Hepatotoxicity Evaluation of Levornidazole and Its Three Main Impurities: Based on Structure–Toxicity Classification Prediction Combined with Zebrafish Toxicity Assessment
Abstract
1. Introduction
2. Results
2.1. Hepatotoxicity Prediction Modeling
2.2. Prediction of Compound Hepatotoxicity
2.3. The Impact of Structural Characterization on Hepatotoxicity
2.4. MNLC and LC10 of Compounds
2.5. Qualitative Assessment of Hepatotoxicity
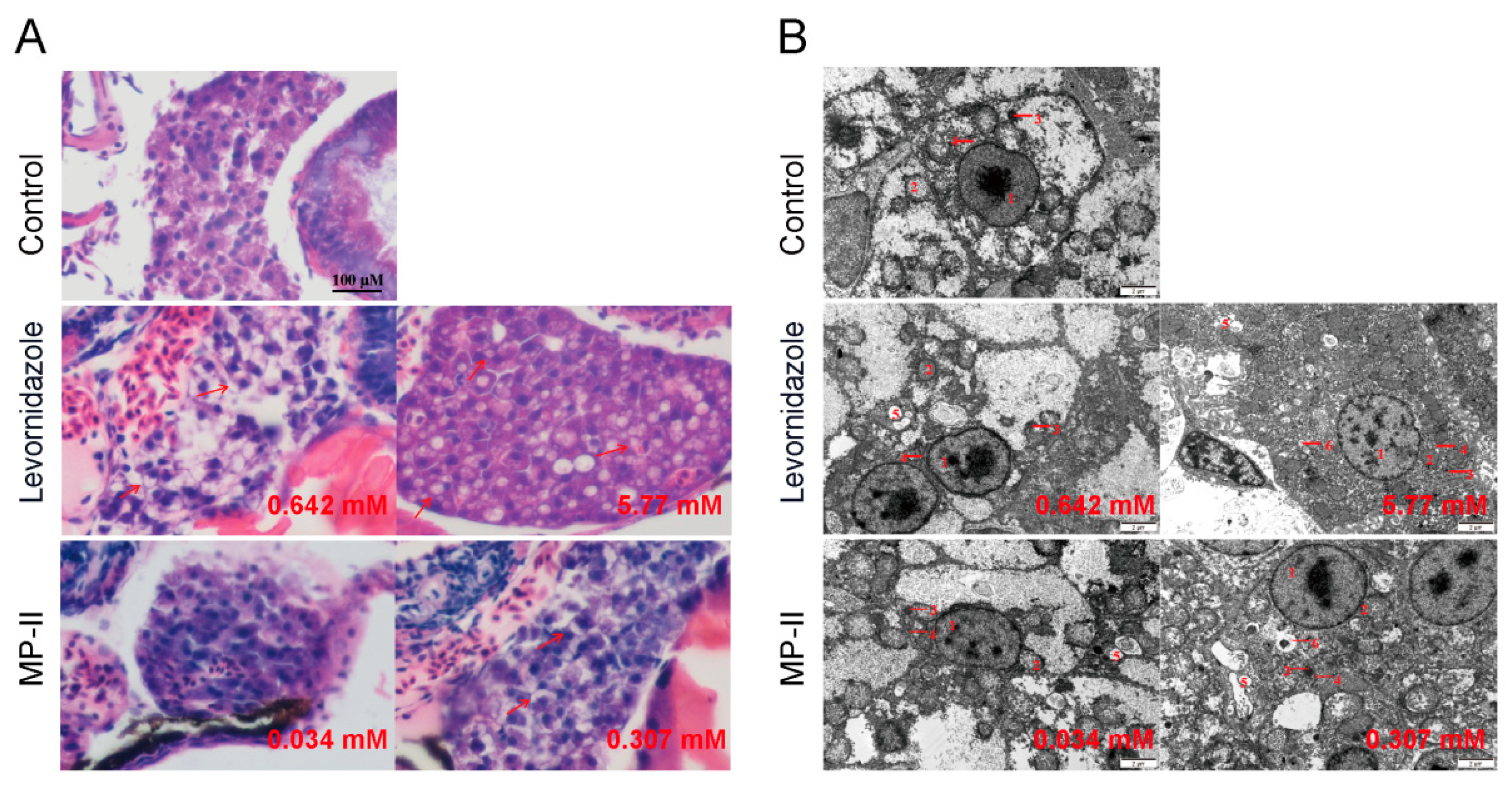
2.6. Histopathology and Ultrastructure Changes
2.7. Hepatotoxicity Mechanism of Compounds
3. Discussion
4. Materials and Methods
4.1. Hepatotoxicity Predictions
4.1.1. Data Preparation
4.1.2. Modeling Protocol
4.1.3. Descriptor Selection
4.1.4. Test Set Selection
4.1.5. Model Types and Performance
4.1.6. Prediction of Compound Hepatotoxicity
4.2. Chemicals and Material
4.3. Test Animals and Collection of Eggs
4.4. Drug Treatment
4.5. Zebrafish Lethality Ananlysis
4.6. Zebrafish Hepatotoxicity Assessment
4.7. Liver Function Measurement
4.8. Histopathological Examination
4.9. Transmission Electron Microscopy (TEM)
4.10. RNA-Sequencing Analysis
4.11. Statistical Analysis
5. Conclusions
Supplementary Materials
Author Contributions
Funding
Institutional Review Board Statement
Informed Consent Statement
Data Availability Statement
Acknowledgments
Conflicts of Interest
References
- Parihar, M.; Kapoor, R.; Adlakha, M. Adverse Drug Reaction—A Significant Cause of Morbidity and Mortality. Int. Res. J. Ayurveda Yoga 2021, 4, 203–207. [Google Scholar] [CrossRef]
- White, C.M. Understanding and Preventing (N-Nitrosodimethylamine) NDMA Contamination of Medications. Ann. Pharmacother. 2020, 54, 611–614. [Google Scholar] [CrossRef]
- Adamson, R.H.; Chabner, B.A. The Finding of N-Nitrosodimethylamine in Common Medicines. Oncologist 2020, 25, 460–462. [Google Scholar] [CrossRef] [PubMed]
- Hu, J.; Zhang, J.; Wu, S.; Zhu, D.M.; Huang, H.H.; Chen, Y.C.; Yang, Y.; Zhang, Y.Y. Evaluation of the in vitro activity of levornidazole, its metabolites and comparators against clinical anaerobic bacteria. Int. J. Antimicrob. Agents 2014, 44, 514–519. [Google Scholar] [CrossRef] [PubMed]
- Tabak, F.; Ozaras, R.; Erzin, Y.; Celik, A.F.; Ozbay, G.; Senturk, H. Ornidazole-induced liver damage: Report of three cases and review of the literature. Liver Int. 2003, 23, 351–354. [Google Scholar] [CrossRef] [PubMed]
- Banda, J.M.; Evans, L.; Vanguri, R.S.; Tatonetti, N.P.; Ryan, P.B.; Shah, N.H. A curated and standardized adverse drug event resource to accelerate drug safety research. Sci. Data 2016, 3, 160026. [Google Scholar] [CrossRef] [PubMed]
- Rodriguez, E.M.; Staffa, J.A.; Graham, D.J. The role of databases in drug postmarketing surveillance. Pharmacoepidemiol. Drug Saf. 2001, 10, 407–410. [Google Scholar] [CrossRef] [PubMed]
- Sharma, B.; Chenthamarakshan, V.; Dhurandhar, A.; Pereira, S.; Hendler, J.A.; Dordick, J.S.; Das, P. Accurate clinical toxicity prediction using multi-task deep neural nets and contrastive molecular explanations. Sci. Rep. 2023, 13, 4908. [Google Scholar] [CrossRef] [PubMed]
- Mulliner, D.; Schmidt, F.; Stolte, M.; Spirikl, H.P.; Czich, A.; Amberg, A. Computational Models for Human and Animal Hepatotoxicity with a Global Application Scope. Chem. Res. Toxicol. 2016, 29, 757–767. [Google Scholar] [CrossRef]
- Li, X.; Du, Z.; Wang, J.; Wu, Z.R.; Li, W.H.; Liu, G.X.; Shen, X.; Tang, Y. In Silico Estimation of Chemical Carcinogenicity with Binary and Ternary Classification Methods. Mol. Inform. 2015, 34, 228–235. [Google Scholar] [CrossRef]
- Bean, D.M.; Wu, H.; Iqbal, E.; Dzahini, O.; Ibrahim, Z.M.; Broadbent, M.; Stewart, R.; Dobson, R.J.B. Knowledge graph prediction of unknown adverse drug reactions and validation in electronic health records. Sci. Rep. 2017, 7, 16416. [Google Scholar] [CrossRef] [PubMed]
- Cherkasov, A.; Muratov, E.N.; Fourches, D.; Varnek, A.; Baskin, I.I.; Cronin, M.; Dearden, J.; Grarnatica, P.; Martin, Y.C.; Todeschini, R.; et al. QSAR modeling: Where have you been? Where are you going to? J. Med. Chem. 2014, 57, 4977–5010. [Google Scholar] [CrossRef]
- Wu, Y.; Wang, G. Machine Learning Based Toxicity Prediction: From Chemical Structural Description to Transcriptome Analysis. Int. J. Mol. Sci. 2018, 19, 2358. [Google Scholar] [CrossRef]
- Winkler, D.A.; Le, T.C. Performance of Deep and Shallow Neural Networks, the Universal Approximation Theorem, Activity Cliffs, and QSAR. Mol. Inform. 2017, 36, 1600118. [Google Scholar] [CrossRef]
- Cassar, S.; Adatto, I.; Freeman, J.L.; Gamse, J.T.; Iturrial, I.; Lawrence, C.; Muriana, A.; Peterson, R.T.; Van Cruchten, S.; Zon, L.I. Use of Zebrafish in Drug Discovery Toxicology. Chem. Res. Toxicol. 2020, 33, 95–118. [Google Scholar] [CrossRef] [PubMed]
- Wan, M.; Huang, L.; Liu, J.; Liu, F.S.; Chen, G.L.; Ni, H.W.; Xiong, G.H.; Liao, X.J.; Lu, H.Q.; Xiao, J.H.; et al. Cyclosporine A Induces Cardiac Developmental Toxicity in Zebrafish by Up-Regulation of Wnt Signaling and Oxidative Stress. Front. Pharmacol. 2021, 12, 747991. [Google Scholar] [CrossRef]
- Patton, E.E.; Zon, L.I.; Langenau, D.M. Zebrafish disease models in drug discovery: From preclinical modelling to clinical trials. Nature reviews. Drug Discov. 2021, 20, 611–628. [Google Scholar] [CrossRef]
- Song, Y.S.; Dai, M.Z.; Zhu, C.X.; Huang, Y.F.; Liu, J.; Zhang, C.D.; Xie, F.; Peng, Y.; Zhang, Y.; Li, C.D.; et al. Validation, Optimization, and Application of the Zebrafish Developmental Toxicity Assay for Pharmaceuticals Under the ICH S5(R3) Guideline. Front. Cell Dev. Biol. 2021, 9, 721130. [Google Scholar] [CrossRef]
- Wang, R.R.; Li, T.; Zhang, L.; Hu, Z.Y.; Shan, L.T.; Huang, J.W.; Li, L. Acute Developmental Toxicity of Panax notoginseng in Zebrafish Larvae. Chin. J. Integr. Med. 2023, 29, 333–340. [Google Scholar] [CrossRef] [PubMed]
- Zhang, X.; Li, L. Tensor envelope partial least-squares Regression. Techmetrics 2017, 59, 426–436. [Google Scholar] [CrossRef]
- Puri, M.; Solanki, T.; Padawer, S.M.; Tipparaju, W.A.; Moreno, W.; Pathak, Y. Artificial neural network for drug design, delivery and disposition. In Artificial Neural Network for Drug Design, Delivery and Disposition; Puri, M., Pathak, Y., Sutariya, V.K., Tipparaju, S., Moreno, W., Eds.; Academic Press: Boston, MA, USA, 2016; pp. 181–193. [Google Scholar]
- Samui, P.; Roy, S.; Balas, V. Handbook of Neural Computation; Pijush Samui, S.S., Balas, V.E., Eds.; Academic Press: Cambridge, MA, USA, 2017; pp. 515–535. [Google Scholar]
- Reid, J.P.; Proctor, R.S.J.; Sigman, M.S.; Phipps, R.J. Predictive Multivariate Linear Regression Analysis Guides Successful Catalytic Enantioselective Minisci Reactions of Diazines. J. Am. Chem. Soc. 2019, 141, 19178–19185. [Google Scholar] [CrossRef] [PubMed]
- Grbatinić, I.; Krstonošić, B.; Marić, D.; Milošević, N. Morphological Properties of the Two Types of Caudate Interneurons: Kohonen Self-Organizing Maps and Correlation-Comparison Analysis. Microsc. Microanal. 2018, 24, 684–707. [Google Scholar] [CrossRef] [PubMed]
- Zvinavashe, E.; Murk, J.; Rietjens, I.M.C.M. Promisesand pitfalls of quantitative structure-activity relationship approachesfor predicting metabolism and toxicity. Chem. Res. Toxicol. 2008, 21, 2229–2236. [Google Scholar] [CrossRef]
- Ji, C.; Svensson, F.; Zoufir, A.; Bender, A. eMolTox: Prediction of molecular toxicity with confidence. Bioinformatics 2018, 34, 2508–2509. [Google Scholar] [CrossRef] [PubMed]
- Montanari, F.; Knasmüller, B.; Kohlbacher, S.; Hillisch, C.; Baierová, C.; Grandits, M.; Ecker, G.F. Vienna LiverTox Workspace-A Set of Machine Learning Models for Prediction of Interactions Profiles of Small Molecules With Transporters Relevant for Regulatory Agencies. Front. Chem. 2019, 7, 899. [Google Scholar] [CrossRef] [PubMed]
- Cañada, A.; Capella-Gutierrez, S.; Rabal, O.; Oyarzabal, J.; Valencia, A.; Krallinger, M. LimTox: A web tool for applied text mining of adverse event and toxicity associations of compounds, drugs and genes. Nucleic Acids Res. 2017, 45, W484–W489. [Google Scholar] [CrossRef]
- Dong, J.; Wang, N.N.; Yao, Z.J.; Zhang, L.; Cheng, Y.; Ouyang, D.F.; Lu, A.P.; Cao, D.S. ADMETlab: A platform for systematic ADMET evaluation based on a comprehensively collected ADMET database. J. Cheminform. 2018, 10, 29. [Google Scholar] [CrossRef]
- Jia, Z.; Zhao, C.; Wang, M.; Zhao, X.; Zhang, W.T.; Han, T.; Xia, Q.; Han, Z.W.; Lin, R.C.; Li, X.R. Hepatotoxicity assessment of Rhizoma Paridis in adult zebrafish through proteomes and metabolome. Biomed. Pharmacother. 2020, 121, 109558. [Google Scholar] [CrossRef] [PubMed]
- Xu, H.F.; Tang, X.X.; Chen, J.J.; Shi, Y.; Liu, J.; Guo, S.Y.; Zhou, J.L.; Li, C.Q.; Zhou, J.H. Hearing Toxicity Induced By Tripterygium Glycosides in Zebrafish. Int. J. Anim. Sci. Technol. 2021, 5, 79–86. [Google Scholar] [CrossRef]
- Igarashi, Y.; Kojima, R.; Matsumoto, S.; Iwata, H.; Okuno, Y.; Yamada, H. Developing a GNN-based AI model to predict mitochondrial toxicity using the bagging method. J. Toxicol. Sci. 2024, 49, 117. [Google Scholar] [CrossRef]
- Srijit, S.; Dominicominic, W.; Layla, H.G.; Mahale, M.; Carpenter, A.E.; Spjuth, O.; Bender, A. Improved Detection of Drug-Induced Liver Injury by Integrating Predicted In Vivo and In Vitro Data. Chem. Res. Toxicol. 2024, 37, 1290–1305. [Google Scholar]
- Figueroa, D.; Signore, A.; Araneda, O.; Contreras, H.R.; Concha, M.; Garcia, C. Toxicity and differential oxidative stress effects on zebrafish larvae following exposure to toxins from the okadaic acid group. J. Toxicol. Environ. Health Part A 2020, 83, 573–588. [Google Scholar] [CrossRef] [PubMed]
- Shimizu, N.; Shiraishi, H.; Hanada, T. Zebrafish as a Useful Model System for Human Liver Disease. Cells 2023, 12, 2246. [Google Scholar] [CrossRef]
- Sun, M.; Liu, Q.; Liang, Q.; Gao, S.; Zhuang, K.Y.; Zhang, Y.; Zhang, H.Z.; Liu, K.C.; She, G.M.; Xia, Q. Toosendanin triggered hepatotoxicity in zebrafish via inflammation, autophagy, and apoptosis pathways. Comparative biochemistry and physiology. Toxicol. Pharmacol. CBP 2021, 250, 109171. [Google Scholar]
- Wishart, D.S.; Feunang, Y.D.; Guo, A.C.; Marcu, A.; Grant, J.R.; Sajed, T.; Johnson, D.; Li, C.; Sayeeda, Z.; Assempour, N.; et al. DrugBank 5.0: A major update to the DrugBank database for 2018. Nucleic Acids Res. 2018, 46, D1074–D1082. [Google Scholar] [CrossRef] [PubMed]
- Kuhn, M.; Letunic, I.; Jensen, L.J.; Bork, P. The SIDER database of drugs and side effects. Nucleic Acids Res. 2016, 44, D1075–D1079. [Google Scholar] [CrossRef]
- Ghosh, J.; Lawless, M.S.; Waldman, M.; Gomber, V.; Fraczkiewicz, R. Modeling ADMET. Methods Mol. Biol. 2016, 1425, 63–83. [Google Scholar]
- Xiao, Y.D.; Clauset, A.; Harris, R.; Bayram, E.; Santago, P.; Schmitt, J.D. Supervised self-organizing mapsin drug discovery.1. robust behavior with overdetermined datasets. J. Chem. Inf. Model. 2005, 45, 1749–1758. [Google Scholar] [CrossRef] [PubMed]
- Gao, Y.; Feng, J.; Zhu, L. Toxicodynamic modeling of zebrafish larvae to metals using stochastic death and individual tolerance models: Comparisons of model assumptions, parameter sensitivity and predictive performance. Ecotoxicology 2017, 26, 295–307. [Google Scholar] [CrossRef]
- Austin, J.D.; Hirstein, J.; Walen, S. Integrated Mathematics Interfaced With Science. Sch. Sci. Math. 1997, 97, 45–49. [Google Scholar] [CrossRef]
- Martínez-Camblor, P.; Pardo-Fernández, J.C. The Youden Index in the Generalized Receiver Operating Characteristic Curve Context. Int. J. Biostat. 2019, 15, 20180060. [Google Scholar] [CrossRef] [PubMed]
- Cornell, J. Classical and Modern Regression With Applications. Technometrics 2012, 29, 377–378. [Google Scholar] [CrossRef]
- Westerfield, M. The Zebrafish Book: A Guide for the Laboratory Use of Zebrafish (Danio rerio); University of Oregon Press: Eugene, OR, USA, 2000. [Google Scholar]
- Zhou, J.; Xu, Y.Q.; Guo, S.Y.; Li, C.Q. Rapid analysis of hypolipidemic drugs in a live zebrafish assay. J. Pharmacol. Toxicol. Methods 2015, 72, 47–52. [Google Scholar] [CrossRef]
- Liang, J.; Jin, W.; Wei, H.; Li, H.W.; Jia, F.; Qian, J.; Liu, H.C.; Huang, Y.F.; Li, C.Q.; Zhou, L.; et al. Acute hepatotoxicity induced by quetiapine fumarate in larval zebrafish. Fundam. Toxicol. Sci. 2016, 3, 127–135. [Google Scholar] [CrossRef][Green Version]
- Hu, M.; Lin, L.; Liu, J.; Zhang, Y.Z.; Liang, B.X.; Huang, Y.J.; Li, Z.M.; Lin, X.; Wang, B.L.; Meng, H.; et al. Aurantio-obtusin induces hepatotoxicity through activation of NLRP3 inflammasome signaling. Toxicol. Lett. 2022, 354, 1–13. [Google Scholar] [CrossRef] [PubMed]
- He, J.H.; Guo, S.Y.; Zhu, F.; Zhu, J.J.; Chen, Y.X.; Huang, C.J.; Gao, J.M.; Dong, Q.X.; Xuan, X.X.; Li, C.Q. A zebrafish phenotypic assay for assessing drug-induced hepatotoxicity. J. Pharmacol. Toxicol. Methods 2013, 67, 25–32. [Google Scholar] [CrossRef] [PubMed]
- Sanghera, D.K.; Hopkins, R.; Malone-Perez, M.W.; Tan, C.C.; Mussa, H.; Whitby, P.; Fowler, B.; Rao, C.V.; Fung, K.A.; Lightfoot, S.; et al. Targeted sequencing of candidate genes of dyslipidemia in Punjabi Sikhs: Population-specific rare variants in GCKR promote ectopic fat deposition. PLoS ONE 2019, 14, e0211661. [Google Scholar] [CrossRef] [PubMed]







| Item | Basic Parameters | Item | Model Parameters | Item | Model Parameters | |||
|---|---|---|---|---|---|---|---|---|
| Random Seed | Number of Monte Carlo tries | Max Steps | ||||||
| Model Types | ANN | 34,590 | Model Types | ANN | 1 | Model Types | ANN | - |
| SVM | 65,600 | SVM | - | SVM | 30,000 | |||
| Percent | Early stopping count | Networks multiple | ||||||
| Model Types | ANN | 10 | Model Types | ANN | 15 | Model Types | ANN | 5 |
| SVM | 10 | SVM | - | SVM | 5 | |||
| Sensitivity Analysis | Mutation Rate | Ensemble Selection Method | ||||||
| Model Types | ANN | TLA | Model Types | ANN | - | Model Types | ANN | DP |
| SVM | GA | SVM | 0.9 | SVM | DP | |||
| Test Set Selection | Per ensemble | |||||||
| Model Types | ANN | KSOP | Model Types | ANN | 33 | |||
| SVM | KSOP | SVM | 33 | |||||
| Model Type | NO | Ensemble Model | Performance | |||||||||
|---|---|---|---|---|---|---|---|---|---|---|---|---|
| Neurons | Inputs | Sensitivity | Specificity | Youden | False Rate | Min Confidence | ||||||
| Training | Test | Training | Test | Training | Test | Training | Test | Training | ||||
| SVM | 1 | - | 6 | 0.78 | 0.5 | 0.78 | 0.85 | 0.56 | 0.35 | 0.22 | 0.21 | - |
| 2 | - | 28 | 0.82 | 0.75 | 0.81 | 0.85 | 0.63 | 0.6 | 0.18 | 0.17 | - | |
| 3 | - | 50 | 0.83 | 0.75 | 0.78 | 0.85 | 0.61 | 0.6 | 0.19 | 0.17 | - | |
| 4 | - | 116 | 0.83 | 0.75 | 0.79 | 0.82 | 0.62 | 0.57 | 0.19 | 0.19 | - | |
| 5 | - | 138 | 0.82 | 0.88 | 0.78 | 0.82 | 0.6 | 0.7 | 0.2 | 0.17 | - | |
| mean | - | - | 0.816 | 0.726 | 0.788 | 0.838 | 0.604 | 0.564 | 0.196 | 0.182 | - | |
| ANN | 1 | 1 | 48 | 0.91 | 0.82 | 0.92 | 1 | 0.83 | 0.82 | 0.09 | 0.13 | 0.55 |
| 2 | 1 | 64 | 0.94 | 0.86 | 0.94 | 0.5 | 0.88 | 0.36 | 0.06 | 0.23 | 0.59 | |
| 3 | 1 | 80 | 0.94 | 0.86 | 0.94 | 0.93 | 0.88 | 0.39 | 0.06 | 0.2 | 0.56 | |
| 4 | 1 | 112 | 0.92 | 0.86 | 0.92 | 0.75 | 0.81 | 0.61 | 0.08 | 0.17 | 0.50 | |
| 5 | 2 | 48 | 0.92 | 0.82 | 0.92 | 0.88 | 0.94 | 0.69 | 0.08 | 0.17 | 0.56 | |
| mean | - | - | 0.926 | 0.844 | 0.928 | 0.812 | 0.868 | 0.574 | 0.074 | 0.18 | 0.552 | |
| Structure | Identifier | ANN1 |
|---|---|---|
![]() | IMP-III | 0 (54%) |
![]() | levornidazole | 1 (99%) |
![]() | ornidazole | 0 (99%) |
![]() | IMP-II | 0 (56%) |
| Compound Name | Predictive Tool | |||||
|---|---|---|---|---|---|---|
| eMolTox [26] | Vienna LiverTox [27] | LimTox [28] | ADMETLab [29] | |||
| Type | Liver Injury | Liver Injury | Liver Injury | Autoimmune Hepatitis | Liver Injury | Hepatotoxicity |
| levornidazole | +/0.998 | +/0.69 | +/0.36 | +/0.34 | +/0.914 | +/0.806 |
| ornidazole | +/0.983 | +/0.66 | \ | \ | +/0.914 | +/0.806 |
| IMP-II | +/0.998 | +/0.69 | \ | \ | +/0.884 | +/0.682 |
| IMP-III | +/0.983 | +/0.65 | \ | \ | +/0.878 | +/0.620 |
Disclaimer/Publisher’s Note: The statements, opinions and data contained in all publications are solely those of the individual author(s) and contributor(s) and not of MDPI and/or the editor(s). MDPI and/or the editor(s) disclaim responsibility for any injury to people or property resulting from any ideas, methods, instructions or products referred to in the content. |
© 2025 by the authors. Licensee MDPI, Basel, Switzerland. This article is an open access article distributed under the terms and conditions of the Creative Commons Attribution (CC BY) license (https://creativecommons.org/licenses/by/4.0/).
Share and Cite
Liu, T.; Yuan, S.; Zhang, L.; Zhang, D. Hepatotoxicity Evaluation of Levornidazole and Its Three Main Impurities: Based on Structure–Toxicity Classification Prediction Combined with Zebrafish Toxicity Assessment. Molecules 2025, 30, 995. https://doi.org/10.3390/molecules30050995
Liu T, Yuan S, Zhang L, Zhang D. Hepatotoxicity Evaluation of Levornidazole and Its Three Main Impurities: Based on Structure–Toxicity Classification Prediction Combined with Zebrafish Toxicity Assessment. Molecules. 2025; 30(5):995. https://doi.org/10.3390/molecules30050995
Chicago/Turabian StyleLiu, Ting, Song Yuan, Luyong Zhang, and Dousheng Zhang. 2025. "Hepatotoxicity Evaluation of Levornidazole and Its Three Main Impurities: Based on Structure–Toxicity Classification Prediction Combined with Zebrafish Toxicity Assessment" Molecules 30, no. 5: 995. https://doi.org/10.3390/molecules30050995
APA StyleLiu, T., Yuan, S., Zhang, L., & Zhang, D. (2025). Hepatotoxicity Evaluation of Levornidazole and Its Three Main Impurities: Based on Structure–Toxicity Classification Prediction Combined with Zebrafish Toxicity Assessment. Molecules, 30(5), 995. https://doi.org/10.3390/molecules30050995





