The Role of the RNA-Binding Protein Family MEX-3 in Tumorigenesis
Abstract
1. Introduction
2. History of MEX-3
3. Characteristic Features of Human MEX-3 Family Members
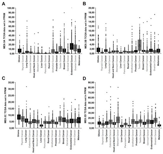
4. MEX-3 and Tumorigenesis
5. MEX-3 and Immune Responses
6. Concluding Remarks
Author Contributions
Funding
Acknowledgments
Conflicts of Interest
Abbreviations
| ACC1 | acetyl-CoA-carboxylase-1 |
| APM | antigen processing machinery |
| C. elegans | Caenorhabditis elegans |
| CTL | cytotoxic T lymphocyte |
| EMT | epithelial mesenchymal transition |
| ER | endoplasmic reticulum |
| FASN | fatty acid synthase |
| HBV | hepatitis B virus |
| HLA | human leukocyte antigen |
| hnRNP | heterogeneous nuclear ribonucleoprotein |
| HOTAIR | HOX antisense intergenic RNA |
| IFN | interferon |
| KH | K-homology |
| MEX-3 | mex-3 RNA-binding family member |
| MHC | major histocompatibility complex |
| MHC-I | MHC class I |
| miRNA | microRNA |
| OS | overall survival |
| PD-1 | programed death receptor 1 |
| RBD | RNA-binding domain |
| RBP | RNA-binding protein |
| RUNX3 | runt-related transcription factor 3 |
| SREBP1 | sterol regulatory element-binding protein 1 |
| TCGA | The Tumor Cancer Genome Atlas |
| UTR | untranslated region |
References
- Castello, A.; Fischer, B.; Frese, C.K.; Horos, R.; Alleaume, A.M.; Foehr, S.; Curk, T.; Krijgsveld, J.; Hentze, M.W. Comprehensive Identification of RNA-Binding Domains in Human Cells. Mol. Cell 2016, 63, 696–710. [Google Scholar] [CrossRef] [PubMed]
- Hentze, M.W.; Castello, A.; Schwarzl, T.; Preiss, T. A brave new world of RNA-binding proteins. Nat. Rev. Mol. Cell Biol. 2018, 19, 327–341. [Google Scholar] [CrossRef]
- Clery, A.; Blatter, M.; Allain, F.H. RNA recognition motifs: Boring? Not quite. Curr. Opin Struct Biol. 2008, 18, 290–298. [Google Scholar] [CrossRef] [PubMed]
- Valverde, R.; Edwards, L.; Regan, L. Structure and function of KH domains. FEBS J. 2008, 275, 2712–2726. [Google Scholar] [CrossRef]
- Linder, P.; Jankowsky, E. From unwinding to clamping—The DEAD box RNA helicase family. Nat. Rev. Mol. Cell Biol. 2011, 12, 505–516. [Google Scholar] [CrossRef] [PubMed]
- Zheng, J.; Zhang, X.; Zhao, X.; Tong, X.; Hong, X.; Xie, J.; Liu, S. Deep-RBPPred: Predicting RNA binding proteins in the proteome scale based on deep learning. Sci. Rep. 2018, 8, 15264. [Google Scholar] [CrossRef] [PubMed]
- Pereira, B.; Billaud, M.; Almeida, R. RNA-Binding Proteins in Cancer: Old Players and New Actors. Trends Cancer 2017, 3, 506–528. [Google Scholar] [CrossRef]
- Buchet-Poyau, K.; Courchet, J.; Le Hir, H.; Seraphin, B.; Scoazec, J.Y.; Duret, L.; Domon-Dell, C.; Freund, J.N.; Billaud, M. Identification and characterization of human Mex-3 proteins, a novel family of evolutionarily conserved RNA-binding proteins differentially localized to processing bodies. Nucleic Acids Res. 2007, 35, 1289–1300. [Google Scholar] [CrossRef]
- Cano, F.; Bye, H.; Duncan, L.M.; Buchet-Poyau, K.; Billaud, M.; Wills, M.R.; Lehner, P.J. The RNA-binding E3 ubiquitin ligase MEX-3C links ubiquitination with MHC-I mRNA degradation. EMBO J. 2012, 31, 3596–3606. [Google Scholar] [CrossRef]
- Bufalieri, F.; Caimano, M.; Lospinoso Severini, L.; Basili, I.; Paglia, F.; Sampirisi, L.; Loricchio, E.; Petroni, M.; Canettieri, G.; Santoro, A.; et al. The RNA-Binding Ubiquitin Ligase MEX3A Affects Glioblastoma Tumorigenesis by Inducing Ubiquitylation and Degradation of RIG-I. Cancers 2020, 12, 321. [Google Scholar] [CrossRef]
- Kuniyoshi, K.; Takeuchi, O.; Pandey, S.; Satoh, T.; Iwasaki, H.; Akira, S.; Kawai, T. Pivotal role of RNA-binding E3 ubiquitin ligase MEX3C in RIG-I-mediated antiviral innate immunity. Proc. Natl. Acad. Sci. USA 2014, 111, 5646–5651. [Google Scholar] [CrossRef]
- Cano, F.; Rapiteanu, R.; Sebastiaan Winkler, G.; Lehner, P.J. A non-proteolytic role for ubiquitin in deadenylation of MHC-I mRNA by the RNA-binding E3-ligase MEX-3C. Nat. Commun. 2015, 6, 8670. [Google Scholar] [CrossRef] [PubMed]
- Draper, B.W.; Mello, C.C.; Bowerman, B.; Hardin, J.; Priess, J.R. MEX-3 is a KH domain protein that regulates blastomere identity in early C. elegans embryos. Cell 1996, 87, 205–216. [Google Scholar] [CrossRef]
- Fire, A.; Xu, S.; Montgomery, M.K.; Kostas, S.A.; Driver, S.E.; Mello, C.C. Potent and specific genetic interference by double-stranded RNA in Caenorhabditis elegans. Nature 1998, 391, 806–811. [Google Scholar] [CrossRef]
- Ariz, M.; Mainpal, R.; Subramaniam, K.C. elegans RNA-binding proteins PUF-8 and MEX-3 function redundantly to promote germline stem cell mitosis. Dev. Biol. 2009, 326, 295–304. [Google Scholar] [CrossRef]
- Calin, G.A.; Sevignani, C.; Dumitru, C.D.; Hyslop, T.; Noch, E.; Yendamuri, S.; Shimizu, M.; Rattan, S.; Bullrich, F.; Negrini, M.; et al. Human microRNA genes are frequently located at fragile sites and genomic regions involved in cancers. Proc. Natl. Acad. Sci. USA 2004, 101, 2999–3004. [Google Scholar] [CrossRef]
- Burrell, R.A.; McClelland, S.E.; Endesfelder, D.; Groth, P.; Weller, M.C.; Shaikh, N.; Domingo, E.; Kanu, N.; Dewhurst, S.M.; Gronroos, E.; et al. Replication stress links structural and numerical cancer chromosomal instability. Nature 2013, 494, 492–496. [Google Scholar] [CrossRef]
- Medawar, P.B. Immunity to homologous grafted skin; the fate of skin homografts transplanted to the brain, to subcutaneous tissue, and to the anterior chamber of the eye. Br. J. Exp. Pathol. 1948, 29, 58–69. [Google Scholar]
- Benhar, I.; London, A.; Schwartz, M. The privileged immunity of immune privileged organs: The case of the eye. Front. Immunol. 2012, 3, 296. [Google Scholar] [CrossRef]
- Uhlen, M.; Fagerberg, L.; Hallstrom, B.M.; Lindskog, C.; Oksvold, P.; Mardinoglu, A.; Sivertsson, A.; Kampf, C.; Sjostedt, E.; Asplund, A.; et al. Proteomics. Tissue-based map of the human proteome. Science 2015, 347, 1260419. [Google Scholar] [CrossRef]
- Thul, P.J.; Akesson, L.; Wiking, M.; Mahdessian, D.; Geladaki, A.; Ait Blal, H.; Alm, T.; Asplund, A.; Bjork, L.; Breckels, L.M.; et al. A subcellular map of the human proteome. Science 2017, 356. [Google Scholar] [CrossRef] [PubMed]
- Ponten, F.; Jirstrom, K.; Uhlen, M. The Human Protein Atlas--a tool for pathology. J. Pathol. 2008, 216, 387–393. [Google Scholar] [CrossRef]
- Ruhl, R.; Rana, S.; Kelley, K.; Espinosa-Diez, C.; Hudson, C.; Lanciault, C.; Thomas, C.R., Jr.; Liana Tsikitis, V.; Anand, S. microRNA-451a regulates colorectal cancer proliferation in response to radiation. BMC Cancer 2018, 18, 517. [Google Scholar] [CrossRef] [PubMed]
- Huang, Y.; Fang, C.; Shi, J.W.; Wen, Y.; Liu, D. Identification of hMex-3A and its effect on human bladder cancer cell proliferation. Oncotarget 2017, 8, 61215–61225. [Google Scholar] [CrossRef] [PubMed]
- Jiang, H.; Zhang, X.; Luo, J.; Dong, C.; Xue, J.; Wei, W.; Chen, J.; Zhou, J.; Gao, Y.; Yang, C. Knockdown of hMex-3A by small RNA interference suppresses cell proliferation and migration in human gastric cancer cells. Mol. Med. Rep. 2012, 6, 575–580. [Google Scholar] [CrossRef]
- Shi, J.W.; Huang, Y. Mex3a expression and survival analysis of bladder urothelial carcinoma. Oncotarget 2017, 8, 54764–54774. [Google Scholar] [CrossRef]
- Chatterji, P.; Rustgi, A.K. RNA Binding Proteins in Intestinal Epithelial Biology and Colorectal Cancer. Trends Mol. Med. 2018, 24, 490–506. [Google Scholar] [CrossRef]
- Fernandez-Barral, A.; Costales-Carrera, A.; Buira, S.P.; Jung, P.; Ferrer-Mayorga, G.; Larriba, M.J.; Bustamante-Madrid, P.; Dominguez, O.; Real, F.X.; Guerra-Pastrian, L.; et al. Vitamin D differentially regulates colon stem cells in patient-derived normal and tumor organoids. FEBS J. 2020, 287, 53–72. [Google Scholar] [CrossRef]
- Pereira, B.; Sousa, S.; Barros, R.; Carreto, L.; Oliveira, P.; Oliveira, C.; Chartier, N.T.; Plateroti, M.; Rouault, J.P.; Freund, J.N.; et al. CDX2 regulation by the RNA-binding protein MEX3A: Impact on intestinal differentiation and stemness. Nucleic Acids Res. 2013, 41, 3986–3999. [Google Scholar] [CrossRef]
- Oda, T.; Yamazumi, Y.; Hiroko, T.; Kamiya, A.; Kiriya, S.; Suyama, S.; Shiozaki-Sato, Y.; Akiyama, T. Mex-3B induces apoptosis by inhibiting miR-92a access to the Bim-3′UTR. Oncogene 2018, 37, 5233–5247. [Google Scholar] [CrossRef]
- Yamazumi, Y.; Sasaki, O.; Imamura, M.; Oda, T.; Ohno, Y.; Shiozaki-Sato, Y.; Nagai, S.; Suyama, S.; Kamoshida, Y.; Funato, K.; et al. The RNA Binding Protein Mex-3B Is Required for IL-33 Induction in the Development of Allergic Airway Inflammation. Cell Rep. 2016, 16, 2456–2471. [Google Scholar] [CrossRef] [PubMed]
- Yamazumi, Y.; Sasaki, O.; Suyama-Fuchino, S.; Kohu, K.; Kamoshida, Y.; Harada, H.; Fujio, K.; Oda, T.; Akiyama, T. The RNA-binding protein Mex-3B plays critical roles in the development of steroid-resistant neutrophilic airway inflammation. Biochem. Biophys. Res. Commun. 2019, 519, 220–226. [Google Scholar] [CrossRef] [PubMed]
- Le Borgne, M.; Chartier, N.; Buchet-Poyau, K.; Destaing, O.; Faurobert, E.; Thibert, C.; Rouault, J.P.; Courchet, J.; Negre, D.; Bouvard, D.; et al. The RNA-binding protein Mex3b regulates the spatial organization of the Rap1 pathway. Development 2014, 141, 2096–2107. [Google Scholar] [CrossRef] [PubMed]
- Xue, M.; Chen, L.Y.; Wang, W.J.; Su, T.T.; Shi, L.H.; Wang, L.; Zhang, W.; Si, J.M.; Wang, L.J.; Chen, S.J. HOTAIR induces the ubiquitination of Runx3 by interacting with Mex3b and enhances the invasion of gastric cancer cells. Gastric Cancer 2018, 21, 756–764. [Google Scholar] [CrossRef]
- Huang, L.; Malu, S.; McKenzie, J.A.; Andrews, M.C.; Talukder, A.H.; Tieu, T.; Karpinets, T.; Haymaker, C.; Forget, M.A.; Williams, L.J.; et al. The RNA-binding Protein MEX3B Mediates Resistance to Cancer Immunotherapy by Downregulating HLA-A Expression. Clin. Cancer Res. 2018, 24, 3366–3376. [Google Scholar] [CrossRef]
- Kalbasi, A.; Ribas, A. Antigen Presentation Keeps Trending in Immunotherapy Resistance. Clin. Cancer Res. 2018, 24, 3239–3241. [Google Scholar] [CrossRef]
- Chao, H.; Deng, L.; Xu, F.; Yu, Z.; Xu, X.; Huang, J.; Zeng, T. MEX3C regulates lipid metabolism to promote bladder tumorigenesis through JNK pathway. Onco. Targets Ther. 2019, 12, 3285–3294. [Google Scholar] [CrossRef]
- Zhang, J.; Zhou, Y.J.; Yu, Z.H.; Chen, A.X.; Yu, Y.; Wang, X.; Cao, X.C. Identification of core genes and clinical roles in pregnancy-associated breast cancer based on integrated analysis of different microarray profile datasets. Biosci. Rep. 2019, 39. [Google Scholar] [CrossRef]
- Cano, F.; Lehner, P.J. A novel post-transcriptional role for ubiquitin in the differential regulation of MHC class I allotypes. Mol. Immunol. 2013, 55, 135–138. [Google Scholar] [CrossRef]
- Yang, L.; Wang, C.; Li, F.; Zhang, J.; Nayab, A.; Wu, J.; Shi, Y.; Gong, Q. The human RNA-binding protein and E3 ligase MEX-3C binds the MEX-3-recognition element (MRE) motif with high affinity. J. Biol. Chem. 2017, 292, 16221–16234. [Google Scholar] [CrossRef]
- Mougeot, J.L.; Bahrani-Mougeot, F.K.; Lockhart, P.B.; Brennan, M.T. Microarray analyses of oral punch biopsies from acute myeloid leukemia (AML) patients treated with chemotherapy. Oral Surg. Oral Med. Oral Pathol. Oral Radiol Endod. 2011, 112, 446–452. [Google Scholar] [CrossRef] [PubMed]
- Schinke, E.N.; Bii, V.; Nalla, A.; Rae, D.T.; Tedrick, L.; Meadows, G.G.; Trobridge, G.D. A novel approach to identify driver genes involved in androgen-independent prostate cancer. Mol. Cancer 2014, 13, 120. [Google Scholar] [CrossRef]
- Guzman, B.; Cormand, B.; Ribases, M.; Gonzalez-Nunez, D.; Botey, A.; Poch, E. Implication of chromosome 18 in hypertension by sibling pair and association analyses: Putative involvement of the RKHD2 gene. Hypertension 2006, 48, 883–891. [Google Scholar] [CrossRef]
- Jiao, Y.; Bishop, C.E.; Lu, B. Mex3c regulates insulin-like growth factor 1 (IGF1) expression and promotes postnatal growth. Mol. Biol. Cell 2012, 23, 1404–1413. [Google Scholar] [CrossRef]
- Okamoto, M.; Kouwaki, T.; Fukushima, Y.; Oshiumi, H. Regulation of RIG-I Activation by K63-Linked Polyubiquitination. Front. Immunol. 2017, 8, 1942. [Google Scholar] [CrossRef]
- Lu, P.; Li, H.; Li, N.; Singh, R.N.; Bishop, C.E.; Chen, X.; Lu, B. MEX3C interacts with adaptor-related protein complex 2 and involves in miR-451a exosomal sorting. PLoS ONE 2017, 12, e0185992. [Google Scholar] [CrossRef] [PubMed]
- Han, C.; Jiao, Y.; Zhao, Q.; Lu, B. Mex3c mutation reduces adiposity partially through increasing physical activity. J. Endocrinol. 2014, 221, 457–468. [Google Scholar] [CrossRef] [PubMed][Green Version]
- Sagata, N.; Kato, T.A.; Kano, S.I.; Ohgidani, M.; Shimokawa, N.; Sato-Kasai, M.; Hayakawa, K.; Kuwano, N.; Wilson, A.M.; Ishizuka, K.; et al. Dysregulated gene expressions of MEX3D, FOS and BCL2 in human induced-neuronal (iN) cells from NF1 patients: A pilot study. Sci. Rep. 2017, 7, 13905. [Google Scholar] [CrossRef]
- Courchet, J.; Buchet-Poyau, K.; Potemski, A.; Bres, A.; Jariel-Encontre, I.; Billaud, M. Interaction with 14-3-3 adaptors regulates the sorting of hMex-3B RNA-binding protein to distinct classes of RNA granules. J. Biol. Chem. 2008, 283, 32131–32142. [Google Scholar] [CrossRef]
- Silipo, M.; Gautrey, H.; Tyson-Capper, A. Deregulation of splicing factors and breast cancer development. J. Mol. Cell Biol. 2015, 7, 388–401. [Google Scholar] [CrossRef]
- Yang, D.; Jiao, Y.; Li, Y.; Fang, X. Clinical characteristics and prognostic value of MEX3A mRNA in liver cancer. Peer J. 2020, 8, e8252. [Google Scholar] [CrossRef]
- Zeng, T.; Peng, L.; Chao, C.; Fu, B.; Wang, G.; Wang, Y.; Zhu, X. miR-451 inhibits invasion and proliferation of bladder cancer by regulating EMT. Int. J. Clin. Exp. Pathol. 2014, 7, 7653–7662. [Google Scholar]
- Zhang, H.; Xing, Z.; Mani, S.K.; Bancel, B.; Durantel, D.; Zoulim, F.; Tran, E.J.; Merle, P.; Andrisani, O. RNA helicase DEAD box protein 5 regulates Polycomb repressive complex 2/Hox transcript antisense intergenic RNA function in hepatitis B virus infection and hepatocarcinogenesis. Hepatology 2016, 64, 1033–1048. [Google Scholar] [CrossRef]
- Muthalagu, N.; Junttila, M.R.; Wiese, K.E.; Wolf, E.; Morton, J.; Bauer, B.; Evan, G.I.; Eilers, M.; Murphy, D.J. BIM is the primary mediator of MYC-induced apoptosis in multiple solid tissues. Cell Rep. 2014, 8, 1347–1353. [Google Scholar] [CrossRef] [PubMed]
- Rodriguez, J.A. HLA-mediated tumor escape mechanisms that may impair immunotherapy clinical outcomes via T-cell activation. Oncol. Lett. 2017, 14, 4415–4427. [Google Scholar] [CrossRef] [PubMed]
- Moududee, S.A.; Jiang, Y.; Gilbert, N.; Xie, G.; Xu, Z.; Wu, J.; Gong, Q.; Tang, Y.; Shi, Y. Structural and functional characterization of hMEX-3C Ring finger domain as an E3 ubiquitin ligase. Protein Sci. 2018, 27, 1661–1669. [Google Scholar] [CrossRef] [PubMed]
- Yang, Y.; Wang, S.Y.; Huang, Z.F.; Zou, H.M.; Yan, B.R.; Luo, W.W.; Wang, Y.Y. The RNA-binding protein Mex3B is a coreceptor of Toll-like receptor 3 in innate antiviral response. Cell Res. 2016, 26, 288–303. [Google Scholar] [CrossRef] [PubMed]
- Bukur, J.; Jasinski, S.; Seliger, B. The role of classical and non-classical HLA class I antigens in human tumors. Semin. Cancer Biol. 2012, 22, 350–358. [Google Scholar] [CrossRef] [PubMed]
- Friedrich, M.; Jasinski-Bergner, S.; Lazaridou, M.F.; Subbarayan, K.; Massa, C.; Tretbar, S.; Mueller, A.; Handke, D.; Biehl, K.; Bukur, J.; et al. Tumor-induced escape mechanisms and their association with resistance to checkpoint inhibitor therapy. Cancer Immunol. Immunother. 2019, 68, 1689–1700. [Google Scholar] [CrossRef]
- Holmstrom, M.O.; Cordua, S.; Skov, V.; Kjaer, L.; Pallisgaard, N.; Ellervik, C.; Hasselbalch, H.C.; Andersen, M.H. Evidence of immune elimination, immuno-editing and immune escape in patients with hematological cancer. Cancer Immunol. Immunother. 2020, 69, 315–324. [Google Scholar] [CrossRef]
- Labani-Motlagh, A.; Ashja-Mahdavi, M.; Loskog, A. The Tumor Microenvironment: A Milieu Hindering and Obstructing Antitumor Immune Responses. Front. Immunol. 2020, 11, 940. [Google Scholar] [CrossRef] [PubMed]
- Guillaudeux, T.; Rodriguez, A.M.; Girr, M.; Mallet, V.; Ellis, S.A.; Sargent, I.L.; Fauchet, R.; Alsat, E.; Le Bouteiller, P. Methylation status and transcriptional expression of the MHC class I loci in human trophoblast cells from term placenta. J. Immunol. 1995, 154, 3283–3299. [Google Scholar] [PubMed]
- Jasinski-Bergner, S.; Stoehr, C.; Bukur, J.; Massa, C.; Braun, J.; Huttelmaier, S.; Spath, V.; Wartenberg, R.; Legal, W.; Taubert, H.; et al. Clinical relevance of miR-mediated HLA-G regulation and the associated immune cell infiltration in renal cell carcinoma. Oncoimmunology 2015, 4, e1008805. [Google Scholar] [CrossRef] [PubMed]




| MEX-3 Homolog | Main Characterization | Reference |
|---|---|---|
| MEX-3A | enhanced cell proliferation and inhibition of apoptosis in bladder cancer | [24] |
| enhanced cell proliferation, anchorage-independent growth and migration in gastric cancer | [25] | |
| higher expression in papillary type bladder urothelial cancer, but no effect on prognosis | [26] | |
| presence of a nuclear export sequence, connected to colorectal cancer | [27] | |
| stemness-related gene, upregulation by calcitriol in tumor organoids | [28] | |
| regulator of post-transcriptional and post-translational control by ubiquitination of target mRNAs/proteins like CDX2 mRNA and the RIG-I protein | [10,29] | |
| MEX-3B | induction of apoptosis by miR-92a targeting Bim | [30] |
| inhibition miR-487b-3p and upregulation of IL-33 | [31] | |
| upregulation of CXCL2, induction of neutrophil chemotaxis and migration | [32] | |
| regulation of Rap1 pathway | [33] | |
| ubiquitination of Runx3 and increase invasion of gastric cancer cells | [34] | |
| downregulation of HLA-A expression | [35] | |
| post-transcriptional regulator of HLA-A | [36] | |
| MEX-3C | suppression of cancer chromosomal instability | [17] |
| targeted by miR-451a in colorectal cancer after radio therapy | [23] | |
| regulation of lipid metabolism through JNK pathway in bladder cancer | [37] | |
| downregulation in pregnancy-associated breast cancer | [38] | |
| degradation of MHC I mRNA by ubiquitination | [9] | |
| activation of NK cells increases MEX-3C levels | [39] | |
| binding to the MRE10 motif CAGAGUUUAG | [40] | |
| regulator of post-transcriptional and post-translational control by ubiquitination of target mRNAs/proteins like MHC class I mRNA and the RIG-I protein | [11,12] | |
| MEX-3D | modulation by chemotherapy in AML | [41] |
| overexpression in androgen-independent prostate cancer | [42] |
| Cancer | MEX-3A | MEX-3B | MEX-3C | MEX-3D |
|---|---|---|---|---|
| Bladder | 0.333 | 0.858 | 0.667 | 0.016 high better |
| Breast | 0.852 | 0.399 | 0.305 | 0.719 |
| Cervical | 0.920 | 0.839 | 0.065 low better | 0.358 |
| Head and Neck | 0.336 | 0.907 | 0.757 | 0.416 |
| Kidney Clear Cell | 7.9 × 10−03 low better | 4.1 × 10−04 low better | 0.565 | 0.141 |
| Kidney Papillary | 0.415 | 0.037 low better | 0.081 low better | 0.036 low better |
| Liver | 5.0 × 10−03 high better | 0.626 | 0.017 low better | 0.831 |
| Lung | 0.072 high better | 0.943 | 0.177 | 0.033 low better |
| Skin | 0.357 | 0.139 | 0.018 high better | 0.283 |
| Correlated Expression | MEX-3A | MEX-3B | MEX-3C | MEX-3D |
|---|---|---|---|---|
| HLA-A | R = −0.257 p = 1.48 × 10−03 | R = −0.111 p = 0.176 | R = −0.294 p = 2.59 × 10−04 | R = −0.447 p = 9.97 × 10−09 |
| HLA-B | R = −0.175 p = 0.032 | R = −0.045 p = 0.583 | R = −0.174 p = 0.034 | R = −0.372 p = 2.77 × 10−06 |
| HLA-C | R = −0.284 p = 4.32 × 10−04 | R = −0.126 p = 0.125 | R = −0.254 p = 1.70 × 10−03 | R = −0.288 p = 3.60 × 10−04 |
| B2M | R = −0.135 p = 0.099 | R = 0.061 p = 0.456 | R = −0.102 p = 0.213 | R = −0.385 p = 1.17 × 10−06 |
| TAP1 | R = −0.161 p = 0.050 | R = 0.019 p = 0.819 | R = −0.039 p = 0.635 | R = −0.376 p = 2.14 × 10−06 |
| TAP2 | R = −0.167 p = 0.041 | R = 0.046 p = 0.579 | R = −0.013 p = 0.877 | R = −0.339 p = 2.15 × 10−05 |
| TPN | R = −0.134 p = 0.103 | R = −0.032 p = 0.699 | R = −0.293 p = 2.76 × 10−04 | R = −0.457 p = 4.02 × 10−09 |
| CALR | R = −0.329 p = 3.95 × 10−05 | R = −0.520 p = 8.70 × 10−12 | R = −0.458 p = 3.67 × 10−09 | R = 0.075 p = 0.362 |
| CANX | R = −0.526 p = 4.65 × 10−12 | R = −0.483 p = 3.99 × 10−10 | R = −0.133 p = 0.105 | R = −0.182 p = 0.026 |
| ERP57 | R = −0.069 p = 0.404 | R = −0.036 p = 0.661 | R = 0.015 p = 0.858 | R = −0.155 p = 0.058 |
| ERAP1 | R = −0.114 p = 0.165 | R = 0.034 p = 0.681 | R = −0.132 p = 0.107 | R = −0.133 p = 0.104 |
| ERAP2 | R = −0.010 p = 0.907 | R = −0.023 p = 0.779 | R = −0.126 p =0.123 | R = −0.295 p = 2.52 × 10−04 |
| LMP2 | R = −0.150 p = 0.068 | R = −0.036 p = 0.661 | R = −0.159 p = 0.053 | R = −0.412 p = 1.68 × 10−07 |
| LMP7 | R = −0.162 p = 0.048 | R = −0.022 p = 0.788 | R = −0.255 p = 1.64 × 10−03 | R =−0.398 p = 4.55 × 10−07 |
| LMP10 | R = −0.201 p = 0.014 | R = −0.161 p = 0.049 | R = −0.340 p = 2.02 × 10−05 | R =−0.521 p = 8.59 × 10−12 |
| PDL1 | R = −0.077 p = 0.347 | R = 0.060 p = 0.469 | R = 0.302 p = 1.72 × 10−04 | R = −0.301 p = 1.80 × 10−04 |
| HLA-E | R = −0.236 p = 3.61 × 10−03 | R = −0.004 p = 0.963 | R = −0.089 p = 0.280 | R = −0.329 p = 3.94 × 10−05 |
| HLA-G | R = −0.410 p = 1.89 × 10−07 | R = −0.176 p = 0.032 | R = −0.168 p = 0.040 | R = −0.210 p = 9.92 × 10−03 |
| IFNG | R = −0.087 p = 0.291 | R = 0.015 p = 0.859 | R = 0.160 p = 0.050 | R =−0.249 p = 2.08 × 10−03 |
| IFNGR1 | R = −0.035 p = 0.674 | R = 0.135 p = 0.099 | R = −0.038 p = 0.641 | R = −0.478 p = 6.38 × 10−10 |
| IFNGR2 | R = 0.054 p = 0.515 | R = −0.054 p = 0.514 | R = −0.430 p = 3.95 × 10−08 | R = −0.178 p = 0.029 |
| JAK1 | R = 0.204 p = 0.012 | R = 0.517 p = 1.24 × 10−11 | R = 0.288 p = 3.46 × 10−04 | R = −0.138 p =0.093 |
| JAK2 | R = 0.145 p = 0.076 | R = 0.398 p = 4.56 × 10−07 | R = 0.266 p = 9.85 × 10−04 | R = −0.296 p = 2.31 × 10−04 |
| STAT1 | R = 0.116 p = 0.158 | R = 0.219 p = 7.00 × 10−03 | R = 0.266 p = 1.01 × 10−03 | R = −0.204 p = 0.012 |
| IRF1 | R = −0.171 p = 0.036 | R = 0.046 p = 0.580 | R = −0.047 p = 0.566 | R = −0.438 p = 2.13 × 10−08 |
© 2020 by the authors. Licensee MDPI, Basel, Switzerland. This article is an open access article distributed under the terms and conditions of the Creative Commons Attribution (CC BY) license (http://creativecommons.org/licenses/by/4.0/).
Share and Cite
Jasinski-Bergner, S.; Steven, A.; Seliger, B. The Role of the RNA-Binding Protein Family MEX-3 in Tumorigenesis. Int. J. Mol. Sci. 2020, 21, 5209. https://doi.org/10.3390/ijms21155209
Jasinski-Bergner S, Steven A, Seliger B. The Role of the RNA-Binding Protein Family MEX-3 in Tumorigenesis. International Journal of Molecular Sciences. 2020; 21(15):5209. https://doi.org/10.3390/ijms21155209
Chicago/Turabian StyleJasinski-Bergner, Simon, André Steven, and Barbara Seliger. 2020. "The Role of the RNA-Binding Protein Family MEX-3 in Tumorigenesis" International Journal of Molecular Sciences 21, no. 15: 5209. https://doi.org/10.3390/ijms21155209
APA StyleJasinski-Bergner, S., Steven, A., & Seliger, B. (2020). The Role of the RNA-Binding Protein Family MEX-3 in Tumorigenesis. International Journal of Molecular Sciences, 21(15), 5209. https://doi.org/10.3390/ijms21155209
