Abstract
Coleus strobilifer, the dried rhizome and root of Coleus strobilifer (Roxb.) A.J. Paton, is widely used for dampness-detoxification and detumescence in Chinese folklore. This study marks the first comprehensive investigation into the chemical composition of the whole herb of C. strobilifer, leading to the isolation and identification of two new abietane diterpenes, 10R-carnosuain (1) and 10R-coleon U-3-one (2), along with 34 known compounds (3–36) isolated from C. strobilifer for the first time. Their structures were unambiguously elucidated by analyses of NMR, HRESIMS, IR, CD, and single-crystal X-ray diffraction data, and comparison with the literature. All the isolated compounds were screened for their xanthine oxidase (XO) inhibitory activity. Among them, apigenin (8), luteolin (9), and esculetin (29) showed moderate XO inhibitory activity with IC50 values of 0.034 ± 0.004, 0.067 ± 0.005, and 0.284 ± 0.01 mM, respectively.
1. Introduction
Worldwide, the prevalence of hyperuricemia and gout has increased dramatically due to excessive intake of high-purine foods and poor dietary habits, especially in economically developed regions such as Europe, America, East Asia, and Oceania [1]. Serum uric acid (SUA) concentration has been widely used as a diagnostic criterion for hyperuricemia [2]. Xanthine oxidase (XO) plays a key role in purine metabolism by directly catalyzing the conversion of hypoxanthine to xanthine and further to uric acid (UA), and the inhibition of XO could reduce the SUA level [3]. XO inhibitors are used in the treatment of hyperuricemia. Among the few therapeutic options, allopurinol and febuxostat have been the commonly used XO inhibitors in the clinic, but they could cause various adverse effects, such as allergy syndrome, impaired liver function and nephrotoxicity [1,2,3,4]. Hence, the discovery of natural XO inhibitors is particularly critical.
The folk Chinese herbal medicine Xian-Pai-Cao is the dried rhizome and roots with old stems of Coleus strobilifer (Roxb.) A.J. Paton (syn. Anisochilus carnosus (L.f.) Wall. ex Benth), belonging to the Lamiaceae family, which is produced in Guangdong, Guangxi, and other places in Southern China, and also appears in India [5,6,7]. It has the efficacy of resolving dampness and removing turbidity, inducing diuresis and swelling, and is mainly used for treating summer-dampness, vomiting and diarrhea, edema, and urinary incontinence [8]. To date, there are limited studies on the phytochemical composition of A. carnosua, mainly focusing on the identification of common flavonoids, triterpenes, alkaloid, and essential oil [5,9,10,11]. Pharmacological studies show that crude extracts have antioxidant and anticancer activities [9,10,11,12]. Meanwhile, previous study found that 5 mg/mL of 70% ethanol extract of C. strobilifer possessed 99.97% of XO inhibition [13]. To explore the natural XO inhibitors from this plant, we conducted a systematic phytochemical investigation of C. strobilifer and screened the isolated compounds for XO inhibitory activity. As a result, two new abietane diterpenes (Figure 1), 10R-carnosuain (1) and 10R-coleon U-3-one (2), together with five known abietane diterpenes (3–7), three flavonoids (8–10), seven phenols (11–17), four sterols (18–21), four triterpenes (22–25), three sesquiterpenes (26–28), and nine other compounds (29–36) were obtained from the roots, stems and leaves of C. strobilifer. Furthermore, XO inhibitory activity of these isolates was evaluated. Herein, the isolation, structural elucidation, and XO inhibitory activity of these isolated compounds were described.
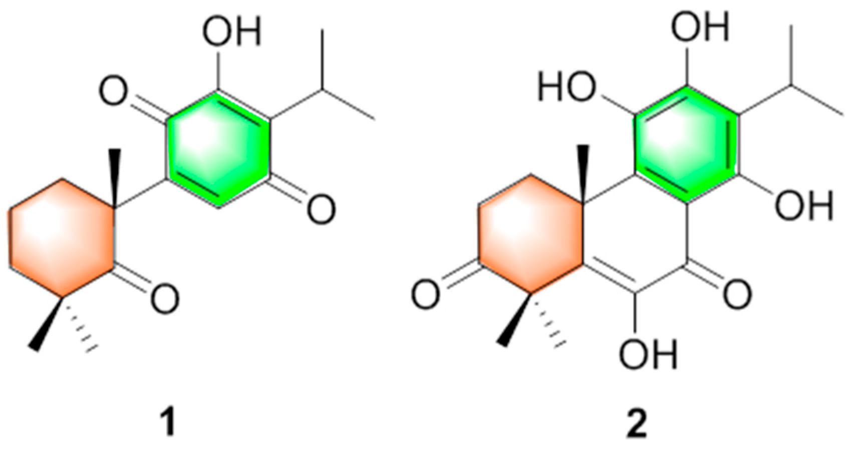
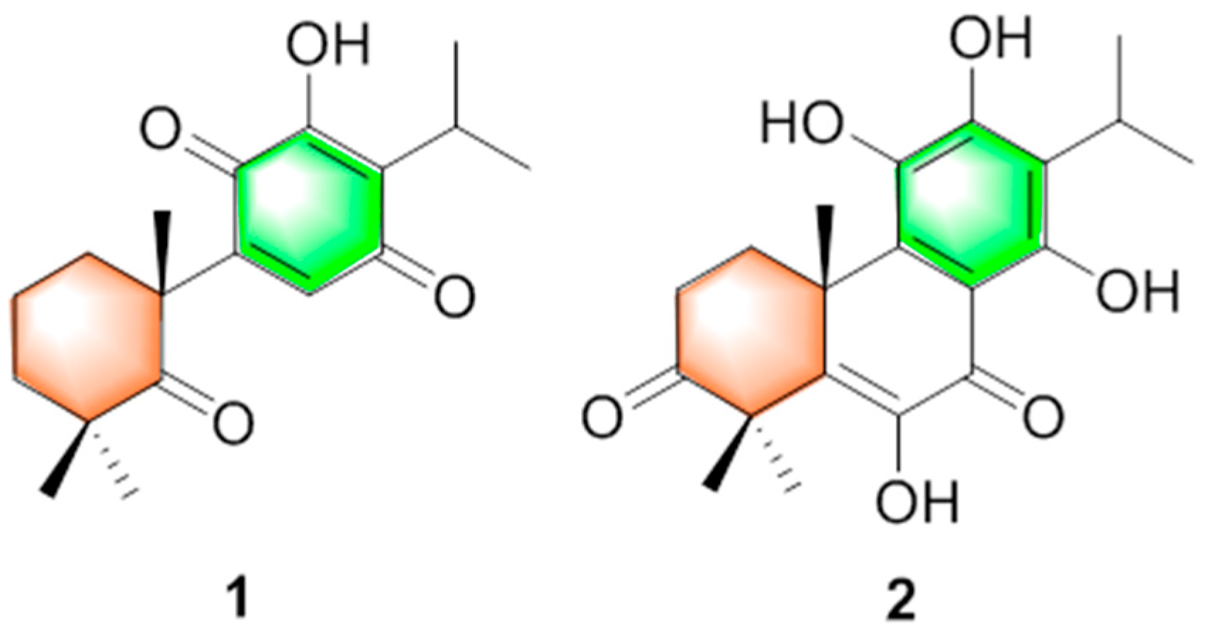
Figure 1.
The chemical structures of compounds 1–2.
2. Results
Compound 1 was obtained as yellow needles crystals (MeOH). Its molecular formula was determined to be C18H24O4 by HRESIMS data (m/z 305.1753 [M + H] +, calcd. for C18H25O4, 305.1747), corresponding to 7 degrees of unsaturation. The IR spectrum showed absorption bands for hydroxyl (3390 cm−1) and carboxyl groups (1651 cm−1, 1635 cm−1). The 1H NMR spectrum showed five methyls [δH 1.20 (6H, s), 1.21 (3H, s), 1.22 (3H, s), 1.38 (3H, s)], one olefinic methines [δH 6.51 (1H, s)] and one hydroxyl [δH 6.92 (s, 1H)] (Table 1). The 13C NMR and DEPT spectrum revealed 18 skeletal carbon signals including five methyls, three methylenes, two methines, five quaternary carbons (including one oxygenated and three olefinic ones) and three carbonyl carbons (δC 218.0, 187.3, 183.3) (Table 1). These spectroscopic features combined with HMBC correlations suggested that 1 was an abietane diterpene similar to royleanone [14], excepting the loss of two methylenes and one methine with an increase in one carbonyl group. The NMR data of 1 showed oxidative cleavage of C-5/6 and C-6/7 and formation a ketone (δC 218.0, C-5) compared to those of royleanone, which also could be confirmed by HRESIMS data and HMBC correlations from H-20 to C-5 and C-9, from H-8 to C-5, C-9, C-10, and from H-18/19 to C-5 (Figure 2). Unambiguously, the planar structure and 10R configuration of 1 were determined by single crystal X-ray diffraction analysis, and named 10R-carnosuain (Figure 3). Compound 1 was a structurally novel 6,7-norditerpenoid, for which spectroscopic and single-crystal data were reported for the first time in this study.
Table 1.
1H (400 MHz) and 13C NMR (101 MHz) spectral data of compounds 1 and 2.
Figure 2.
Key 1H-1H COSY and HMBC correlations of compounds 1–2.
Figure 3.
X-ray ORTEP drawing of compounds 1–2.
Compound 2 was isolated as yellow needles crystals (MeOH). The molecular formula was determined as C20H24O6 by HRESIMS data (m/z 361.1653 [M + H] +, calcd. for C20H25O6, 361.1646). The 1H NMR spectrum showed the signals of five methyls [δH 1.34 (3H, s), 1.36 (3H, s), 1.42 (3H, s), 1.55 (6H, s)]. The 13C NMR data revealed 20 carbon signals including five methyls, two methylenes, one methine, eight olefinic carbons, two quaternary carbons, and three carbonyl carbons with the aid of DEPT and HMQC spectrum (Table 1). The above spectral data suggested that this compound was an abietane diterpenoid with an aromatic C-ring. The 1H-1H COSY established the fragments of C-1/C-2 (-CH2-CH2-) and C-15/C-16/17 (-CH-2CH3) (Figure 2). These features were similar to those of the coisolated coleon U (5) [15], except for the difference in the chemical shift in C-2 and C-4, suggesting the existence of a carbonyl carbon at C-3 (δC 217.7). Moreover, the HMBC correlations from H-1, H-2, H-18, and H-19 to C-3 and HRESIMS data again proved the conclusion. The final structure and 10R configurations of 2 were confirmed by single crystal X-ray diffraction analysis, and named 10R-coleon U-3-one (Figure 3).
Additionally, the 34 reported compounds (3–36) were confirmed by comparing their spectroscopic data with the literature data, and were identified as coleon U quinone (3) [15], 6,7-Dehydroroyleanone (4) [16], 5,6-Dihydrocoleon U (5) [17], coleon U (6) [15], 15-acetoxy-8,13E-labdadien-7-one (7) [18], apigenin (8) [19], luteolin (9) [19], rutin (10) [20], protocatechualdehyde (11) [21], caffeic acid (12) [19], caffeic acid ethyl ester (13) [22], caffeic acid ethylene ester (14) [19], salicylic acid (15) [21], carvacrol (16) [23], thymol (17) [23], β-sitosterol (18) [24], stigmasta-4,22-dien-3-one (19) [24], stigmasta- 4,22-dien-3,6-dione (20) [25], stigmasta-5,22-dien-3,7-dione (21) [26], ursolic acid (22) [27], ursolic aldehyde (23) [27], maslinic acid (24) [21], tormentic acid (25) [21], α-cedrene (26) [28], clovane-2,9-diol (27) [24], α-cyperone (28) [29], esculetin (29) [19], gusanlung C (30) [30], (1R,2R,2′E)-2-[5′-(hydroxy)-2-penten-1-yl]-3-oxocyclopentane acetic acid methyl ester (31) [31], vomifoliol (32) [32], m-cymene (33) [33], 5-hydroxymethylfurfural (34) [32], cineole (35) [34], and azelaic acid (36) [35]. Notably, all the known compounds were identified in C. strobilifer for the first time. The inhibitory effects of all isolated compounds were evaluated against XO. In the assay system, allopurine, which showed IC50 values of 0.009 mM, was used as positive control. Compounds 8, 9, and 29 exhibited moderate inhibition on XO with IC50 values of 0.034 ± 0.004, 0.067 ± 0.005 and 0.284 ± 0.01 mM, respectively (Table S1 in Supplementary Information).
3. Discussion
Up to the present, the chemical composition of C. strobilifer remains largely unexplored, and previous biological studies have been confined to crude extracts [9,10,11,12]. Our work provides the first systematic analysis of its chemical profile and, for the first time, screens the isolated pure compounds for XO inhibitory activity, offering new insights into the bioactive principles of this plant.
As a result, 36 compounds were isolated from C. strobilifer, including two new abietane diterpenes, 10R-carnosuain (1), and 10R-coleon U-3-one (2), together with 34 known compounds (3–36), which were isolated from C. strobilifer for the first time. These include seven abietane diterpenoids (1–7), three flavonoids or flavonoid glycosides (8–10), seven phenolic compounds (11–17), eight sterols (18–25), three sesquiterpenes (26–28), and eight other types of constituents (29–36). It was worth mentioning that compound 1 was a structurally novel 6,7-norditerpenoid, for which spectroscopic and single-crystal data were reported firstly.
The chemical profile of C. strobilifer is mainly dominated by abietane-type diterpenoids, consistent with phytochemical trends in the genus Coleus, which is known for its rich diterpenoid diversity, with over 240 analogues reported to date [36]. The discovery of a rare 6,7-norditerpenoid not only expands the structural repertoire of the genus but may also serve as a species-specific chemotaxonomic marker [37]. While most abietanes in Coleus conform to classical skeleton types such as royleanones, spirocoleons, and quinone derivatives, compound 1 deviates from these frameworks, suggesting that C. strobilifer may harbour unique enzymatic modifications shaping its chemical profile.
In addition to abietane diterpenoids, the remaining metabolites, including flavonoids, phenolics, sterols, sesquiterpenoids, and various other compounds, underscore the structural and functional diversity of C. strobilifer. Flavonoids and phenolics are likely key contributors to redox-related bioactivities, such as antioxidant, anti-inflammatory, and antibacterial effects [38,39]. Sterols, as essential components of plant cell membranes, play critical roles in cellular physiology, development, and stress adaptation [40]. Although less abundant, sesquiterpenes may mediate ecological interactions, including antimicrobial defence and allelopathic functions [41]. The additional miscellaneous metabolites further demonstrate the extensive metabolic versatility of C. strobilifer, highlighting a complex biochemical repertoire that extends far beyond its predominant diterpenoid constituents.
All isolated compounds were initially screened for XO inhibition at 200 μM. Only compounds 8, 9, 29, and the C. strobilifer extract exhibited notable activity (Figure S19). The IC50 values of compounds 8, 9, and 29 were determined as 0.034 ± 0.004, 0.067 ± 0.005, and 0.284 ± 0.01 mM, respectively, showing moderate inhibition compared to the positive control (0.009 mM) (Figure S20 and Table S1). To evaluate whether these compounds were the key active constituents responsible for the extract’s activity, their contents in both aqueous and alcoholic extracts of C. strobilifer were analyzed using UPLC. Further investigation revealed that, at C. strobilifer extract concentration of 1 mg/mL, compounds 8, 9, and 29 reached maximum levels of 0.397, 0.207, and 0.645 μg/mL, respectively (Figure S21 and Table S3). Despite the C. strobilifer alcohol extract exhibiting 90.1% XO inhibition at this concentration, the individual compounds or their combination accounted for less than 11.0% inhibition (Table S4). These results suggest that other constituents or potential synergistic interactions contribute significantly to the overall XO inhibitory activity of the extract, highlighting the complexity of its bioactive profile. These findings clearly indicate that the three compounds contribute minimally to the observed XO inhibitory activity and cannot fully represent the material basis of C. strobilifer extracts. Therefore, while this work significantly expands the phytochemical knowledge of C. strobilifer, the principal bioactive components underlying its pronounced XO inhibitory activity remain to be identified and warrant further investigation.
4. Materials and Methods
4.1. General Experimental Procedures
One-dimensional (1H and 13C) NMR and two-dimensional (1H–1H COSY, HSQC, HMBC, and NOESY) NMR experiments were performed on an AVANCE NEO 400 or 600 MHz spectrometer (Bruker, Fällanden, Switzerland) operating at 400 or 600 MHz for 1H NMR and 101 or 151 MHz for 13C NMR, respectively. Chemical shifts were expressed in δ (ppm) and coupling constants in Hz. The 1H NMR spectra were collected with 16 repetitions, while the 13C NMR spectra were acquired with 1024 co-added scans. HRESIMS data were acquired using an Agilent 6545 Q-TOF LC/MS (Agilent, Palo Alto, CA, USA). The IR spectrum was obtained from a Shimadzu IRAffinity-1S spectrometer (Shimadzu Corporation, Kyoto, Japan) using KBr pellets, with a resolution of 4 cm−1 and 8 scans co-added. Optical rotations were measured by a Perkin Elmer Model 341 polarimeter (Perkin-Elmer, Waltham, MA, USA). X-ray structure was determined on a Bruker D8 venture X-ray diffractometer (Bruker, Billerica, MA, USA). Semi-preparative HPLC was performed on a Shimadzu LC-6AD system with a C18 column (21.2 × 250 mm, 7 μm). A mixture of acetonitrile-H2O was used as eluent. The following materials were utilized: YMC-Gel ODS-A-HG (YMC Co. Ltd., Kyoto, Japan); silica gel (200–300 mesh; Jiangyou Silica Gel Development Co., Ltd., Yantai, China); Sephadex LH-20 (GE Chemical Corporation, Waupaca, WI, USA).
4.2. Plant Material
C. strobilifer was collected in November 2022 from Zhangzhou city, Fujian Province, China, and authenticated by Associate Professor Zhaohui Xu of Shanghai University of Traditional Chinese Medicine. A voucher specimen (BCY102901) was deposited at Shanghai University of Traditional Chinese Medicine.
4.3. Extraction and Isolation
The dried plant (20 kg) was extracted with 80% EtOH (3 × 80 L) under reflux, giving an extraction yield of 9.87%. The extract (1974.89 g) was fractionated via chromatography to afford 1–36 (see Supplementary Information, isolation of all compounds).
4.3.1. 10R-Carnosuain
Yellow, needles crystals (MeOH); −162.08 (c 0.25, MeOH); IR (KBr) γmax 2927, 2870, 1697, 1651, 1635, 1612, 1379, 1288, 1004 cm−1; 1H and 13C NMR data are shown in Table 1; HRESIMS (m/z) 305.1754 [M + H] + (calcd for C18H25O4, 305.1757).
4.3.2. 10R-Coleon U-3-One
Yellow, needles crystals (MeOH); +21.16 (c 0.5, MeOH); IR (KBr) γmax 3385, 2960, 2927, 1701, 1597, 1448, 1340, 1303, 1251, 968 cm−1; 1H and 13C NMR data are shown in Table 1; HRESIMS (m/z) 3 61.1653 [M + H] + (calcd for C20H25O6, 361.1646).
4.3.3. X-Ray Crystal Structure Analysis
Suitable crystals of compounds 1 and 2 were both obtained at room temperature from MeOH solutions. The crystallographic data of 1 and 2 were deposited at the CCDC (numbers 2417597 and 2417599, respectively)
Crystal data for 1: C54H72O12, M = 913.11, a = 6.43390 (10) Å, b = 24.1490 (5) Å, c = 16.5007 (4) Å, α = 90°, β = 94.6670 (10)°, γ = 90°, V = 2555.25 (9) Å3, T = 299 (2) K, space group P 1 21 1, Z = 2, µ (cu kα) = 0.669 mm−1, 72,851 reflections collected, 8752 independent reflections [R (int) = 0.1100], the final R1 indices were 0.0582 (I > 2σ (I)), the final wR2 indices were 0.1433 (I > 2σ (I)), the final R1 indices were 0.0881 (all data), the final wR2 indices were 0.1675 (all data), the goodness-of-fit on F2 was 1.015.
Crystal data for 2: C20H24O6, M = 360.39, a = 8.366 (2) Å, b = 13.326 (5) Å, c = 16.353 (4) Å, α = 90°, β = 90°, γ = 90°, V = 2555.25 (9) Å3, T = 299 (2) K, Space group P 21 21 21, Z = 4, µ (cu kα) = 0.798 mm−1, 51023 reflections collected, 3126 independent reflections [R (int) = 0.0868], the final R1 indices were 0.0373 (I > 2σ (I)), the final wR2 indices were 0.0961 (I > 2σ (I)), the final R1 indices were 0.0401 (all data), the final wR2 indices were 0.0981 (all data), the goodness-of-fit on F2 was 1.054.
4.4. Determination of Xanthine Oxidase Inhibitory Activity
The XO inhibition assay of all compounds was assessed according to the method reported in the literature with minor modification [42] (see Supplementary Information, xanthine oxidase inhibition assay).
5. Conclusions
This study presents the first comprehensive phytochemical investigation of Coleus strobilifer and provides new insights into the bioactive constituents responsible for its traditional medicinal use. A total of 36 compounds were isolated, including two new abietane diterpenes, 10R-carnosuain (1) and 10R-coleon U-3-one (2), along with 34 known compounds, all reported from this species for the first time. Structural elucidation was achieved through extensive spectroscopic analysis, and the absolute configurations of the two new diterpenes were confirmed by single-crystal X-ray diffraction. Among the isolates, compounds 8, 9, and 29 exhibited moderate XO inhibitory activity. However, further analysis showed that their concentrations within the crude extract at 1 mg/mL were very low, and their individual or combined inhibitory effects accounted for only a small fraction of the strong XO inhibition previously reported for the extract. These findings indicate that the major active constituents responsible for the potent anti-hyperuricemic potential of C. strobilifer remain unidentified.
Supplementary Materials
The following supporting information can be downloaded at: https://www.mdpi.com/article/10.3390/molecules31010030/s1, Isolation of all compounds; Xanthine oxidase inhibition assay; Figure S1. Chemical structures of compounds 1–20; Figure S2. Chemical structures of compounds 21–36; Figure S3–S18. 1D NMR, 2D NMR, IR and HR-ESI-MS spectrum of compounds 1 and 2; Spectral data of compounds 3–36; Figure S19. Xanthine oxidase inhibitory activity of compounds 1–36 and C. strobilifer extract; Figure S20. XO inhibitory activity of compounds 8, 9, 29 and allopurinol. Table S1. XO inhibitory activity of compounds 1–36 and allopurinol; Determination of the content of compounds 8, 9, and 29 in Coleus strobilifer; Table S2. Analytical figures of merit by UPLC; Figure S21. UPLC of standards and samples; Table S3. The contents of 8, 9, and 29 in C. strobilifer extract; Table S4. XO inhibitory activity of compounds 8, 9, 29, and C. strobilifer extract.
Author Contributions
Methodology, J.-X.Q. and Y.H.; resources, X.-N.G., T.-Z.L. and B.L.; data curation, M.-Q.W.; writing—original draft preparation, J.-X.Q., Y.H. and X.F.; writing—review and editing, X.F. and S.L.; project administration, S.L.; funding acquisition, X.-W.Z., T.-Z.L. and B.L. All authors have read and agreed to the published version of the manuscript.
Funding
This research was funded by Shanghai Municipal Health Commission Comprehensive Hospital Integrated Traditional Chinese and Western Medicine Collaborative Guidance Project [grant number ZXXT-202302].
Institutional Review Board Statement
Not applicable.
Informed Consent Statement
Not applicable.
Data Availability Statement
The data underlying this article are available in the article and Supplementary Information.
Conflicts of Interest
Authors Xiao-Na Gan, Ting-Zhao Li, and Bo Li were employed by Amway (Shanghai) Innovation & Science Co., Ltd. The remaining authors declare that the research was conducted in the absence of any commercial or financial relationships that could be construed as a potential conflict of interest.
References
- Du, L.; Zong, Y.; Li, H.; Wang, Q.; Xie, L.; Yang, B.; Pang, Y.; Zhang, C.; Zhong, Z.; Gao, J. Hyperuricemia and its related diseases: Mechanisms and advances in therapy. Signal Transduct. Target. Ther. 2024, 9, 212. [Google Scholar] [CrossRef]
- Sun, Z.; Zhang, X.; Zhao, Z.; Li, X.; Pang, J.; Chen, J. Recent Progress and Future Perspectives on Anti-Hyperuricemic Agents. J. Med. Chem. 2024, 67, 19966–19987. [Google Scholar] [CrossRef]
- Piani, F.; Agnoletti, D.; Borghi, C. Advances in pharmacotherapies for hyperuricemia. Expert. Opin. Pharmacother. 2023, 24, 737–745. [Google Scholar] [CrossRef]
- Otani, N.; Ouchi, M.; Kudo, H.; Tsuruoka, S.; Hisatome, I.; Anzai, N. Recent approaches to gout drug discovery: An update. Expert Opin. Drug Discov. 2020, 15, 943–954. [Google Scholar] [CrossRef]
- Senatore, F.; Lentini, F.; Venza, F.; Bruno, M.; Napolitano, F. Composition and antibacterial activity of the essential oil of Anisochilus carnosus (Linn. fil.) Benth., a Tamil plant acclimatized in Sicily. Flavour Fragr. J. 2003, 18, 202–204. [Google Scholar] [CrossRef]
- National Administration of Traditional Chinese Medicine. Chinese Materia Medica; Shanghai Scientific & Technical Publishers: Shanghai, China, 1998; Herbal Volume, p. 6012. [Google Scholar]
- Shang, C.L.; Li, Y.X.; Duan, S.Q.; Zhang, N.; Lu, Y. Study on quality standard of Anisochilus carnosus Fructus. Chin. Mod. Med. 2016, 23, 12–15. [Google Scholar]
- Gandhi, R.R.; Kopare, N.P.; Rathod, S.A.; Shirsat, R.P.; Koche, D.K. Physico-chemical, Fluorescent and Phytochemical analysis of Anisochilus carnosus (Lf) Wall: A Lamiaceae herb from Maharashtra, India. Indian J. Appl. Pure Biol. 2022, 37, 1–12. [Google Scholar]
- Bhagat, J.; Lobo, R.; Parmar, V.; Ballal, M. In vitro Free Radical Scavenging Potential of Indian Habitant Anisochilus carnosus (L.F.) Wall. Chin. J. Nat. Med. 2011, 9, 456–460. [Google Scholar]
- Gupta, N.; Lobo, R.; Kumar, N.; Bhagat, J.; Mathew, J. Identity-based high-performance thin layer chromatography fingerprinting profile and tumor inhibitory potential of Anisochilus carnosus (L.f.) wall against ehrlich ascites carcinoma. Pharmacogn. Mag. 2015, 11, 474. [Google Scholar]
- Shirsat, R.P.; Imran, S.; Deepak, K.K. A report on identification of a unique hygrine like compound from chloroform extract of Anisochilus carnosus (Lf) Wall. Drug Discov. 2020, 14, 130–134. [Google Scholar]
- Bhagat, J.; Lobo, R.; Kumar, N.; Mathew, J.E.; Pai, A. Cytotoxic potential of Anisochilus carnosus (Lf) wall and estimation of luteolin content by HPLC. BMC Complement. Altern. Med. 2014, 14, 421. [Google Scholar] [CrossRef] [PubMed]
- Gan, X.N.; Li, B.; Li, T.Z. Compositions and Methods for Inhibiting Xanthine Oxidase. CN Patent CN202211017599.0, 2 November 2022. [Google Scholar]
- Hijazi, M.; Hijazi, K.; Bouhadir, K.; Fatfat, Z.; Aboul-Ela, M.; Gali-Muhtasib, H.; El-Lakany, A. Anticancer activity of abietane diterpenoids from Salvia libanoticum grown in Lebanon. Pharmacogn. Mag. 2021, 17, 127. [Google Scholar] [CrossRef]
- Ntungwe, E.N.; Stojanov, S.J.; Duarte, N.M.; Candeias, N.R.; Díaz-Lanza, A.M.; Vágvölgyi, M.; Hunyadi, A.; Pešić, M.; Rijo, P. C20-nor-Abietane and Three Abietane Diterpenoids from Plectranthus mutabilis Leaves as P-Glycoprotein Modulators. ACS Med. Chem. Lett. 2022, 13, 674–680. [Google Scholar] [CrossRef]
- Kusumoto, N.; Ashitani, T.; Hayasaka, Y.; Murayama, T.; Ogiyama, K.; Takahashi, K. Antitermitic Activities of Abietane-type Diterpenes from Taxodium distichum Cones. J. Chem. Ecol. 2009, 35, 635–642. [Google Scholar] [CrossRef] [PubMed]
- Alder, A.C.; Rüdi, P.; Eugster, H. Drüsenfarbstoffe aus Labiaten: Die polaren Diterpenoide aus Plectranthus argentatus S. T. BLAKE. Helv. Chim. Acta 1984, 67, 1523–1530. [Google Scholar] [CrossRef]
- Urones, J.G.; Marcos, I.S.; Cubillo, I.; Garrido, N.M.; Basabe, P. Terpenoid compounds from Parentucellia latifolia. Phytochemistry 1990, 29, 2223–2228. [Google Scholar] [CrossRef]
- Huo, L.N.; Wang, W.; Liu, Y.; Liu, X.H.; Zhang, L.; Cheng, K.; Liu, K.; Gao, H. Chemical constituents from leaves of Perilla frutescens. Chin. Tradit. Herb. Drugs 2016, 47, 26–31. [Google Scholar]
- Hung, C.Y.; Tsai, Y.C.; Li, K.Y. Phenolic Antioxidants Isolated from the Flowers of Osmanthus fragrans. Molecules 2012, 17, 10724–10737. [Google Scholar] [CrossRef]
- Chen, C.L.; Hu, S.J.; Zhu, L.L.; Yao, L.M.; Wang, X.X.; Zhang, A.N.; Zhang, Q.Y.; Qin, L.P.; Wu, J.J. Isolation and identification of chemical constituents of Rubi Fructus, screening novel cannabinoid CB2 receptor agonist and evaluation of its anti-osteoporosis effect. Chin. Tradit. Herb. Drugs 2024, 55, 386–401. [Google Scholar]
- Zhao, J.; Wei, F.; Liu, H.; Qin, R.; Yang, X. Two aromatic acid derivatives and a xanthone from Hypericum hengshanense. Nat. Prod. Res. 2024, 38, 1537–1544. [Google Scholar] [CrossRef]
- Games, E.; Guerreiro, M.; Santana, F.; Pinheiro, N.; De Oliveira, E.; Lopes, F.; Olivo, C.; Tibério, I.; Martins, M.; Lago, J.; et al. Structurally Related Monoterpenes p-Cymene, Carvacrol and Thymol Isolated from Essential Oil from Leaves of Lippia sidoides Cham. (Verbenaceae) Protect Mice against Elastase-Induced Emphysema. Molecules 2016, 21, 1390. [Google Scholar] [CrossRef] [PubMed]
- Zou, J.; Dong, M.H.; Zhou, L.; Zhao, C.L.; Ye, J.H.; Zhang, J. Chemical constituents from Isodon amethystoides distributed in Libo. Chin. Tradit. Herb. Drugs 2020, 51, 4405–4410. [Google Scholar]
- Acebedo, S.L.; Alonso, F.; Ramírez, J.A.; Galagovsky, L.R. Synthesis of aromatic stigmastanes: Application to the synthesis of aromatic analogs of brassinosteroids. Tetrahedron 2012, 68, 3685–3691. [Google Scholar] [CrossRef]
- Dube, N.P.; Tembu, V.J.; Nyemba, G.R.; Davison, C.; Rakodi, G.H.; Kemboi, D.; De La Mare, J.A.; Siwe-Noundou, X.; Manicum, A.-L.E. In vitro cytotoxic effect of stigmasterol derivatives against breast cancer cells. BMC Complement. Med. Ther. 2023, 23, 316. [Google Scholar] [CrossRef]
- Wang, M.C.; Kong, W.Z.; Yang, G.C.; Wang, C.H.; Zhang, L.H.; Gao, J.M.; Zhang, X.Y. Structure, anti-inflammatory and anti-bacterial activities of novel pentacyclic triterpenoids and other constituents from the leaves of Pittosporum elevaticostatum. Fitoterapia 2024, 177, 106142. [Google Scholar] [CrossRef]
- Brown, G.D.; Liang, G.Y.; Sy, L.K. Terpenoids from the seeds of Artemisia annua. Phytochemistry 2003, 64, 303–323. [Google Scholar] [CrossRef]
- Duan, W.L.; Lou, J.H.; Wang, Q.; Zhao, Z.Y.; Lai, Q.; Pei, Q.; Pei, S.F.; Zeng, G.Z.; Yin, J.L. Study on the chemical constituents of Cyperus papyrus. Nat. Prod. Res. Dev. 2021, 33, 1129–1136. [Google Scholar]
- Jin, H.Z.; Mao, S.H.; Zhou, T.X.; Wang, R.; Tang, X.C.; Qin, G.W. Alkaloids from Stems of Sinomenium acutum. Chin. J. Nat. Med. 2007, 5, 35–37. [Google Scholar]
- Zhang, X.; Wang, Y.; Qin, Q.; Wang, Y.; Xu, J.; He, X. Pronounced anti-neuroinflammatory jasmonates and terpenes isolated from lychee seeds. Fitoterapia 2021, 152, 104924. [Google Scholar] [CrossRef]
- Yang, P.W.; Zhang, P.L.; Han, Z.J.; Yang, Y.B.; Wu, T. Two new sulfur-containing derivatives from Raphani Semen. Chin. Tradit. Herb. Drugs 2023, 54, 3408–3416. [Google Scholar]
- Collin, G.; Garneau, F.X.; Gagnon, H.; Pichette, A.; Lavoie, S. Analysis of Cymenes in Essential Oils: The Case of Lepechinia meyeni (Walp.) Epling. J. Essent. Oil Res. 2010, 22, 310–313. [Google Scholar] [CrossRef]
- Carman, R.M.; Garner, A.C.; Klika, K.D. 2,9-Dihydroxy- and 2,10-Dihydroxy-1,8-cineole. Two New Possum Urinary Metabolites. Aust. J. Chem. 1994, 47, 1509–1521. [Google Scholar] [CrossRef]
- Li, M.X.; Cui, X.L.; Huang, D.D.; Ji, R.F.; Yang, J.; He, X. Chemical constituents from Tripterygium wilfordii and antioxidant activities offlavanols. Chin. Tradit. Herb. Drugs 2023, 54, 6220–6227. [Google Scholar]
- Gáborová, M.; Šmejkal, K.; Kubínová, R. Abietane diterpenes of the genus Plectranthus sensu lato. Molecules 2021, 27, 166. [Google Scholar] [CrossRef]
- Grayer, R.J.; Paton, A.J.; Simmonds, M.S.; Howes, M.J.R. Differences in diterpenoid diversity reveal new evidence for separating the genus Coleus from Plectranthus. Nat. Prod. Rep. 2021, 38, 1720–1728. [Google Scholar] [CrossRef]
- Shen, N.; Wang, T.; Gan, Q.; Liu, S.; Wang, L.; Jin, B. Plant flavonoids: Classification, distribution, biosynthesis, and antioxidant activity. Food Chem. 2022, 383, 132531. [Google Scholar] [CrossRef]
- Sarkar, D.; Shetty, K. Metabolic stimulation of plant phenolics for food preservation and health. Annu. Rev. Food Sci. Technol. 2014, 5, 395–413. [Google Scholar] [CrossRef]
- Du, Y.; Fu, X.; Chu, Y.; Wu, P.; Liu, Y.; Ma, L.; Tian, H.; Zhu, B. Biosynthesis and the roles of plant sterols in development and stress responses. Int. J. Mol. Sci. 2022, 23, 2332. [Google Scholar] [CrossRef] [PubMed]
- Li, C.; Zha, W.; Li, W.; Wang, J.; You, A. Advances in the biosynthesis of terpenoids and their ecological functions in plant resistance. Int. J. Mol. Sci. 2023, 24, 11561. [Google Scholar] [CrossRef]
- Zhong, H.; Abdulla; Zhang, Y.; Deng, L.; Zhao, M.; Tang, J.; Zhang, H.; Feng, F.; Wang, J. Exploring the potential of novel xanthine oxidase inhibitory peptide (ACECD) derived from Skipjack tuna hydrolysates using affinity-ultrafiltration coupled with HPLC-MALDI-TOF/TOF-MS. Food Chem. 2021, 347, 129068. [Google Scholar] [CrossRef]
Disclaimer/Publisher’s Note: The statements, opinions and data contained in all publications are solely those of the individual author(s) and contributor(s) and not of MDPI and/or the editor(s). MDPI and/or the editor(s) disclaim responsibility for any injury to people or property resulting from any ideas, methods, instructions or products referred to in the content. |
© 2025 by the authors. Licensee MDPI, Basel, Switzerland. This article is an open access article distributed under the terms and conditions of the Creative Commons Attribution (CC BY) license.


