Mechanisms of Action of Cassiae Semen for Weight Management: A Computational Molecular Docking Study of Serotonin Receptor 5-HT2C
Abstract
1. Introduction
2. Results and Discussion
2.1. CS Compound Interactions with 5-HT2C: Putative Agonists, Antagonists and Allosteric Modulators
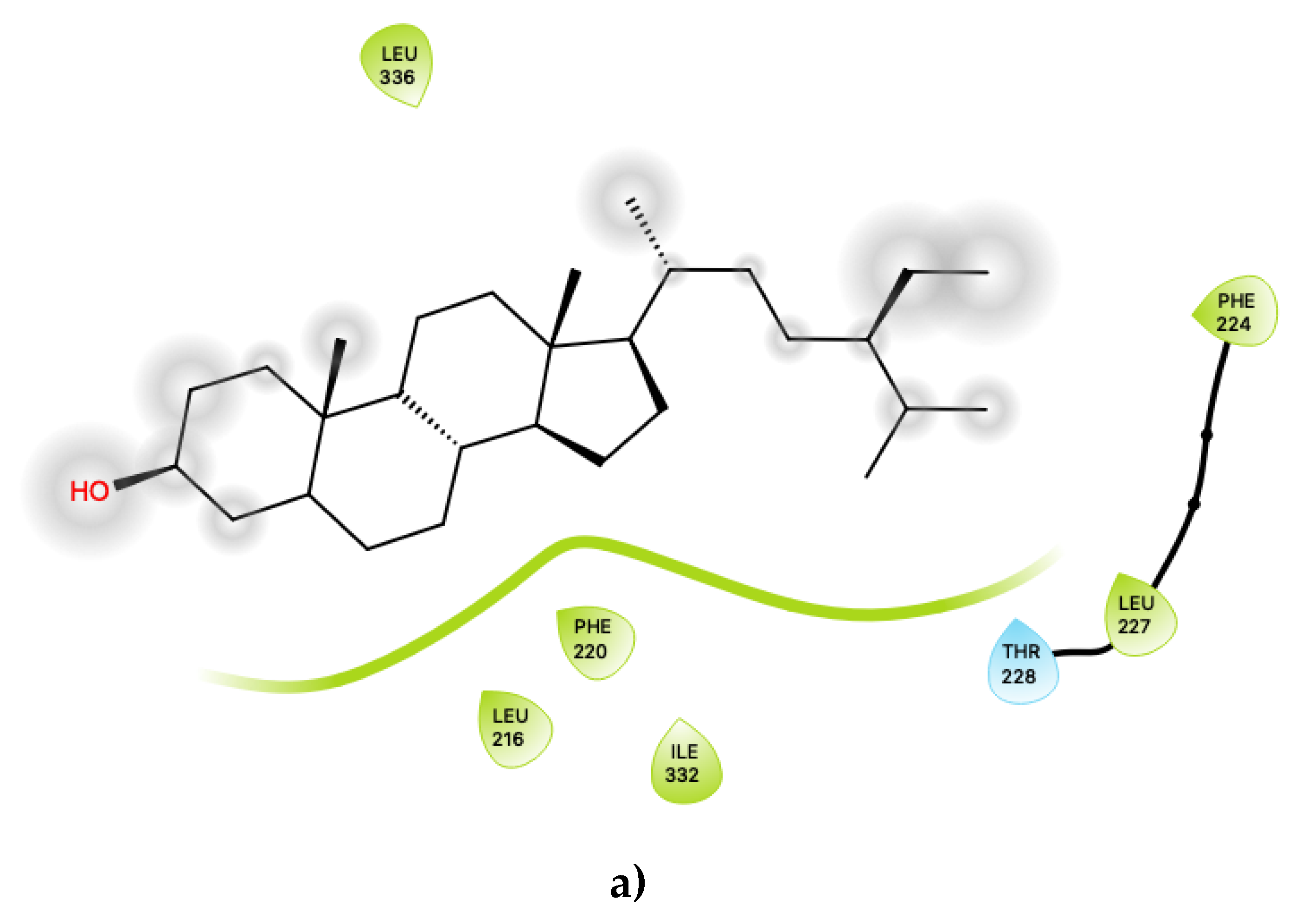
2.1.1. Proposed 5-HT2C Agonists
2.1.2. Proposed 5-HT2C Antagonists
2.1.3. Hypothetical Positive Allosteric Modulators of 5-HT2C
2.2. Common Residues Interacting with CS Compounds
3. Materials and Methods
3.1. Identification and Preparation of Protein Targets
3.2. Identification and Preparation of Ligands
3.3. Molecular Docking and Analysis
4. Conclusions
Author Contributions
Funding
Acknowledgments
Conflicts of Interest
Appendix A
| Ligand ID | Ligand Name | Molecular | Binding Affinity | ∆∆G | |
|---|---|---|---|---|---|
| Weight | (kcal/mol) | (kcal/mol) | |||
| (g/mol) | S1 | S2 | (S2−S1) | ||
| c31 | stigmasterol | 412.70 | −10.7 | −10.6 | 0.1 |
| c34 | obtusifoliol | 426.73 | −10.5 | −9.2 | 1.3 |
| c35 | friedelin | 426.73 | −10.3 | −11.7 | −1.4 |
| c45 | cassiaside C 2019 | 566.51 | −10.2 | −10.5 | −0.3 |
| c46 | rubrofusarin gentiobioside | 596.54 | −10.1 | −9.9 | 0.2 |
| c49 | cassiaside B2 2014 | 920.80 | −9.9 | −8.5 | 1.4 |
| c50 | cassiaside C2 | 920.80 | −9.6 | −10.0 | −0.4 |
| c36 | emodin-8-glucoside | 432.38 | −9.5 | −9.7 | −0.2 |
| c44 | cassiaside B 2017 | 566.51 | −9.5 | −10.0 | −0.5 |
| c07 | quinizarin | 240.22 | −9.2 | −8.8 | 0.4 |
| c08 | chrysophanol-9-anthrone | 240.26 | −9.2 | −9.8 | −0.6 |
| c19 | rhein | 284.22 | −9.2 | −9.3 | −0.1 |
| c48 | cassiaside B2 2006 | 920.80 | −9.2 | −8.9 | 0.3 |
| c11 | chrysophanol | 254.24 | −9.1 | −9.5 | −0.4 |
| c13 | chrysin | 254.25 | −9.0 | −9.2 | −0.2 |
| c16 | aloe-emodin | 270.24 | −9.0 | −9.2 | −0.2 |
| c41 | gluco-aurantio-obtusin | 492.43 | −9.0 | −9.4 | −0.4 |
| c15 | emodin | 270.24 | −8.9 | −9.5 | −0.6 |
| c20 | physcion | 284.27 | −8.9 | −9.4 | −0.5 |
| c37 | rubrofusarin-6-glucoside | 434.40 | −8.9 | −9.5 | −0.6 |
| c39 | gluco-obtusifolin | 446.41 | −8.9 | −9.1 | −0.2 |
| c21 | questin | 284.27 | −8.8 | −8.4 | 0.4 |
| c14 | nor-rubrofusarin | 258.23 | −8.6 | −9.2 | −0.6 |
| c22 | obtusifolin | 284.27 | −8.6 | −8.5 | 0.1 |
| c23 | kaempferol | 286.24 | −8.6 | −8.3 | 0.3 |
| c24 | torosachrysone | 288.30 | −8.5 | −8.2 | 0.3 |
| c25 | quercetin | 302.24 | −8.5 | −8.7 | −0.2 |
| c30 | cassiaside A | 404.40 | −8.5 | −9.0 | −0.5 |
| c12 | rubrofusarin | 254.24 | −8.4 | −8.7 | −0.3 |
| c26 | cassialactone | 304.30 | −8.3 | −8.2 | 0.1 |
| c18 | Toralactone | 272.27 | −8.2 | −9.0 | −0.8 |
| c28 | obtusin | 344.32 | −8.1 | −8.3 | −0.2 |
| c40 | betulinic acid | 456.71 | −8.0 | −9.3 | −1.3 |
| c47 | Physcion-beta-D-gentiobioside | 608.55 | −8.0 | −9.5 | −1.5 |
| c06 | 2-Hydroxymethylanthraquinone | 238.24 | −7.8 | −9.3 | −1.5 |
| c43 | gluco-chrysoobtusin | 520.49 | −7.8 | −8.5 | −0.7 |
| c10 | torachrysone | 246.26 | −7.5 | −7.7 | −0.2 |
| c27 | aurantio-obtusin | 330.29 | −7.5 | −8.3 | −0.8 |
| c32 | beta-sitosterol | 414.72 | −7.3 | −10.3 | −3.0 |
| c17 | isotoralactone | 272.26 | −7.2 | −8.2 | −1.0 |
| c03 | 5,7-Dihydroxychromone | 178.15 | −7.0 | −7.1 | −0.1 |
| c09 | uridine | 244.20 | −7.0 | −7.1 | −0.1 |
| c33 | juglanin | 418.35 | −6.7 | −7.9 | −1.2 |
| c42 | galactomannan | 504.44 | −6.4 | −7.5 | −1.1 |
| c38 | triacontan-1-ol | 438.83 | −6.3 | −6.2 | 0.1 |
| c05 | aspidinol | 224.28 | −6.1 | −6.9 | −0.8 |
| c29 | chrysoobtusin | 358.35 | −6.1 | −8.3 | −2.2 |
| c04 | (2s,4s)-4-hydroxyarginine | 190.24 | −5.2 | −5.2 | 0.0 |
| c02 | 2,5-dimethoxybenzoquinone | 168.15 | −4.9 | −5.6 | −0.7 |
| c01 | succinic acid | 118.09 | −4.7 | −4.2 | 0.5 |
References
- AIHW. Overweight and Obesity: An Interactive Insight. Available online: https://www.aihw.gov.au/reports/overweight-obesity/overweight-and-obesity-an-interactive-insight/contents/what-is-overweight-and-obesity (accessed on 15 February 2020).
- WHO. Facts about Overweight and Obesity. Available online: https://www.who.int/news-room/fact-sheets/detail/obesity-and-overweight (accessed on 21 January 2020).
- Hruby, A.; Manson, J.E.; Qi, L.; Malik, V.S.; Rimm, E.B.; Sun, Q.; Willett, W.C.; Hu, F.B. Determinants and Consequences of Obesity. Am. J. Public Health 2016, 106, 1656–1662. [Google Scholar] [CrossRef] [PubMed]
- Thomas, A.; Wadden, G.A.B. Handbook of Obesity Treatment, 2nd ed.; Guilford Publications: New York, NY, USA, 2018; ISBN 1462535577, 9781462535576. [Google Scholar]
- WHO. What Are the Health Consequences of Being Overweight? Available online: https://www.who.int/features/qa/49/en/ (accessed on 1 January 2020).
- Hanif, M.W.; Kumar, S. Pharmacological management of obesity. Expert Opin. Pharmacother. 2002, 3, 1711–1718. [Google Scholar] [CrossRef] [PubMed]
- Proietto, J. Why is treating obesity so difficult? Justification for the role of bariatric surgery. Med. J. Aust. 2011, 195, 144–146. [Google Scholar] [CrossRef] [PubMed]
- Jun Goo, K.; Cheol-Young, P. Anti-Obesity Drugs: A Review about Their Effects and Safety. Diabetes Metab. J. 2012, 36, 13–25. [Google Scholar] [CrossRef]
- Glazer, G. Long-term Pharmacotherapy of Obesity 2000: A Review of Efficacy and Safety. Arch. Intern. Med. 2001, 161, 1814–1824. [Google Scholar] [CrossRef]
- Healthdirect. Guide to Bariatric Surgery. Available online: https://www.healthdirect.gov.au/guide-to-bariatric-surgery (accessed on 21 January 2020).
- Zhao, Z.; Guo, P.; Brand, E. A concise classification of bencao (materia medica). Chin. Med. 2018, 13, 18. [Google Scholar] [CrossRef]
- Lenon, G.B.; Li, K.X.; Chang, Y.H.; Yang, A.W.; Da Costa, C.; Li, C.G.; Cohen, M.; Mann, N.; Xue, C.C.L. Efficacy and safety of a Chinese herbal medicine formula (RCM-104) in the management of simple obesity: A randomized, placebo-controlled clinical trial. Evid. Based Complement. Altern. Med. 2012. [Google Scholar] [CrossRef]
- Yang, J.Z.; Yan, J.B.; Zheng, T.Z.; Qu, S.Y.; Li, W. Dose-effect relationship of cassia seed decoction with its inhibition on increased body mass in nutritional obese rats. Chin. J. Clin. Rehabil. 2005, 9, 226–228. [Google Scholar]
- Dong, X.; Fu, J.; Yin, X.; Yang, C.; Zhang, X.; Wang, W.; Du, X.; Wang, Q.; Ni, J. Cassiae semen: A review of its phytochemistry and pharmacology. Mol. Med. Rep. 2017, 16, 2331–2346. [Google Scholar] [CrossRef]
- Veeramachaneni, G.; Thunuguntla, V.; Bhaswant, M.; Mathai, M.; Bondili, J. Pharmacophore Directed Screening of Agonistic Natural Molecules Showing Affinity to 5HT(2C) Receptor. Biomolecules 2019, 9, 556. [Google Scholar] [CrossRef]
- Halford, J.C.G.; Harrold, J.A. 5-HT 2C receptor agonists and the control of appetite. Handb. Exp. Pharmacol. 2012, 209, 349–356. [Google Scholar] [CrossRef]
- CHEBI: 65353—Lorcaserin. Available online: https://www.ebi.ac.uk/chebi/searchId.do?chebiId=CHEBI:65353 (accessed on 29 January 2020).
- Drugbank. Drugbank—Lorcaserin. Available online: https://www.drugbank.ca/drugs/DB04871 (accessed on 31 October 2019).
- Luo, S.; Lenon, G.; Gill, H.; Yuen, H.; Yang, A.; Hung, A.; Nguyen, L. Do the Natural Chemical Compounds Interact with the Same Targets of Current Pharmacotherapy for Weight Management?—A Review. Curr. Drug Targets 2019, 20, 399–411. [Google Scholar] [CrossRef] [PubMed]
- Drugbank. Drugbank—Benzphetamine. Available online: https://www.drugbank.ca/drugs/DB00865 (accessed on 15 January 2020).
- PubChem. Compound Summary Benzphetamine. Available online: https://pubchem.ncbi.nlm.nih.gov/compound/5311017 (accessed on 31 October 2019).
- Takano, K.; Yamagata, Y.; Yutani, K. A general rule for the relationship between hydrophobic effect and conformational stability of a protein: Stability and structure of a series of hydrophobic mutants of human lysozyme. J. Mol. Biol. 1998, 280, 749–761. [Google Scholar] [CrossRef] [PubMed]
- Liu, K.; Cornelius, P.; Patterson, T.A.; Zeng, Y.; Santucci, S.; Tomlinson, E.; Gibbons, C.; Maurer, T.; Marala, R.; Brown, J.; et al. Design and synthesis of orally-active and selective azaindane 5HT2c agonist for the treatment of obesity. Bioorg. Med. Chem. Lett. 2010, 20, 266–271. [Google Scholar] [CrossRef] [PubMed]
- Peng, Y.; Zhao, S.; Wu, Y.; Cao, H.; Xu, Y.; Liu, X.; Shui, W.; Cheng, J.; Zhao, S.; Shen, L.; et al. Identification of natural products as novel ligands for the human 5-HT 2C receptor. Biophys. Rep. 2018, 4, 50–61. [Google Scholar] [CrossRef] [PubMed]
- Ahmed, A.; Choo, H.; Cho, Y.S.; Park, W.-K.; Pae, A.N. Identification of novel serotonin 2C receptor ligands by sequential virtual screening. Bioorg. Med. Chem. 2009, 17, 4559–4568. [Google Scholar] [CrossRef] [PubMed]
- Carpenter, J.; Wang, Y.; Wu, G.; Feng, J.; Ye, X.Y.; Morales, C.L.; Broekema, M.; Rossi, K.A.; Miller, K.J.; Murphy, B.J.; et al. Utilization of an Active Site Mutant Receptor for the Identification of Potent and Selective Atypical 5-HT 2C Receptor Agonists. J. Med. Chem. 2017, 60, 6166–6190. [Google Scholar] [CrossRef]
- Ahmed, A.; Nagarajan, S.; Doddareddy, M.; Cho, Y.; Pae, A. Binding Mode Prediction of 5-Hydroxytryptamine 2C Receptor Ligands by Homology Modeling and Molecular Docking Analysis. Bull. Korean Chem. Soc. 2011, 32, 2008–2014. [Google Scholar] [CrossRef]
- Zuo, Z.; Chen, G.; Luo, X.; Puah, C.; Zhu, W.; Chen, K.; Jiang, H.; Nagatomo, T. Pharmacophore-directed Homology Modeling and Molecular Dynamics Simulation of G Protein-coupled Receptor: Study of Possible Binding Modes of 5-HT 2C Receptor Agonists. Acta Biochim. et Biophys. Sin. 2007, 39, 413–422. [Google Scholar] [CrossRef]
- Chattopadhyay, D.S.A. Identification of Cholesterol Binding Sites in the Serotonin1A Receptor. J. Phys. Chem. B 2012, 116, 12991–12996. [Google Scholar]
- Domene, V.O.C. Influence of Cholesterol and Its Stereoisomers on Members of the Serotonin Receptor Family. J. Mol. Biol. 2019, 431, 1633–1649. [Google Scholar]
- RCSB. Protien Data Bank. Available online: https://www.rcsb.org (accessed on 15 January 2020).
- Visual Molecular Dynamics. Available online: https://www.ks.uiuc.edu/Research/vmd/ (accessed on 15 January 2020).
- MIMS Online Simple Search: Obesity. Available online: https://www-mimsonline-com-au.ezproxy.lib.rmit.edu.au/Search/QuickSearch.aspx?ModuleName=Product%20Info&searchKeyword=obesity (accessed on 25 December 2019).
- DRUGBANK- Indication for Obesity. Available online: https://www.drugbank.ca/unearth/q?utf8=%E2%9C%93&searcher=indications&query=obesity (accessed on 15 January 2020).
- Bensky, D.C.T.; Clavey, S.; Stöger, E. Chinese Herbal Medicine: Materia Medica, 3rd ed.; Eastland Press: Seattle, WA, USA, 2015; ISBN 9780939616824. [Google Scholar]
- Chen, J.K.A.; Gamble, A.; Crampton, L. Chinese Medical Herbology and Pharmacology; Art of Medicine Press Inc.: City of Industry, CA, USA, 2004. [Google Scholar]
- National Pharmacopoeia Committee. Chinese Pharmacopeia; Chinese Pharmacopeia Technical Publisher: Beijing, China, 2015; Volume 1, ISBN 978-7-5067-7337-9. [Google Scholar]
- Guirong, X.; Jiaju, Z.; Xinjian, Y. Encyclopedia of Traditional Chinese Medicine—Molecular Structures, Pharmacological Activities, Natural Sources and Applications; Springer: Berlin/Heidelberg, Germany; Dordrecht, The Netherlands; London, UK; New York, NY, USA, 2012; ISBN 978-3-642-16734-8. [Google Scholar] [CrossRef]
- Pan, R.S.; Bhatt, B.P. Antioxidant and nutritional potential of some underutilized leafy vegetables consumed by tribals of Jharkhand, India. Curr. Sci. 2018, 114, 1222–1233. [Google Scholar] [CrossRef]
- PubChem Database—Explore Chemistry. Available online: https://pubchem.ncbi.nlm.nih.gov (accessed on 15 January 2020).
- Online SMILES Translator and Structure File Generator. Available online: https://cactus.nci.nih.gov/translate/ (accessed on 4 April 2019).
- Trott, O.; Olson, A.J. AutoDock Vina: Improving the speed and accuracy of docking with a new scoring function, efficient optimization, and multithreading. J. Comput. Chem. 2010, 31, 455–461. [Google Scholar] [CrossRef] [PubMed]
- Dallakyan, S. Python Prescription—Virtual Screening Tool. Available online: https://pyrx.sourceforge.io (accessed on 26 January 2020).
- Schrodinger. Maestro—The Completely Reimagined All-Purpose Molecular Modeling Environment. Available online: https://www.schrodinger.com/maestro (accessed on 15 February 2020).








| Protein Target | Description |
|---|---|
| S1 | 5-HT2C in an agonist-bound active conformation; chain A of PDBID: 6BQG |
| S2 | 5-HT2C in an antagonist-bound inactive conformation; chain A of PDBID: 6BQH |
| Ligand ID | Ligand Name | Molecular Weight (g/mol) | Binding Affinity | ∆∆G | |
|---|---|---|---|---|---|
| (kcal/mol) | (kcal/mol) | ||||
| S1 | S2 | (S2−S1) | |||
| c01 | succinic acid | 118.09 | −4.7 | −4.2 | 0.5 |
| c02 | 2,5-dimethoxybenzoquinone | 168.15 | −4.9 | −5.6 | −0.7 |
| c03 | 5,7-dihydroxychromone | 178.15 | −7 | −7.1 | −0.1 |
| c04 | (2s,4s)-4-hydroxyarginine | 190.24 | −5.2 | −5.2 | 0 |
| c05 | aspidinol | 224.28 | −6.1 | −6.9 | −0.8 |
| c06 | 2-hydroxymethylanthraquinone | 238.24 | −7.8 | −9.3 | −1.5 |
| c07 | quinizarin | 240.22 | −9.2 | −8.8 | 0.4 |
| c08 | chrysophanol-9-anthrone | 240.26 | −9.2 | −9.8 | −0.6 |
| c09 | uridine | 244.20 | −7 | −7.1 | −0.1 |
| c10 | torachrysone | 246.26 | −7.5 | −7.7 | −0.2 |
| c11 | chrysophanol | 254.24 | −9.1 | −9.5 | −0.4 |
| c12 | rubrofusarin | 254.24 | −8.4 | −8.7 | −0.3 |
| c13 | chrysin | 254.25 | −9 | −9.2 | −0.2 |
| c14 | nor-rubrofusarin | 258.23 | −8.6 | −9.2 | −0.6 |
| c15 | emodin | 270.24 | −8.9 | −9.5 | −0.6 |
| c16 | aloe-emodin | 270.24 | −9 | −9.2 | −0.2 |
| c17 | isotoralactone | 272.26 | −7.2 | −8.2 | −1 |
| c18 | toralactone | 272.27 | −8.2 | −9 | −0.8 |
| c19 | rhein | 284.22 | −9.2 | −9.3 | −0.1 |
| c20 | physcion | 284.27 | −8.9 | −9.4 | −0.5 |
| c21 | questin | 284.27 | −8.8 | −8.4 | 0.4 |
| c22 | obtusifolin | 284.27 | −8.6 | −8.5 | 0.1 |
| c23 | kaempferol | 286.24 | −8.6 | −8.3 | 0.3 |
| c24 | torosachrysone | 288.30 | −8.5 | −8.2 | 0.3 |
| c25 | quercetin | 302.24 | −8.5 | −8.7 | −0.2 |
| c26 | cassialactone | 304.30 | −8.3 | −8.2 | 0.1 |
| c27 | aurantio-obtusin | 330.29 | −7.5 | −8.3 | −0.8 |
| c28 | obtusin | 344.32 | −8.1 | −8.3 | −0.2 |
| c29 | chrysoobtusin | 358.35 | −6.1 | −8.3 | −2.2 |
| c30 | cassiaside A | 404.40 | −8.5 | −9 | −0.5 |
| c31 | stigmasterol | 412.70 | −10.7 | −10.6 | 0.1 |
| c32 | beta-sitosterol | 414.72 | −7.3 | −10.3 | −3 |
| c33 | juglanin | 418.35 | −6.7 | −7.9 | −1.2 |
| c34 | obtusifoliol | 426.73 | −10.5 | −9.2 | 1.3 |
| c35 | friedelin | 426.73 | −10.3 | −11.7 | −1.4 |
| c36 | emodin-8-glucoside | 432.38 | −9.5 | −9.7 | −0.2 |
| c37 | rubrofusarin-6-glucoside | 434.40 | −8.9 | −9.5 | −0.6 |
| c38 | triacontan-1-ol | 438.83 | −6.3 | −6.2 | 0.1 |
| c39 | gluco-obtusifolin | 446.41 | −8.9 | −9.1 | −0.2 |
| c40 | betulinic acid | 456.71 | −8 | −9.3 | −1.3 |
| c41 | gluco-aurantio-obtusin | 492.43 | −9 | −9.4 | −0.4 |
| c42 | galactomannan | 504.44 | −6.4 | −7.5 | −1.1 |
| c43 | gluco-chrysoobtusin | 520.49 | −7.8 | −8.5 | −0.7 |
| c44 | cassiaside B 2017 | 566.51 | −9.5 | −10 | −0.5 |
| c45 | cassiaside C 2019 | 566.51 | −10.2 | −10.5 | −0.3 |
| c46 | rubrofusarin gentiobioside | 596.54 | −10.1 | −9.9 | 0.2 |
| c47 | physcion-β-d-gentiobioside | 608.55 | −8 | −9.5 | −1.5 |
| c48 | cassiaside B2 2006 | 920.80 | −9.2 | −8.9 | 0.3 |
| c49 | cassiaside B2 2014 | 920.80 | −9.9 | −8.5 | 1.4 |
| c50 | cassiaside C2 | 920.80 | −9.6 | −10 | −0.4 |
| Residue | S1-LOC | S1-c03 | S1-c09 | S1-c22 | S1-c34 | S1-c49 | S2-BEN | S2-c06 | S2-c29 | S2-c47 | Count |
|---|---|---|---|---|---|---|---|---|---|---|---|
| Ser110 | 1 | 1 | 2 | ||||||||
| Ser118 | 1 | 1 | 1 | 1 | 4 | ||||||
| Trp130 | 1 | 1 | 2 | ||||||||
| Ile131 | 1 | 1 | 2 | ||||||||
| Asp134 | 1 | 1 | 1 | 1 | 1 | 1 | 1 | 1 | 1 | 9 | |
| Val135 | 1 | 1 | 1 | 1 | 1 | 1 | 1 | 1 | 1 | 9 | |
| Ser138 | 1 | 1 | 1 | 1 | 1 | 5 | |||||
| Thr139 | 1 | 1 | 1 | 1 | 1 | 1 | 1 | 7 | |||
| ILE142 | 1 | 1 | 1 | 3 | |||||||
| Val185 | 1 | 1 | 2 | ||||||||
| Val208 | 1 | 1 | 1 | 1 | 4 | ||||||
| Leu209 | 1 | 1 | 1 | 1 | 1 | 1 | 1 | 1 | 1 | 9 | |
| Phe214 | 1 | 1 | 1 | 1 | 4 | ||||||
| Val215 | 1 | 1 | 1 | 1 | 1 | 5 | |||||
| Gly218 | 1 | 1 | 1 | 1 | 1 | 5 | |||||
| Ser219 | 1 | 1 | 1 | 3 | |||||||
| Ala222 | 1 | 1 | 1 | 1 | 1 | 5 | |||||
| Phe223 | 1 | 1 | 2 | ||||||||
| Trp324 | 1 | 1 | 1 | 1 | 4 | ||||||
| Phe327 | 1 | 1 | 1 | 1 | 1 | 1 | 1 | 1 | 1 | 1 | 10 |
| Phe328 | 1 | 1 | 1 | 1 | 1 | 1 | 6 | ||||
| Asn331 | 1 | 1 | 1 | 1 | 1 | 1 | 1 | 1 | 8 | ||
| Ser334 | 1 | 1 | 1 | 3 | |||||||
| Glu343 | 1 | 1 | 2 | ||||||||
| Glu347 | 1 | 1 | 1 | 1 | 4 | ||||||
| Leu350 | 1 | 1 | 1 | 1 | 4 | ||||||
| Asn351 | 1 | 1 | 1 | 1 | 4 | ||||||
| Val354 | 1 | 1 | 1 | 1 | 1 | 5 | |||||
| Tyr358 | 1 | 1 | 1 | 1 | 4 |
© 2020 by the authors. Licensee MDPI, Basel, Switzerland. This article is an open access article distributed under the terms and conditions of the Creative Commons Attribution (CC BY) license (http://creativecommons.org/licenses/by/4.0/).
Share and Cite
Yuen, H.; Hung, A.; Yang, A.W.H.; Lenon, G.B. Mechanisms of Action of Cassiae Semen for Weight Management: A Computational Molecular Docking Study of Serotonin Receptor 5-HT2C. Int. J. Mol. Sci. 2020, 21, 1326. https://doi.org/10.3390/ijms21041326
Yuen H, Hung A, Yang AWH, Lenon GB. Mechanisms of Action of Cassiae Semen for Weight Management: A Computational Molecular Docking Study of Serotonin Receptor 5-HT2C. International Journal of Molecular Sciences. 2020; 21(4):1326. https://doi.org/10.3390/ijms21041326
Chicago/Turabian StyleYuen, Heidi, Andrew Hung, Angela Wei Hong Yang, and George Binh Lenon. 2020. "Mechanisms of Action of Cassiae Semen for Weight Management: A Computational Molecular Docking Study of Serotonin Receptor 5-HT2C" International Journal of Molecular Sciences 21, no. 4: 1326. https://doi.org/10.3390/ijms21041326
APA StyleYuen, H., Hung, A., Yang, A. W. H., & Lenon, G. B. (2020). Mechanisms of Action of Cassiae Semen for Weight Management: A Computational Molecular Docking Study of Serotonin Receptor 5-HT2C. International Journal of Molecular Sciences, 21(4), 1326. https://doi.org/10.3390/ijms21041326

