Expression of Thioredoxin/Thioredoxin Reductase System Genes in Aphid-Challenged Maize Seedlings
Abstract
1. Introduction
2. Results
2.1. Transcriptional Reprogramming of the Studied Thioredoxins-Encoding Genes in Aphid-Stressed Maize Plants
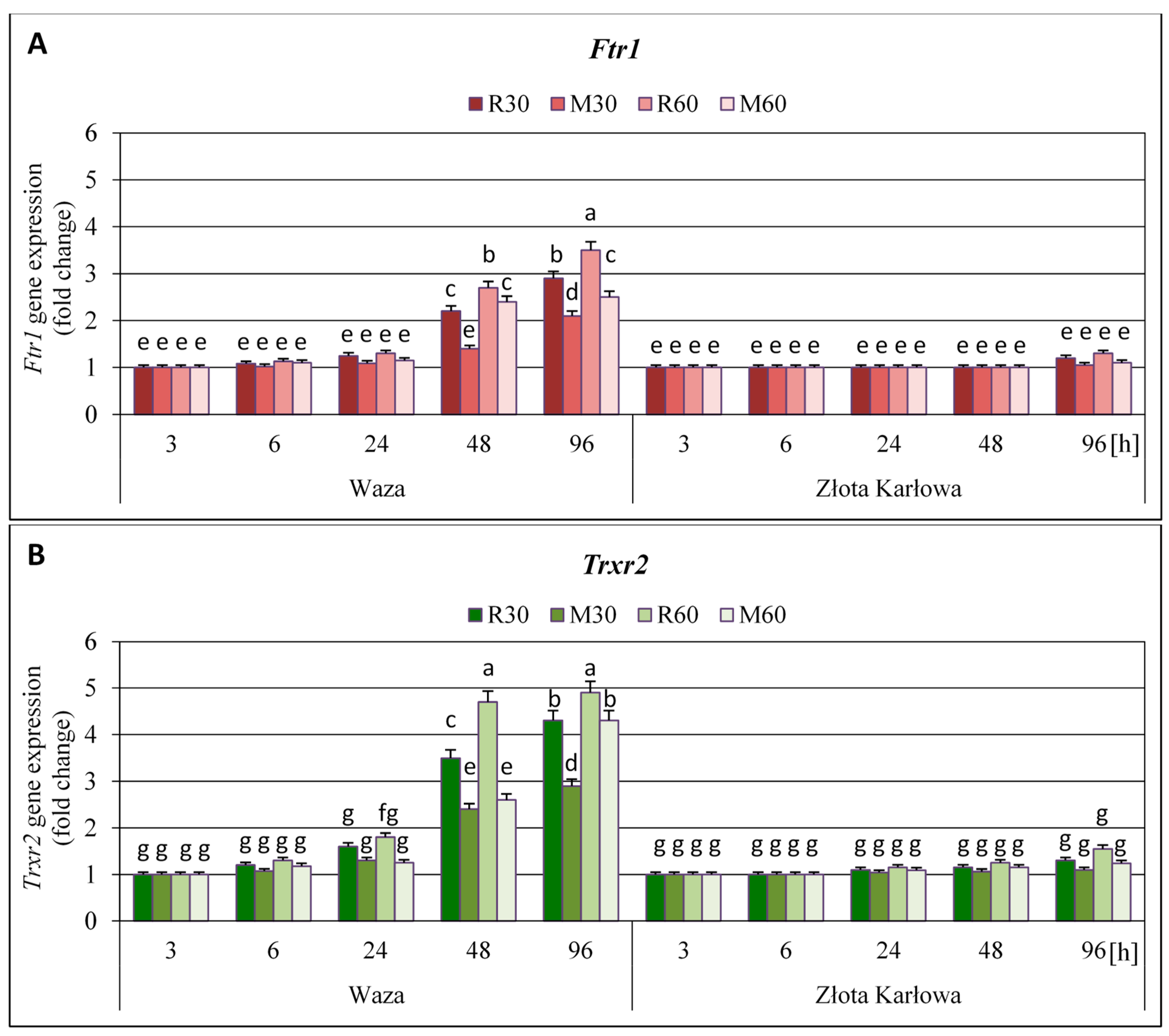
2.2. Modulation of Relative Expression of the Thioredoxin Reductase-Encoding Genes (Ftr1 and Trxr2) in Z. mays Seedlings Exposed to the Cereal Aphids’ Herbivory
2.3. Aphid-Evoked Variations in the Total Activity of Thioredoxin Reductase (TrxR) in Maize Seedlings
2.4. Electrical Penetration Graph (EPG) Recordings of Feeding Behavior of M. Dirhodum Aphids
3. Discussion
4. Materials and Methods
4.1. Plant Material
4.2. Insects
4.3. Aphid Infestation Biotests
4.4. Isolation of Total RNA and cDNA Synthesis
4.5. Gene Expression Analyses
4.6. Thioredoxin Reductase (TrxR) Activity Assay
4.7. Electrical Penetration Graph (EPG) Recordings
4.8. Statistical Analyses
5. Conclusions
Supplementary Materials
Author Contributions
Funding
Conflicts of Interest
References
- Geigenberger, P.; Fernie, A.R. Metabolic control of redox and redox control of metabolism in plants. Antioxid. Redox Signal. 2014, 21, 1389–1421. [Google Scholar] [CrossRef] [PubMed]
- Buchanan, B.B. The path to thioredoxin and redox regulation in chloroplasts. Annu. Rev. PlantBiol. 2016, 67, 1–24. [Google Scholar] [CrossRef] [PubMed]
- Kakumanu, A.; Ambavaram, M.M.; Klumas, C.; Krishnan, A.; Batlang, U.; Myers, E.; Grene, R.; Pereira, A. Effects of drought on gene expression in maize reproductive and leaf meristem tissue revealed by RNA-seq. Plant Physiol. 2012, 160, 846–867. [Google Scholar] [CrossRef] [PubMed]
- Hisabori, T.; Motohashi, K.; Hosoya-Matsuda, N.; Ueoka-Nakanishi, H.; Romano, P.G.N. Towards a functional dissection of thioredoxin networks in plant cells. Photochem. Photobiol. 2006, 83, 145–151. [Google Scholar] [CrossRef]
- Michelet, L.; Zaffagnini, M.; Morisse, S.; Sparla, F.; Pérez-Pérez, M.E.; Francia, F.; Danon, A.; Marchand, C.H.; Fermani, S.; Trost, P.; et al. Redox regulation of the Calvin–Benson cycle: Something old, something new. Front. Plant Sci. 2013, 4, 470. [Google Scholar] [CrossRef]
- Richter, A.S.; Pérez-Ruiz, J.M.; Cejudo, F.J.; Grimm, B. Redox-control of chlorophyll biosynthesis mainly depends on thioredoxins. FEBS Lett. 2018, 592, 3111–3115. [Google Scholar] [CrossRef]
- Nietzel, T.; Mostertz, J.; Ruberti, C.; Née, G.; Fuchs, P.; Wagner, S.; Moseler, A.; Müller-Schüssele, S.J.; Benamar, A.; Poschet, G.; et al. Redox-mediated kick-start of mitochondrial energy metabolism drives resource-efficient seed germination. Proc. Natl. Acad. Sci. USA 2019, 117, 741–751. [Google Scholar] [CrossRef]
- Nikkanen, L.; Rintamäki, E. Chloroplast thioredoxin systems dynamically regulate photosynthesis in plants. Biochem. J. 2019, 476, 1159–1172. [Google Scholar] [CrossRef]
- Jing, X.; Yao, J.; Ma, X.; Zhang, Y.; Sun, Y.; Xiang, M.; Hou, P.; Li, N.; Zhao, R.; Li, J.; et al. Kandelia candel thioredoxin f confers osmotic stress tolerance in transgenic tobacco. Int. J. Mol. Sci. 2020, 21, 3335. [Google Scholar] [CrossRef]
- Zenda, T.; Liu, S.; Wang, X.; Liu, G.; Jin, H.; Dong, A.; Yang, Y.; Duan, H. Key maize drought-responsive genes and pathways revealed by comparative transcriptome and physiological analyses of contrasting inbred lines. Int. J. Mol. Sci. 2019, 20, 1268. [Google Scholar] [CrossRef]
- Gupta, S.; Mishra, S.K.; Misra, S.; Pandey, V.; Agrawal, L.; Nautiyal, C.S.; Chauhan, P.S. Revealing the complexity of protein abundance in chickpea root under drought-stress using a comparative proteomics approach. Plant Physiol. Biochem. 2020, 151, 88–102. [Google Scholar] [CrossRef] [PubMed]
- Sevilla, F.; Camejo, D.; Ortiz-Espín, A.; Calderón, A.; Lázaro, J.J.; Jiménez, A. The thioredoxin/peroxiredoxin/sulfiredoxin system: Current overview on its redox function in plants and regulation by reactive oxygen and nitrogen species. J. Exp. Bot. 2015, 66, 2945–2955. [Google Scholar] [CrossRef] [PubMed]
- Doll, N.M.; Just, J.; Brunaud, V.; Caïus, J.; Grimault, A.; Depège-Fargeix, N.; Esteban, E.; Pasha, A.; Provart, N.J.; Ingram, G.C.; et al. Transcriptomics at maize embryo/endosperm interfaces identifies a transcriptionally distinct endosperm subdomain adjacent to the embryo scutellum. Plant Cell 2020, 32, 833–852. [Google Scholar] [CrossRef] [PubMed]
- Dutta, S.; Chakraborty, S.; Goswami, R.; Banerjee, H.; Majumdar, K.; Li, B.; Jat, M.L. Maize yield in smallholder agriculture system—An approach integrating socio-economic and crop management factors. PLoS ONE 2020, 15, e0229100. [Google Scholar] [CrossRef] [PubMed]
- Bereś, P.K. The occurrence of aphids on sweet maize in south-eastern Poland. Acta Sci. Pol. Hortorum Cultus 2015, 14, 39–54. [Google Scholar]
- Ruszkowska, M.; Strażyński, P. Autumnal aphid fauna on maize as an indicator of environmental changes. Prog. Plant Prot. 2015, 55, 83–86. [Google Scholar] [CrossRef][Green Version]
- Sytykiewicz, H. Deciphering the role of NADPH oxidase in complex interactions between maize (Zea mays L.) genotypes and cereal aphids. Biochem. Biophys. Res. Commun. 2016, 476, 90–95. [Google Scholar] [CrossRef]
- Sytykiewicz, H. Transcriptional responses of catalase genes in maize seedlings exposed to cereal aphids’ herbivory. Biochem. Syst. Ecol. 2015, 60, 131–142. [Google Scholar] [CrossRef]
- Sytykiewicz, H.; Chrzanowski, G.; Czerniewicz, P.; Sprawka, I.; Lukasik, I.; Golawska, S.; Sempruch, C. Expression profiling of selected glutathione transferase genes in Zea mays (L.) seedlings infested with cereal aphids. PLoS ONE 2014, 9, e111863. [Google Scholar] [CrossRef]
- Łukasik, I.; Goławska, S. Biochemical markers of oxidative stress in maize seedlings exposed to rose-grass aphids. Allelopathy J. 2020. submitted (under review). [Google Scholar]
- Łukasik, I.; Wołoch, A.; Sytykiewicz, H.; Sprawka, I.; Goławska, S. Changes in the content of thiol compounds and the activity of glutathione S-transferase in maize seedlings in response to a rose-grass aphid infestation. PLoS ONE 2019, 14, e0221160. [Google Scholar] [CrossRef] [PubMed]
- Sytykiewicz, H.; Łukasik, I.; Goławska, S.; Chrzanowski, G. Aphid-triggered changes in oxidative damage markers of nucleic acids, proteins, and lipids in maize (Zea mays L.) seedlings. Int. J. Mol. Sci. 2019, 20, 3742. [Google Scholar] [CrossRef] [PubMed]
- Goławska, S.; Łukasik, I.; Sprawka, I.; Sytykiewicz, H.; Chojnacki, A. Comparison of probing/ feeding behavior for diet analysis to control strategy: A case study on aphids. Allelopathy J. 2020, 49, 113–124. [Google Scholar] [CrossRef]
- Backus, E.A.; Cervantes, F.A.; Guedes, R.N.C.; Li, A.Y.; Wayadande, A.C. AC–DC electropenetrography for in-depth studies of feeding and oviposition behaviors. Ann. Entomol. Soc. Am. 2019, 112, 236–248. [Google Scholar] [CrossRef]
- Lorang, J.M. Necrotrophic exploitation and subversion of plant defense: A lifestyle or just a phase, and implications in breeding resistance. Phytopathology 2019, 109, 332–346. [Google Scholar] [CrossRef] [PubMed]
- Fernandez, J.; Wilson, R.A. Characterizing roles for the glutathione reductase, thioredoxin reductase and thioredoxin peroxidase-encoding genes of Magnaporthe oryzae during rice blast disease. PLoS ONE 2014, 9, e87300. [Google Scholar] [CrossRef] [PubMed]
- Yokochi, Y.; Sugiura, K.; Takemura, K.; Yoshida, K.; Hara, S.; Wakabayashi, K.-I.; Kitao, A.; Hisabori, T. Impact of key residues within chloroplast thioredoxin-f on recognition for reduction and oxidation of target proteins. J. Biol. Chem. 2019, 294, 17437–17450. [Google Scholar] [CrossRef]
- Hägglund, P.; Finnie, C.; Yano, H.; Shahpiri, A.; Buchanan, B.B.; Henriksen, A.; Svensson, B. Seed thioredoxin h. Biochim. Biophys. Acta 2016, 1864, 974–982. [Google Scholar] [CrossRef]
- Bohrer, A.-S.; Massot, V.; Innocenti, G.; Reichheld, J.-P.; Issakidis-Bourguet, E.; Vanacker, H. New insights into the reduction systems of plastidial thioredoxins point out the unique properties of thioredoxin z from Arabidopsis. J. Exp. Bot. 2012, 63, 6315–6323. [Google Scholar] [CrossRef]
- Okegawa, Y.; Motohashi, K. Chloroplastic thioredoxin m functions as a major regulator of Calvin cycle enzymes during photosynthesis in vivo. Plant J. 2015, 84, 900–913. [Google Scholar] [CrossRef]
- Sekiguchi, T.; Yoshida, K.; Okegawa, Y.; Motohashi, K.; Wakabayashi, K.-I.; Hisabori, T. Chloroplast ATP synthase is reduced by both f-type and m-type thioredoxins. Biochim. Biophys. Acta 2020, 1861, 148261. [Google Scholar] [CrossRef] [PubMed]
- Ancín, M.; Larraya, L.M.; Millán, A.F.-S.; Veramendi, J.; Burch-Smith, T.M.; Farran, I. NTRC and thioredoxin f overexpression differentially induces starch accumulation in tobacco leaves. Plants 2019, 8, 543. [Google Scholar] [CrossRef] [PubMed]
- Kang, Z.; Qin, T.; Zhao, Z. Thioredoxins and thioredoxin reductase in chloroplasts: A review. Gene 2019, 706, 32–42. [Google Scholar] [CrossRef] [PubMed]
- Bittner, A.; Griebel, T.; Van Buer, J.; Juszczak-Debosz, I.; Baier, M. Determining the reactive oxygen species (ROS) and the antioxidant status of leaves during cold acclimation. Methods Mol. Biol. 2020, 2156, 241–254. [Google Scholar] [CrossRef]
- Shi, Y.; Qin, Y.; Cao, Y.; Sun, H.; Zhou, T.; Hong, Y.; Fan, Z. Influence of an m-type thioredoxin in maize on potyviral infection. Eur. J. Plant Pathol. 2011, 131, 317–326. [Google Scholar] [CrossRef]
- Liu, Q.; Liu, H.; Gong, Y.; Tao, Y.; Jiang, L.; Zuo, W.; Yang, Q.; Ye, J.; Lai, J.; Wu, J.; et al. An atypical thioredoxin imparts early resistance to sugarcane mosaic virus in maize. Mol. Plant 2017, 10, 483–497. [Google Scholar] [CrossRef]
- Thormählen, I.; Meitzel, T.; Groysman, J.; Öchsner, A.B.; Von Roepenack-Lahaye, A.; Naranjo, B.; Cejudo, F.J.; Geigenberger, P. Thioredoxin f1 and NADPH-dependent thioredoxin reductase C have overlapping functions in regulating photosynthetic metabolism and plant growth in response to varying light conditions. Plant Physiol. 2015, 169, 1766–1786. [Google Scholar] [CrossRef]
- Da, Q.; Wang, P.; Wang, M.; Sun, T.; Jin, H.; Liu, B.; Wang, J.; Grimm, B.; Wang, H.-B. Thioredoxin and NADPH-dependent thioredoxin reductase C regulation of tetrapyrrole biosynthesis. Plant Physiol. 2017, 175, 652–666. [Google Scholar] [CrossRef]
- Richter, A.S.; Peter, E.; Rothbart, M.; Schlicke, H.; Toivola, J.; Rintamäki, E.; Grimm, B. Posttranslational influence of NADPH-dependent thioredoxin reductase C on enzymes in tetrapyrrole synthesis. Plant Physiol. 2013, 162, 63–73. [Google Scholar] [CrossRef]
- Sytykiewicz, H.; Czerniewicz, P.; Sprawka, I.; Krzyżanowski, R. Chlorophyll content of aphid-infested seedling leaves of different maize genotypes. Acta Biol. Crac. Ser. Bot. 2013, 55, 51–60. [Google Scholar]
- Huihui, Z.; Xin, L.; Yupeng, G.; Mabo, L.; Yue, W.; Meijun, A.; Yuehui, Z.; Guanjun, L.; Nan, X.; Sun, G.-Y. Physiological and proteomic responses of reactive oxygen species metabolism and antioxidant machinery in mulberry (Morus alba L.) seedling leaves to NaCl and NaHCO3 stress. Ecotoxicol. Environ. Saf. 2020, 193, 110259. [Google Scholar] [CrossRef] [PubMed]
- Hao, Z.; Lingjun, D.; Fang-Hao, W.; Hongxu, Z. Comparative analysis of stylet penetration behaviors of Eriosoma lanigerum (Hemiptera: Aphididae) on main apple cultivars in China. J. Econ. Entomol. 2020, 113, 1761–1767. [Google Scholar] [CrossRef] [PubMed]
- Nalam, V.J.; Isaacs, T.; Moh, S.; Kansman, J.; Finke, D.; Albrecht, T.; Nachappa, P. Diurnal feeding as a potential mechanism of osmoregulation in aphids. Insect Sci. 2020. [Google Scholar] [CrossRef]
- Bogaert, F.; Marmonier, A.; Pichon, E.; Boissinot, S.; Ziegler-Graff, V.; Chesnais, Q.; Villeroy, C.; Drucker, M.; Brault, V. Impact of mutations in Arabidopsis thaliana metabolic pathways on polerovirus accumulation, aphid performance, and feeding behavior. Viruses 2020, 12, 146. [Google Scholar] [CrossRef]
- Leybourne, D.J.; Valentine, T.A.; Bos, J.I.B.; Karley, A.J. A fitness cost resulting from Hamiltonella defensa infection is associated with altered probing and feeding behaviour in Rhopalosiphum padi. J. Exp. Biol. 2019, 223, jeb207936. [Google Scholar] [CrossRef] [PubMed]
- Chen, Y.; Rong, X.; Fu, Q.; Li, B.; Meng, L. Effects of biochar amendment to soils on stylet penetration activities by aphid Sitobion avenae and planthopper Laodelphax striatellus on their host plants. Pest Manag. Sci. 2019, 76, 360–365. [Google Scholar] [CrossRef]
- Sprawka, I.; Goławska, S.; Czerniewicz, P.; Sytykiewicz, H. Insecticidal action of phytohemagglutinin (PHA) against the grain aphid, Sitobion avenae. Pestic. Biochem. Physiol. 2011, 100, 64–69. [Google Scholar] [CrossRef]
- Goławska, S.; Łukasik, I.; Goławski, A.; Kapusta, I.; Janda, B. Alfalfa (Medicago sativa L.) apigenin glycosides and their effect on the pea aphid (Acyrthosiphon pisum). Pol. J. Environ. Stud. 2010, 19, 913–919. [Google Scholar]
- Sytykiewicz, H.; Goławska, S.; Chrzanowski, G. Effect of the bird cherry-oat aphid Rhopalosiphum padi L. feeding on phytochemical responses within the bird cherry Prunus padus L. Pol. J. Ecol. 2011, 59, 329–338. [Google Scholar]
- Goławska, S.; Łukasik, I.; Leszczyński, B. Effect of alfalfa saponins and flavonoids on pea aphid. Entomol. Exp. Appl. 2008, 128, 147–153. [Google Scholar] [CrossRef]
- Zehnder, G.W.; Nichols, A.J.; Edwards, O.R.; Ridsdill-Smith, T.J. Electronically monitored cowpea aphid feeding behavior on resistant and susceptible lupins. Entomol. Exp. Appl. 2001, 98, 259–269. [Google Scholar] [CrossRef]
- Sytykiewicz, H. Expression patterns of genes involved in ascorbate-glutathione cycle in aphid-infested maize (Zea mays L.) seedlings. Int. J. Mol. Sci. 2016, 17, 268. [Google Scholar] [CrossRef] [PubMed]
- Livak, K.J.; Schmittgen, T.D. Analysis of relative gene expression data using real-time quantitative PCR and the 2−ΔΔCT method. Methods 2001, 25, 402–408. [Google Scholar] [CrossRef] [PubMed]
- Lowry, O.H.; Rosebrough, N.J.; Farr, A.L.; Randall, R.J. Protein measurement with the Folin phenol reagent. J. Biol. Chem. 1951, 193, 265–275. [Google Scholar] [PubMed]
- Sokal, R.R.; Rohlf, F.J. Biometry, 3rd ed.; Freeman & Co.: New York, NY, USA, 2001. [Google Scholar]







| EPG Waveforms | EPG Activity | |||
|---|---|---|---|---|
| Number of Events | Total Duration (min.) | Average Time (min.) | Time to First Probing (min.) | |
| Złota Karłowa cv. (Susceptible) | ||||
| np | 13.85 ± 2.37 | 43.74 ± 10.68 * | 3.32 ± 0.42 | n/a |
| C | 20.10 ± 2.69 | 154.06 ± 7.93 * | 7.87 ± 1.06 * | 4.16 ± 0.01 |
| E1 | 6.10 ± 0.47 | 19.49 ± 6.24 | 3.50 ± 1.55 * | 55.09 ± 9.76 |
| E2 | 4.35 ± 0.16 | 116.73 ± 7.39 * | 32.31 ± 0.89 * | 62.09 ± 9.99 |
| G | 2.35 ± 0.15 | 25.98 ± 4.98 | 11.47 ± 5.08 | 141.45 ± 15.88 |
| F | 0.00 ± 0.00 | 0.00 ± 0.00 | 0.00 ± 0.00 | 0.00 ± 0.00 |
| Waza cv. (Relatively Resistant) | ||||
| np | 13.55 ± 1.42 | 74.24 ± 16.55 * | 6.57 ± 1.27 | n/a |
| C | 22.85 ± 2.21 | 210.86 ± 7.86 * | 9.62 ± 0.39 * | 6.42 ± 0.82 |
| E1 | 7.35 ± 0.95 | 14.71 ± 4.35 | 1.83 ± 0.43 * | 61.19 ± 10.11 |
| E2 | 5.05 ± 0.32 | 37.18 ± 3.69 * | 8.93 ± 0.72 * | 63.96 ± 10.29 |
| G | 2.05 ± 0.02 | 21.16 ± 1.17 | 10.23 ± 0.59 | 121.21 ± 11.23 |
| F | 1.60 ± 0.16 | 1.84 ± 0.52 | 0.89 ± 0.51 | 88.74 ± 25.44 |
| Gene | GenBank Accession No. | GenBank Reference Sequence | Assay ID | Gene ID |
|---|---|---|---|---|
| Trx-f(thioredoxin f-type) | BT036952.1 | NM_001142977.1 | Zm03994181_g1 | LOC100216557 |
| Trx-h(thioredoxin h-type) | EU953886.1 | NM_001153720.2 | Zm04083851_s1 | LOC100280800 |
| Trx-m (thioredoxin m-type) | EU965627.1 | NM_001157280.1 | Zm04079742_s1 | LOC100284385 |
| Trx-x (thioredoxin x-type) | EU954216.1 | NM_001153772.1 | Zm04081670_s1 | LOC100280852 |
| Trx-lp4B (thioredoxin-like protein 4B) | EU954451.1 | NM_001153812.1 | Zm04013946_m1 | LOC100280892 |
| Trxr2 (thioredoxin reductase 2) | EU966898.1 | NM_001156943.1 | Zm04083908_g1 | LOC100284045 |
© 2020 by the authors. Licensee MDPI, Basel, Switzerland. This article is an open access article distributed under the terms and conditions of the Creative Commons Attribution (CC BY) license (http://creativecommons.org/licenses/by/4.0/).
Share and Cite
Sytykiewicz, H.; Łukasik, I.; Goławska, S.; Sprawka, I.; Goławski, A.; Sławianowska, J.; Kmieć, K. Expression of Thioredoxin/Thioredoxin Reductase System Genes in Aphid-Challenged Maize Seedlings. Int. J. Mol. Sci. 2020, 21, 6296. https://doi.org/10.3390/ijms21176296
Sytykiewicz H, Łukasik I, Goławska S, Sprawka I, Goławski A, Sławianowska J, Kmieć K. Expression of Thioredoxin/Thioredoxin Reductase System Genes in Aphid-Challenged Maize Seedlings. International Journal of Molecular Sciences. 2020; 21(17):6296. https://doi.org/10.3390/ijms21176296
Chicago/Turabian StyleSytykiewicz, Hubert, Iwona Łukasik, Sylwia Goławska, Iwona Sprawka, Artur Goławski, Julia Sławianowska, and Katarzyna Kmieć. 2020. "Expression of Thioredoxin/Thioredoxin Reductase System Genes in Aphid-Challenged Maize Seedlings" International Journal of Molecular Sciences 21, no. 17: 6296. https://doi.org/10.3390/ijms21176296
APA StyleSytykiewicz, H., Łukasik, I., Goławska, S., Sprawka, I., Goławski, A., Sławianowska, J., & Kmieć, K. (2020). Expression of Thioredoxin/Thioredoxin Reductase System Genes in Aphid-Challenged Maize Seedlings. International Journal of Molecular Sciences, 21(17), 6296. https://doi.org/10.3390/ijms21176296

