Abstract
Geranium wilfordii Maxim. is a traditional medicinal plant rich in ellagitannins such as corilagin (CG) and geraniin (GR), which possess antioxidant and anti-inflammatory properties. However, accurate quantification of CG and GR in complex herbal matrices is hindered by co-eluting impurities and poor UV resolution. Here, we developed and validated a simple isocratic HPLC–UV method for their simultaneous determination in G. wilfordii extract. Separation was achieved on a Polaris 3 C18-A column (250 mm × 4.6 mm, 3 µm) using acetonitrile/0.2% formic acid in water (11:89, v/v) with UV detection at 270 nm. The method showed excellent linearity (25–300 µg/mL, R2 > 0.995), precision (RSD < 2.7%), accuracy (recovery 99.5–101.2%), and low detection limits (<3 µg/mL). Previous approaches have relied on gradient HPLC or MS-based techniques, often requiring long run times, costly instrumentation, or additional purification (e.g., HSCCC). In contrast, this study demonstrates a validated isocratic method that enables baseline separation and simultaneous quantification of CG and GR in a single run. This robust and simplified analytical strategy provides a practical tool for routine quality control and phytochemical standardization, with potential applications across pharmaceutical, food, and cosmetic industries.
1. Introduction
Geranium wilfordii Maxim. (Geraniaceae) is widely distributed across East Asia, including China, Japan, and South Korea [1]. The plant has been used in traditional Chinese medicine for over 600 years to manage disorders such as arthritis, dysentery, and diarrhea [2,3]. Despite this long history of traditional use, comprehensive pharmacological investigations remain limited, underscoring the need for further characterization of its bioactive constituents. Accordingly, recent studies have increasingly focused on the phytochemistry and therapeutic potential of G. wilfordii, aiming to identify its diverse chemical components and clarify the specific molecules responsible for its biological effects. To date, more than 90 compounds have been identified, including tannins, flavonoids, flavonol glycosides, organic acids, and steroids [4,5,6]. Among these constituents, hydrolyzable tannins—particularly ellagitannins—have attracted considerable attention due to their proposed roles in mediating the plant’s biological activities [7].
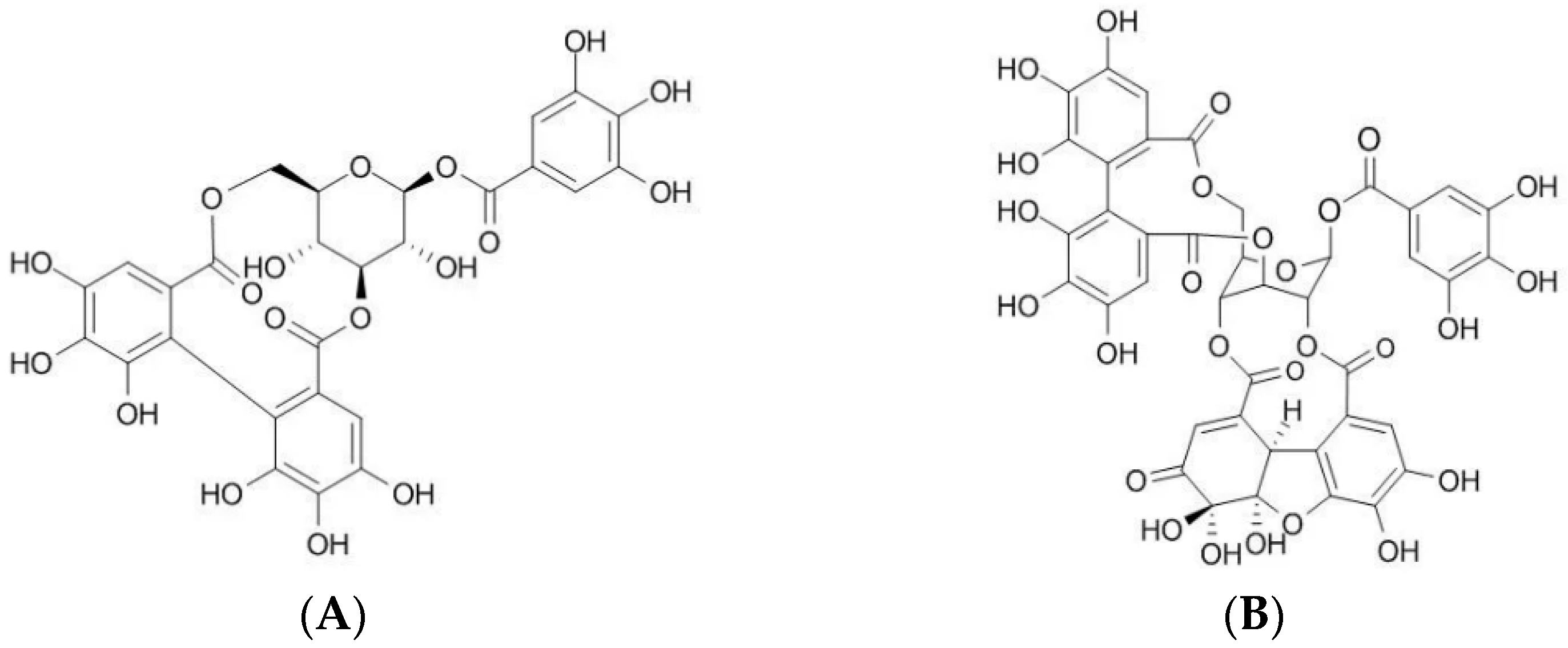
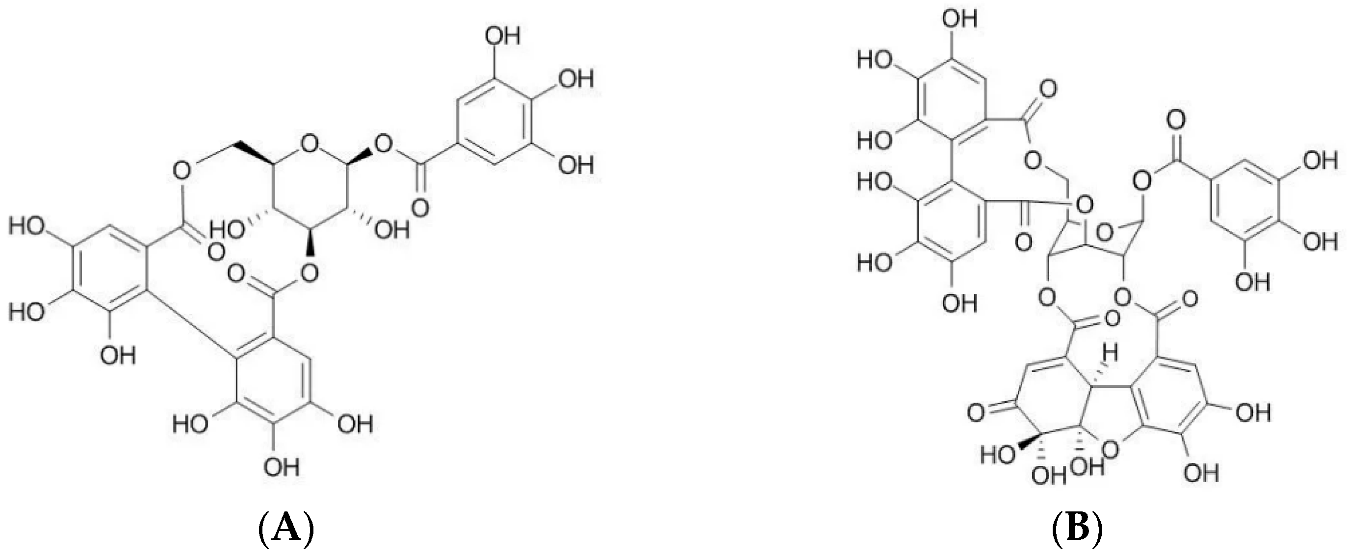
Corilagin (CG) and geraniin (GR) are the major ellagitannins present in G. wilfordii and have been associated with various biological effects [8]. The chemical structures of CG and GR are shown in Figure 1. CG has been shown to improve rheumatoid arthritis by downregulating nuclear factor-kappa B (NF-κB) and mitogen-activated protein kinase (MAPK) signaling pathways [9] and also demonstrates anti-allergic effects [10]. GR exhibits anti-hyperglycemic [11], osteoprotective [12], anti-hypertensive [13], hepatoprotective [14]. Additionally, both CG and GR have demonstrated potential as antioxidants [15], anti-inflammatory [16], anti-diabetic [17], anti-hypercholesterolemia effects [18]. Owing to these diverse pharmacological activities, CG and GR serve as key molecular markers and biologically relevant targets for quantitative analysis in G. wilfordii.
Figure 1.
Chemical structures of (A) corilagin and (B) geraniin.
Accurate quantification of CG and GR is essential for biological evaluation and for establishing reliable quality-control standards for G. wilfordii extracts. Although MS-based analytical methods such as UPLC-QQQ-MS [19] and HPLC-ESI-MS [20] offer high sensitivity, they typically require extensive sample preparation and may not consistently achieve adequate chromatographic resolution of the two ellagitannins. More accessible UV- or PDA-based HPLC approaches frequently encounter insufficient separation in crude extracts, often necessitating additional purification steps such as high-speed counter-current chromatography (HSCCC) [21]. These limitations—including long run times, high operational costs, and poor chromatographic resolution—highlight the need for a simplified, reproducible, and cost-effective analytical method capable of resolving both analytes under isocratic conditions.
To address this need, an isocratic HPLC–UV method was developed and validated in this study that enables baseline separation and simultaneous quantification of CG and GR in G. wilfordii extract. While reversed-phase HPLC has been previously applied for analyzing these compounds, the present study provides a fully validated and operationally accessible isocratic method optimized for routine use. The method employs a simple mobile-phase composition and minimal sample preparation, supporting its strong applicability to phytochemical analysis and quality-control workflows.
2. Results and Discussion
Reversed-phase chromatography is the most widely applied mode in HPLC and allows flexible adjustment of the mobile phase through modification of the organic solvent, pH, and operational parameters such as flow rate and temperature [22]. However, when operated under highly aqueous conditions, conventional reversed-phase columns are prone to phase collapse, resulting in reduced separation efficiency and poor reproducibility for polar analytes [23].
To mitigate this issue, specialized stationary phases such as alkyl-bonded columns have been introduced, although their chromatographic selectivity often differs markedly from that of conventional C18 materials, limiting their broader applicability [24]. Therefore, C18 columns engineered to tolerate 100% aqueous mobile phases were selected in this study. These columns enabled stable operation under fully aqueous conditions and provided reliable separation of CG and GR from G. wilfordii extract, which contains abundant polar constituents.
2.1. Method Development
Preliminary experiments were performed using an XDB-C18 reversed-phase column (150 mm × 4.6 mm, 3.5 µm; Agilent, Santa Clara, CA, USA), and several mobile-phase compositions were evaluated to optimize the separation of CG and GR from other constituents in G. wilfordii extract. Chromatographic performance was assessed using parameters such as tailing factor, resolution, and selectivity. The XDB-C18 column was operated with a mobile phase of 0.2% formic acid in water (90%) and acetonitrile (10%) at a flow rate of 1.0 mL/min. Although this setup provided excellent separation for the standard solutions, satisfactory resolution and reproducibility could not be consistently achieved for CG and GR in the complex extract matrix. In particular, the GR peak overlapped with adjacent constituents and exhibited significant peak broadening (Figure 2).

Figure 2.
HPLC chromatograms of corilagin and geraniin in standard solution and Geranium wilfordii extract using an XDB-C18 column (150 mm × 4.6 mm, 3.5 µm) with a mobile phase of 0.2% formic acid in water (90%):acetonitrile (10%). (A) Corilagin standard solution; (B) Geraniin standard solution; (C) Geranium wilfordii extract.
Although corilagin and geraniin can be readily separated in standard solutions, chromatographic separation becomes significantly more challenging in G. wilfordii extract due to the presence of multiple unknown co-eluting components. Therefore, method optimization focused on resolving CG and GR from surrounding matrix peaks rather than on their mutual separation alone.
To improve peak resolution, the proportion of acetonitrile (ACN) in the mobile phase was initially reduced. However, this adjustment resulted in pronounced peak tailing and poor reproducibility across repeated injections. Methanol was subsequently evaluated as an alternative organic modifier; however, the geraniin peak was not detected. This behavior is consistent with previous reports indicating that methanol can react with the hemiacetal moiety of geraniin to form methoxy-containing adducts, which often manifest as multiple or broadened peaks in HPLC chromatograms [25]. Accordingly, methanol was excluded from the mobile phase during method development.
In contrast, 20% (v/v) methanol was employed only for sample dissolution and standard preparation under mild conditions. The extract solutions were prepared immediately prior to analysis without prolonged storage or thermal exposure. Under these conditions, no peak distortion, degradation, or loss of geraniin was observed, as evidenced by stable retention times, consistent peak areas, and satisfactory validation results. Taken together, these observations indicated that more polar mobile-phase conditions were required to achieve effective separation of CG and GR in the G. wilfordii extract while maintaining analytical stability.
To address the limitations observed with the conventional reversed-phase column, a polar-embedded C18 column (Polaris C18-A), engineered for stability under 100% aqueous conditions, was subsequently assessed. Increasing the water content in the mobile phase improved chromatographic resolution but substantially prolonged the analysis time [26]. Therefore, a maximum run time of 40 min was set, and the acetonitrile concentration was systematically adjusted (8–12%, v/v) to achieve a resolution (Rs) greater than 1.5 between adjacent peaks.
Two Polaris columns with different lengths—Polaris 3 C18-A (150 mm × 4.6 mm, 3 µm) and Polaris 3 C18-A (250 mm × 4.6 mm, 3 µm)—were evaluated to determine their effectiveness in resolving CG and GR from other constituents in the G. wilfordii extract. A series of mobile phases with varying ACN concentrations (8–12%, v/v) was tested, and the elution times and resolution values of CG and GR were assessed. All experiments were performed under consistent operating conditions: a flow rate of 1.0 mL/min, a column temperature of 30 °C, a detection wavelength of 270 nm, and a maximum run time of 40 min.
As shown in Figure 3 and Figure 4, increasing the column length to 250 mm markedly improved peak resolution, producing sharper and more symmetrical peaks with reduced baseline noise. Based on these comparative studies, the optimal analytical conditions for the simultaneous determination of CG and GR in G. wilfordii extract were established as follows: a mobile phase of acetonitrile–water (11:89, v/v) on a Polaris 3 C18-A column (250 mm × 4.6 mm, 3 µm), with a flow rate of 1.0 mL/min, a column temperature of 30 °C, and UV detection at 270 nm (Table 1).
Figure 3.
HPLC chromatograms of corilagin and geraniin in standard solution and Geranium wilfordii extract under different mobile phase ratios with a Polaris 3 C18-A column (150 mm × 4.6 mm). (A) 0.2% formic acid in water (92%):acetonitrile (8%); (B) 0.2% formic acid in water (91%):acetonitrile (9%); (C) 0.2% formic acid in water (90%):acetonitrile (10%). Arrows indicate the chromatographic peaks of corilagin and geraniin.

Figure 4.
HPLC chromatograms of corilagin and geraniin in standard solution and Geranium wilfordii extract under different mobile phase ratios with a Polaris 3 C18-A column (250 mm × 4.6 mm). (A) 0.2% formic acid in water (90%): acetonitrile (10%); (B) 0.2% formic acid in water (89%):acetonitrile (11%); (C) 0.2% formic acid in water (88%):acetonitrile (12%). Arrows indicate the chromatographic peaks of corilagin and geraniin.
Table 1.
HPLC conditions for the quantitative analysis of corilagin and geraniin.
2.2. Method Validation Results
2.2.1. Specificity Results
Specificity was evaluated through chromatographic analysis of both standard and sample solutions. Corilagin (CG) and geraniin (GR) were clearly separated, exhibiting retention times of 21.17 min and 32.25 min, respectively (Figure 5). Both analytes showed baseline-resolved peaks without interference from adjacent matrix components, as evidenced by resolution (Rs) values greater than 1.5 and tailing factors below 2. Peak purity was further confirmed using PDA-based UV spectral analysis. The UV spectra of CG and GR in the extract matched those of the corresponding standards across the entire peak profiles (Figure 6), clearly confirming peak homogeneity and demonstrating adequate method specificity.

Figure 5.
HPLC chromatograms presenting the specificity of the validated method for corilagin and geraniin. Chromatograms of (A) blank matrix (20% (v/v) methanol), (B) mixed standard solution, and (C) Geranium wilfordii extract. Arrows indicate the chromatographic peaks of corilagin and geraniin.
Figure 6.
UV spectra of corilagin and geraniin. (A) Standard solutions of corilagin and geraniin; (B) Geranium wilfordii extract.
2.2.2. Linearity Results
The linearity of the detector response for CG and GR was assessed across the concentration range of 25–300 µg/mL. Calibration curves exhibited excellent linearity, with correlation coefficients (R2) greater than 0.995 for both analytes (Figure 7). These results meet the acceptance criterion for linearity, which requires an R2 value of at least 0.99 [27].
Figure 7.
Calibration curves presenting corilagin and geraniin obtained by HPLC–UV at 270 nm in the concentration range of 25–300 µg/mL.
2.2.3. Precision and Accuracy Results
The results for repeatability (intra-day) and reproducibility (inter-day) are summarized in Table 2 and Table 3. Method precision was evaluated over three consecutive days, with results expressed as relative standard deviation (RSD). The intra-day precision showed RSD values of 0.75% for CG and 1.19% for GR. Inter-day precision yielded similarly low RSD values of 0.77% for CG and 0.98% for GR, confirming good reproducibility.
Table 2.
The intra-day precision (repeatability) results of corilagin and geraniin in the Geranium wilfordii extract (n = 5).
Table 3.
The inter-day precision (reproducibility) results of corilagin and geraniin in the Geranium wilfordii extract (n = 5).
Accuracy was assessed by spiking the G. wilfordii extract with standard solutions to obtain CG concentrations of 150–210 µg/mL and GR concentrations of 200–280 µg/mL. The recovery values ranged from 99.51–100.74% for CG and 99.62–101.23% for GR, confirming the high analytical accuracy of the method (Table 4).
Table 4.
Accuracy (% recovery) of HPLC analysis for corilagin and geraniin quantification (n = 3).
2.2.4. Limits of Detection and Quantification Results
The limit of detection (LOD) is defined as the lowest concentration of an analyte that can be reliably detected, whereas the limit of quantification (LOQ) represents the lowest concentration that can be determined with acceptable accuracy and precision. The LOD values were 0.65 µg/mL for CG and 0.81 µg/mL for GR, while the corresponding LOQ values were 1.97 µg/mL for CG and 2.46 µg/mL for GR (Table 5). These low values indicate that the proposed method provides adequate sensitivity for the quantitative determination of CG and GR in the G. wilfordii extract.
Table 5.
HPLC data of limit of quantification and detection of corilagin and geraniin.
Although the total run time of the method is relatively long, this limitation is primarily attributed to the use of a conventional HPLC system and the long analytical column required to achieve baseline separation. Further reduction in analysis time could be achieved by adapting the method to ultra-performance liquid chromatography (UPLC), which employs columns with smaller particle sizes and internal diameters. Previous studies have shown that UPLC can significantly shorten analysis time while maintaining separation efficiency and selectivity [28]. Therefore, the present method represents a suitable platform for future adaptation to UPLC-based analysis.
3. Materials and Methods
3.1. Reagents and Chemicals
All reagents and chemicals used were of HPLC or analytical grade, including acetonitrile, methanol, and phosphoric acid (DAEJUNG, Siheung, Republic of Korea). Corilagin (≥98% purity, BF-C1016) and geraniin (≥95% purity, BF-G4005) were obtained from BIOFRON Inc. (La Mirada, CA, USA). PVDF membrane filters (0.45 µm) were purchased from Hyundai Micro (Seoul, Republic of Korea). All reagents and chemicals used in this study were of HPLC or analytical grade, including acetonitrile, methanol, and phosphoric acid (DAEJUNG, Siheung, Republic of Korea). Corilagin (≥98% purity, BF-C1016) and geraniin (≥95% purity, BF-G4005) were obtained from BIOFRON Inc. (La Mirada, CA, USA). Polyvinylidene fluoride (PVDF) membrane filters (0.45 µm) were purchased from Hyundai Micro (Seoul, Republic of Korea).
3.2. Preparation of G. wilfordii Extract
The whole dried plant of G. wilfordii was obtained from the Yeongcheon Herbal Market (Yeongcheon, Republic of Korea). Extraction was performed at 60 °C for 6 h using 30% (v/v) ethanol at a solid-to-solvent ratio of 10% (w/v), based on the dry weight of G. wilfordii [29]. The extract was centrifuged at 3000 rpm for 20 min, and the supernatant was filtered through filter paper (Whatman No. 6, Whatman International, Maidstone, UK). The filtrate was concentrated under reduced pressure using a rotary evaporator (Eyela SB-1000, Tokyo, Japan), and the resulting concentrate was subsequently freeze-dried using a freeze dryer (FD 8508, Ilshin BioBase, Co., Ltd., Dongducheon-si, Gyeonggi-do, Republic of Korea) to obtain a powdered extract.
A total of 50 g of dried plant material was used for extraction, yielding 6.53 g of the final powdered extract, corresponding to an extraction yield of 13.06% (w/w). The freeze-dried extract was obtained as a deep-brown, fine powder.
3.3. Preparation of Standard Solution
Stock standard solutions of corilagin (CG) and geraniin (GR) were prepared individually at a concentration of 1000 µg/mL by dissolving 10 mg of each compound in 10 mL of 20% (v/v) methanol. Working standard solutions of CG and GR at concentrations of 25, 50, 100, 200, and 300 µg/mL were prepared by serial dilution of the corresponding stock solutions.
3.4. Preparation of Sample Solution
Freeze-dried powder (50 mg) of G. wilfordii extract was accurately weighed and transferred into a 10 mL volumetric flask. The volume was adjusted with 20% (v/v) methanol, and the solution was filtered through a PVDF membrane filter (0.45 µm) prior to HPLC analysis.
3.5. HPLC Instruments
HPLC analysis was conducted using a Shimadzu LC-20A system (Shimadzu, Kyoto, Japan) equipped with a binary pump and a photodiode array (PDA) detector (SPD-M20A, Shimadzu). Chromatographic separations were evaluated using several reversed-phase C18 columns, including an XDB-C18 column (150 mm × 4.6 mm, 3.5 µm, Agilent, Santa Clara, CA, USA) and Polaris 3 C18-A columns (150 mm × 4.6 mm, 3 µm and 250 mm × 4.6 mm, 3 µm, Agilent). Data acquisition and processing were performed using LabSolutions software version 5.92 (Shimadzu).
For method optimization, various mobile-phase compositions were systematically evaluated, and the condition providing optimal resolution and quantitative performance was selected. The optimized mobile phase consisted of solvent A (water containing 0.2% formic acid, v/v) and solvent B (acetonitrile) and was operated under isocratic conditions with acetonitrile contents ranging from 8% to 12% (v/v). The final analytical parameters were as follows: detection wavelength, 270 nm; flow rate, 1.0 mL/min; injection volume, 10 µL; and column temperature, 30 °C.
3.6. Method Validation
The analytical method for the simultaneous determination of CG and GR was validated in accordance with the AOAC guidelines [30]. The validation parameters included specificity, linearity, accuracy, precision, limit of detection (LOD), and limit of quantification (LOQ).
3.6.1. Specificity
Specificity was evaluated to confirm the ability of the method to clearly distinguish CG and GR from other components present in the sample matrix. Specificity was assessed by comparing chromatograms obtained from standard solutions and G. wilfordii extract samples, as well as by analyzing procedural blanks. No interfering peaks were observed at the retention times of CG and GR. In addition, the UV spectra of CG and GR in standard and sample solutions were identical, further confirming the specificity of the method.
3.6.2. Linearity
Linearity was evaluated by analyzing five concentration levels of mixed standard solutions and constructing calibration curves by plotting peak area at 270 nm against the corresponding concentrations. Each concentration was analyzed in triplicate. The method exhibited excellent linearity for both CG and GR over the concentration range of 25–300 µg/mL, with correlation coefficients (R2) greater than 0.995.
3.6.3. Accuracy by Recovery
The accuracy of the method was evaluated through recovery experiments. Known amounts of CG and GR standard solutions were spiked into the G. wilfordii extract matrix at three concentration levels. The spiked samples were then prepared and analyzed under the established HPLC conditions. The percentage recovery of each analyte was calculated to assess the accuracy and reliability of the proposed method.
3.6.4. Precision
Precision, which reflects the reproducibility of the analytical method, was evaluated in terms of the relative standard deviation (RSD%). Intra-day precision (repeatability) was assessed by performing five replicate analyses on the same day (n = 5). Inter-day precision (reproducibility) was evaluated by conducting replicate analyses over three consecutive days (n = 3 × 5) using the same HPLC system under identical experimental conditions.
For this evaluation, G. wilfordii extract solutions were independently prepared at three concentration levels (5, 10, and 15 mg/mL) by accurately weighing the appropriate amounts of freeze-dried extract and dissolving them in 20% (v/v) methanol, following the sample preparation procedure described in Section 3.4. Each concentration level was subsequently analyzed using the validated HPLC method to assess both repeatability and reproducibility.
3.6.5. Limit of Detection (LOD) and Limit of Quantification (LOQ)
The limits of detection (LOD) and quantification (LOQ) were determined based on the standard deviation of the response (σ) and the slope (s) of the calibration curve. Calibration curves for CG and GR were constructed over the concentration range of 25–300 µg/mL. In this study, σ was calculated from the residual standard deviation of the calibration curve. The LOD and LOQ were calculated using the equations LOD = 3.3 × σ/s and LOQ = 10 × σ/s, respectively.
4. Conclusions
This study developed and validated an isocratic HPLC–UV method for the simultaneous determination of corilagin (CG) and geraniin (GR) in Geranium wilfordii extract. The optimized chromatographic conditions—an acetonitrile/water mobile phase (11:89, v/v), a Polaris 3 C18-A column (250 mm × 4.6 mm, 3 µm), a flow rate of 1.0 mL/min, and UV detection at 270 nm—enabled high-resolution separation, with retention times of 21.166 min for CG and 32.247 min for GR (Rs > 1.5; tailing factor < 2).
The validated method demonstrated excellent analytical performance, including high specificity, good linearity over the concentration range of 25–300 µg/mL (R2 > 0.995), satisfactory precision (RSD% < 1.2%), and high accuracy (recovery: 99.51–101.23%). The limits of detection and quantification were 0.65 and 1.97 µg/mL for CG and 0.81 and 2.46 µg/mL for GR, respectively, confirming the suitability of the method for quantitative analysis.
Compared with gradient HPLC and mass spectrometry-based approaches, the proposed isocratic method offers a simplified analytical workflow with improved reproducibility and reduced operational complexity. Overall, this validated isocratic HPLC–UV method provides a robust and practical analytical platform for routine quality control and phytochemical standardization of G. wilfordii extract, with potential applicability in pharmaceutical, food, and cosmetic research and development.
Author Contributions
Conceptualization, J.-M.K. and B.-S.L.; methodology, K.-H.S.; software, C.-K.K.; validation, J.-M.K., Y.-S.C. and K.-H.S.; formal analysis, J.-M.K.; investigation, K.-H.S.; resources, B.-S.L.; data curation, J.-M.K.; writing—original draft preparation, J.-M.K.; writing—review and editing, B.-S.L.; visualization, Y.-S.C.; supervision, B.-S.L.; project administration, C.-K.K.; funding acquisition, B.-S.L. All authors have read and agreed to the published version of the manuscript.
Funding
This research was also supported by the Basic Science Research Program of the National Research Foundation of Korea (NRF) funded by the Ministry of Education (Grant No. NRF-2020R1I1A2069224). This work was also supported by the Korea Institute of Energy Technology Evaluation and Planning (KETEP) of the Republic of Korea (No. 202502314098). This research was supported by the Regional Innovation System & Education (RISE) Glocal University 30 Project program, funded by the Ministry of Education (MOE) and the Gangwon State (G.S.), Republic of Korea (2025-RISE-10-002).
Institutional Review Board Statement
Not applicable.
Informed Consent Statement
Not applicable.
Data Availability Statement
The original contributions presented in this study are included in the article. Further inquiries can be directed to the corresponding author.
Conflicts of Interest
Author Jung-Min Kim was employed by the company Newgen Healthcare Co., Ltd. All authors declare that the research was conducted in the absence of any commercial or financial relationships that could be construed as a potential conflict of interest.
References
- Kozłowski, J.; Szczyglewska, D.; Kitkowska, S. Biology of germination of medicinal plant seeds. part XX. Seeds of Geranium robertianum L.—The only medicinal species from Geraniaceae family. Herba Pol. 1999, 45, 318–323. [Google Scholar]
- Kong, C.; Pang, X.; Su, Z.; Liu, Y. Botany, ethnopharmacology, phytochemistry and pharmacology of Erodii Herba Geranii Herba—An review. J. Ethnopharmacol. 2023, 302, 115858. [Google Scholar] [CrossRef]
- Zhang, T.; Peng, C. Chinese Clinical Pharmacy; People’s Medical Publishing House: Beijing, China, 2015; pp. 1045–1048. [Google Scholar]
- Zhao, Z.; Gao, H.; Yu, X. Study on the extractive technique of total flavonoids from Geranium wilfordii Maxim. by microwave extraction method. Contemp. Chem. Ind. 2015, 44, 955–957. [Google Scholar]
- He, C.; Chen, J.; Liu, J.; Li, Y.; Zhou, Y.; Mao, T.; Li, Z.; Qin, X.; Jin, S. Geranium wilfordii maxim.: A review of its traditional uses, phytochemistry, pharmacology, quality control and toxicology. J. Ethnopharmacol. 2022, 285, 114907. [Google Scholar] [CrossRef] [PubMed]
- Li, Y.; Liu, H.; Liu, C.; You, J.; Zhao, R.; Shi, A.; He, M. Volatiles, Flavonoids, and Antibacterial Activity of Ethanol-extract from Geranium wilfordii. Fujian J. Agric. Sci. 2020, 35, 1397–1404. [Google Scholar]
- Lee, S.-H.; Ryu, S.Y.; Choi, S.U.; Lee, C.O.; No, Z.; Kim, S.-K.; Ahn, J.-W. Hydrolysable tannins and related compound having cytotoxic activity from the fruits of Terminalia chebula. Arch. Pharmacal Res. 1995, 18, 118–120. [Google Scholar] [CrossRef]
- Liu, D.; Ma, Y.; Wang, Y.; Su, Z.; Gu, M.; Janson, J.C. One-step separation and purification of hydrolysable tannins from Geranium wilfordii Maxim by adsorption chromatography on cross-linked 12% agarose gel. J. Sep. Sci. 2011, 34, 995–998. [Google Scholar] [CrossRef]
- Shen, Y.; Teng, L.; Qu, Y.; Liu, J.; Zhu, X.; Chen, S.; Yang, L.; Huang, Y.; Song, Q.; Fu, Q. Anti-proliferation and anti-inflammation effects of corilagin in rheumatoid arthritis by downregulating NF-κB and MAPK signaling pathways. J. Ethnopharmacol. 2022, 284, 114791. [Google Scholar] [CrossRef] [PubMed]
- Kang, H.G.; Jo, B.-G.; Lee, S.H.; Kim, T.-Y.; Kim, S.-N.; Yang, M.H. Inhibitory effects of compounds isolated from Geranium wilfordii on IL-4 production and β-hexosaminidase release in RBL-2H3 cells. Nat. Prod. Res. 2024, 39, 5318–5323. [Google Scholar] [CrossRef]
- Palanisamy, U.D.; Ling, L.T.; Manaharan, T.; Appleton, D. Rapid isolation of geraniin from Nephelium lappaceum rind waste and its anti-hyperglycemic activity. Food Chem. 2011, 127, 21–27. [Google Scholar] [CrossRef]
- Lu, Y.; He, B.; Zhang, X.; Yang, R.; Li, S.; Song, B.; Zhang, Y.; Yun, Y.; Yan, H.; Chen, P. Osteoprotective effect of geraniin against ovariectomy-induced bone loss in rats. Bioorg. Med. Chem. Lett. 2015, 25, 673–679. [Google Scholar] [CrossRef] [PubMed]
- Phang, S.C.W.; Palanisamy, U.D.; Kadir, K.A. Effects of geraniin (rambutan rind extract) on blood pressure and metabolic parameters in rats fed high-fat diet. J. Integr. Med. 2019, 17, 100–106. [Google Scholar] [CrossRef] [PubMed]
- Stephen Ambrose, S.; Solairaj, P.; Subramoniam, A. Hepatoprotective activity of geraniin isolated from Thespesia lampas Dalz. and Gibson. Int. Res. J. Pharm. Pharmacol. 2012, 2, 92–96. [Google Scholar]
- Yang, Y.-C.; Li, J.; Zu, Y.-G.; Fu, Y.-J.; Luo, M.; Wu, N.; Liu, X.-L. Optimisation of microwave-assisted enzymatic extraction of corilagin and geraniin from Geranium sibiricum Linne and evaluation of antioxidant activity. Food Chem. 2010, 122, 373–380. [Google Scholar] [CrossRef]
- An, J.-Y.; Kim, S.-Y.; Kim, H.-J.; Bae, H.J.; Lee, H.-D.; Choi, Y.-Y.; Cho, Y.E.; Cho, S.-Y.; Lee, S.-J.; Lee, S. Geraniin from the methanol extract of Pilea mongolica suppresses LPS-induced inflammatory responses by inhibiting IRAK4/MAPKs/NF-κB/AP-1 pathway in HaCaT cells. Int. Immunopharmacol. 2024, 140, 112767. [Google Scholar] [CrossRef]
- Perera, A.; Ton, S.H.; Moorthy, M.; Palanisamy, U.D. The insulin-sensitising properties of the ellagitannin geraniin and its metabolites from Nephelium lappaceum rind in 3T3-L1 cells. Int. J. Food Sci. Nutr. 2020, 71, 940–953. [Google Scholar] [CrossRef]
- Suciati, L.; Lestari, S.R.; Lukiati, B. Molecular docking studies of geraniin, corilagin, and ellagic acid from rambutan (Nephelium lappaceum L.) peel extract against squalene synthase as potential anti-hypercholesterolemia. In International Conference on Life Sciences and Technology (ICoLiST); AIP Publishing: Malang, Indonesia, 2020; Volume 2231, pp. 040040-1–040040-6. [Google Scholar]
- Li, Y.; Li, Z.; Hou, H.; Zhuang, Y.; Sun, L. Metal chelating, inhibitory DNA damage, and anti-inflammatory activities of phenolics from rambutan (Nephelium lappaceum) peel and the quantifications of geraniin and corilagin. Molecules 2018, 23, 2263. [Google Scholar] [CrossRef]
- Hernández-Hernández, C.; Aguilar, C.N.; Flores-Gallegos, A.C.; Sepúlveda, L.; Rodríguez-Herrera, R.; Morlett-Chávez, J.; Govea-Salas, M.; Ascacio-Valdés, J. Preliminary testing of ultrasound/microwave-assisted extraction (U/M-AE) for the isolation of geraniin from Nephelium lappaceum L. (Mexican variety) peel. Processes 2020, 8, 572. [Google Scholar] [CrossRef]
- Liu, D.; Su, Z.; Wang, C.; Gu, M.; Xing, S. Separation and purification of hydrolyzable tannin from Geranium wilfordii Maxim by reversed-phase and normal-phase high-speed counter-current chromatography. J. Sep. Sci. 2010, 33, 2266–2271. [Google Scholar] [CrossRef]
- Sarker, S.D.; Nahar, L. Applications of high performance liquid chromatography in the analysis of herbal products. In Evidence-Based Validation of Herbal Medicine; Elsevier: Amsterdam, The Netherlands, 2015; pp. 405–425. [Google Scholar]
- Przybyciel, M.; Majors, R.E. Phase collapse in reversed-phase liquid chromatography. LC GC N. Am. 2002, 20, 516–523. [Google Scholar]
- Przybyciel, M.; Majors, R.E. Phase Collapse in Reversed-Phase LC. LC-GC Eur. 2002, 15, 652. [Google Scholar]
- Bastian, F.; Ito, Y.; Ogahara, E.; Ganeko, N.; Hatano, T.; Ito, H. Simultaneous quantification of ellagitannins and related polyphenols in geranium thunbergii using quantitative NMR. Molecules 2018, 23, 1346. [Google Scholar] [CrossRef]
- Jadhav, B.-K.; Mahadik, K.-R.; Paradkar, A.-R. Development and validation of improved reversed phase-HPLC method for simultaneous determination of curcumin, demethoxycurcumin and bis-demethoxycurcumin. Chromatographia 2007, 65, 483–488. [Google Scholar] [CrossRef]
- Singh, J. International conference on harmonization of technical requirements for registration of pharmaceuticals for human use. J. Pharmacol. Pharmacother. 2015, 6, 185–187. [Google Scholar] [CrossRef] [PubMed]
- Guillarme, D.; Ruta, J.; Rudaz, S.; Veuthey, J.-L. New trends in fast and high-resolution liquid chromatography: A critical comparison of existing approaches. Anal. Bioanal. Chem. 2010, 397, 1069–1082. [Google Scholar] [CrossRef] [PubMed]
- Kim, T.W.; Kim, K.K.; Im, J.C.; Lee, H.R.; Kim, J.M. Effects of Geranium wilfordii Maxim. Ethanol Extract of on Adipogenesis and Lipogenesis. Korean J. Plant Resour. 2024, 37, 307–313. [Google Scholar]
- Latimer, G.W., Jr. (Ed.) Appendix K: Guidelines for dietary supplements and botanicals. In Official Methods of Analysis of AOAC International; AOAC International: Rockville, MD, USA, 2013; Volume 2, pp. 1–32. [Google Scholar]
Disclaimer/Publisher’s Note: The statements, opinions and data contained in all publications are solely those of the individual author(s) and contributor(s) and not of MDPI and/or the editor(s). MDPI and/or the editor(s) disclaim responsibility for any injury to people or property resulting from any ideas, methods, instructions or products referred to in the content. |
© 2025 by the authors. Licensee MDPI, Basel, Switzerland. This article is an open access article distributed under the terms and conditions of the Creative Commons Attribution (CC BY) license.









