Next Article in Journal
Short- and Long-Term Implications of Human Milk Microbiota on Maternal and Child Health
Next Article in Special Issue
Modeling, Synthesis, and Biological Evaluation of Potential Retinoid-X-Receptor (RXR) Selective Agonists: Analogs of 4-[1-(3,5,5,8,8-Pentamethyl-5,6,7,8-tetrahyro-2-naphthyl)ethynyl]benzoic Acid (Bexarotene) and 6-(Ethyl(4-isobutoxy-3-isopropylphenyl)amino)nicotinic Acid (NEt-4IB)
Previous Article in Journal
The Fibrotic Effects of TMAO on Human Renal Fibroblasts Is Mediated by NLRP3, Caspase-1 and the PERK/Akt/mTOR Pathway
Previous Article in Special Issue
Structural Biology-Based Exploration of Subtype-Selective Agonists for Peroxisome Proliferator-Activated Receptors
 
 
Font Type:
Arial Georgia Verdana
Font Size:
Aa Aa Aa
Line Spacing:
Column Width:
Background:
Article

Stereoselective Synthesis of 24-Fluoro-25-Hydroxyvitamin D3 Analogues and Their Stability to hCYP24A1-Dependent Catabolism

1
Faculty of Pharmaceutical Sciences, Teikyo University, 2-11-1 Kaga, Tokyo 173-8605, Japan
2
Faculty of Engineering, Toyama Prefectural University, Imizu 939-0398, Japan
*
Author to whom correspondence should be addressed.
Int. J. Mol. Sci. 2021, 22(21), 11863; https://doi.org/10.3390/ijms222111863
Submission received: 17 September 2021 / Revised: 18 October 2021 / Accepted: 27 October 2021 / Published: 1 November 2021
(This article belongs to the Special Issue Medicinal Chemistry of Nuclear Receptors)

Abstract

:
Two 24-fluoro-25-hydroxyvitamin D3 analogues (3,4) were synthesized in a convergent manner. The introduction of a stereocenter to the vitamin D3 side-chain C24 position was achieved via Sharpless dihydroxylation, and a deoxyfluorination reaction was utilized for the fluorination step. Comparison between (24R)- and (24S)-24-fluoro-25-hydroxyvitamin D3 revealed that the C24-R-configuration isomer 4 was more resistant to CYP24A1-dependent metabolism than its 24S-isomer 3. The new synthetic route of the CYP24A1 main metabolite (24R)-24,25-dihydroxyvitamin D3 (6) and its 24S-isomer (5) was also studied using synthetic intermediates (30,31) in parallel.

1. Introduction

Vitamin D3 is a lipophilic vitamin, and hydroxylation steps promoted by the cytochrome P450 family are essential for both activation and deactivation pathways. In the deactivation step, human cytochrome P450 24A1 (hCYP24A1) is one of the main enzymes catalyzing hydroxylation at the C23 or C24 positions of the 25-hydroxyvitamin D3 [25(OH)D3] side-chain, and several subsequent hydroxylation steps lead to vitamin D3-23,26-lactone or calcitroic acid (Scheme 1) [1,2,3,4,5,6,7,8].
Recently, we developed a new methodology to synthesize 23-fluorinated vitamin D3 analogues (1,2), and identified their unique biological activities (Figure 1). The 23S-fluorinated isomer (1) showed higher metabolic resistance against hCYP24A1 than its 23R-isomer (2) [9,10]. On the other hand, the 23R-isomer (2) showed a greater binding affinity for human vitamin D receptor (hVDR) than its 23S isomer and natural 25(OH)D3 (unpublished data). Encouraged by these results, we have been interested in 24-substituted vitamin D3 analogues, 24-fluoro-25-hydroxyvitamin D3 (3,4), to study elongation of the half-life time of 25(OH)D3 against CYP24A1-dependent metabolism [11].
There have been several reports on the synthesis of 24-fluorinated vitamin D3 analogues. For example, in 1979, a 24-fluorinated vitamin D3 analogue was first reported by Ikekawa et al. [12,13]; they described 24-fluoro-25-hydroxyvitamin D3 (7) as a C24 diastereomeric mixture (Figure 2). Later, Uskoković et al. synthesized (24R)-24-fluoro-1α,25-dihydroxyvitamin D3 (8) from a steroid skeleton in 1985 and from a CD-ring fragment in 1988 [14,15]. However, selective synthesis of the 24S-fluorinated vitamin D3 analogue has not been reported, and the route to synthetic modification at C24 is still limited. Considering the importance of the C24 position of vitamin D3—including its stereochemistry—the practical synthetic methodology for 24-fluorinated vitamin D3 analogues is an essential topic.
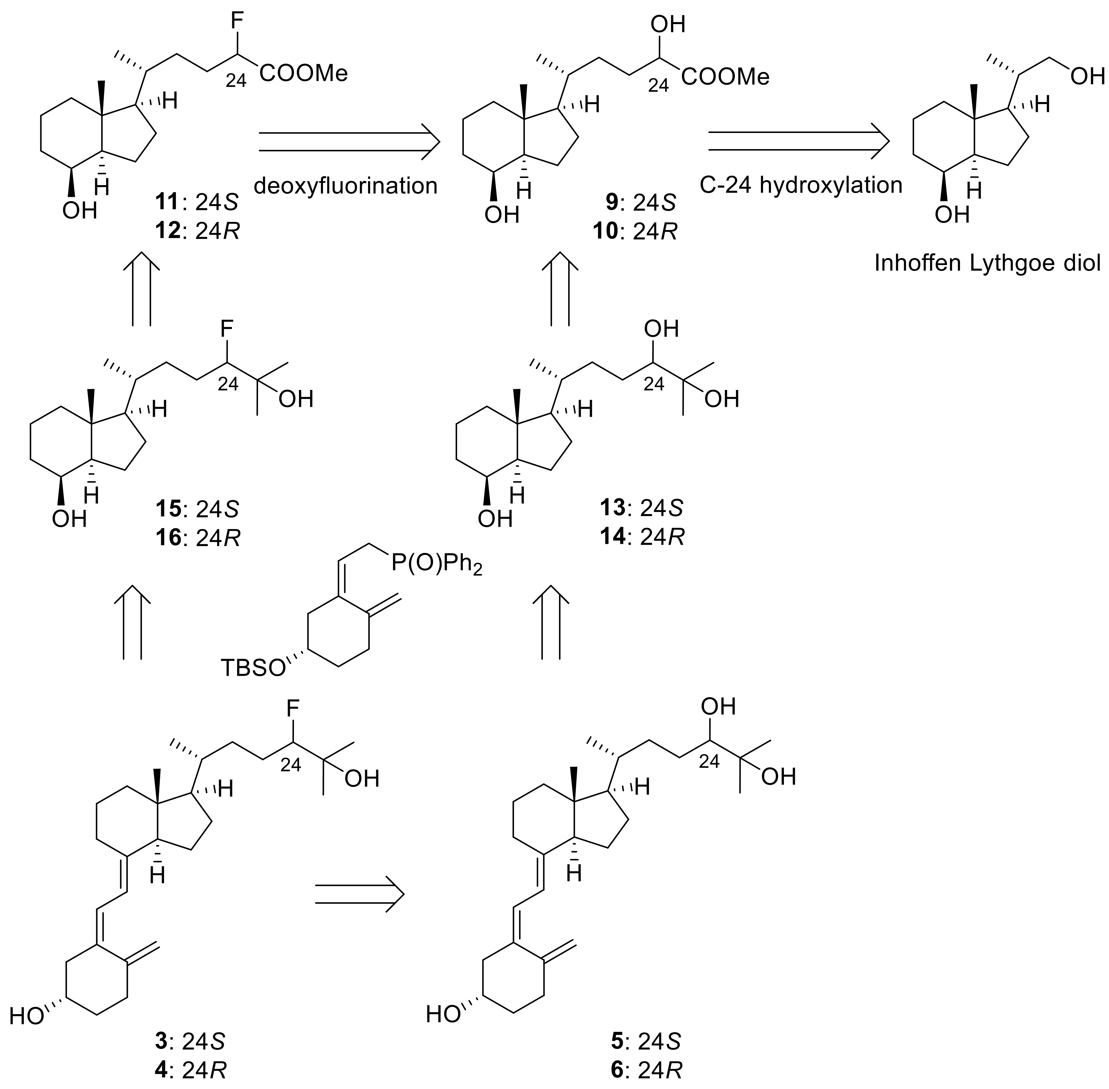
To solve the problems above, we herein report a new stereoselective synthetic methodology for 24-fluoro-25-hydroxyvitamin D3 (3,4) through the chiral CD-ring part of 24,25-dihydroxyvitamin D3 (5,6), and reveal their preliminary biological activities. We considered that 24-substituted CD-ring fragments (1316) may be useful units to synthesize numerous 24-substituted vitamin D3 analogues if coupled with various A-ring fragments [16] (Scheme 2).
Synthesis of CD-ring fragments was achieved by side-chain elongation of Inhoffen–Lythgoe diol. Stereoselective introduction of the 24-hydroxy group was performed by Sharpless dihydroxylation reaction [17,18], and the fluorination step was achieved by deoxyfluorination reaction using N,N-diethylaminosulfur trifluoride (DAST).

2. Results and Discussion

For the synthesis of C24-substituted CD-ring fragments (1316), commercially available Inhoffen–Lythgoe diol was chosen as a starting material (Scheme 3). Iodination at C22-OH and hydroxy protection at the C8 position yielded iodide 18 [19]. After replacement of iodine with an allyl group utilizing allyl magnesium bromide, stereoselective dihydroxylation was achieved via Sharpless asymmetric dihydroxylation using AD-mix α and β to yield diols with 24S-OH (20) and 24R-OH (21), respectively. Protection of the C24 position with benzyl ether and two-step oxidation afforded carboxylic acids (28,29). These were treated with trimethylsilyl diazomethane in methanol to produce methyl esters (30,31), which were subsequently hydrogenated to afford 24-hydroxylated methyl esters (9,10). Next, introduction of a fluorine atom was achieved via deoxyfluorination reaction using DAST. The addition of an excess of methyl magnesium chloride to the resulting fluoro methyl esters (11,12) in THF, followed by desilylation at the C8 position in the presence of p-toluenesulfonic acid, yielded 24-fluorinated CD-ring fragments (15,16).
Oxidation of 24-fluorinated CD-ring fragments (15,16) with tetrapropylammonium perruthenate (TPAP) in the presence of 4-methylmorpholine N-oxide in methylene chloride, followed by protection of the C25-hydroxy group utilizing trimethylsilyl chloride (TMSCl), yielded 8-ketones (32,33) (Scheme 4). The Wittig–Horner coupling reaction with the lithium salt of the A-ring phosphine oxide [16] produced the coupling products. The final deprotection with tetrabutylammonium fluoride (TBAF) afforded the desired 24-fluoro-25-hydroxyvitamin D3 (3 and 4) in 50 and 61% overall yields from 15 and 16, respectively.
There are several methods to synthesize 24-hydroxyvitamin D3 analogues [20,21,22,23,24,25,26,27]. In this study, we also explored the possibility of using 24-O-benzyl methyl esters (30,31) to synthesize their important precursors (13,14). As shown in Scheme 5, the 24-O-benzyl methyl esters were subsequently reacted with methyl magnesium chloride to produce 34 and 35. Deprotection of the benzyl group afforded 36 and 37, respectively, and desilylation at the C8-OH with p-toluenesulfonic acid yielded 24-hydroxy CD-rings (13,14).
To construct triene structures, we took advantage of a method that Sarandeses et al. developed in 2002 [25]. 24,25-Diol protection of the 24-hydroxylated CD-ring fragments (13,14) as a ketal was performed with 2,2-dimethoxypropane in the presence of pyridinium p-toluenesulfonate (PPTS) as an acid catalyst, and subsequent oxidation with TPAP and NMO of C8-hydroxy groups afforded the desired 8-ketones (40,41). The coupling reaction between the CD-rings (40,41) and A-ring phosphine oxide [16] was performed via the Wittig–Horner reaction to yield the protected vitamin D3. Deprotection with TBAF followed by cationic exchange resin (AG 50W-X4, H+ form) treatment afforded 24,25-dihydroxyvitamin D3 (5,6).

Biological Evaluation

The binding affinities of the three 24-fluorinated vitamin D3 analogues—(24S)-24-F-25(OH)D3 (3), (24R)-24-F-25(OH)D3 (4), and 24,24-difluoro-25(OH)D3 [28]—for hVDR are summarized in Table 1. For hVDR, 3 and 4 showed similar binding affinities, but slightly lower than that of natural 25(OH)D3. These results demonstrate that a fluorine atom at the C24 position could mildly impair the binding with hVDR. However, unexpectedly, 24,24-difluoro-25(OH)D3 showed higher binding affinity for hVDR than those of the 24-fluorinated vitamin D3 analogues 3 and 4.
We next analyzed the metabolism of three analogues and 25(OH)D3 by hCYP24A1. Hydroxylation activities of hCYP24A1 toward these analogues are shown in Table 2. The hCYP24A1 showed nearly the same activity toward (24S)-24-F-25(OH)D3 as that toward 25(OH)D3, whereas 24,24-F2-25(OH)D3 showed marked resistance to hCYP24A1-dependent metabolism. These results demonstrate that the 24R fluorine substitution allows 25(OH)D3 to achieve stronger catabolic resistance than its 24S counterpart. In contrast, we demonstrated that (23S)-23-F-25(OH)D3 (1) showed stronger resistance to CYP24A1 metabolism than (23R)-23-F-25(OH)D3 (2), as described in our previous study [9]. These results can be explained by the direction of hydroxylation at the C23 and C24 positions by CYP24A1 [1,2,3,4,5,6,7,8].

3. Experimental Section

1H and 13C NMR spectra were recorded on JEOL AL-400 NMR (400 MHz) and ECP-600 NMR (600 MHz) spectrometers (Tokyo, Japan). 1H NMR spectra were referenced with (CH3)4Si (δ 0.00 ppm) or CHCl3 (δ 7.26 ppm) as internal standards. 13C NMR spectra were referenced with deuterated solvent (δ 77.0 ppm for CDCl3). IR spectra were recorded on a JASCO FT-IR-800 Fourier-transform infrared spectrophotometer (Tokyo, Japan). High-resolution mass spectra were obtained on a SHIMADZU LCMS-IT-TOF mass spectrometer (Kyoto, Japan) with an electrospray ionization (ESI) method or atmospheric-pressure chemical ionization (APCI). Optical rotations were measured on a JASCO DIP-370 digital polarimeter (Tokyo, Japan). Column chromatography was performed on silica gel 60N (40–50 μm, Kanto Chemical Co., Inc., Tokyo, Japan) or silica gel 60 (0.040–0.063 mm, Merck, Tokyo Japan). All experiments were performed under anhydrous conditions in an atmosphere of argon, unless otherwise stated. The supporting information of 1H and 13C NMR spectra of all new compounds: 1921, 24, 25, 2831, 912, 15, 16, 3, 4, 36, and 37 is available at the link in Supplementary Materials.

3.1. tert-Butyl({(1R,3aR,4S,7aR)-1-[(R)-hex-5-en-2-yl]-7a-methyloctahydro-1H-inden-4-yl}oxy) Dimethylsilane (19)

To a solution of compound 18 [19] (180.0 mg, 0.412 mmol) in THF (4 mL), allyl magnesium bromide (3.3 mL, 1 M in Et2O, 3.3 mmol) was added at 0 °C, and it was stirred at room temperature for 23 h. After the reaction was quenched with water and aqueous saturated NH4Cl, the mixture was extracted with EtOAc three times, dried over Na2SO4, filtered, and concentrated. The residue was purified via flash column chromatography on silica gel (hexane only) to obtain 19 (105.1 mg, 73%) as a colorless oil.
19: [α]D27 +52.7 (c 1.82, CHCl3); IR (neat) 1471, 1371, 1252, 1162, 1085, 1027, 837, 771 cm−1; 1H NMR (600 MHz, CDCl3) δ −0.01 (s, 3H), 0.01 (s, 3H), 0.89 (s, 9H), 0.90 (d, J = 6.6 Hz, 3H), 0.91 (s, 3H), 0.99–1.13 (m, 3H), 1.21–1.28 (m, 2H), 1.30–1.43 (m, 4H), 1.46–1.58 (m, 2H), 1.63–1.70 (m, 1H), 1.74–1.84 (m, 2H), 1.90–1.97 (m, 2H), 2.08–2.14 (m, 1H), 3.99–4.00 (m, 1H), 4.90–4.92 (m, 1H), 4.97–5.04 (m, 1H), 5.80 (tdd, J = 6.0, 10.2, 16.2 Hz, 1H); 13C NMR (150 MHz, CDCl3) δ −5.2, −4.8, 13.7, 17.7, 18.0, 18.5, 23.1, 25.8, 27.3, 30.5, 34.5, 34.9, 35.1, 40.7, 42.2, 53.1, 56.8, 69.5, 113.8, 139.7; HRMS (ESI+) calcd for C22H42OSi [M]+ 350.2999, found 350.2992.

3.2. (2S,5R)-5-{(1R,3aR,4S,7aR)-4-[(tert-Butyldimethylsilyl)oxy]-7a-methyloctahydro-1H-inden-1-yl}hexane-1,2-diol (20)

A mixture of AD-mix α (4.01 g) in tBuOH (10 mL) and H2O (10 mL) was stirred at 0 °C for 25 min; 19 (303.5 mg, 0.255 mmol) was added to the mixture at 0 °C, and it was stirred at the same temperature for 5 h, and then at room temperature for 15 h under air. After the reaction was quenched with water, the mixture was extracted with EtOAc three times, dried over Na2SO4, filtered, and concentrated. The residue was purified via flash column chromatography on silica gel (hexane:EtOAc = 1:1) to obtain 20 (253.9 mg, 79%) as a colorless oil.
20: [α]D27 +44.4 (c 1.55, CHCl3); IR (neat) 3402, 1645, 1469, 1374, 1265, 1160, 1066, 1032, 840, 776, 743 cm−1; 1H NMR (600 MHz, CDCl3) δ −0.01 (s, 3H), 0.00 (s, 3H), 0.88–0.90 (m, 15H), 0.98–1.12 (m, 3H), 1.20–1.43 (m, 7H), 1.47–1.58 (m, 3H), 1.64–1.67 (m, 1H), 1.75–1.83 (m, 2H), 1.92–1.95 (m, 1H), 2.27 (s, 3H), 3.41–3.44 (m, 1H), 3.62–3.67 (m, 2H), 3.98–3.99 (m, 1H); 13C NMR (150 MHz, CDCl3) δ −5.2, −4.8, 13.7, 17.6, 18.0, 18.6, 23.0, 25.8, 27.3, 29.7, 31.5, 34.4, 35.3, 40.7, 42.1, 53.0, 56.5, 66.7, 69.4, 73.0; HRMS (APCI) calcd for C22H44O3SiCl [M+Cl] 419.2754, found 419.2764.

3.3. (2R,5R)-5-{(1R,3aR,4S,7aR)-4-[(tert-Butyldimethylsilyl)oxy]-7a-methyloctahydro-1H-inden- 1-yl}hexane-1,2-diol (21)

A mixture of AD-mix β (4.62 g) in tBuOH (15 mL) and H2O (15 mL) was stirred at 0 °C for 25 min; 19 (418.4 mg, 0.255 mmol) was added to the mixture at 0 °C, and it was stirred at the same temperature for 1 h 35 min under air. After the reaction was quenched with water, the mixture was extracted with EtOAc three times, dried over Na2SO4, filtered, and concentrated. The residue was purified via flash column chromatography on silica gel (hexane:EtOAc = 1:1) to obtain 21 (433.1 mg, 94%) as a colorless oil.
21: [α]D27 +41.9 (c 2.05, CHCl3); IR (neat) 3294, 1223, 1076, 1026, 837, 764 cm−1; 1H NMR (600 MHz, CDCl3) δ −0.01 (s, 3H), 0.00 (s, 3H), 0.88–0.90 (m, 15H), 1.01–1.58 (m, 11H), 1.65–1.67 (m, 1H), 1.75–1.84 (m, 2H), 1.91–1.95 (m, 4H), 3.42–3.45 (m, 1H), 3.64–3.69 (m, 2H), 3.99 (dd, J = 2.4, 5.4 Hz, 1H); 13C NMR (150 MHz, CDCl3) δ −5.2, −4.8, 13.7, 17.7, 18.0, 18.5, 23.0, 25.8, 27.3, 29.6, 31.4, 34.4, 35.1, 40.7, 42.1, 53.0, 56.5, 67.0, 69.4, 72.7; HRMS (ESI) calcd for C22H44O3SiCl [M+Cl] 419.2754, found 419.2773.

3.4. (2S,5R)-2-(Benzyloxy)-5-{(1R,3aR,4S,7aR)-4-[(tert-butyldimethylsilyl)oxy]-7a-methyloctahy dro-1H-inden-1-yl}hexan-1-ol (24)

Benzaldehyde dimethyl acetal (374.4 mg, 369 μL, 2.46 mmol) and pyridinium p-toluenesulfonate (PPTS) (158.6 mg, 0.63 mmol) were added to a solution of 20 (472.0 mg, 1.23 mmol) in toluene (15 mL) at room temperature, and the mixture was stirred at the same temperature for 2 h. After the reaction was quenched with water and saturated aqueous NaHCO3, the mixture was extracted with EtOAc three times, dried over Na2SO4, filtered, and concentrated. The residue was purified via flash column chromatography on silica gel (hexane:EtOAc = 4:1) to obtain the crude acetal 22, which was used for the next reaction without further purification. To a solution of the above crude acetal 22 in CH2Cl2 (15 mL), we added DIBAL-H (4.8 mL, 1.03 M in hexane solution, 4.92 mmol) at 0 °C, and the mixture was stirred at the same temperature for 20 min. After the reaction was quenched with MeOH at 0 °C, H2O and saturated aqueous potassium sodium tartrate were added at room temperature. The mixture was extracted with CH2Cl2 four times, dried over Na2SO4, filtered, and concentrated. The residue was purified via flash column chromatography on silica gel (hexane:EtOAc = 4:1) to obtain 24 (501.1 mg, 86%) as a colorless oil.
24: [α]D27 +49.0 (c 3.62, CHCl3); IR (neat) 3420, 1465, 1453, 1374, 1254, 1085, 1028, 840, 776, 739 cm−1; 1H NMR (600 MHz, CDCl3) δ 0.00 (s, 3H), 0.01 (s, 3H), 0.90–0.91 (m, 15H), 0.99–1.13 (m, 3H), 1.21–1.60 (m, 10H), 1.66–1.68 (m,1H), 1.75–1.84 (m, 2H), 1.94–1.96 (m, 2H), 3.45–3.48 (m, 1H), 3.51–3.54 (m, 1H), 3.69 (dd, J = 3.0, 11.4 Hz, 1H), 4.00–4.00 (m, 1H), 4.53 (d, J = 11.7 Hz, 1H), 4.63 (d, J = 11.7 Hz, 1H), 7.28–7.32 (m, 1H), 7.35–7.36 (m, 4H); 13C NMR (150 MHz, CDCl3) δ −5.2, −4.8, 13.7, 17.6, 18.0, 18.5, 23.0, 25.8, 27.1, 27.3, 31.2, 34.4, 35.3, 40.7, 42.1, 53.0, 56.5, 64.2, 69.4, 71.4, 80.4, 127,7, 127.8, 128.4, 138.5; HRMS (ESI+) calcd for C29H50NaO3Si [M + Na]+ 497.3421, found 497.3433.

3.5. (2R,5R)-2-(Benzyloxy)-5-{(1R,3aR,4S,7aR)-4-[(tert-butyldimethylsilyl)oxy]-7a-methyloctahydro-1H-inden-1-yl}hexan-1-ol (25)

Benzaldehyde dimethyl acetal (39.3 mg, 39 μL, 0.258 mmol) and pyridinium p-toluenesulfonate (PPTS) (4.5 mg, 0.018 mmol) were added to a solution of 21 (49.6 mg, 0.129 mmol) in toluene (0.7 mL) at room temperature, and the mixture was stirred at the same temperature for 2 h. After the reaction was quenched with water and saturated aqueous NaHCO3, the mixture was extracted with EtOAc three times, dried over Na2SO4, filtered, and concentrated. The residue was purified via flash column chromatography on silica gel (hexane:EtOAc = 5:1) to obtain the crude acetal 23, which was used for the next reaction without further purification. To a mixture of the above crude acetal 23 in CH2Cl2 (2 mL), we added DIBAL-H (313 μL, 1.03 M in hexane solution, 0.322 mmol) at −40 °C, and the mixture was stirred at the same temperature for 1 h, and then at room temperature for 1 h. After the reaction was quenched with MeOH, H2O and saturated aqueous potassium sodium tartrate were added at room temperature. The mixture was extracted with CH2Cl2 three times, dried over Na2SO4, filtered, and concentrated. The residue was purified via flash column chromatography on silica gel (hexane:EtOAc = 4:1) to obtain 25 (44.4 mg, 72%) as a colorless oil.
25: [α]D27 +31.1 (c 0.91, CHCl3); IR (neat) 3332, 1462, 1369, 1257, 1076, 1030, 837, 771 cm−1; 1H NMR (600 MHz, CDCl3) δ 0.00 (s, 3H), 0.01 (s, 3H), 0.89–0.90 (m, 15H), 1.00–1.14 (m, 3H), 1,20–1.26 (m, 2H), 1.30–1.45 (m, 6H), 1.51–1.58 (m, 2H), 1.65–1.71 (m, 2H), 1.75–1.84 (m, 2H), 1.93–1.95 (m, 1H), 3.46–3.50 (m, 1H), 3.52–3.55 (m, 1H), 3.68 (dd, J = 3.0, 12.0 Hz, 1H), 3.99–4.00 (m, 1H), 4.54 (d, J = 10.8 Hz, 1H), 4.62 (d, J = 10.8 Hz, 1H), 7.28–7.32 (m, 1H), 7.35–7.36 (m, 4H); 13C NMR (150 MHz, CDCl3) δ −5.2, −4.8, 13.7, 17.7, 18.0, 18.6, 23.0, 25.8, 27.2, 27.3, 31.1, 34.4, 35.3, 40.7, 42.1, 53.0, 56.4, 64.4, 69.4, 71.6, 80.3, 127,7, 127.8, 128.5, 138.5; HRMS (APCI+) calcd for C29H50NaO3Si [M + Na]+ 497.3421, found 497.3450.

3.6. (2S,5R)-2-(Benzyloxy)-5-({1R,3aR,4S,7aR)-4-[(tert-butyldimethylsilyl)oxy]-7a-methyloctahydro-1H-inden-1-yl}hexanoic acid (28)

Dess–Martin periodinane (1.42 g, 3.35 mmol) was added to a mixture of 24 (490.2 mg, 1.03 mmol) and 4Å molecular sieves (321.9 mg) in CH2Cl2 (10 mL) at 0 °C, and the mixture was stirred at the same temperature for 2 h. After the reaction was quenched with water and saturated aqueous NaHCO3, the mixture was extracted with CH2Cl2 three times, dried over Na2SO4, filtered, and concentrated. The residue was purified via flash column chromatography on silica gel (hexane:EtOAc = 10:1) to obtain the crude aldehyde 26, which was used for the next reaction without further purification. To a mixture of the above crude aldehyde 26 and NaH2PO4 (1.216 g, 8.11 mmol) in H2O (9 mL) and t-BuOH (18 mL), NaClO2 (575.9 mg, 6.37 mmol) was added at 0 °C under air and stirred at the same temperature for 30 min. After the reaction was quenched with aqueous saturated NH4Cl and aqueous saturated sodium thiosulfate, the mixture was extracted with EtOAc three times, washed with brine, dried over Na2SO4, filtered, and concentrated. The residue was purified via flash column chromatography on silica gel (hexane:EtOAc = 1:1) to obtain 28 (960.6 mg, 99%) as a colorless oil.
28: [α]D27 +21.7 (c 1.32, CHCl3); IR (neat) 1720, 1469, 1254, 1089, 1032, 840, 780 cm−1; 1H NMR (400 MHz, CDCl3) δ −0.01 (s, 3H), 0.01 (s, 3H), 0.89–0.90 (m, 15H), 0.99–1.94 (m, 17H), 3,94–3.99 (m, 2H), 4.50 (d, J = 11.6 Hz, 1H), 4.70 (d, J = 11.6 Hz, 1H), 7.29–7.39 (m, 5H); 13C NMR (100 MHz, CDCl3) δ −5.2, −4.8, 13.7, 17.6, 18.0, 18.5, 23.0, 25.8, 27.2, 29.1, 31.1, 34.4, 35.0, 40.7, 42.1, 53.0, 56.4, 69.4, 72.5, 78.3, 128,1, 128.1, 128.5, 137.0, 176.7; HRMS (ESI) calcd for C29H47O4Si [M-H] 487.3249, found 487.3278.

3.7. (2R,5R)-2-(Benzyloxy)-5-({1R,3aR,4S,7aR)-4-[(tert-butyldimethylsilyl)oxy]-7a-methyloctahydro-1H-inden-1-yl}hexanoic acid (29)

Dess–Martin periodinane (2.76 g, 6.51 mmol) was added to a mixture of 25 (1.03 g, 2.17 mmol) and 4Å molecular sieves (600.0 mg) in CH2Cl2 (10 mL) at 0 °C, and the mixture was stirred at the same temperature for 2 h. After the reaction was quenched with water and saturated aqueous NaHCO3, the mixture was extracted with CH2Cl2 three times, dried over Na2SO4, filtered, and concentrated. The crude residue 27 was used for the next reaction without further purification. To a mixture of the above crude aldehyde 27 in H2O (3 mL) and t-BuOH (6 mL), NaH2PO4 (134.8 mg, 0.898 mmol) and NaClO2 (24.6 mg, 0.272 mmol) were added at 0 °C under air and stirred at the same temperature for 30 min. After the reaction was quenched with aqueous saturated NH4Cl and aqueous saturated sodium thiosulfate, the mixture was extracted with EtOAc three times, washed with brine, dried over Na2SO4, filtered, and concentrated. The residue was purified via flash column chromatography on silica gel (hexane:EtOAc = 1:1) to obtain 29 (125.3 mg, quantitative yield) as a colorless oil.
29: [α]D27 +47.1 (c 1.88, CHCl3); IR (neat) 1720, 1469, 1250, 1085, 1028, 840, 776 cm−1; 1H NMR (400 MHz, CDCl3) δ 0.00 (s, 3H), 0.01 (s, 3H), 0.88–0.89 (m, 15H), 0.99–1.95 (m, 17H), 3,97–4.00 (m, 2H), 4.49 (d, J = 11.9 Hz, 1H), 4.71 (d, J = 11.9 Hz, 1H), 7.29–7.37 (m, 5H); 13C NMR (100 MHz, CDCl3) δ −5.2, −4.8, 13.7, 17.6, 18.0, 18.4, 23.0, 25.8, 27.2, 28.9, 30.6, 34.4, 34.7, 40.7, 42.1, 53.0, 56.3, 69.4, 72.6, 77.8, 128,1, 128.2, 128.5, 136.9, 176.2; HRMS (ESI) calcd for C29H47O4Si [M-H] 487.3249, found 487.3269.

3.8. Methyl (2S,5R)-2-(Benzyloxy)-5-{(1R,3aR,4S,7aR)-4-[(tert-butyldimethylsilyl)oxy]-7a-methyloctahydro-1H-inden-1-yl}hexanoate (30)

Trimethylsilyl diazomethane (1.1 mL, 2.0 M in diethyl ether, 2.16 mmol) was added to a solution of 28 (490.2 mg, 1.03 mmol) in MeOH (2 mL) and CH2Cl2 (6 mL) at 0 °C, and the mixture was stirred at the same temperature for 17 min. After the reaction was quenched with acetic acid and saturated aqueous NaHCO3, the mixture was extracted with CH2Cl2 three times, dried over Na2SO4, filtered, and concentrated. The residue was purified via flash column chromatography on silica gel (hexane:EtOAc = 4:1) to obtain 30 (387 mg, 100%) as a colorless oil.
30: [α]D27 +17.0 (c 2.70, CHCl3); IR (neat) 1750, 1465, 1254, 1028, 840, 772 cm−1; 1H NMR (600 MHz, CDCl3) δ 0.01 (s, 3H), 0.01 (s, 3H), 0.88–0.89 (m, 15H), 1.01–1.10 (m, 3H), 1.19–1.26 (m, 2H), 1.30–1.42 (m, 2H), 1.50–1.67 (m, 4H), 1.73–1.85 (m, 3H), 1.91–1.94 (m, 1H), 3.75 (s, 3H), 3.89 (dd, J = 5.4, 7.8 Hz, 1H), 3.99–3.99 (m, 1H), 4.41 (d, J = 11.4 Hz, 1H), 4.68 (d, J = 11.4 Hz, 1H), 7.27–7.31 (m, 1H), 7.33–7.36 (m, 4H); 13C NMR (150 MHz, CDCl3) δ −5.2, −4.8, 13.7, 17.6, 18.0, 18.5, 23.0, 25.8, 27.1, 29.6, 31.2, 34.4, 35.0, 40.7, 42.1, 51.8, 53.0, 56.4, 69.4, 72.2, 78.9, 127.8, 127.9, 128.3, 137.6, 173.4; HRMS (ESI+) calcd for C30H49O4SiNa [M + Na]+ 525.3371, found 525.3389.

3.9. Methyl (2R,5R)-2-(Benzyloxy)-5-{(1R,3aR,4S,7aR)-4-[(tert-butyldimethylsilyl)oxy]-7a-methyloctahydro-1H-inden-1-yl}hexanoate (31)

Trimethylsilyl diazomethane (362 μL, 2.0 M in diethyl ether, 0.73 mmol) was added to a solution of 29 (125.3 mg, 1.03 mmol) in MeOH (1.5 mL) and CH2Cl2 (4.5 mL) at 0 °C, and the mixture was stirred at the same temperature for 20 min. After the reaction was quenched with acetic acid and saturated aqueous NaHCO3, the mixture was extracted with CH2Cl2 three times, dried over Na2SO4, filtered, and concentrated. The residue was purified via flash column chromatography on silica gel (hexane:EtOAc = 4:1) to obtain 31 (125.1 mg, 97%) as a colorless oil.
31: [α]D27 +57.5 (c 1.71, CHCl3); IR (neat) 1750, 1471, 1253, 1029, 838, 774 cm−1; 1H NMR (400 MHz, CDCl3) δ 0.00 (s, 3H), 0.01 (s, 3H), 0.86–0.89 (m, 15H), 1.90–1.95 (m, 1H), 3.75 (s, 3H), 3.90 (dd, J = 4.6, 8.2 Hz, 1H), 3.98–3.99 (m, 1H), 4.40 (d, J = 12.0 Hz, 1H), 4.69 (d, J = 12.0 Hz, 1H), 7.27–7.36 (m, 5H); 13C NMR (100 MHz, CDCl3) δ −5.2, −4.8, 13.7, 17.6, 18.0, 18.4, 23.0, 25.8, 27.1, 29.5, 31.0, 34.4, 34.7, 40.7, 42.1, 51.8, 53.0, 56.4, 69.4, 72.3, 78.3, 127.8, 128.0, 128.3, 137.6, 173.6; HRMS (ESI+) calcd for C30H50O4SiNa [M + Na]+ 525.3371, found 525.3399.

3.10. Methyl (2S,5R)-5-{(1R,3aR,4S,7aR)-4-[(tert-butyldimethylsilyl)oxy]-7a-methyloctahydro-1H-inden-1-yl}-2-hydroxyhexanoate (9)

To a solution of 30 (109.0 mg, 0.22 mmol) in MeOH (10 mL) and EtOAc (2 mL), we added 10% Pd/C catalyst (22.6 mg). The mixture was stirred for 45 h at room temperature, and then for 68 h at 50 °C, under a hydrogen atmosphere. The reaction mixture was diluted with AcOEt, filtered through a Celite pad, and concentrated under reduced pressure. Purification via flash column chromatography on silica gel (hexane:EtOAc = 3:1) yielded 9 (78.0 mg, 87%) as a colorless oil.
9: [α]D27 +44.8 (c 1.67, CHCl3); IR (neat) 3488, 1742, 1461, 1370, 1257, 1081, 1020, 840, 776, 686 cm−1; 1H NMR (600 MHz, CDCl3) δ −0.01 (s, 3H), 0.00 (s, 3H), 0.88–0.90 (m, 15H), 0.98–1.57 (m, 13H), 1.64–1.70 (m, 1H), 1.75–1.88 (m, 3H), 1.92–1.95 (m, 1H), 2.14 (brs, 1H), 3.78 (s, 3H), 3.99–4.00 (m, 1H), 4.15 (dd, J = 3.9, 6.9 Hz, 1H); 13C NMR (150 MHz, CDCl3) δ −5.2, −4.8, 13.7, 17.6, 18.0, 18.6, 23.0, 25.8, 27.2, 30.6, 31.1, 34.4, 35.0, 40.7, 42.1, 52.4, 53.0, 56.4, 69.4, 71.0, 175.9; HRMS (ESI+) calcd for C23H44O4SiNa [M + Na]+ 435.2901, found 435.2897.

3.11. Methyl (2R,5R)-5-{(1R,3aR,4S,7aR)-4-[(tert-butyldimethylsilyl)oxy]-7a-methyloctahydro-1H-inden-1-yl}-2-hydroxyhexanoate (10)

To a solution of 31 (219.1 mg, 0.44 mmol) in isopropanol (10 mL), we added 10% Pd/C catalyst (62.9 mg). The mixture was stirred for 45 h at room temperature, and then for 68 h at 50 °C, under a hydrogen atmosphere. The reaction mixture was diluted with EtOAc, filtered through a Celite pad, and concentrated under reduced pressure. Purification via flash column chromatography on silica gel (hexane:EtOAc = 3:1) yielded 10 (136.5 mg, 76%) as a colorless oil.
10: [α]D27 +33.2 (c 0.61, CHCl3); IR (neat) 3506, 1739, 1468, 1253, 1085, 1025, 838, 778 cm−1; 1H NMR (600 MHz, CDCl3) δ −0.01 (s, 3H), 0.00 (s, 3H), 0.88–0.90 (m, 15H), 1.00–1.12 (m, 2H), 1.20–1.27 (m, 2H), 1.30–1.45 (m, 3H), 1.49–1.58 (m, 2H), 1.65–1.71 (m, 2H), 1.75–1.83 (m, 2H), 1.92–1.95 (m, 1H), 3.78 (s, 3H), 3.99–3.99 (m, 1H), 4.17–4.18 (dd, J = 5.6, 6.0 Hz, 1H); 13C NMR (150 MHz, CDCl3) δ −5.2, −4.8, 13.7, 17.7, 18.0, 18.5, 23.0, 25.8, 27.2, 30.5, 30.9, 34.4, 34.8, 40.7, 42.1, 52.4, 53.0, 56.4, 69.4, 70.7, 175.9; HRMS (ESI+) calcd for C23H44O4Si [M + Na]+ 435.2901, found 435.2887.

3.12. Methyl (2S,5R)-5-{(1R,3aR,4S,7aR)-4-[(tert-butyldimethylsilyl)oxy]-7a-methyloctahydro-1H-inden-1-yl}-2-fluorohexanoate (11)

DAST (48.0 mg, 43 μL, 0.30 mmol) was added to a solution of 10 (20.5 mg, 0.05 mmol) in CH2Cl2 (5 mL) at 0 °C, and the mixture was stirred at the same temperature for 90 min. After the reaction was quenched with MeOH, H2O, and saturated aqueous NaHCO3 at 0 °C, the mixture was extracted with CH2Cl2 three times, dried over Na2SO4, filtered, and concentrated. The residue was purified via flash column chromatography on silica gel (hexane:EtOAc = 8:1) to obtain 11 (15.5 mg, 75%) as a colorless oil.
11: [α]D27 +34.4 (c 1.03, CHCl3); IR (neat) 1766, 1746, 1469, 1442, 1378, 1254, 1212, 1089, 1024, 836, 776 cm−1; 1H NMR (400 MHz, CDCl3) δ −0.02 (s, 3H), 0.00 (s, 3H), 0.88–0.90 (m, 15H), 1.00–2.03 (m, 19H), 3.78 (s, 3H), 3.98–3.99 (m, 1H), 4.85 (ddd, J = 4.1, 7.3, 49.0 Hz, 1H); 13C NMR (100 MHz, CDCl3) δ −5.2, −4.8, 13.7, 17.6, 18.0, 18.4, 23.0, 25.8, 27.1, 29.1 (d, J = 20.0 Hz), 30.3 (d, J = 2.9 Hz), 34.4, 34.9, 40.7, 42.1, 52.2, 53.0, 56.3, 69.4, 89.6 (d, J = 183.1 Hz), 170.5 (d, J = 23.8 Hz); HRMS (ESI+) calcd for C23H43O3FSiNa [M + Na]+ 437.2858, found 437.2869.

3.13. Methyl (2R,5R)-5-{(1R,3aR,4S,7aR)-4-[(tert-butyldimethylsilyl)oxy]-7a-methyloctahydro-1H-inden-1-yl}-2-fluorohexanoate (12)

DAST (195.0 mg, 173 μL, 1.21 mmol) was added to a solution of 9 (99.7 mg, 0.24 mmol) in CH2Cl2 (3 mL) at 0 °C, and the mixture was stirred at the same temperature for 2 h 15 min. After the reaction was quenched with MeOH, H2O, and saturated aqueous NaHCO3 at 0 °C, the mixture was extracted with CH2Cl2 three times, dried over Na2SO4, filtered, and concentrated. The residue was purified via flash column chromatography on silica gel (hexane:EtOAc = 8:1) to obtain 12 (31.0 mg, 31%) as a colorless oil.
12: [α]D27 +44.7 (c 2.39, CHCl3); IR (neat) 1769, 1746, 1465, 1445, 1370, 1254, 1208, 1081, 1024, 836, 769 cm−1; 1H NMR (600 MHz, CDCl3) δ −0.01 (s, 3H), 0.00 (s, 3 H), 0.88–0.90 (m, 15H), 0.99–1.12 (m, 2H), 1.15–1.26 (m, 3H), 1.29–1.37 (m, 3H), 1.39–1.48 (m, 1H), 1.51–1.59 (m, 2H), 1.64–1.68 (m, 1H), 1.73–1.84 (m, 3H), 1.73–1.84 (m, 3H), 1.86–1.95 (m, 2H), 3.79 (s, 3H), 3.99–3.99 (m, 1H), 4.89 (ddd, J = 4.2, 8.4, 49.8 Hz, 1H); 13C NMR (150 MHz, CDCl3) δ −5.2, −4.8, 13.7, 17.6, 18.0, 18.4, 23.0, 25.8, 27.1, 29.1 (d, J = 20.1 Hz), 30.1, 34.4, 34.6, 40.7, 42.1, 52.2, 53.0, 56.3, 69.4, 89.3 (d, J = 182.4 Hz), 170.6 (d, J = 24.5 Hz); HRMS (ESI+) calcd for C23H43O3FSiNa [M + Na]+ 437.2858, found 437.2874.

3.14. (1R,3aR,4S,7aR)-1-[(2R,5S)-5-Fluoro-6-hydroxy-6-methylheptan-2-yl]-7a-methyloctahydro-1H-inden-4-ol (15)

To a solution of 11 (82.2 mg, 0.20 mmol) in THF (3 mL), we added MeMgCl (264 μL, 3.0 M THF solution, 0.79 mmol) at 0 °C, and the mixture was stirred at 0 °C for 10 min. MeMgCl (264 μL, 3.0 M THF solution, 0.79 mmol) was added to the mixture at 0 °C and stirred at the same temperature for 5 min. After the reaction was quenched with H2O, the mixture was extracted with EtOAc three times, washed with saturated aqueous NH4Cl, dried over Na2SO4, filtered, and concentrated. The crude residue was used for the next reaction without further purification. To the above crude residue in MeOH (10 mL) and CH2Cl2 (5 mL), we added p-toluenesulfonic acid monohydrate (399.2 mg, 2.10 mmol), and the mixture was stirred at room temperature for 24 h under air. After the reaction was quenched with H2O and saturated aqueous NaHCO3 at room temperature, the mixture was extracted with CH2Cl2 three times, dried over Na2SO4, filtered, and concentrated. The residue was purified via flash column chromatography on silica gel (hexane:EtOAc = 1:1) to obtain 15 (36.3 mg, 61%, in 2 steps) as a white powder.
15: [α]D27 +17.5 (c 1.30, CHCl3); IR (neat) 3412, 1465, 1378, 1250, 1168, 1066, 990, 731 cm−1; 1H NMR (600 MHz, CDCl3) δ 0.92 (d, J = 6.0 Hz, 3H), 0.94 (s, 3H), 1.03–1.17 (m, 3H), 1.20–1.21 (m, 6H), 1.29–1.36 (m, 2H), 1.42–1.90 (m, 13H), 1.98–2.01 (m, 1H), 4.07–4.08 (m, 1H), 4.14 (ddd, J = 1.8, 10.2, 48.0 Hz, 1H); 13C NMR (150 MHz, CDCl3) δ 13.5, 17.4, 18.5, 22.5, 24.3 (d, J = 4.4 Hz), 25.3 (d, J = 4.4 Hz), 26.4 (d, J = 21.6 Hz), 27.1, 32.1, 33.6, 35.3, 40.4, 41.9, 52.6, 56.5, 69.4, 72.0 (d, J = 20.1 Hz), 100.7 (d, J = 172.4 Hz); HRMS (ESI) calcd for C18H32O2FSi [M-H] 299.2392, found 299.2388.

3.15. (1R,3aR,4S,7aR)-1-[(2R,5R)-5-Fluoro-6-hydroxy-6-methylheptan-2-yl]-7a-methyloctahydro-1H-inden-4-ol (16)

To a solution of 12 (31.0 mg, 0.075 mmol) in THF (1 mL), we added MeMgCl (150 μL, 3.0 M THF solution, 0.45 mmol) at 0 °C, and the mixture was stirred at 0 °C for 10 min. MeMgCl (264 μL, 3.0 M THF solution, 0.79 mmol) was added to the mixture at 0 °C and further stirred for 10 min. After the reaction was quenched with H2O, the mixture was extracted with EtOAc three times, washed with saturated aqueous NH4Cl, dried over Na2SO4, filtered, and concentrated. The crude residue was used for the next reaction without further purification. To the above crude residue in MeOH (10 mL) and CH2Cl2 (5 mL), we added p-toluenesulfonic acid monohydrate (380.7 mg, 2.0 mmol), and the mixture was stirred at room temperature for 24 h under air. After the reaction was quenched with H2O and saturated aqueous NaHCO3 at room temperature, the mixture was extracted with CH2Cl2 three times, dried over Na2SO4, filtered, and concentrated. The residue was purified via flash column chromatography on silica gel (hexane:EtOAc = 2:1) to obtain 16 (18.8 mg, 83%, in 2 steps) as a white powder.
16: [α]D27 +43.4 (c 1.45, CHCl3); IR (neat) 3402, 1469, 1374, 1168, 1073, 994 cm−1; 1H NMR (600 MHz, CDCl3) δ 0.91 (d, J = 6.0 Hz, 3H), 0.94 (s, 3H), 1.01–1.74 (m, 21H), 1.78–1.91 (m, 3H), 1.98–2.00 (m, 1H), 4.07–4.07 (m, 1H), 4.18 (ddd, J = 2.1, 10.5, 48.6 Hz, 1H); 13C NMR (150 MHz, CDCl3) δ 13.5, 17.4, 18.3, 22.5, 24.2 (d, J = 4.4 Hz), 25.4 (d, J = 4.4 Hz), 26.0 (d, J = 21.6 Hz), 27.1, 31.7, 33.6, 34.9, 40.4, 41.9, 52.6, 56.4, 69.4, 72.0 (d, J = 20.1 Hz), 99.9 (d, J = 170.9 Hz); HRMS (APCI) calcd for C18H33O2FSi [M-H] 299.2392, found 299.2420.

3.16. (24S)-24-Fluoro-25-hydroxyvitamin D3 (3)

4-Methylmorpholine N-oxide (32.6 mg, 0.28 mmol) was added to a solution of 15 (22.2 mg, 0.074 mmol) in CH2Cl2 (2 mL), and the mixture was cooled to 0 °C. Tetrapropylammonium perruthenate (TPAP, 15.2 mg, 0.043 mmol) was added to the mixture, and the mixture was stirred at room temperature for 1 h. The reaction was diluted with Et2O, and the mixture was directly purified via flash column chromatography on silica gel (Et2O only) to obtain the crude ketone, which was used for the next reaction without further purification.
TMSCl (80.4 mg, 94 μL, 0.74 mmol) was added to the 0 °C cooled solution of crude ketone and imidazole (66.5 mg, 0.98 mmol) in CH2Cl2 (2 mL), and the mixture was stirred at the same temperature for 15 min. After the reaction was quenched with H2O and saturated aqueous NH4Cl at 0 °C, the mixture was extracted with CH2Cl2 three times, dried over Na2SO4, filtered, and concentrated. The residue was purified via flash column chromatography on silica gel (hexane:EtOAc = 10:1) to obtain crude 32.
nBuLi (191 μL, 1.55 M hexane solution, 0.30 mmol) was added to a solution of A-ring phosphine oxide [16] (132.6 mg, 0.29 mmol) in THF (1.5 mL) at −78 °C. After stirring for 15 min, the solution of crude 32 in THF (2 mL) was added, and the mixture was stirred at −78 °C for 15 min and 0 °C for 5 min. After the reaction was quenched with H2O and saturated aqueous NH4Cl at the same temperature, the mixture was extracted with EtOAc three times, washed with brine, dried over Na2SO4, filtered, and concentrated. The residue was purified via flash column chromatography on silica gel (hexane:EtOAc = 10:1) to obtain the crude coupling product (34.9 mg), which was used for the next reaction without further purification. Tetrabutylammonium fluoride (370 μL, 1 M THF solution, 0.37 mmol) was added to a solution of the crude coupling product (34.9 mg) in THF (2 mL), and the mixture was stirred at room temperature for 16 h. After the reaction was quenched with H2O at room temperature, the mixture was extracted with EtOAc three times, dried over Na2SO4, filtered, and concentrated. The residue was purified via flash column chromatography on silica gel (hexane:EtOAc = 1:1) to obtain 3 (15.6 mg, 50%, in 4 steps) as a white powder.
3: [α]D27 +85.1 (c 1.20, EtOH); IR (neat) 3369, 1455, 1375, 1168, 1054, 893 cm−1; 1H NMR (400 MHz, CD3OD) δ 0.61 (s, 3H), 1.02 (d, J = 6.4 Hz, 3H), 1.11–1.19 (m, 1H), 1.21 (s, 3H), 1.23 (d, J = 1.8 Hz, 3H), 1.35–2.26 (m, 21H), 2.45 (dt, J = 4.8, 13.8 Hz, 1H), 2.58 (dd, J = 3.7, 12.8 Hz, 1H), 2.89–2.92 (m, 1H), 3.77–3.84 (m, 1H), 4.03–4.18 (m, 1H), 4.79 (d, J = 1.8 Hz, 1H), 5.08 (brs, 1H), 6.08 (d, J = 11.4 Hz, 1H), 6.26 (d, J = 11.4 Hz, 1H); 13C NMR (100 MHz, CD3OD) δ 12.7, 19.7, 23.6, 24.9, 25.0 (d, J = 2.9 Hz), 26.0 (d, J = 2.8 Hz), 27.5, 27.8, 29.0, 30.2, 33,9, 34.0, 36.9, 37.8, 42.2, 47.3 (d, J = 13.4 Hz), 57.8, 58.1, 70.9, 72.7 (d, J = 21.0 Hz), 101.6 (d, J = 173.5 Hz), 113.0, 119.3, 122.9, 137.6, 142.8, 147.3; HRMS (ESI+) calcd for C27H43O2FNa [M + Na]+ 441.3139, found 441.3106.

3.17. (24R)-24-Fluoro-25-hydroxyvitamin D3 (4)

4-Methylmorpholine N-oxide (26.1 mg, 0.22 mmol) was added to a solution of 16 (18.8 mg, 0.063 mmol) in CH2Cl2 (2 mL), and the mixture was cooled to 0 °C. TPAP (11.2 mg, 0.032 mmol) was added to the mixture, and the mixture was stirred at 0 °C for 10 min and room temperature for 20 min. The reaction was diluted with Et2O, and the mixture was directly purified via flash column chromatography on silica gel (Et2O only) to obtain the crude ketone, which was used for the next reaction without further purification.
TMSCl (68.4 mg, 80 μL, 0.63 mmol) was added to the 0 °C cooled solution of crude ketone and imidazole (43.7 mg, 0.64 mmol) in CH2Cl2 (2 mL), and the mixture was stirred for 7 min at room temperature. After the reaction was quenched with H2O and saturated aqueous NH4Cl, the mixture was extracted with CH2Cl2 three times, dried over Na2SO4, filtered, and concentrated. The residue was purified via flash column chromatography on silica gel (hexane:EtOAc = 10:1) to obtain crude 33.
nBuLi (163 μL, 1.55 M hexane solution, 0.25 mmol) was added to a solution of A-ring phosphine oxide [16] (117.4 mg, 0.26 mmol) in THF (1.5 mL) at −78 °C. After stirring for 15 min, a solution of crude 33 in THF (2 mL) was added, and the mixture was stirred at −78 °C for 15 min and 0 °C for 5 min. After the reaction was quenched with H2O at the same temperature, the mixture was extracted with EtOAc three times, washed with brine, dried over Na2SO4, filtered, and concentrated. The residue was purified via flash column chromatography on silica gel (hexane:EtOAc = 10:1) to obtain the crude coupling product (24.7 mg), and it was used for the next reaction without further purification. Tetrabutylammonium fluoride (315 μL, 1 M THF solution, 0.32 mmol) was added to a solution of the crude coupling product (24.7 mg) in THF (2 mL), and the mixture was stirred at room temperature for 16 h. After the reaction was quenched with H2O at room temperature, the mixture was extracted with EtOAc three times, dried over MgSO4, filtered, and concentrated. The residue was purified via flash column chromatography on silica gel (hexane:EtOAc = 1:1) to obtain 4 (16.0 mg, 61%, in 4 steps) as a white powder.
4: [α]D27 +84.2 (c 1.24, EtOH); IR (neat) 3381, 1455, 1375, 1168, 1054, 881 cm−1; 1H NMR (600 MHz, CD3OD) δ 0.62 (s, 3H), 1.02 (d, J = 6.6 Hz, 3H), 1.22 (d, J = 1.2 Hz, 3H), 1.23 (d, J = 1.2 Hz, 3H), 1.34–1.42 (m, 4H), 1.48–1.77 (m, 10H), 1.94–2.09 (m, 4H), 2.14–2.25 (m, 2H), 2.45 (dt, J = 5.1, 13.8 Hz, 1H), 2.58 (dd, J = 3.9, 12.6 Hz, 1H), 2.89–2.92 (m, 1H), 3.79–3.83 (m, 1H), 4.15 (ddd, J = 1.5, 10.8, 48.6 Hz, 1H), 4.79 (d, J = 1.2 Hz, 1H), 5.08 (brs, 1H), 6.09 (d, J = 11.1 Hz, 1H), 6.27 (d, J = 11.1 Hz, 1H); 13C NMR (150 MHz, CD3OD) δ 12.7, 19.5, 23.5, 24.9, 25.2 (d, J = 2.9 Hz), 25.9 (d, J = 2.9 Hz), 27.2, 27.3, 29.0, 30.2, 33,5, 33.9, 36.9, 37.3, 42.2, 47.3 (d, J = 17.3 Hz), 57.8, 58.1, 70.9, 72.7 (d, J = 20.1 Hz), 100.7 (d, J = 173.7 Hz), 112.9, 119.3, 122.9, 137.7, 142.8, 147.3; HRMS (ESI+) calcd for C27H43O2FNa [M + Na]+ 441.3139, found 441.3133.

3.18. (3S,6R)-6-{(1R,3aR,4S,7aR)-4-[(tert-Butyldimethylsilyl)oxy]-7a-methyloctahydro-1H-inden-1-yl}-2-methylheptane-2,3-diol (36)

MeMgCl (0.53 mL, 3.0 M THF solution, 1.59 mmol) was added to a solution of 30 (133.4 mg, 0.265 mmol) in THF (4 mL) at 0 °C, and the mixture was stirred at 0 °C for 11 min. After the reaction was quenched with H2O, the mixture was extracted with EtOAc three times, washed with saturated aqueous NH4Cl, dried over Na2SO4, filtered, and concentrated. The residue was purified via flash column chromatography on silica gel (hexane:EtOAc = 4:1) to obtain crude 34 (130.0 mg), and it was used for the next reaction without further purification.
To a solution of crude 34 (130.0 mg) in MeOH (4 mL), we added 10% Pd/C catalyst (20.0 mg). The mixture was stirred for 6 days at room temperature under a hydrogen atmosphere. The reaction mixture was diluted with EtOAc, filtered through a Celite pad, and concentrated under reduced pressure. Purification via flash column chromatography on silica gel (hexane:EtOAc = 2:1) yielded 36 (87.2 mg, 82%) as a colorless oil [25].
36: [α]D27 +31.9 (c 6.71, CHCl3); IR (neat) 3398, 1469, 1374, 1250, 1164, 1085, 1069, 1024, 832, 776, 739 cm−1; 1H NMR (600 MHz, CDCl3) δ −0.02 (s, 3H), −0.01 (s, 3H), 0.87–0.90 (m, 15H), 0.97–1.41 (m, 16H), 1.50–1.57 (m, 2H), 1.64–1.81 (m, 4H), 1.92–1.95 (m, 1H), 2.40 (s, 2H), 3.25 (dd, J = 2.1, 9.9 Hz, 1H), 3.98–3.98 (m, 1H); 13C NMR (150 MHz, CDCl3) δ −5.2, −4.8, 13.7, 17.6, 18.0, 18.7, 23.0, 23.1, 25.8, 26.5, 27.3, 28.3, 33.1, 34.4, 35.4, 40.7, 42.1, 53.0, 56.6, 69.4, 73.3, 79.6; HRMS (ESI+) calcd for C24H48O3SiNa [M + Na]+ 435.3265, found 435.3271.

3.19. (3R,6R)-6-{(1R,3aR,4S,7aR)-4-[(tert-Butyldimethylsilyl)oxy]-7a-methyloctahydro-1H-inden-1-yl}-2-methylheptane-2,3-diol (37)

MeMgCl (415 μL, 3.0 M THF solution, 1.25 mmol) was added to a solution of 31 (125.1 mg, 0.249 mmol) in THF (3 mL) at 0 °C, and the mixture was stirred at 0 °C for 7 min. After the reaction was quenched with H2O, the mixture was extracted with EtOAc three times, washed with saturated aqueous NH4Cl, dried over Na2SO4, filtered, and concentrated. The residue was purified via flash column chromatography on silica gel (hexane:EtOAc = 4:1) to obtain crude 35, which was used for the next reaction without further purification.
To a solution of crude 35 in MeOH (4 mL), we added 10% Pd/C catalyst (20.0 mg). The mixture was stirred for 68 h at room temperature under a hydrogen atmosphere. The reaction mixture was diluted with EtOAc, filtered through a Celite pad, and concentrated under reduced pressure. Purification via flash column chromatography on silica gel (hexane:EtOAc = 2:1) yielded 37 (24.1 mg, 23%, 35 recovery 54%) as a colorless oil [25].
37: [α]D27 +62.5 (c 1.85, CHCl3); IR (neat) 3409, 1469, 1378, 1254, 1164, 1073, 1024, 840, 772, 739 cm−1; 1H NMR (600 MHz, CDCl3) δ −0.01 (s, 3H), 0.00 (s, 3H), 0.88–0.91 (m, 15H), 0.98–1.48 (m, 18H), 1.51–1.58 (m, 1H), 1.65–1.67 (m, 1H), 1.76–1.86 (m, 2H), 1.93–1.96 (m, 4H), 3.32–3.34 (m, 1H), 4.00–4.00 (m, 1H); 13C NMR (150 MHz, CDCl3) δ −5.2, −4.8, 13.7, 17.7, 18.0, 18.5, 23.0, 23.2, 25.8, 26.6, 27.4, 28.1, 32.7, 34.4, 35.1, 40.7, 42.1, 53.0, 56.7, 69.5, 73.2, 78.8; HRMS (ESI+) calcd for C24H48O3SiNa [M + Na]+ 435.3265, found 435.3282.

3.20. (3S,6R)-6-[(1R,3aR,4S,7aR)-4-Hydroxy-7a-methyloctahydro-1H-inden-1-yl]-2-methylheptane-2,3-diol (13)

p-Toluenesulfonic acid monohydrate (199.1 mg, 1.01 mmol) was added to a solution of 36 (46.5 mg, 0.11 mmol) in MeOH (4 mL) and CH2Cl2 (4 mL), and the mixture was stirred at room temperature for 45 h under air. After the reaction was quenched with H2O and saturated aqueous NaHCO3 at room temperature, the mixture was extracted with CH2Cl2 three times, washed with brine, dried over Na2SO4, filtered, and concentrated. The residue was purified via flash column chromatography on silica gel (EtOAc only) to obtain 13 (30.4 mg, 90%) as a colorless oil. The spectral data of the product matched those reported in the literature [25].

3.21. (3R,6R)-6-[(1R,3aR,4S,7aR)-4-Hydroxy-7a-methyloctahydro-1H-inden-1-yl]-2-methylheptane-2,3-diol (14)

p-Toluenesulfonic acid monohydrate (192.9 mg, 1.01 mmol) was added to a solution of 37 (49.2 mg, 0.12 mmol) in MeOH (5 mL) and CH2Cl2 (5 mL), and the mixture was stirred at room temperature for 53 h under air. After the reaction was quenched with H2O and saturated aqueous NaHCO3 at room temperature, the mixture was extracted with CH2Cl2 three times, washed with brine, dried over Na2SO4, filtered, and concentrated. The residue was purified via flash column chromatography on silica gel (EtOAc only) to obtain 14 (30.4 mg, 85%) as a colorless oil. The spectral data of the product matched those reported in the literature [25].

3.22. (1R,3aR,4S,7aR)-7a-Methyl-1-{(R)-4-[(S)-2,2,5,5-tetramethyl-1,3-dioxolan-4-yl]butan-2-yl}octahydro-1H-inden-4-ol (38)

PPTS (15.8 mg, 0.06 mmol) was added to the solution of 13 (30.4 mg, 0.10 mmol) in acetone (1 mL) and 2,2-dimethoxypropane (1 mL), and the mixture was stirred at room temperature for 19 h under air. After the reaction was quenched with H2O and saturated aqueous NaHCO3 at room temperature, the mixture was extracted with EtOAc three times, dried over Na2SO4, filtered, and concentrated. The residue was purified via flash column chromatography on silica gel (hexane:EtOAc = 1:1) to obtain 38 (32.3 mg, 94%) as a colorless oil. The spectral data of the product matched those reported in the literature [25].

3.23. (1R,3aR,4S,7aR)-7a-Methyl-1-{(R)-4-[(R)-2,2,5,5-tetramethyl-1,3-dioxolan-4-yl]butan-2-yl}octahydro-1H-inden-4-ol (39)

PPTS (19.4 mg, 0.08 mmol) was added to a solution of 14 (30.4 mg, 0.10 mmol) in acetone (1 mL) and 2,2-dimethoxypropane (1 mL), and the mixture was stirred at room temperature for 4 h under air. After the reaction was quenched with H2O and saturated aqueous NaHCO3 at room temperature, the mixture was extracted with EtOAc three times, dried over Na2SO4, filtered, and concentrated. The residue was purified via flash column chromatography on silica gel (hexane:EtOAc = 1:1) to obtain 39 (28.6 mg, 83%) as a colorless oil. The spectral data of the product matched those reported in the literature [25].

3.24. (1R,3aR,7aR)-7a-Methyl-1-{(R)-4-[(S)-2,2,5,5-tetramethyl-1,3-dioxolan-4-yl]butan-2-yl}octahydro-4H-inden-4-one (40)

4-Methylmorpholine N-oxide (31.2 mg, 0.27 mmol) was added to a solution of 38 (32.3 mg, 0.095 mmol) in CH2Cl2 (2 mL), and the mixture was cooled to 0 °C. TPAP (18.3 mg, 0.052 mmol) was added to the mixture, and the mixture was stirred at 0 °C for 1 h. The reaction was diluted with an excess amount of Et2O. The mixture was directly purified via flash column chromatography on silica gel (Et2O only), followed by purification via flash column chromatography on silica gel (hexane:EtOAc = 4:1), to obtain 40 (25.2 mg, 79%) as a colorless oil. The spectral data of the product matched those reported in the literature [25].

3.25. (1R,3aR,7aR)-7a-Methyl-1-{(R)-4-[(R)-2,2,5,5-tetramethyl-1,3-dioxolan-4-yl]butan-2-yl}octahydro-4H-inden-4-one (41)

4-Methylmorpholine N-oxide (28.8 mg, 0.25 mmol) was added to a solution of 39 (28.6 mg, 0.085 mmol) in CH2Cl2 (1 mL), and the mixture was cooled to 0 °C. TPAP (13.9 mg, 0.04 mmol) was added to the mixture, and the mixture was stirred at 0 °C for 40 min. The reaction was diluted with Et2O, and the mixture was directly purified via flash column chromatography on silica gel (Et2O only), followed by purification via flash column chromatography on silica gel (hexane:EtOAc = 4:1), to obtain 41 (28.2 mg, 99%) as a colorless oil. The spectral data of the product matched those reported in the literature [25].

3.26. (24S)-24,25-Dihydroxyvitamin D3 (5)

nBuLi (145 μL, 1.55 M hexane solution, 0.225 mmol) was added to a solution of A-ring phosphine oxide [16] (101.4 mg, 0.22 mmol) in THF (1 mL) at −78 °C. After stirring for 15 min, a solution of 40 (25.2 mg, 0.075 mmol) in THF (1.5 mL) was added, and the mixture was stirred at −78 °C for 2 h. After the reaction was quenched with H2O at the same temperature, the mixture was extracted with EtOAc three times, washed with brine, dried over Na2SO4, filtered, and concentrated. The residue was purified via flash column chromatography on silica gel (hexane:EtOAc = 10:1) to obtain the crude coupling product (39.4 mg), which was used for the next reaction without further purification. Tetrabutylammonium fluoride (414 μL, 1 M THF solution, 0.414 mmol) was added to the solution of the crude coupling product (39.4 mg) in THF (3 mL), and the mixture was stirred at room temperature for 15 h. After the reaction was quenched with H2O and aqueous saturated NH4Cl at room temperature, the mixture was extracted with EtOAc three times, dried over Na2SO4, filtered, and concentrated. The residue was purified via flash column chromatography on silica gel (hexane:EtOAc = 1:2) to obtain the crude product, which was used for the next reaction without further purification.
The above crude residue was dissolved in MeOH (10 mL), and AG 50W-X4 resin (177.2 mg) was added. The mixture was then stirred for 26 h, and the solids were filtered off, washed with MeOH, and the solution was concentrated in vacuo. The residue was purified via flash column chromatography (hexane:EtOAc = 1:2) to obtain 5 (20.7 mg, 66%) as a white powder. The spectral data of the product matched those reported in the literature [25].

3.27. (24R)-24,25-Dihydroxyvitamin D3 (6)

nBuLi (163 μL, 1.55 M hexane solution, 0.252 mmol) was added to a solution of A-ring phosphine oxide [16] (110.7 mg, 0.24 mmol) in THF (1 mL) at −78 °C. After stirring for 20 min, a solution of 41 (28.2 mg, 0.084 mmol) in THF (1 mL) was added, and the mixture was stirred at −78 °C for 2 h 30 min. After the reaction was quenched with H2O at the same temperature, the mixture was extracted with EtOAc three times, washed with brine, dried over Na2SO4, filtered, and concentrated. The residue was purified via flash column chromatography on silica gel (hexane:EtOAc = 10:1) to obtain the crude coupling product (43.3 mg), which was used for the next reaction without further purification. Tetrabutylammonium fluoride (420 μL, 1 M THF solution, 0.42 mmol) was added to the solution of the crude coupling product (43.3 mg) in THF (3 mL), and the mixture was stirred at room temperature for 17 h. After the reaction was quenched with H2O and aqueous saturated NH4Cl at room temperature, the mixture was extracted with EtOAc three times, dried over Na2SO4, filtered, and concentrated. The residue was purified via flash column chromatography on silica gel (hexane:EtOAc = 1:1) to obtain the crude product, which was used for the next reaction without further purification.
The above crude residue was dissolved in MeOH (5 mL), and AG 50W-X4 resin (167.5 mg) was added. The mixture was stirred for 24 h, and the solids were filtered off, washed with MeOH, and the solution was concentrated in vacuo. The residue was purified via flash column chromatography (hexane:EtOAc = 1:2) to obtain 6 (26.6 mg, 76%, in 3 steps) as a white powder. The spectral data of the product matched those reported in the literature [25].

3.28. Measurement of the hVDR Binding Affinity of 3, 4, and 24,24-Difluoro-25(OH)D3

The binding affinity of each analogue for hVDR was evaluated using an in vitro system based on the split-luciferase technique described in our previous study [29]. Briefly, 50 μL of cell lysate prepared from recombinant Escherichia coli expressing split-luciferase vitamin D biosensor protein [29] was added to each well of a 96-well plate, and left for 10 min at room temperature. Then, 50 μL of the luciferin solution containing 20 mM MgSO4, 2 mM D-luciferin, and 4 mM adenosine triphosphate in 25 mM Tris-HCl (pH 7.4) was injected into each well and incubated for 15 min at room temperature. The luminescence (photon counts) was measured using a luminometer. The relative hVDR binding affinity of each analogue was evaluated based on the concentration at which the luminescence showed 50% of the maximum value.

3.29. Metabolism of 25(OH)D3 and Its Analogues by Recombinant hCYP24A1

The metabolism of 25(OH)D3 and its analogues 3 and 4 by CYP24A1 was analyzed using the membrane fraction prepared from the recombinant Escherichia coli cells expressing human CYP24A1, as described in our previous study [30]. Briefly, the reaction mixture containing 0.02 µM human CYP24A1, 2.0 µM adrenodoxin (ADX), 0.2 µM NADPH-adrenodoxin reductase (ADR), 1 mM EDTA, 1 mM NADPH, and 5.0 µM of each substrate in 100 mM Tris-HCl (pH 7.4) was incubated at 37 °C for 5 or 15 min. The metabolites were extracted with 4 volumes of CHCl3-CH3OH (3:1) and analyzed via HPLC under the following conditions: column, CAPCELL PAK C18 UG120 (5 μm) (4.6 mm × 250 mm) (SHISEIDO, Tokyo, Japan); UV detection, 265 nm; flow rate, 1.0 mL min−1; column temperature, 40 °C; mobile phase, CH3CN: a linear gradient of 20–100% CH3CN aqueous solution per 25 min and 100% CH3CN for 10 min.

4. Conclusions

In summary, in this paper we described novel stereoselective syntheses of 24-fluoro-25-hydroxyvitamin D3 (3 and 4) and 24,25-dihydroxyvitamin D3 (5 and 6). To our knowledge, this is the first reported study to synthesize both 24R- and 24S-24-fluorinated vitamin D3 analogues. This approach also provides a practical synthetic route to one of the main natural metabolites of 25(OH)D3 by hCYP24A1—(24R)-24,25-dihydroxyvitamin D3 (6). This synthetic method paves the way for efficient access to 24-substituted vitamin D3 analogues. Synthesis of new 24-substituted vitamin D3 analogues utilizing this method, along with evaluation of their biological activities, is in progress.

Supplementary Materials

The following are available online at https://www.mdpi.com/article/10.3390/ijms222111863/s1.

Author Contributions

Conceptualization, F.K., T.S. and A.K.; investigation, F.K., S.M., H.M. and K.Y.; original draft preparation, F.K. and K.Y.; writing—review and editing, A.K.; supervision, A.K. and T.S.; funding acquisition, A.K. and T.S. All authors have read and agreed to the published version of the manuscript.

Funding

This work was supported in part by Grants-in-Aid from the Japan Society for the Promotion of Science (No. 18K06556 to A.K. and No. 19H02889 to T.S.).

Institutional Review Board Statement

Not applicable.

Informed Consent Statement

Not applicable.

Data Availability Statement

The data presented in this study are available on request from the corresponding author.

Conflicts of Interest

The authors declare no conflict of interest.

References

  1. Sakaki, T.; Kagawa, N.; Yamamoto, K.; Inouye, K. Metabolism of vitamin D3 by cytochromes P450. Front. Biosci. 2005, 10, 119–134. [Google Scholar] [PubMed] [Green Version]
  2. Sakaki, T.; Sawada, N.; Komai, K.; Shiozawa, S.; Yamada, S.; Yamamoto, K.; Ohyama, Y.; Inouye, K. Dual metabolic pathway of 25-hydroxyvitamin D3 catalyzed by human CYP24. Eur. J. Biochem. 2000, 267, 6158–6165. [Google Scholar] [CrossRef] [PubMed] [Green Version]
  3. Inouye, K.; Sakaki, T. Enzymatic studies on the key enzymes of vitamin D metabolism; 1α-hydroxylase (CYP27B1) and 24-hydroxylase (CYP24). Biotechnol. Ann. Rev. 2001, 7, 179–194. [Google Scholar]
  4. Jones, G.; Strugnell, S.A.; DeLuca, H.F. Current understanding of the molecular actions of vitamin D. Physiol. Rev. 1998, 78, 1193–1231. [Google Scholar] [CrossRef] [Green Version]
  5. Jones, G.; Prosser, D.E.; Kaufmann, M. 25-Hydroxyvitamin D-24-hydroxylase (CYP24A1): Its important role in the degradation of vitamin D. Arch. Biochem. Biophys. 2012, 52, 9–18. [Google Scholar] [CrossRef] [PubMed]
  6. Tashiro, K.; Abe, T.; Oue, N.; Yasui, W.; Ryoji, M. Characterization of vitamin D-mediated induction of the CYP 24 transcription. Mol. Cell. Endocrinol. 2004, 226, 27–32. [Google Scholar] [CrossRef] [PubMed]
  7. Ohyama, Y.; Noshiro, M.; Okuda, K. Cloning and expression of cDNA encoding 25-hydroxyvitamin 24-hydroxylase. FEBS Lett. 1991, 278, 195–198. [Google Scholar] [CrossRef] [Green Version]
  8. Yasuda, K.; Nishikawa, M.; Okamoto, K.; Horibe, K.; Mano, H.; Yamaguchi, M.; Okon, R.; Nakagawa, K.; Tsugawa, N.; Okano, T.; et al. Elucidation of metabolic pathways of 25-hydroxyvitamin D3 mediated by Cyp24A1 and Cyp3A using Cyp24a1 knockout rats generated by CRISPR/Cas9 system. J. Biol. Chem. 2021, 296, 100668. [Google Scholar] [CrossRef]
  9. Kawagoe, F.; Yasuda, K.; Mototani, S.; Sugiyama, T.; Uesugi, M.; Sakaki, T.; Kittaka, A. Synthesis and CYP24A1-dependent metabolism of 23-fluorinated vitamin D3 analogues. ACS Omega 2019, 4, 11332–11337. [Google Scholar] [CrossRef] [Green Version]
  10. Kawagoe, F.; Sugiyama, T.; Yasuda, K.; Uesugi, M.; Sakaki, T.; Kittaka, A. Concise synthesis of 23-hydroxylated vitamin D3 metabolites. J. Steroid Biochem. Mol. Biol. 2019, 186, 161–168. [Google Scholar] [CrossRef]
  11. Kawagoe, F.; Mendoza, A.; Hayata, Y.; Asano, L.; Kotake, K.; Mototani, S.; Kawamura, S.; Kurosaki, S.; Akagi, Y.; Takemoto, Y.; et al. Discovery of a vitamin D receptor-silent vitamin D derivative that impairs sterol regulatory element-binding protein in vivo. J. Med. Chem. 2021, 64, 5689–5709. [Google Scholar] [CrossRef]
  12. Kobayashi, Y.; Taguchi, T.; Terada, T.; Oshida, J.; Morisaki, M.; Ikekawa, N. Synthesis of 24,24-difluoro- and 24ξ-fluoro-25-hydroxyvitamin D3. Tetrahedron Lett. 1979, 22, 2023–2026. [Google Scholar] [CrossRef]
  13. Kobayashi, Y.; Taguchi, T.; Terada, T.; Oshida, J.; Morisaki, M.; Ikekawa, N. Studies on organic fluorine compounds. Part 37. Studies on steroids. Part 78. Synthesis of 24,24-difluoro- and 24(ξ)-fluoro-25-hydroxyvitamin D3. J. Chem. Soc. Perkin Trans. 1982, 1, 85–91. [Google Scholar] [CrossRef]
  14. Shiuey, S.J.; Partridge, J.J.; Chadha, N.K.; Boris, A.; Uskoković, M.R. Stereospecific synthesis of 1α,25-dihydroxy-24R-fluorocholecalciferol (Ro 23-0233). Proc. Workshop Vitamin D 1985, 6, 765–766. [Google Scholar]
  15. Shiuey, S.; Partridge, J.J.; Uskoković, M.R. Triply convergent synthesis of 1α,25-dihydroxy-24(R)-fluorocholecalciferol. J. Org. Chem. 1988, 53, 1040–1046. [Google Scholar] [CrossRef]
  16. Toh, H.T.; Okamura, W.H. Studies on a convergent route to side-chain analogues of vitamin D: 25-hydroxy-23-oxavitamin D3. J. Org. Chem. 1983, 48, 1414–1417. [Google Scholar] [CrossRef]
  17. Sharpless, K.B.; Amberg, W.; Bennani, Y.L.; Crispino, G.A.; Hartung, J.; Jeong, K.S.; Kwong, H.L.; Morikawa, K.; Wang, Z.M.; Xu, D.; et al. The osmium catalyzed asymmetric dihydroxylation: A new ligand class and a process improvement. J. Org. Chem. 1992, 57, 2768–2771. [Google Scholar] [CrossRef]
  18. Heravi, M.M.; Zadsirjan, V.; Esfandyari, M.; Lashaki, T.B. Applications of Sharpless asymmetric dihydroxylation in the total synthesis of natural products. Tetrahedron Asymm. 2017, 28, 987–1043. [Google Scholar] [CrossRef]
  19. Gandara, Z.; Suarez, P.L.; Gonzalez, M.; Gomez, G.; Fall, Y. Vitamin D heterocyclic analogues; part 2: Synthesis of the first vitamin D analogues with a tetrazole ring at the side chain. Synthesis 2011, 23, 3887–3893. [Google Scholar]
  20. Lam, H.-Y.; Schnoes, H.K.; DeLuca, H.F.; Chen, T.C. 24,25-Dihydroxyvitamin D3. Synthesis and biological activity. Biochemistry 1973, 12, 4851–4855. [Google Scholar] [CrossRef] [PubMed]
  21. Takayama, H.; Ohmori, M.; Yamada, S. Facile, stereoselective synthesis of (24R)-24,25-dihydroxyvitamin D3 using D-glyceric acid as a chiral synthon. Tetrahedron Lett. 1980, 21, 5027–5028. [Google Scholar] [CrossRef]
  22. Sterling, J.; Slovin, E.; Barasch, D. Use of malic acid as a chiral synthon: 24,25-dihydroxycholecalciferol. Tetrahedron Lett. 1987, 28, 1685–1688. [Google Scholar] [CrossRef]
  23. Schrötter, E.; Schrönecker, B.; Hauschild, U.; Droescher, P.; Schick, H. An improved synthesis of (24R)-24,25-dihydroxyprovitamin D3. Synthesis 1990, 193–195. [Google Scholar] [CrossRef]
  24. Stepanenko, W.; Wicha, J. Enantioselective synthesis of 24,25-dihydroxy vitamin D3 northern portion from (S)-3-hydroxy-2,2-dimethylcyclohexane-1-one. Remote asymmetric induction in an acid-catalysed conjugate addition. Tetrahedron Lett. 1998, 39, 885–888. [Google Scholar] [CrossRef]
  25. Sestelo, J.P.; Cornella, I.; de Uña, O.; Mouriño, A.; Sarandeses, L.A. Stereoselective convergent synthesis of 24,25-dihydroxyvitamin D3 metabolites: A practical approach. Chem. Eur. J. 2002, 8, 2747–2752. [Google Scholar] [CrossRef]
  26. Fernández, C.; Gándara, Z.; Gómez, G.; Covelo, B.; Fall, Y. D- and L-Serine, useful synthons for the synthesis of 24-hydroxyvitamin D3 metabolites. A formal synthesis of 1α,24R,25-(OH)3-D3, 24R,25-(OH)2-D3 and 24S,25-(OH)2-D3. Tetrahedron Lett. 2007, 48, 2939–2942. [Google Scholar]
  27. Nicoletti, D.; Gregorio, C.; Mouriño, A.; Maestro, M. A short practical approach to 24R,25-dihydroxyvitamin D3. J. Steroid Biochem. Mol. Biol. 2010, 121, 43–45. [Google Scholar] [CrossRef]
  28. Kawagoe, F.; Mototani, S.; Yasuda, K.; Nagasawa, K.; Uesugi, M.; Sakaki, T.; Kittaka, A. Introduction of fluorine atoms to vitamin D3 side-chain and synthesis of 24,24-difluoro-25-hydroxyvitamin D3. J. Steroid Biochem. Mol. Biol. 2019, 195, 105477. [Google Scholar] [CrossRef]
  29. Mano, H.; Ikushiro, S.; Saito, N.; Kittaka, A.; Sakaki, T. Development of a highly sensitive in vitro system to detect and discriminate between vitamin D receptor agonists and antagonists based on split-luciferase technique. J. Steroid Biochem. Mol. Biol. 2018, 178, 55–59. [Google Scholar] [CrossRef] [PubMed]
  30. Kusudo, T.; Sakaki, T.; Abe, D.; Fujishima, T.; Kittaka, A.; Takayama, H.; Hatakeyama, S.; Ohta, M.; Inouye, K. Metabolism of A-ring diastereomers of 1α,25-dihydroxyvitamin D3 by CYP24A1. Biochem. Biophys. Res. Commun. 2004, 321, 774–782. [Google Scholar] [CrossRef] [PubMed]
Scheme 1. 25(OH)D3 deactivation pathways catalyzed by human CYP24A1.
Scheme 1. 25(OH)D3 deactivation pathways catalyzed by human CYP24A1.
Ijms 22 11863 sch001
Figure 1. Structures of C23- and C24-substituted vitamin D3 analogues.
Figure 1. Structures of C23- and C24-substituted vitamin D3 analogues.
Ijms 22 11863 g001
Figure 2. Structures of C24-fluorinated vitamin D3 analogues.
Figure 2. Structures of C24-fluorinated vitamin D3 analogues.
Ijms 22 11863 g002
Scheme 2. Retrosynthetic analysis of C24-substituted vitamin D3 analogues (36).
Scheme 2. Retrosynthetic analysis of C24-substituted vitamin D3 analogues (36).
Ijms 22 11863 sch002
Scheme 3. Stereoselective introduction of C24-hydroxy and -fluoro groups to the CD-ring side-chain using Sharpless asymmetric dihydroxylation and deoxyfluorination.
Scheme 3. Stereoselective introduction of C24-hydroxy and -fluoro groups to the CD-ring side-chain using Sharpless asymmetric dihydroxylation and deoxyfluorination.
Ijms 22 11863 sch003
Scheme 4. Coupling reaction and desilylation steps for 3 and 4.
Scheme 4. Coupling reaction and desilylation steps for 3 and 4.
Ijms 22 11863 sch004
Scheme 5. Alternative synthesis of 24,25(OH)2D3 (5,6) via protected 24,25-dihydroxy CD-ring fragments (40,41).
Scheme 5. Alternative synthesis of 24,25(OH)2D3 (5,6) via protected 24,25-dihydroxy CD-ring fragments (40,41).
Ijms 22 11863 sch005
Table 1. Relative hVDR binding affinity of 24-fluorinated 25(OH)D3.
Table 1. Relative hVDR binding affinity of 24-fluorinated 25(OH)D3.
CompoundRelative hVDR Binding Affinity (%)
25(OH)D3100
(24S)-24-F-25(OH)D3 (3)64
(24R)-24-F-25(OH)D3 (4)73
24,24-F2-25(OH)D3 [28]180
Table 2. Hydroxylation activities of human CYP24A1 toward 25(OH)D3 and its C24-fluorinated analogues.
Table 2. Hydroxylation activities of human CYP24A1 toward 25(OH)D3 and its C24-fluorinated analogues.
Substrate(nmol/min/nmol-P450)
25(OH)D35.0 ± 1.8
(24S)-24-F-25(OH)D3 (3)4.8 ± 1.5
(24R)-24-F-25(OH)D3 (4)1.6 ± 0.5
24,24-F2-25(OH)D3 [28]0.53 ± 0.12
Data were obtained at a substrate concentration of 5 μM. Each value is the mean ± SD of three separate experiments.
Publisher’s Note: MDPI stays neutral with regard to jurisdictional claims in published maps and institutional affiliations.

Share and Cite

MDPI and ACS Style

Kawagoe, F.; Mototani, S.; Yasuda, K.; Mano, H.; Sakaki, T.; Kittaka, A. Stereoselective Synthesis of 24-Fluoro-25-Hydroxyvitamin D3 Analogues and Their Stability to hCYP24A1-Dependent Catabolism. Int. J. Mol. Sci. 2021, 22, 11863. https://doi.org/10.3390/ijms222111863

AMA Style

Kawagoe F, Mototani S, Yasuda K, Mano H, Sakaki T, Kittaka A. Stereoselective Synthesis of 24-Fluoro-25-Hydroxyvitamin D3 Analogues and Their Stability to hCYP24A1-Dependent Catabolism. International Journal of Molecular Sciences. 2021; 22(21):11863. https://doi.org/10.3390/ijms222111863

Chicago/Turabian Style

Kawagoe, Fumihiro, Sayuri Mototani, Kaori Yasuda, Hiroki Mano, Toshiyuki Sakaki, and Atsushi Kittaka. 2021. "Stereoselective Synthesis of 24-Fluoro-25-Hydroxyvitamin D3 Analogues and Their Stability to hCYP24A1-Dependent Catabolism" International Journal of Molecular Sciences 22, no. 21: 11863. https://doi.org/10.3390/ijms222111863

APA Style

Kawagoe, F., Mototani, S., Yasuda, K., Mano, H., Sakaki, T., & Kittaka, A. (2021). Stereoselective Synthesis of 24-Fluoro-25-Hydroxyvitamin D3 Analogues and Their Stability to hCYP24A1-Dependent Catabolism. International Journal of Molecular Sciences, 22(21), 11863. https://doi.org/10.3390/ijms222111863

Note that from the first issue of 2016, this journal uses article numbers instead of page numbers. See further details here.

Article Metrics

Back to TopTop