Preparation of Quercetin/Copper Nanoparticles and Their Preservation Performance on Shine Muscat Grapes
Abstract
1. Introduction
2. Results and Discussion
2.1. Characterization of QC NPs
2.1.1. Particle Size, Zeta Potential, and PDI of QC NPs
2.1.2. UV–Vis Spectroscopy and FTIR Spectroscopy of QC NPs
2.1.3. XPS of QC NPs and Quercetin
2.2. Pharmacological Activity of QC NPs
2.2.1. The Antioxidant Activity and Antibacterial Activity of QC NPs
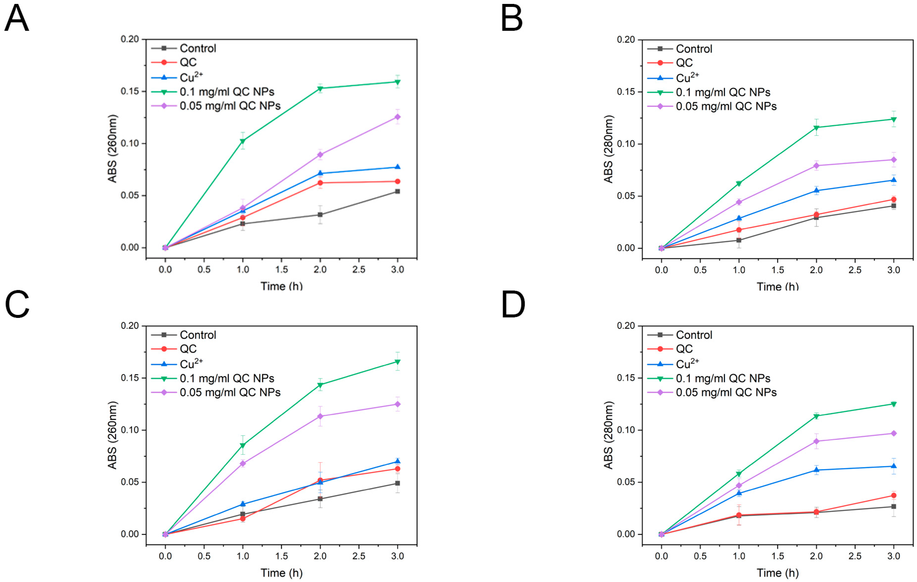
2.2.2. Mechanism of Antibacterial Activity by QC NPs
2.2.3. Biofilm Degradation Activity of QC NPs
2.3. Biosafety of QC NPs
2.4. Coating Preservation of Shine Muscat Grapes
2.4.1. The Appearance of Shine Muscat Grapes
2.4.2. The Weight Loss and Firmness of Shine Muscat Grapes
2.4.3. The Titratable Acid (TA) Content of Shine Muscat Grapes
3. Materials and Methods
3.1. Materials and Reagents
3.2. Preparation and Characterization of QC NPs
3.3. Analysis of Antioxidant Activities of QC NPs
3.3.1. ABTS Radical Scavenging Activity
3.3.2. DPPH Radical Scavenging Activity
3.4. Analysis of Antibacterial Activity and Antibacterial Mechanism of QC NPs
3.4.1. Culture Conditions of Strains
3.4.2. Antibacterial Activity Analysis
3.4.3. Field Emission Scanning Electron Microscopy (FESEM) Observation
3.4.4. ROS Content Analysis and Flow Cytometry Analysis
3.4.5. Nucleic Acid and Protein Leakage Analysis
3.4.6. Biofilm Degradation Activity Analysis
3.5. Biosafety Analysis
3.5.1. Cytotoxicity Assay
3.5.2. Hemolysis Rates Assay
3.6. Application to Shine Muscat Grapes
3.6.1. Coating Treatment of Grapes
3.6.2. Weight Loss
3.6.3. Firmness
3.6.4. Titratable Acid (TA) Content
3.7. Statistical Analysis
4. Conclusions
Author Contributions
Funding
Institutional Review Board Statement
Informed Consent Statement
Data Availability Statement
Conflicts of Interest
References
- Yamada, M.; Yamane, H.; Sato, A.; Hirakawa, N.; Iwanami, H.; Yoshinaga, K.; Ozawa, T.; Mitani, N.; Shiraishi, M.; Yoshioka, M. New grape cultivar ‘Shine muscat’. Bull. Natl. Inst. Fruit Tree Sci. 2008, 7, 21–38. [Google Scholar]
- Li, J.; Ma, T.; Bao, S.; Yin, D.; Ge, Q.; Li, C.; Fang, Y.; Sun, X. Suitable crop loading: An effective method to improve “Shine muscat” grape quality. Food Chem. 2023, 424, 136451. [Google Scholar] [CrossRef]
- Gao, W.; Yang, L.; Ben, H.; Yao, Y.; Wang, Y.; Zhang, P. First Report of Black Spot of Shine muscat Fruit Caused by Cladosporium allicinum in China. Plant Dis. 2023, 107, 2847. [Google Scholar] [CrossRef]
- Shimizu, T.; Kono, A.; Suzaki, K. Transcriptional analysis of defense-related genes induced by infection with the causal agent of downy mildew, Plasmopara viticola, in grapevine cultivar Shine muscat. J. Gen. Plant Pathol. 2019, 85, 182–188. [Google Scholar] [CrossRef]
- Chen, K.; Jiang, J.; Tian, R.; Kuang, Y.; Wu, K.; Xiao, M.; Liu, Y.; Qian, H.; Jiang, F. Properties of konjac glucomannan/curdlan-based emulsion films incorporating camellia oil and the preservation effect as coatings on ‘Kyoho’ grapes. Int. J. Biol. Macromol. 2024, 258, 128836. [Google Scholar] [CrossRef]
- Banger, A.; Kumari, A.; Jangid, N.K.; Jadoun, S.; Srivastava, A.; Srivastava, M. A review on green synthesis and characterisation of copper nanoparticles using plant extracts for biological applications. Environ. Technol. Rev. 2025, 14, 94–126. [Google Scholar] [CrossRef]
- Lungu, I.I.; Cioanca, O.; Mircea, C.; Tuchilus, C.; Stefanache, A.; Huzum, R.; Hancianu, M. Insights into Catechin–Copper Complex Structure and Biologic Activity Modulation. Molecules 2024, 29, 4969. [Google Scholar] [CrossRef] [PubMed]
- Chatterjee, A.K.; Chakraborty, R.; Basu, T. Mechanism of antibacterial activity of copper nanoparticles. Nanotechnology 2014, 25, 135101. [Google Scholar] [CrossRef]
- Zymone, K.; Benetis, R.; Trumbeckas, D.; Baseviciene, I.; Trumbeckaite, S. Different Effects of Quercetin Glycosides and Quercetin on Kidney Mitochondrial Function—Uncoupling, Cytochrome C Reducing and Antioxidant Activity. Molecules 2022, 27, 6377. [Google Scholar] [CrossRef]
- Du, T.; Li, X.; Wang, S.; Su, Z.; Sun, H.; Wang, J.; Zhang, W. Phytochemicals-based edible coating for photodynamic preservation of fresh-cut apples. Food Res. Int. 2023, 163, 112293. [Google Scholar] [CrossRef]
- Shi, S.; Lan, X.; Ding, X.; Han, X.; Sun, J.; Wang, J.; Duan, J. Metal-phenolic networks spontaneously reinforced carrageenan-based packaging films with antibacterial and antioxidant properties. Int. J. Biol. Macromol. 2024, 279, 135143. [Google Scholar] [CrossRef]
- Xu, Y.; Xiao, L.; Chen, J.; Wu, Q.; Yu, W.; Zeng, W.; Shi, Y.; Lu, Y.; Liu, Y. α-Fe2O3 based nanotherapeutics for near-infrared/dihydroartemisinin dual-augmented chemodynamic antibacterial therapy. Acta Biomater. 2022, 150, 367–379. [Google Scholar] [CrossRef]
- Yu, R.; Chen, H.; He, J.; Zhang, Z.; Zhou, J.; Zheng, Q.; Fu, Z.; Lu, C.; Lin, Z.; Caruso, F.; et al. Engineering Antimicrobial Metal–Phenolic Network Nanoparticles with High Biocompatibility for Wound Healing. Adv. Mater. 2023, 36, e2307680. [Google Scholar] [CrossRef] [PubMed]
- Qu, H.; Wu, J.; Pan, Y.; Abdulla, A.; Duan, Z.; Cheng, W.; Wang, N.; Chen, H.; Wang, C.; Yang, J.; et al. Biomimetic Nanomodulator Regulates Oxidative and Inflammatory Stresses to Treat Sepsis-Associated Encephalopathy. ACS Nano 2024, 18, 28228–28245. [Google Scholar] [CrossRef]
- Liu, T.; Ma, M.; Ali, A.; Liu, Q.; Bai, R.; Zhang, K.; Guan, Y.; Wang, Y.; Liu, J.; Zhou, H. Self-assembled copper tannic acid nanoparticles: A powerful nano-bactericide by valence shift of copper. Nano Today 2024, 54, 102071. [Google Scholar] [CrossRef]
- Ma, R.-H.; Wang, W.; Hou, C.-P.; Man, Y.-F.; Ni, Z.-J.; Thakur, K.; Zhang, J.-G.; Wei, Z.-J. Structural characterization and stability of glycated bovine serum albumin-kaempferol nanocomplexes. Food Chem. 2023, 415, 135778. [Google Scholar] [CrossRef]
- Liu, D.; Zhang, C.; Pu, Y.; Chen, S.; Li, H.; Zhong, Y. Novel colorimetric films based on polyvinyl alcohol/sodium carboxymethyl cellulose doped with anthocyanins and betacyanins to monitor pork freshness. Food Chem. 2023, 404, 134426. [Google Scholar] [CrossRef] [PubMed]
- Mashhadi, Z.; Davati, N.; Emamifar, A.; Karami, M. The effect of nano/microparticles of bee pollen on the shelf life of high-fat cooked sausage during refrigerated storage. Food Sci. Nutr. 2024, 12, 4269–4283. [Google Scholar] [CrossRef]
- Nguyen, A.T.; Akanbi, T.O.; Tawiah, N.A.; Aryee, A.N. Valorization of seed and kernel marcs and evaluation of their antioxidant potential. Food Chem. 2022, 390, 133168. [Google Scholar] [CrossRef]
- Chang, L.; Xu, L.; Yang, Z.; Liu, L.; Qiu, D. Antibacterial and antioxidative biogenic films for room-temperature strawberry preservation. Food Chem. 2023, 405, 134893. [Google Scholar] [CrossRef]
- Li, J.; Wang, Y.; Ma, Y.; Zheng, N.; Liu, J.; Liu, T. Preparation and characterization of chitosan-based corn protein composites constructed with TG enzyme and their preservation performance on strawberries. Int. J. Biol. Macromol. 2024, 270, 132190. [Google Scholar] [CrossRef] [PubMed]
- Qin, X.; Tian, R.; Wang, B.; Yang, H.; Chen, J.; Wang, X.; Zhou, J.; Chen, Q.; Tian, J.; Yang, Y. Metal-Phenolic Nanocapsules with Photothermal Antibacterial and Ros Scavenging Ability for Diabetic Wound Healing. Adv. Healthc. Mater. 2024, 13, e2303604. [Google Scholar] [CrossRef] [PubMed]
- Ma, B.; Wang, S.; Liu, F.; Zhang, S.; Duan, J.; Li, Z.; Kong, Y.; Sang, Y.; Liu, H.; Bu, W.; et al. Self-Assembled Copper–Amino Acid Nanoparticles for in Situ Glutathione “AND” H2O2 Sequentially Triggered Chemodynamic Therapy. J. Am. Chem. Soc. 2018, 141, 849–857. [Google Scholar] [CrossRef] [PubMed]
- Su, L.-J.; Zhang, J.-H.; Gomez, H.; Murugan, R.; Hong, X.; Xu, D.; Jiang, F.; Peng, Z.-Y. Reactive Oxygen Species-Induced Lipid Peroxidation in Apoptosis, Autophagy, and Ferroptosis. Oxidative Med. Cell. Longev. 2019, 2019, 5080843. [Google Scholar] [CrossRef]
- Li, J.; Li, J.; Sun, M.; Sun, M.; Tang, X.; Tang, X.; Liu, Y.; Liu, Y.; Ou, C.; Ou, C.; et al. Acidic biofilm microenvironment-responsive ROS generation via a protein nanoassembly with hypoxia-relieving and GSH-depleting capabilities for efficient elimination of biofilm bacteria. Acta Biomater. 2024, 186, 439–453. [Google Scholar] [CrossRef]
- Wu, Y.; Xu, F.; Zhao, H.; Wu, H.; Sun, C.; Li, Q. Furoic acid-mediated konjac glucomannan/flaxseed gum based green biodegradable antibacterial film for Shine-Muscat grape preservation. Int. J. Biol. Macromol. 2023, 253, 126883. [Google Scholar] [CrossRef]
- Khalid, S.; Malik, A.U.; Khan, A.S.; Khan, M.N.; Ullah, M.I.; Abbas, T.; Khalid, M.S. Tree age and fruit size in relation to postharvest respiration and quality changes in ‘Kinnow’ mandarin fruit under ambient storage. Sci. Hortic. 2017, 220, 183–192. [Google Scholar] [CrossRef]
- Luo, J.; Yu, W.; Xiao, Y.; Zhang, Y.; Peng, F. Strawberry FaSnRK1α Regulates Anaerobic Respiratory Metabolism under Waterlogging. Int. J. Mol. Sci. 2022, 23, 4914. [Google Scholar] [CrossRef]
- Liu, J.; Zhao, Y.; Xu, H.; Zhao, X.; Tan, Y.; Li, P.; Li, D.; Tao, Y.; Liu, D. Fruit softening correlates with enzymatic activities and compositional changes in fruit cell wall during growing in Lycium barbarum L. Int. J. Food Sci. Technol. 2021, 56, 3044–3054. [Google Scholar] [CrossRef]
- Liu, M.; Li, G.; Sun, W.; Li, H.; Fu, J.; Zong, W.; Han, W. Effect of ultrasonic treatment on water-soluble pectin and degrading enzymes in cell wall of persimmon fruit during storage. J. Food Compos. Anal. 2023, 121, 105341. [Google Scholar] [CrossRef]
- Jiang, Y.; Yu, L.; Hu, Y.; Zhu, Z.; Zhuang, C.; Zhao, Y.; Zhong, Y. Electrostatic spraying of chitosan coating with different deacetylation degree for strawberry preservation. Int. J. Biol. Macromol. 2019, 139, 1232–1238. [Google Scholar] [CrossRef] [PubMed]
- Duan, N.; Li, Q.; Meng, X.; Wang, Z.; Wu, S. Preparation and characterization of k-carrageenan/konjac glucomannan/TiO2 nanocomposite film with efficient anti-fungal activity and its application in strawberry preservation. Food Chem. 2021, 364, 130441. [Google Scholar] [CrossRef]
- Zhou, X.; Cheng, R.; Wang, B.; Zeng, J.; Xu, J.; Li, J.; Kang, L.; Cheng, Z.; Gao, W.; Chen, K. Biodegradable sandwich-architectured films derived from pea starch and polylactic acid with enhanced shelf-life for fruit preservation. Carbohydr. Polym. 2021, 251, 117117. [Google Scholar] [CrossRef] [PubMed]
- Yan, Y.; Duan, S.; Zhang, H.; Liu, Y.; Li, C.; Hu, B.; Liu, A.; Wu, D.; He, J.; Wu, W. Preparation and characterization of Konjac glucomannan and pullulan composite films for strawberry preservation. 2020, 243, 116446. [Google Scholar] [CrossRef]
- Cheng, J.; Zhang, H.; Lu, K.; Zou, Y.; Jia, D.; Yang, H.; Chen, H.; Zhang, Y.; Yu, Q. Bi-functional quercetin/copper nanoparticles integrating bactericidal and anti-quorum sensing properties for preventing the formation of biofilms. Biomater. Sci. 2024, 12, 1788–1800. [Google Scholar] [CrossRef]
- Re, R.; Pellegrini, N.; Proteggente, A.; Pannala, A.; Yang, M.; Rice-Evans, C. Antioxidant activity applying an improved ABTS radical cation decolorization assay. Free Radic. Biol. Med. 1999, 26, 1231–1237. [Google Scholar] [CrossRef]
- Jo, Y.-J.; Cho, H.-S.; Chun, J.-Y. Antioxidant activity of β-cyclodextrin inclusion complexes containing trans-cinnamaldehyde by DPPH, ABTS and FRAP. Food Sci. Biotechnol. 2021, 30, 807–814. [Google Scholar] [CrossRef] [PubMed]
- Brand-Williams, W.; Cuvelier, M.E.; Berset, C. Use of a free radical method to evaluate antioxidant activity. LWT Food Sci. Technol. 1995, 28, 25–30. [Google Scholar] [CrossRef]
- Samsonowicz, M.; Regulska, E.; Karpowicz, D.; Leśniewska, B. Antioxidant properties of coffee substitutes rich in polyphenols and minerals. Food Chem. 2019, 278, 101–109. [Google Scholar] [CrossRef]
- Yang, H.; Song, L.; Sun, P.; Su, R.; Wang, S.; Cheng, S.; Zhan, X.; Lü, X.; Xia, X.; Shi, C. Synergistic bactericidal effect of ultrasound combined with citral nanoemulsion on Salmonella and its application in the preservation of purple kale. Ultrason. Sonochem. 2023, 92, 106269. [Google Scholar] [CrossRef]
- Lu, C.; Hei, R.; Song, X.; Fan, Z.; Guo, D.; Luo, J.; Ma, Y. Metal oxide nanoparticles inhibit nitrogen fixation and rhizosphere colonization by inducing ROS in associative nitrogen-fixing bacteria Pseudomonas stutzeri A1501. Chemosphere 2023, 336, 139223. [Google Scholar] [CrossRef] [PubMed]
- Hong, Y.; Zeng, J.; Wang, X.; Drlica, K.; Zhao, X. Post-stress bacterial cell death mediated by reactive oxygen species. Proc. Natl. Acad. Sci. USA 2019, 116, 10064–10071. [Google Scholar] [CrossRef]
- Majumder, A.; Sarkar, C.; Das, I.; Sk, S.; Bandyopadhyay, S.; Mandal, S.; Bera, M. Design, Synthesis and Evaluation of a Series of Zinc(II) Complexes of Anthracene-Affixed Multifunctional Organic Assembly as Potential Antibacterial and Antibiofilm Agents against Methicillin-Resistant Staphylococcus aureus. ACS Appl. Mater. Interfaces 2023, 15, 22781–22804. [Google Scholar] [CrossRef] [PubMed]
- Ridha, D.M.; Al-Awady, M.J.; Al-Zwaid, A.J.A.; Balakit, A.A.; Al-Dahmoshi, H.O.; Alotaibi, M.H.; El-Hiti, G.A. Antibacterial and antibiofilm activities of selenium nanoparticles-antibiotic conjugates against anti-multidrug-resistant bacteria. Int. J. Pharm. 2024, 658, 124214. [Google Scholar] [CrossRef]
- Singh, S.; Mishra, P. Bacitracin and isothiocyanate functionalized silver nanoparticles for synergistic and broad spectrum antibacterial and antibiofilm activity with selective toxicity to bacteria over mammalian cells. Mater. Sci. Eng. C 2022, 133, 112649. [Google Scholar] [CrossRef]
- Cao, S.; Li, Q.; Zhang, S.; Liu, Z.; Lv, X.; Chen, J. Preparation of biodegradable carboxymethyl cellulose/dopamine/Ag NPs cryogel for rapid hemostasis and bacteria-infected wound repair. Int. J. Biol. Macromol. 2022, 222, 272–284. [Google Scholar] [CrossRef] [PubMed]
- Wang, W.; Zhang, S.; Yuan, Z.; Yang, S.; Li, T.; Wang, Y.; Yuan, F.; Dong, W. pH responsive THPS crosslinked injectable hydrogel with Cu-metformin sustained-release for accelerating wound healing. Chem. Eng. J. 2024, 492, 152373. [Google Scholar] [CrossRef]
- Su, Q.; Su, W.; Xing, S.; Tan, M. Enhanced stability of anthocyanins by cyclodextrin–metal organic frameworks: Encapsulation mechanism and application as protecting agent for grape preservation. Carbohydr. Polym. 2024, 326, 121645. [Google Scholar] [CrossRef]
- Liu, Q.; Wang, L.; Wang, Z.; Li, Y.; Chen, H. Preparation and characterization of carvacrol/soybean protein isolate composite film with efficient antimicrobial and antioxidant activities and its application in grape preservation. Food Chem. 2025, 464, 141572. [Google Scholar] [CrossRef]











Disclaimer/Publisher’s Note: The statements, opinions and data contained in all publications are solely those of the individual author(s) and contributor(s) and not of MDPI and/or the editor(s). MDPI and/or the editor(s) disclaim responsibility for any injury to people or property resulting from any ideas, methods, instructions or products referred to in the content. |
© 2025 by the authors. Licensee MDPI, Basel, Switzerland. This article is an open access article distributed under the terms and conditions of the Creative Commons Attribution (CC BY) license (https://creativecommons.org/licenses/by/4.0/).
Share and Cite
Che, K.; Chen, Z.; Weng, L.; Zhou, B.; Gao, W.; Liu, R.; Yang, J.; Luo, H.; Hu, W. Preparation of Quercetin/Copper Nanoparticles and Their Preservation Performance on Shine Muscat Grapes. Molecules 2025, 30, 1438. https://doi.org/10.3390/molecules30071438
Che K, Chen Z, Weng L, Zhou B, Gao W, Liu R, Yang J, Luo H, Hu W. Preparation of Quercetin/Copper Nanoparticles and Their Preservation Performance on Shine Muscat Grapes. Molecules. 2025; 30(7):1438. https://doi.org/10.3390/molecules30071438
Chicago/Turabian StyleChe, Kundian, Zhanjun Chen, Luo Weng, Baogang Zhou, Wei Gao, Ran Liu, Jialin Yang, Haoyuan Luo, and Wenzhong Hu. 2025. "Preparation of Quercetin/Copper Nanoparticles and Their Preservation Performance on Shine Muscat Grapes" Molecules 30, no. 7: 1438. https://doi.org/10.3390/molecules30071438
APA StyleChe, K., Chen, Z., Weng, L., Zhou, B., Gao, W., Liu, R., Yang, J., Luo, H., & Hu, W. (2025). Preparation of Quercetin/Copper Nanoparticles and Their Preservation Performance on Shine Muscat Grapes. Molecules, 30(7), 1438. https://doi.org/10.3390/molecules30071438

