021, 31, 2105304. [Google Scholar] [CrossRef]
- Mohapatra, A.A.; Shivanna, R.; Podapangi, S.; Hinderhofer, A.; Dar, M.I.; Maity, N.; Schreiber, F.; Sadhanala, A.; Friend, R.H.; Patil, S. Role of Morphology and Förster Resonance Energy Transfer in Ternary Blend Organic Solar Cells. ACS Appl. Energy Mater. 2020, 3, 12025–12036. [Google Scholar] [CrossRef]
- Liu, D.; Fan, P.; Zhang, D.; Zhang, X.; Yu, J. Förster resonance energy transfer and improved charge mobility for high performance and low-cost ternary polymer solar cells. Sol. Energy 2019, 189, 186–193. [Google Scholar] [CrossRef]
- Mohapatra, A.A.; Kim, V.; Puttaraju, B.; Sadhanala, A.; Jiao, X.; McNeill, C.R.; Friend, R.H.; Patil, S. Förster Resonance Energy Transfer Drives Higher Efficiency in Ternary Blend Organic Solar Cells. ACS Appl. Energy Mater. 2018, 1, 4874–4882. [Google Scholar] [CrossRef]
- Chen, W.; Jiang, H.; Huang, G.; Zhang, J.; Cai, M.; Wan, X.; Yang, R. High-Efficiency Ternary Polymer Solar Cells Based on Intense FRET Energy Transfer Process. Sol. RRL 2018, 2, 1800101. [Google Scholar] [CrossRef]
- Yang, L.; Gu, W.; Hong, L.; Mi, Y.; Liu, F.; Liu, M.; Yang, Y.; Sharma, B.; Liu, X.; Huang, H. High Performing Ternary Solar Cells through Forster Resonance Energy Transfer between Nonfullerene Acceptors. ACS Appl. Mater. Interfaces 2017, 9, 26928–26936. [Google Scholar] [CrossRef] [PubMed]
- Datt, R.; Sharma, R.; Bishnoi, S.; Gupta, V. Förster resonance energy transfer in p-DTS(FBTTh2)2- p-SIDT(FBTTh2)2 small molecule ternary blend bulk-heterojunction solar cells for enhanced power conversion energy. Matter. Lett. 2019, 251, 122–125. [Google Scholar] [CrossRef]
- Liu, J.; Tang, B.; Liang, Q.; Han, Y.; Xie, Z.; Liu, J. Dual Förster resonance energy transfer and morphology control to boost the power conversion efficiency of all-polymer OPVs. RSC Adv. 2017, 7, 13289–13298. [Google Scholar] [CrossRef]
- Angel, F.A.; Camarada, M.B.; Jessop, I.A. Computational chemistry advances on benzodithiophene-based organic photovoltaic materials. Crit. Rev. Solid State Mater. Sci. 2022, 1–28. [Google Scholar] [CrossRef]
- Yagui, J.; Angel, F.A. Benzodithiophene-based small molecules for vacuum-processed organic photovoltaic devices. Opt. Mater. 2020, 109, 110354. [Google Scholar] [CrossRef]
- Xu, X.; Yu, L.; Peng, Q. Recent Advances in Wide Bandgap Polymer Donors and Their Applications in Organic Solar Cells. Chin. J. Chem. 2021, 39, 243–254. [Google Scholar] [CrossRef]
- Balan, A.; Baran, D.; Toppare, L. Benzotriazole containing conjugated polymers for multipurpose organic electronic applications. Polym. Chem. 2011, 2, 1029–1043. [Google Scholar] [CrossRef]
- Rech, J.J.; Yan, L.; Wang, Z.; Zhang, Q.; Bradshaw, S.; Ade, H.; You, W. Functionalization of Benzotriazole-Based Conjugated Polymers for Solar Cells: Heteroatom vs. Substituents. ACS Appl. Polym. Mater. 2020, 3, 30–41. [Google Scholar] [CrossRef]
- Rokitskaya, T.I.; Sumbatyan, N.V.; Tashlitsky, V.N.; Korshunova, G.A.; Antonenko, Y.N.; Skulachev, V.P. Mitochondria-targeted penetrating cations as carriers of hydrophobic anions through lipid membranes. Biochim. Biophys. Acta-Biomembr. 2010, 1798, 1698–1706. [Google Scholar] [CrossRef]
- Brown, L.; Halling, P.J.; Johnston, G.A.; Suckling, C.J.; Valivety, R.H. The synthesis of some water insoluble dyes for the measurement of pH in water immiscible solvents. J. Chem. Soc. Perkin Trans. 1990, 12, 3349–3353. [Google Scholar] [CrossRef]
- Feng, S.; Gong, S.; Feng, G. Aggregation-induced emission and solid fluorescence of fluorescein derivatives. Chem. Commun. 2020, 56, 2511–2513. [Google Scholar] [CrossRef] [PubMed]
- Zhang, Z.; Peng, B.; Liu, B.; Pan, C.; Li, Y.; He, Y.; Zhou, K.; Zou, Y. Copolymers from benzodithiophene and benzotriazole: Synthesis and photovoltaic applications. Polym. Chem. 2010, 1, 1441–1447. [Google Scholar] [CrossRef]
- Yang, M.; Chen, X.; Zou, Y.; He, Y.; Pan, C.; Xiao, L.; Liu, B. Synthesis and photovoltaic properties of benzotriazole-based donor–acceptor copolymers. J. Mater. Sci. 2012, 48, 3177–3184. [Google Scholar] [CrossRef]
- Unay, H.; Unlu, N.A.; Hizalan, G.; Hacioglu, S.O.; Yildiz, D.E.; Toppare, L.; Cirpan, A. Benzotriazole and benzodithiophene containing medium band gap polymer for bulk heterojunction polymer solar cell applications. J. Polym. Sci. Part A Polym. Chem. 2015, 53, 528–535. [Google Scholar] [CrossRef]
- Zhang, D.; Wang, M.; Liu, X.; Zhao, J. Synthesis and characterization of donor–acceptor type conducting polymers containing benzotriazole acceptor and benzodithiophene donor or s-indacenodithiophene donor. RSC Adv. 2016, 6, 94014–94023. [Google Scholar] [CrossRef]
- Carsten, B.; He, F.; Son, H.J.; Xu, T.; Yu, L. Stille Polycondensation for Synthesis of Functional Materials. Chem. Rev. 2011, 111, 1493–1528. [Google Scholar] [CrossRef]
- Dang, D.; Yu, D.; Wang, E. Conjugated Donor-Acceptor Terpolymers Toward High-Efficiency Polymer Solar Cells. Adv. Mater. 2019, 31, e1807019. [Google Scholar] [CrossRef]
- Kim, J.H.; Song, C.E.; Shin, N.; Kang, H.; Wood, S.; Kang, I.N.; Kim, B.J.; Kim, B.; Kim, J.S.; Shin, W.S.; et al. High-crystalline medium-band-gap polymers consisting of benzodithiophene and benzotriazole derivatives for organic photovoltaic cells. ACS Appl. Mater. Interfaces 2013, 5, 12820–12831. [Google Scholar] [CrossRef]
- Wong, W.W.H.; Subbiah, J.; Puniredd, S.R.; Pisula, W.; Jones, D.J.; Holmes, A.B. Benzotriazole-based donor–acceptor conjugated polymers with a broad absorption in the visible range. Polym. Chem. 2014, 5, 1258–1263. [Google Scholar] [CrossRef]
- Pola, M.K.; Boopathi, K.M.; Padhy, H.; Raghunath, P.; Singh, A.; Lin, M.-C.; Chu, C.-W.; Lin, H.-C. Synthesis of fluorinated benzotriazole (BTZ)- and benzodithiophene (BDT)-based low-bandgap conjugated polymers for solar cell applications. Dye. Pigment. 2017, 139, 349–360. [Google Scholar] [CrossRef]
- Istanbulluoglu, C.; Göker, S.; Hizalan, G.; Hacioglu, S.O.; Udum, Y.A.; Yildiz, E.D.; Cirpan, A.; Toppare, L. Synthesis of a benzotriazole bearing alternating copolymer for organic photovoltaic applications. New J. Chem. 2015, 39, 6623–6630. [Google Scholar] [CrossRef]
- Scharber, M.C.; Mühlbacher, D.; Koppe, M.; Denk, P.; Waldauf, C.; Heeger, A.J.; Brabec, C.J. Design Rules for Donors in Bulk-Heterojunction Solar Cells—Towards 10 % Energy-Conversion Efficiency. Adv. Mater. 2006, 18, 789–794. [Google Scholar] [CrossRef]
- Cevher, S.C.; Unlu, N.A.; Ozelcaglayan, A.C.; Apaydin, D.H.; Udum, Y.A.; Toppare, L.; Cirpan, A. Fused structures in the polymer backbone to investigate the photovoltaic and electrochromic properties of donor-acceptor-type conjugated polymers. J. Polym. Sci. Part A Polym. Chem. 2013, 51, 1933–1941. [Google Scholar] [CrossRef]
- Tang, H.; Fuentealba, D.; Ko, Y.H.; Selvapalam, N.; Kim, K.; Bohne, C. Guest Binding Dynamics with Cucurbit[7]uril in the Presence of Cations. J. Am. Chem. Soc. 2011, 133, 20623–20633. [Google Scholar] [CrossRef]
- Mura, F.; Zúñiga-Núñez, D.; Mallet, J.-M.; Lavielle, S.; Matton, P.; Barrías, P.; Fuentealba, D.; Aspée, A. A microenvironment-sensitive coumarin-labeled peptide for the assessment of lipid-peptide interactions. Dye. Pigment. 2020, 176, 108234. [Google Scholar] [CrossRef]
- Campbell, A.J.; Bradley, D.D.C.; Lidzey, D.G. Space-charge limited conduction with traps in poly(phenylene vinylene) light emitting diodes. J. Appl. Phys. 1997, 82, 6326–6342. [Google Scholar] [CrossRef]





| Sample | TDT10% (°C) 1 | λmaxsol (nm) 2 | λmaxfilm (nm) 2 | λmaxem (nm) 3 | Sol (eV) 4 | Film (eV) 4 | EHOMO (eV) 5 | ELUMO (eV) 5 |
|---|---|---|---|---|---|---|---|---|
| P1 | 364 | 524 | 535/574 | 610 | 2.04 | 1.97 | −5.48 | −2.75 (−3.51) 6 |
| P2 | 379 | 499 | 501 | 575 | 2.08 | 2.02 | −5.30 | −3.31 (−3.28) 6 |
| FOE | - | 460/490 | - | 556 | 2.37 | - | −5.28 | −4.00 |
| Sample | λexc/λem (nm) | τ1 (A1) (ns) | τ2 (A2) (ns) | τ3 (A3) (ns) | χ2 |
|---|---|---|---|---|---|
| P1 | 458/574 | 0.22 (43%) | 0.90 (57%) | - | 1.088 |
| P1 | 506/574 | 0.12 (44%) | 0.84 (56%) | - | 1.055 |
| P2 | 458/611 | 0.06 (50%) | 0.87 (35%) | 1.82 (15%) | 1.126 |
| P2 | 506/611 | - | 0.81 (67%) | 1.75 (33%) | 1.159 |
| FOE | 458/558 | - | - | 2.64 (100%) | 0.953 |
| Sample | Voc (V) | Jsc (mA·cm−2) | Jsc (EQE) (mA·cm−2) | FF | PCE (%) | µh (cm2·Vs−1) |
|---|---|---|---|---|---|---|
| P1 | 0.26 ± 0.02 | 0.11 ± 0.03 | - | 0.25 ± 0.02 | 0.01 ± 0.00 | - |
| P2 | 0.55 ± 0.00 | 1.90 ± 0.08 | 1.94 ± 0.09 | 0.31 ± 0.00 | 0.41 ± 0.02 | 3.3 × 10−4 ± 3.9 × 10−5 |
Publisher’s Note: MDPI stays neutral with regard to jurisdictional claims in published maps and institutional affiliations. |
© 2022 by the authors. Licensee MDPI, Basel, Switzerland. This article is an open access article distributed under the terms and conditions of the Creative Commons Attribution (CC BY) license (https://creativecommons.org/licenses/by/4.0/).
Share and Cite
Jessop, I.A.; Cutipa, J.; Perez, Y.; Saldías, C.; Fuentealba, D.; Tundidor-Camba, A.; Terraza, C.A.; Camarada, M.B.; Angel, F.A. New Benzotriazole and Benzodithiophene-Based Conjugated Terpolymer Bearing a Fluorescein Derivative as Side-Group: In-Ternal Förster Resonance Energy Transfer to Improve Organic Solar Cells. Int. J. Mol. Sci. 2022, 23, 12901. https://doi.org/10.3390/ijms232112901
Jessop IA, Cutipa J, Perez Y, Saldías C, Fuentealba D, Tundidor-Camba A, Terraza CA, Camarada MB, Angel FA. New Benzotriazole and Benzodithiophene-Based Conjugated Terpolymer Bearing a Fluorescein Derivative as Side-Group: In-Ternal Förster Resonance Energy Transfer to Improve Organic Solar Cells. International Journal of Molecular Sciences. 2022; 23(21):12901. https://doi.org/10.3390/ijms232112901
Chicago/Turabian StyleJessop, Ignacio A., Josefa Cutipa, Yasmín Perez, Cesar Saldías, Denis Fuentealba, Alain Tundidor-Camba, Claudio A. Terraza, María B. Camarada, and Felipe A. Angel. 2022. "New Benzotriazole and Benzodithiophene-Based Conjugated Terpolymer Bearing a Fluorescein Derivative as Side-Group: In-Ternal Förster Resonance Energy Transfer to Improve Organic Solar Cells" International Journal of Molecular Sciences 23, no. 21: 12901. https://doi.org/10.3390/ijms232112901
APA StyleJessop, I. A., Cutipa, J., Perez, Y., Saldías, C., Fuentealba, D., Tundidor-Camba, A., Terraza, C. A., Camarada, M. B., & Angel, F. A. (2022). New Benzotriazole and Benzodithiophene-Based Conjugated Terpolymer Bearing a Fluorescein Derivative as Side-Group: In-Ternal Förster Resonance Energy Transfer to Improve Organic Solar Cells. International Journal of Molecular Sciences, 23(21), 12901. https://doi.org/10.3390/ijms232112901

