Design, Synthesis, and Anti-Hepatic Fibrosis Evaluation of Cordycepin Derivatives
Abstract
1. Introduction
2. Results and Discussion
2.1. Chemistry
2.2. SAR Studies of Cordycepin Derivatives Inhibiting HSCs Activation
2.3. α-SMA Inhibition Activity and In Vitro Metabolic Stability of 3a and 3b
2.4. In Vitro Anti-Fibrotic Effects and AMPK Activating Effects of 3a
3. Materials and Methods
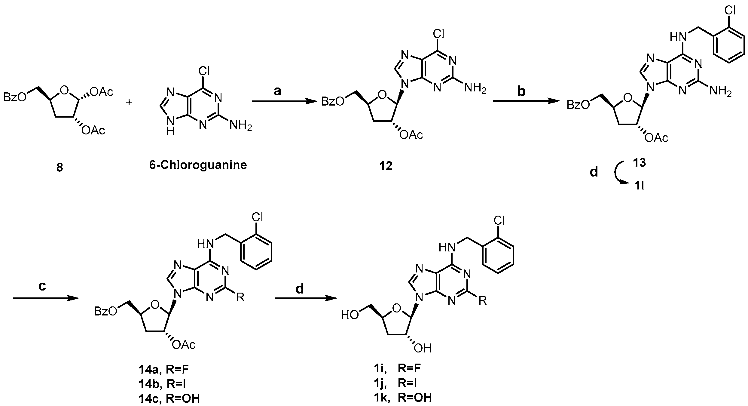
3.1. Compound Synthesis and Characterization
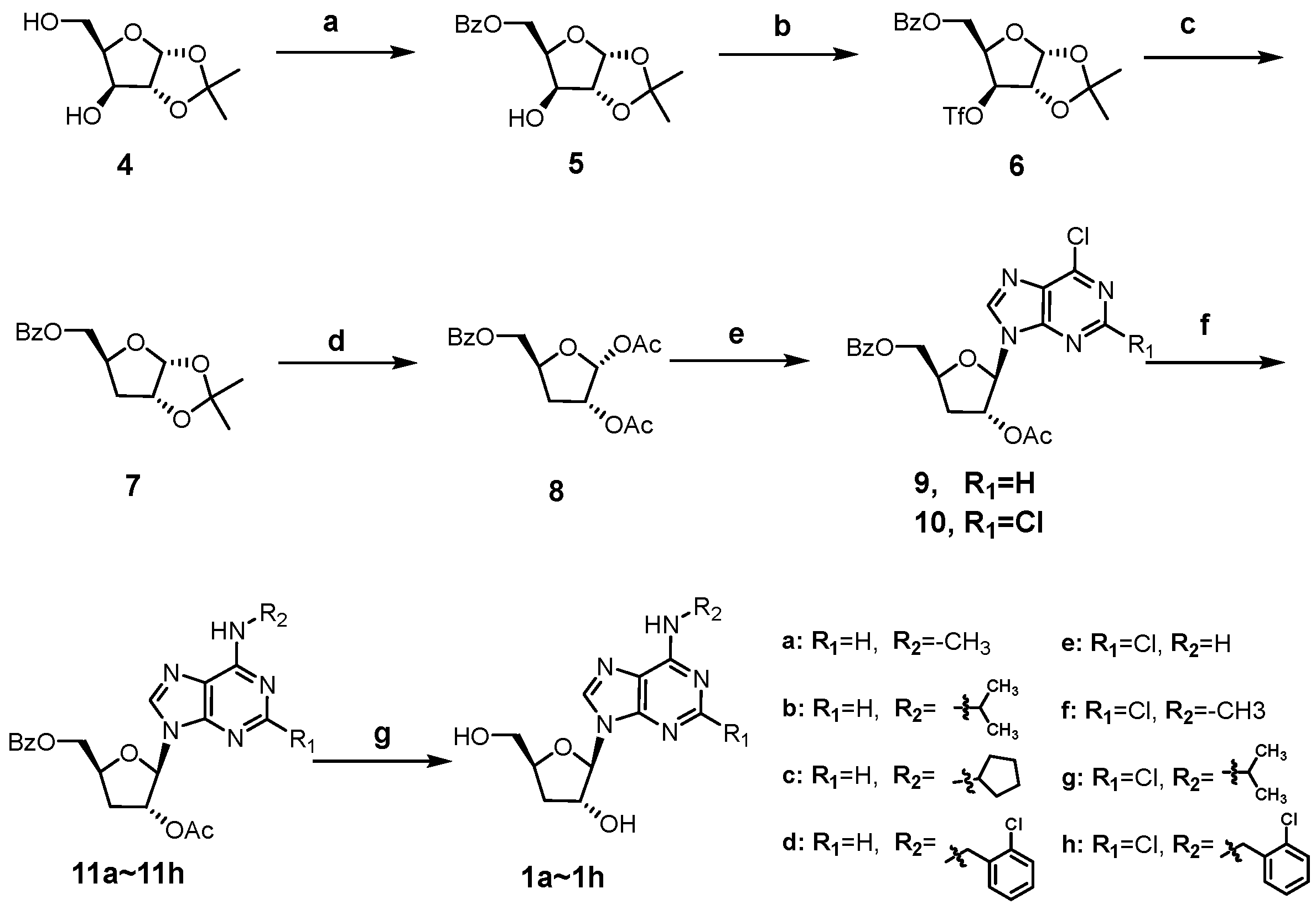
3.1.1. ((3aR,5R,6S,6aR)-6-Hydroxy-2,2-dimethyltetrahydrofuro[2,3-d][1,3]dioxol-5-yl)methyl Benzoate (5)
3.1.2. ((3aR,5S,6aR)-2,2-Dimethyltetrahydrofuro[2,3-d][1,3]dioxol-5-yl)methyl Benzoate (7)
3.1.3. (2R,3R,5S)-5-((Benzoyloxy)methyl)tetrahydrofuran-2,3-diyl Diacetate (8)
3.1.4. ((2S,4R,5R)-4-Acetoxy-5-(6-chloro-9H-purin-9-yl)tetrahydrofuran-2-yl)methyl Benzoate (9)
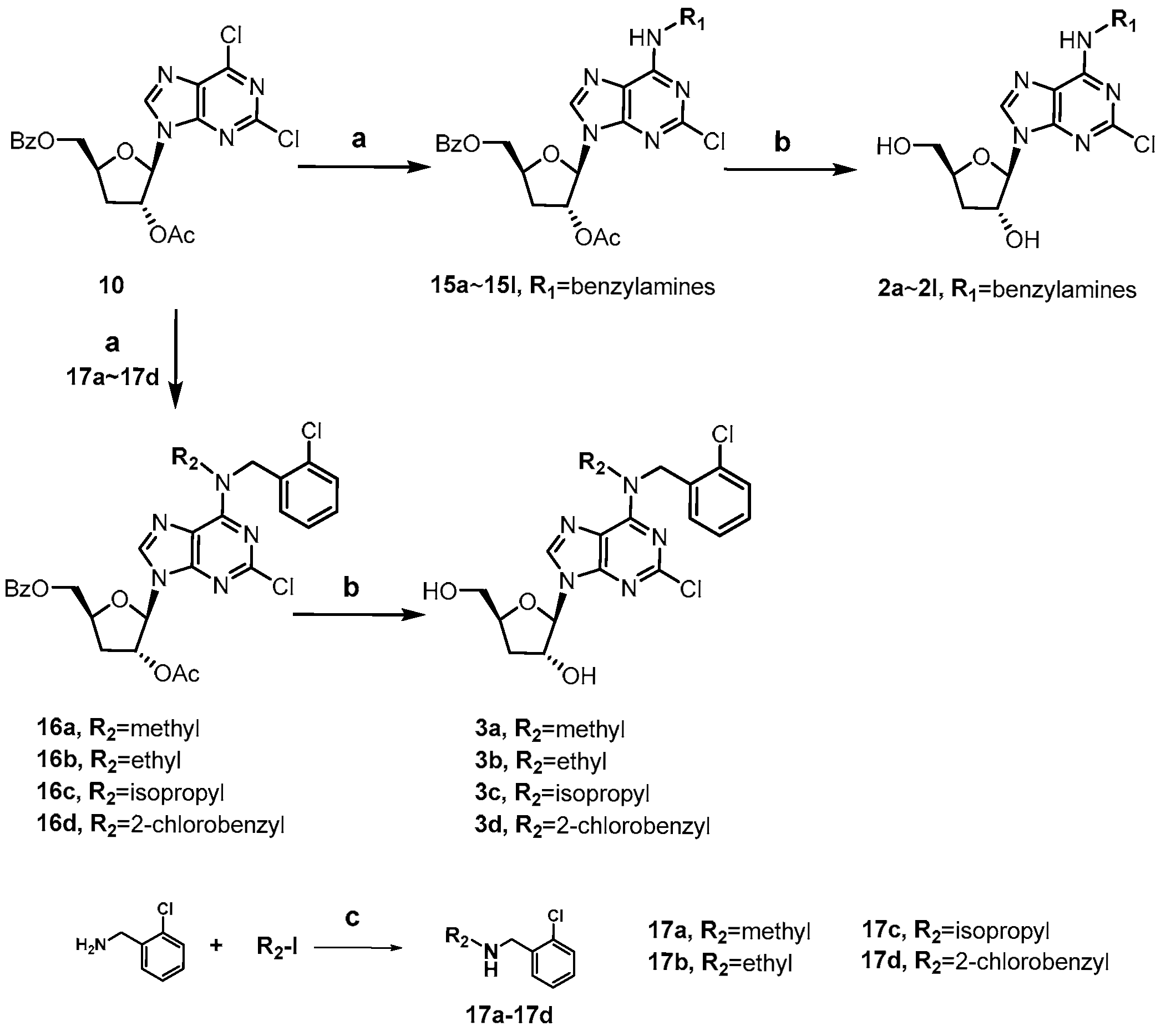
3.1.5. ((2S,4R,5R)-4-Acetoxy-5-(2,6-dichloro-9H-purin-9-yl)tetrahydrofuran-2-yl)methyl Benzoate (10)
3.1.6. General Procedure A for the Synthesis of Compounds 11, 13, 15, and 16
3.1.7. General Procedure B for the Synthesis of Compounds 1, 2, and 3
3.1.8. (2R,3R,5S)-5-(Hydroxymethyl)-2-(6-(methylamino)-9H-purin-9-yl)tetrahydrofuran-3-ol (1a)
3.1.9. (2R,3R,5S)-5-(Hydroxymethyl)-2-(6-(isopropylamino)-9H-purin-9-yl)tetrahydrofuran-3-ol (1b)
3.1.10. (2R,3R,5S)-2-(6-(Cyclopentylamino)-9H-purin-9-yl)-5-(hydroxymethyl)tetrahydrofuran-3-ol (1c)
3.1.11. (2R,3R,5S)-2-(6-((2-Chlorobenzyl)amino)-9H-purin-9-yl)-5-(hydroxymethyl)tetrahydrofuran-3-ol (1d)
3.1.12. (2R,3R,5S)-2-(6-Amino-2-chloro-9H-purin-9-yl)-5-(hydroxymethyl)tetrahydrofuran-3-ol (1e)
3.1.13. (2R,3R,5S)-2-(2-Chloro-6-(methylamino)-9H-purin-9-yl)-5-(hydroxymethyl)tetrahydrofuran-3-ol (1f)
3.1.14. (2R,3R,5S)-2-(2-Chloro-6-(isopropylamino)-9H-purin-9-yl)-5-(hydroxymethyl)tetrahydrofuran-3-ol (1g)
3.1.15. (2R,3R,5S)-2-(2-Chloro-6-((2-chlorobenzyl)amino)-9H-purin-9-yl)-5-(hydroxymethyl)tetrahydrofuran-3-ol (1h)
3.1.16. ((2S,4R,5R)-4-Acetoxy-5-(2-amino-6-chloro-9H-purin-9-yl)tetrahydrofuran-2-yl)methyl Benzoate (12)
3.1.17. ((2S,4R,5R)-4-Acetoxy-5-(2-amino-6-((2-chlorobenzyl) amino)-9H-purin-9-yl)tetrahydrofuran-2-yl)methyl Benzoate (13)
3.1.18. ((2S,4R,5R)-4-Acetoxy-5-(6-((2-chlorobenzyl)amino)-2-fluoro-9H-purin-9-yl)tetrahydrofuran-2-yl)methyl Benzoate (14a)
3.1.19. ((2S,4R,5R)-4-Acetoxy-5-(6-((2-chlorobenzyl)amino)-2-iodo-9H-purin-9-yl) tetrahydrofuran-2-yl)methyl Benzoate (14b)
3.1.20. ((2S,4R,5R)-4-Acetoxy-5-(6-((2-chlorobenzyl)amino)-2-hydroxy-9H-purin-9-yl)tetrahydrofuran-2-yl)methyl Benzoate (14c)
3.1.21. (2R,3R,5S)-2-(6-((2-Chlorobenzyl)amino)-2-fluoro-9H-purin-9-yl)-5-(hydroxymethyl)tetrahydrofuran-3-ol (1i)
3.1.22. (2R,3R,5S)-2-(6-((2-Chlorobenzyl)amino)-2-iodo-9H-purin-9-yl)-5-(hydroxymethyl)tetrahydrofuran-3-ol (1j)
3.1.23. 6-((2-Chlorobenzyl)amino)-9-((2R,3R,5S)-3-hydroxy-5-(hydroxymethyl)tetra hydrofuran-2-yl)-9H-purin-2-ol (1k)
3.1.24. (2R,3R,5S)-2-(2-Amino-6-((2-chlorobenzyl)amino)-9H-purin-9-yl)-5-(hydroxymethyl)tetrahydrofuran-3-ol (1l)
3.1.25. (2R,3R,5S)-2-(2-Chloro-6-((3-chlorobenzyl)amino)-9H-purin-9-yl)-5-(hydroxymethyl)tetrahydrofuran-3-ol (2a)
3.1.26. (2R,3R,5S)-2-(2-Chloro-6-((4-chlorobenzyl)amino)-9H-purin-9-yl)-5-(hydroxymethyl)tetrahydrofuran-3-ol (2b)
3.1.27. (2R,3R,5S)-2-(2-Chloro-6-((2-fluorobenzyl)amino)-9H-purin-9-yl)-5-(hydroxymethyl)tetrahydrofuran-3-ol (2c)
3.1.28. (2R,3R,5S)-2-(6-((2-Bromobenzyl)amino)-2-chloro-9H-purin-9-yl)-5-(hydroxymethyl)tetrahydrofuran-3-ol (2d)
3.1.29. (2R,3R,5S)-2-(2-Chloro-6-((2-iodobenzyl)amino)-9H-purin-9-yl)-5-(hydroxymethyl)tetrahydrofuran-3-ol (2e)
3.1.30. (2R,3R,5S)-2-(2-Chloro-6-((2-(trifluoromethyl)benzyl) amino)-9H-purin-9-yl)-5-(hydroxymethyl)tetrahydrofuran-3-ol (2f)
3.1.31. 2-(((2-Chloro-9-((2R,3R,5S)-3-hydroxy-5-(hydroxymethyl)tetrahydrofuran-2-yl)-9H-purin-6-yl)amino)methyl)benzonitr-ile (2g)
3.1.32. (2R,3R,5S)-2-(2-Chloro-6-((2-hydroxybenzyl)amino)-9H-purin-9-yl)-5-(hydroxy methyl)tetrahydrofuran-3-ol (2h)
3.1.33. (2R,3R,5S)-2-(2-Chloro-6-((2-methoxybenzyl)amino)-9H-purin-9-yl)-5-(hydroxymethyl)tetrahydrofuran-3-ol (2i)
3.1.34. (2R,3R,5S)-2-(2-Chloro-6-(((S)-1-(2-chlorophenyl)ethyl) amino)-9H-purin-9-yl)-5-(hydroxymethyl)tetrahydrofuran-3-ol (2j)
3.1.35. (2R,3R,5S)-2-(2-Chloro-6-(((R)-1-(2-chlorophenyl)ethyl) amino)-9H-purin-9-yl)-5-(hydroxymethyl)tetrahydrofuran-3-ol (2k)
3.1.36. (2R,3R,5S)-2-(2-Chloro-6-((1-(2-chlorophenyl)cyclopropyl)amino)-9H-purin-9-yl)-5-(hydroxymethyl)tetrahydrofuran-3-ol (2l)
3.1.37. General Procedure C for the Synthesis of 16a~16d
3.1.38. (2R,3R,5S)-2-(2-Chloro-6-((2-chlorobenzyl)(methyl) amino)-9H-purin-9-yl)-5-(hydroxymethyl)tetrahydrofuran-3-ol (3a)
3.1.39. (2R,3R,5S)-2-(2-Chloro-6-((2-chlorobenzyl)(ethyl)amino)-9H-purin-9-yl)-5-(hydroxymethyl)tetrahydrofuran-3-ol (3b)
3.1.40. (2R,3R,5S)-2-(2-Chloro-6-((2-chlorobenzyl)(isopropyl) amino)-9H-purin-9-yl)-5-(hydroxymethyl)tetrahydrofuran-3-ol (3c)
3.1.41. (2R,3R,5S)-2-(2-Chloro-6-((2-chlorobenzyl)(2-fluoroethyl)amino)-9H-purin-9-yl)-5-(hydroxymethyl)tetrahydrofuran-3-ol (3d)
3.2. Biological Assays
3.2.1. Cell Culture
3.2.2. Cell Treatment
3.2.3. Quantitative Real-Time Polymerase Chain Reaction
3.2.4. Western Blot Analysis
3.2.5. CTG Assay
3.2.6. Cell Scratch Test
3.2.7. Microsome Stability Measurements
3.2.8. Statistic
4. Conclusions
Supplementary Materials
Author Contributions
Funding
Institutional Review Board Statement
Informed Consent Statement
Data Availability Statement
Conflicts of Interest
References
- Kisseleva, T.; Brenner, D. Molecular and cellular mechanisms of liver fibrosis and its regression. Nat. Rev. Gastroenterol. Hepatol. 2021, 18, 151–166. [Google Scholar] [CrossRef] [PubMed]
- Henderson, N.C.; Rieder, F.; Wynn, T.A. Fibrosis: From mechanisms to medicines. Nature 2020, 587, 555–566. [Google Scholar] [CrossRef] [PubMed]
- Rockey, D.C.; Bell, P.D.; Hill, J.A. Fibrosis—A common pathway to organ injury and failure. N. Engl. J. Med. 2015, 372, 1138–1149. [Google Scholar] [CrossRef] [PubMed]
- Horn, P.; Tacke, F. Metabolic reprogramming in liver fibrosis. Cell Metab. 2024, 36, 1439–1455. [Google Scholar] [CrossRef]
- Ginès, P.; Krag, A.; Abraldes, J.G.; Solà, E.; Fabrellas, N.; Kamath, P.S. Liver cirrhosis. Lancet 2021, 398, 1359–1376. [Google Scholar] [CrossRef]
- Nozaki, A.; Chuma, M.; Hara, K.; Moriya, S.; Fukuda, H.; Numata, K.; Tanaka, K.; Morimoto, M.; Sakamaki, K.; Yamanaka, T.; et al. Sofosbuvir-based therapies associated with regression of liver fibrosis in patients with hepatitis C virus infection: A prospective observational study. Medicine 2021, 100, e25110. [Google Scholar] [CrossRef]
- Wang, X.; Wang, L.; Geng, L.; Tanaka, N.; Ye, B. Resmetirom Ameliorates NASH-Model Mice by Suppressing STAT3 and NF-κB Signaling Pathways in an RGS5-Dependent Manner. Int. J. Mol. Sci. 2023, 24, 5843. [Google Scholar] [CrossRef]
- Higashi, T.; Friedman, S.L.; Hoshida, Y. Hepatic stellate cells as key target in liver fibrosis. Adv. Drug Deliv. Rev. 2017, 121, 27–42. [Google Scholar] [CrossRef]
- Tsuchida, T.; Friedman, S.L. Mechanisms of hepatic stellate cell activation. Nat. Rev. Gastroenterol. Hepatol. 2017, 14, 397–411. [Google Scholar] [CrossRef]
- Puche, J.E.; Saiman, Y.; Friedman, S.L. Hepatic stellate cells and liver fibrosis. Compr. Physiol. 2013, 3, 1473–1492. [Google Scholar] [CrossRef]
- Baghaei, K.; Mazhari, S.; Tokhanbigli, S.; Parsamanesh, G.; Alavifard, H.; Schaafsma, D.; Ghavami, S. Therapeutic potential of targeting regulatory mechanisms of hepatic stellate cell activation in liver fibrosis. Drug Discov. Today 2022, 27, 1044–1061. [Google Scholar] [CrossRef] [PubMed]
- Tuli, H.S.; Sharma, A.K.; Sandhu, S.S.; Kashyap, D. Cordycepin: A bioactive metabolite with therapeutic potential. Life Sci. 2013, 93, 863–869. [Google Scholar] [CrossRef] [PubMed]
- Yang, D.; Peng, N.; Zhang, H.; Qiu, Z.; Xu, L.; Pan, M. Cordycepin ameliorates autoimmunity by promoting STING degradation via autophagy pathway. Br. J. Pharmacol. 2025, 182, 1546–1560. [Google Scholar] [CrossRef] [PubMed]
- Imamura, K.; Asai, M.; Sugamoto, K.; Matsumoto, T.; Yamasaki, Y.; Kamei, I.; Hattori, T.; Kishimoto, M.; Niisaka, S.; Kubo, M.; et al. Suppressing effect of cordycepin on the lipopolysaccharide-induced nitric oxide production in RAW 264.7 cells. Biosci. Biotechnol. Biochem. 2015, 79, 1021–1025. [Google Scholar] [CrossRef]
- Han, N.-R.; Moon, P.-D.; Kim, H.-M.; Jeong, H.-J. Cordycepin ameliorates skin inflammation in a DNFB-challenged murine model of atopic dermatitis. Immunopharmacol. Immunotoxicol. 2018, 40, 401–407. [Google Scholar] [CrossRef]
- Wang, Z.; Wu, X.; Liang, Y.-N.; Wang, L.; Song, Z.-X.; Liu, J.-L.; Tang, Z.-S. Cordycepin Induces Apoptosis and Inhibits Proliferation of Human Lung Cancer Cell Line H1975 via Inhibiting the Phosphorylation of EGFR. Molecules 2016, 21, 1267. [Google Scholar] [CrossRef]
- Cui, L.; Zhao, L.; Shen, G.; Yu, D.; Yuan, T.; Zhang, Y.; Yang, B. Antitumor Mechanism and Therapeutic Potential of Cordycepin Derivatives. Molecules 2024, 29, 483. [Google Scholar] [CrossRef]
- Lee, H.K.; Na, Y.-J.; Seong, S.-M.; Ahn, D.; Choi, K.-C. Cordycepin Enhanced Therapeutic Potential of Gemcitabine against Cholangiocarcinoma via Downregulating Cancer Stem-Like Properties. Biomol. Ther. 2024, 32, 369–378. [Google Scholar] [CrossRef]
- Lee, Y.-P.; Yu, C.-K.; Wong, T.-W.; Chen, L.-C.; Huang, B.-M. Cordycepin Inhibits Enterovirus A71 Replication and Protects Host Cell from Virus-Induced Cytotoxicity through Adenosine Action Pathway. Viruses 2024, 16, 352. [Google Scholar] [CrossRef]
- Rottenberg, M.E.; Masocha, W.; Ferella, M.; Petitto-Assis, F.; Goto, H.; Kristensson, K.; McCaffrey, R.; Wigzell, H. Treatment of African trypanosomiasis with cordycepin and adenosine deaminase inhibitors in a mouse model. J. Infect. Dis. 2005, 192, 1658–1665. [Google Scholar] [CrossRef]
- Wei, H.-P.; Ye, X.-L.; Chen, Z.; Zhong, Y.-J.; Li, P.-M.; Pu, S.-C.; Li, X.-G. Synthesis and pharmacokinetic evaluation of novel N-acyl-cordycepin derivatives with a normal alkyl chain. Eur. J. Med. Chem. 2009, 44, 665–669. [Google Scholar] [CrossRef] [PubMed]
- Serpi, M.; Ferrari, V.; McGuigan, C.; Ghazaly, E.; Pepper, C. Synthesis and Characterization of NUC-7738, an Aryloxy Phosphoramidate of 3′-Deoxyadenosine, as a Potential Anticancer Agent. J. Med. Chem. 2022, 65, 15789–15804. [Google Scholar] [CrossRef] [PubMed]
- Wang, M.; Han, Z.; Fan, B.; Qu, K.; Zhang, W.; Li, W.; Li, J.; Li, L.; Li, J.; Li, H.; et al. Discovery of Oral AMP-Activated Protein Kinase Activators for Treating Hyperlipidemia. J. Med. Chem. 2024, 67, 7870–7890. [Google Scholar] [CrossRef] [PubMed]
- Hulpia, F.; Campagnaro, G.D.; Alzahrani, K.J.; Alfayez, I.A.; Ungogo, M.A.; Mabille, D.; Maes, L.; Koning, H.P.d.; Caljon, G.; van Calenbergh, S. Structure-Activity Relationship Exploration of 3′-Deoxy-7-deazapurine Nucleoside Analogues as Anti-Trypanosoma brucei Agents. ACS Infect. Dis. 2020, 6, 2045–2056. [Google Scholar] [CrossRef]
- Qu, S.; Wang, Q.; Wang, Y.; Li, L.; Zhu, L.; Kuang, X.; Wang, X.; Li, H.; Zhao, L.; Dai, H. Design, synthesis, antibacterial/antitumor activity and in vitro stability of novel cordycepin derivatives with unsaturated fatty acid chain. Eur. J. Pharm. Sci. 2023, 187, 106466. [Google Scholar] [CrossRef]
- Liu, Y.; Sheng, M.; Jia, L.; Zhu, M.; Yu, W. Protective effects of cordycepin pretreatment against liver ischemia/reperfusion injury in mice. Immun. Inflamm. Dis. 2023, 11, e792. [Google Scholar] [CrossRef]
- Lan, T.; Yu, Y.; Zhang, J.; Li, H.; Weng, Q.; Jiang, S.; Tian, S.; Xu, T.; Hu, S.; Yang, G.; et al. Cordycepin Ameliorates Nonalcoholic Steatohepatitis by Activation of the AMP-Activated Protein Kinase Signaling Pathway. Hepatology 2021, 74, 686–703. [Google Scholar] [CrossRef]
- Chen, S.; Suo, J.; Wang, Y.; Tang, C.; Ma, B.; Li, J.; Hou, Y.; Yan, B.; Shen, T.; Zhang, Q.; et al. Cordycepin alleviates diabetes mellitus-associated hepatic fibrosis by inhibiting SOX9-mediated Wnt/β-catenin signal axis. Bioorg. Chem. 2024, 153, 107812. [Google Scholar] [CrossRef]
- Liang, Z.; Zhang, K.; Guo, H.; Tang, X.; Chen, M.; Shi, J.; Yang, J. Cordycepin alleviates hepatic fibrosis in association with the inhibition of glutaminolysis to promote hepatic stellate cell senescence. Int. Immunopharmacol. 2024, 132, 111981. [Google Scholar] [CrossRef]
- Xu, L.; Hui, A.Y.; Albanis, E.; Arthur, M.J.; O’Byrne, S.M.; Blaner, W.S.; Mukherjee, P.; Friedman, S.L.; Eng, F.J. Human hepatic stellate cell lines, LX-1 and LX-2: New tools for analysis of hepatic fibrosis. Gut 2005, 54, 142–151. [Google Scholar] [CrossRef]
- Mort, C.J.W.; Migaud, M.E.; Galione, A.; Potter, B.V.L. Aplysia californica mediated cyclisation of novel 3′-modified NAD+ analogues: A role for hydrogen bonding in the recognition of cyclic adenosine 5′-diphosphate ribose. Bioorg. Med. Chem. 2004, 12, 475–487. [Google Scholar] [CrossRef]
- Da Paixão Soares, F.; Silva, M.J.E.; Doboszewski, B. Deoxygenation at the C3 position of D- and L-arabinofuranose: Stereospecific access to enantiomeric cordycepose derivatives. Carbohydr. Res. 2013, 380, 143–148. [Google Scholar] [CrossRef] [PubMed]
- Ramasamy, K.S.; Tam, R.C.; Bard, J.; Averett, D.R. Monocyclic L-nucleosides with type 1 cytokine-inducing activity. J. Med. Chem. 2000, 43, 1019–1028. [Google Scholar] [CrossRef] [PubMed]
- Vorbrüggen, H.; Höfle, G. Nucleoside Syntheses, XXIII 1) On the Mechanism of Nucleoside Synthesis. Chem. Ber. 1981, 114, 1256–1268. [Google Scholar] [CrossRef]
- Piecyk, K.; Davis, R.E.; Jankowska-Anyszka, M. Synthesis of N2-modified 7-methylguanosine 5′-monophosphates as nematode translation inhibitors. Bioorg. Med. Chem. 2012, 20, 4781–4789. [Google Scholar] [CrossRef]
- Taniguchi, Y.; Sagara, I.; Nagata, Y.; Kikukawa, Y.; Sasaki, S. Effects of the 2-substituted adenosine-1,3-diazaphenoxazine 5′-triphosphate derivatives on the single nucleotide primer extension reaction by DNA polymerase. Chem. Pharm. Bull. 2019, 67, 1123–1130. [Google Scholar] [CrossRef]
- Xu, F.; Liu, C.; Zhou, D.; Zhang, L. TGF-β/SMAD Pathway and Its Regulation in Hepatic Fibrosis. J. Histochem. Cytochem. 2016, 64, 157–167. [Google Scholar] [CrossRef]
- Lee, J.B.; Radhi, M.; Cipolla, E.; Gandhi, R.D.; Sarmad, S.; Zgair, A.; Kim, T.H.; Feng, W.; Qin, C.; Adrower, C.; et al. A novel nucleoside rescue metabolic pathway may be responsible for therapeutic effect of orally administered cordycepin. Sci. Rep. 2019, 9, 15760. [Google Scholar] [CrossRef]
- Tsai, Y.-J.; Lin, L.-C.; Tsai, T.-H. Pharmacokinetics of adenosine and cordycepin, a bioactive constituent of Cordyceps sinensis in rat. J. Agric. Food Chem. 2010, 58, 4638–4643. [Google Scholar] [CrossRef]
- Murakami, E.; Bao, H.; Mosley, R.T.; Du, J.; Sofia, M.J.; Furman, P.A. Adenosine deaminase-like protein 1 (ADAL1): Characterization and substrate specificity in the hydrolysis of N(6)- or O(6)-substituted purine or 2-aminopurine nucleoside monophosphates. J. Med. Chem. 2011, 54, 5902–5914. [Google Scholar] [CrossRef]
- Bzowska, A.; Kulikowska, E.; Shugar, D. Purine nucleoside phosphorylases: Properties, functions, and clinical aspects. Pharmacol. Ther. 2000, 88, 349–425. [Google Scholar] [CrossRef]
- Garcia, D.; Hellberg, K.; Chaix, A.; Wallace, M.; Herzig, S.; Badur, M.G.; Lin, T.; Shokhirev, M.N.; Pinto, A.F.M.; Ross, D.S.; et al. Genetic Liver-Specific AMPK Activation Protects against Diet-Induced Obesity and NAFLD. Cell Rep. 2019, 26, 192–208.e6. [Google Scholar] [CrossRef]
- Zhang, J.; Muise, E.S.; Han, S.; Kutchukian, P.S.; Costet, P.; Zhu, Y.; Kan, Y.; Zhou, H.; Shah, V.; Huang, Y.; et al. Molecular Profiling Reveals a Common Metabolic Signature of Tissue Fibrosis. Cell Rep. Med. 2020, 1, 100056. [Google Scholar] [CrossRef]






![]() | ||||
|---|---|---|---|---|
| Compounds | α-SMA Inhibition (%) a | |||
| No | R1 | R2 | 10 μM | 5 μM |
| 1a | -CH3 | H | 6.0 ± 3.4 | <5 |
| 1b | -CH(CH3)2 | H | <5 | <5 |
| 1c | ![]() | H | <5 | <5 |
| 1d | ![]() | H | 13.9 ± 2.7 | <5 |
| 1e | H | Cl | 8.4 ± 1.8 | <5 |
| 1f | -CH3 | Cl | 8.7 ± 2.7 | 16.6 ± 3.4 |
| 1g | -CH(CH3)2 | Cl | 23.3 ± 3.0 | <5 |
| 1h | ![]() | Cl | 62.3 ± 0.6 | 35.7 ± 5.3 |
| 1i | ![]() | F | 51.4 ± 1.1 | 31.7 ± 1.6 |
| 1j | ![]() | I | 56.6 ± 3.5 | 46.9 ± 2.0 |
| 1k | ![]() | OH | 8.2 ± 3.7 | 19.8 ± 1.0 |
| 1l | ![]() | NH2 | 23.6 ± 0.9 | 17.7 ± 1.8 |
| Cordycepin | 52.9 ± 1.0 | 42.3 ± 2.4 | ||
![]() | |||
|---|---|---|---|
| Compounds | α-SMA Inhibition (%) a | ||
| No | R1 | 10 μM | 5 μM |
| 2a | ![]() | 49.6 ± 1.0 | 51.9 ± 1.0 |
| 2b | ![]() | 57.7 ± 1.2 | 52.6 ± 1.2 |
| 2c | ![]() | 25.8 ± 5.7 | 18.4 ± 3.7 |
| 2d | ![]() | 52.7 ± 0.3 | 55.7 ± 3.3 |
| 2e | ![]() | 40.2 ± 1.9 | 46.5 ± 3.9 |
| 2f | ![]() | 55.9 ± 4.8 | 46.8 ± 2.2 |
| 2g | ![]() | 51.0 ± 2.0 | 24.4 ± 5.6 |
| 2h | ![]() | 41.6 ± 3.3 | 22.5 ± 5.4 |
| 2i | ![]() | 54.2 ± 2.8 | 47.7 ± 3.2 |
| 2j | ![]() | 57.8 ± 0.8 | 51.9 ± 1.0 |
| 2k | ![]() | 59.4 ± 1.2 | 48.6 ± 4.2 |
| 2l | ![]() | 50.8 ± 1.9 | 46.2 ± 4.2 |
| 1h | 62.3 ± 0.6 | 35.7 ± 5.3 | |
![]() | |||
|---|---|---|---|
| Compounds | α-SMA Inhibition (%) a | ||
| No | R1 | 10 μM | 5 μM |
| 3a | -CH3 | 61.6 ± 0.7 | 58.3 ± 4.8 |
| 3b | -CH2CH3 | 64.4 ± 1.2 | 57.9 ± 1.2 |
| 3c | -CH(CH3)2 | 60.0 ± 1.7 | 58.8 ± 1.9 |
| 3d | ![]() | 69.7 ± 2.3 | 54.0 ± 3.4 |
| 1h | H | 62.3 ± 0.6 | 35.7 ± 5.3 |
| Compounds | α-SMA IC50 (μM) in LX-2 Cell | CC50 (μM) in LX-2 Cell | Cell Viability @100 μM in MPH b |
|---|---|---|---|
| Cordycepin | 8.77 ± 2.3 | 50.96 ± 7.2 | 55.2 ± 1.4% |
| 3a | 7.69 ± 5.1 | 33.41 ± 3.7 | 107.5 ± 2.6% |
| 3b | N.D c | 15.70 ± 2.4 | 111.0 ± 3.6% |
| Compounds | Liver Microsomes | T1/2 (min) | CLint (liver) (mL/min/kg) |
|---|---|---|---|
| 3a | human | 35.57 ± 1.2 | 48.87 ± 1.6 |
| mouse | 26.50 ± 2.8 | 205.92 ± 21.2 | |
| 3b | human | 18.32 ± 0.8 | 94.87 ± 4.3 |
| mouse | 19.79 ± 2.3 | 275.71 ± 31.2 | |
| Cordycepin | human | 27.21 ± 2.9 | 63.88 ± 6.6 |
| mouse | 15.54 ± 0.2 | 351.26 ± 4.6 |
Disclaimer/Publisher’s Note: The statements, opinions and data contained in all publications are solely those of the individual author(s) and contributor(s) and not of MDPI and/or the editor(s). MDPI and/or the editor(s) disclaim responsibility for any injury to people or property resulting from any ideas, methods, instructions or products referred to in the content. |
© 2026 by the authors. Licensee MDPI, Basel, Switzerland. This article is an open access article distributed under the terms and conditions of the Creative Commons Attribution (CC BY) license.
Share and Cite
Pan, W.; Liu, S.; Zhong, Y.; Tang, B.; Zang, Y.; Xie, Y. Design, Synthesis, and Anti-Hepatic Fibrosis Evaluation of Cordycepin Derivatives. Molecules 2026, 31, 264. https://doi.org/10.3390/molecules31020264
Pan W, Liu S, Zhong Y, Tang B, Zang Y, Xie Y. Design, Synthesis, and Anti-Hepatic Fibrosis Evaluation of Cordycepin Derivatives. Molecules. 2026; 31(2):264. https://doi.org/10.3390/molecules31020264
Chicago/Turabian StylePan, Wenfang, Siqi Liu, Yuanchen Zhong, Bixi Tang, Yi Zang, and Yuanchao Xie. 2026. "Design, Synthesis, and Anti-Hepatic Fibrosis Evaluation of Cordycepin Derivatives" Molecules 31, no. 2: 264. https://doi.org/10.3390/molecules31020264
APA StylePan, W., Liu, S., Zhong, Y., Tang, B., Zang, Y., & Xie, Y. (2026). Design, Synthesis, and Anti-Hepatic Fibrosis Evaluation of Cordycepin Derivatives. Molecules, 31(2), 264. https://doi.org/10.3390/molecules31020264























