Tuning CO2 Absorption in Hydrophobic Protic Ionic Liquids via Temperature and Structure
Abstract
1. Introduction
2. Results and Discussion
2.1. Structural Confirmation
FTIR Analysis
2.2. Thermal Stability of PILs and HPILs
2.3. Heat Capacity
2.4. Density
2.5. Refractive Index
2.6. CO2 Absorption Analysis
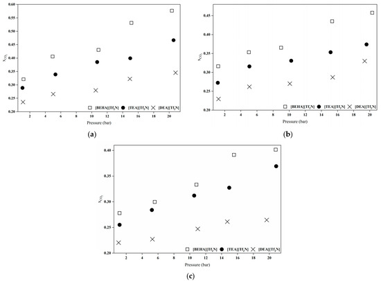
2.6.1. Effect of Pressure and Temperature
2.6.2. Effect of Cation Size
2.7. Gas Solubility Comparison Between CO2 and CH4 in the HPILs
2.8. Comparison with Other Reported Ionic Liquids
2.9. Characterization of HPILs After CO2 Absorption
2.10. Recyclability Performance of [BEHA][Tf2N]
3. Materials and Methods
3.1. Materials and Reagents
3.2. Synthesis of Hydrophobic Protic Ionic Liquids (HPILs)
3.3. Characterization
3.3.1. Structural Analysis
3.3.2. Water Content
3.3.3. Thermal Stability
3.3.4. Heat Capacity, Cp
3.3.5. Density,
3.3.6. Refractive Index Measurement
3.4. CO2 Absorption Measurement
3.5. Recyclability of Hydrophobic Protic Ionic Liquids (HPILs) in CO2 Absorption
4. Conclusions
Supplementary Materials
Author Contributions
Funding
Institutional Review Board Statement
Informed Consent Statement
Data Availability Statement
Acknowledgments
Conflicts of Interest
Abbreviations
| α | Thermal expansion coefficient |
| ρ | Density |
| Partial molar enthalpy of the gaseous solute in the liquid phase | |
| Partial molar entropy of the gaseous solute in the liquid phase | |
| [BEHA][Ac] | Bis(2-ethylhexyl)ammonium acetate |
| [BEHA][BA] | Bis(2-ethylhexyl)ammonium butyrate |
| [BEHA][Cl] | Bis(2-ethylhexyl)ammonium chloride |
| [BEHA][Tf2N] | Bis(2-ethylhexyl)ammonium bis(trifluoromethylsulfonyl)imide |
| [BEHA]+ | Bis(2-ethylhexyl)ammonium |
| [C4Py][Tf2N] | 1-butylpyridium bis(trifluoromethylsulfonyl)imide |
| [DEA][Cl] | Diethylammonium chloride |
| [DEA][Tf2N] | Diethylammonium bis(trifluoromethylsulfonyl)imide |
| [DEA]+ | Diethylammonium |
| [HMIM][Tf2N] | 1-hexyl-3-methylimidazolium bis(trifluoromethylsulfonyl)imide |
| [TEA][Cl] | Triethylammonium chloride |
| [TEA][Tf2N] | Triethylammonium bis(trifluoromethylsulfonyl)imide |
| [TEA]+ | Triethylammonium |
| ATR | Attenuated total reflectance |
| BEHA | Bis(2-ethylhexyl)amine |
| CAS | Chemical abstracts service number |
| CDCl3 | Deuterated chloroform |
| CH4 | Methane |
| CO2 | Carbon dioxide |
| Cp | Heat capacity |
| DEA | Diethylamine |
| DMSO | Dimethyl sulfoxide |
| DSC | Differential scanning calorimetry |
| FTIR | Fourier transform infrared spectroscopy |
| H2S | Hydrogen sulphide |
| HPILs | Hydrophobic protic ionic liquids |
| ILs | Ionic liquids |
| KBr | Potassium bromide |
| KH | Henry’s law constants |
| LiTf2N | Lithium bis(trifluoromethylsulfonyl)imide |
| MEA | Monoethanolamine |
| Number of moles CO2 absorbed by ionic liquid | |
| nd | Refractive index values |
| Number of moles HPILs used in the system | |
| NMR | Nuclear magnetic resonance |
| Peq | Equilibrium pressure |
| CO2 partial pressure | |
| PILs | Protic ionic liquids |
| Pini | Initial pressure |
| R | Universal gas constant value |
| RI | Refractive index |
| Rm | Molar refraction |
| S° | Standard molar entropy |
| SD | Standard deviation |
| T | Absolute temperature |
| TEA | Triethylamine |
| Teq | Equilibrium temperature |
| Tf2N− | Bis(trifluoromethylsulfonyl)imide anion |
| TGA | Thermogravimetric analysis |
| Tini | Initial temperature |
| Tmax | Peak temperature |
| TMS | Tetramethylsilane |
| Tonset | Onset temperature |
| TSILs | Task-specific ionic liquids |
| Ulatt | Standard lattice energy |
| V | Molecular volume |
| Vf | Free volume |
| VHPILs | Liquid adsorbent volume |
| Vm | Molar volume |
| Vres | Volume of the CO2 in the reservoir |
| Vtotal | Total system volume |
| Mole fraction of CO2 dissolved in the ionic liquid | |
| Mole fraction of the gaseous solute at saturation | |
| Zeqb | Equilibrium compressibility factor |
| Zini | Initial compressibility factor |
References
- Aghaie, M.; Rezaei, N.; Zendehboudi, S. A systematic review on CO2 capture with ionic liquids: Current status and future prospects. Renew. Sustain. Energy Rev. 2018, 96, 502–525. [Google Scholar] [CrossRef]
- Filonchyk, M.; Peterson, M.P.; Zhang, L.; Hurynovich, V.; He, Y. Greenhouse gases emissions and global climate change: Examining the influence of CO2, CH4, and N2O. Sci. Total Environ. 2024, 935, 173359. [Google Scholar] [CrossRef]
- Potocnik, P. (Ed.) ‘Natural Gas’; IntechOpen: London, UK, 2010. [Google Scholar] [CrossRef]
- Nwimae, C.; Simms, N.J. Potential Corrosion Issue in CO2 Pipeline. J. Educ. Pract. 2022, 10, 12. [Google Scholar]
- Kallo, M.T.; Lennox, M.J. Understanding CO2/CH4 Separation in Pristine and Defective 2D MOF CuBDC Nanosheets via Nonequilibrium Molecular Dynamics. Langmuir 2020, 36, 13591–13600. [Google Scholar] [CrossRef]
- Han, B.; Zhou, C.; Wu, J.; Tempel, D.J.; Cheng, H. Understanding CO2 Capture Mechanisms in Aqueous Monoethanolamine via First Principles Simulations. J. Phys. Chem. Lett. 2011, 2, 522–526. [Google Scholar] [CrossRef]
- Rahim, A.H.; Yunus, N.M.; Jaffar, Z.; Allim, M.F.; Othman Zailani, N.Z.; Mohd Fariddudin, S.A.; Abd Ghani, N.; Umar, M. Synthesis and characterization of ammonium-based protic ionic liquids for carbon dioxide absorption. RSC Adv. 2023, 13, 14268–14280. [Google Scholar] [CrossRef]
- Yunus, N.M.; Mutalib, M.I.A.; Man, Z.; Bustam, M.A.; Murugesan, T. Solubility of CO2 in pyridinium based ionic liquids. Chem. Eng. J. 2012, 189–190, 94–100. [Google Scholar] [CrossRef]
- Zailani, N.H.; Yunus, N.M.; Ab Rahim, A.H.; Bustam, M.A. Experimental Investigation on Thermophysical Properties of Ammonium-Based Protic Ionic Liquids and Their Potential Ability towards CO2 Capture. Molecules 2022, 27, 851. [Google Scholar] [CrossRef]
- Duy Ho, Q.; Rauls, E. Investigations of Functional Groups Effect on CO2 Adsorption on Pillar [5] arenes Using Density Functional Theory Calculations. ChemistrySelect 2024, 9, e202401490. [Google Scholar] [CrossRef]
- Foorginezhad, S.; Yu, G.; Ji, X. Reviewing and screening ionic liquids and deep eutectic solvents for effective CO2 capture. Front. Chem. 2022, 10, 951951. [Google Scholar] [CrossRef] [PubMed]
- Dai, Z.; Deng, L. Membranes for CO2 capture and separation: Progress in research and development for industrial applications. Sep. Purif. Technol. 2024, 335, 126022. [Google Scholar] [CrossRef]
- Kamio, E.; Yoshioka, T.; Matsuyama, H. Recent Advances in Carbon Dioxide Separation Membranes: A Review. J. Chem. Eng. Jpn. 2023, 56, 2222000. [Google Scholar] [CrossRef]
- Song, C.; Liu, Q.; Deng, S.; Li, H.; Kitamura, Y. Cryogenic-based CO2 capture technologies: State-of-the-art developments and current challenges. Renew. Sustain. Energy Rev. 2019, 101, 265–278. [Google Scholar] [CrossRef]
- Soo, X.Y.D.; Lee, J.J.C.; Wu, W.-Y.; Tao, L.; Wang, C.; Zhu, Q.; Bu, J. Advancements in CO2 capture by absorption and adsorption: A comprehensive review. J. CO2 Util. 2024, 81, 102727. [Google Scholar] [CrossRef]
- Qu, Y.; Zhao, Y.; Li, D.; Sun, J. Task-specific ionic liquids for carbon dioxide absorption and conversion into value-added products. Curr. Opin. Green Sustain. Chem. 2022, 34, 100599. [Google Scholar] [CrossRef]
- Cheng, J.; Xie, K.; Guo, P.; Qin, H.; Deng, L.; Qi, Z.; Song, Z. Capturing CO2 by ionic liquids and deep eutectic solvents: A comparative study based on multi-level absorbent screening. Chem. Eng. Sci. 2023, 281, 119133. [Google Scholar] [CrossRef]
- Li, F.; Bai, Y.; Zeng, S.; Liang, X.; Wang, H.; Huo, F.; Zhang, X. Protic ionic liquids with low viscosity for efficient and reversible capture of carbon dioxide. Int. J. Greenh. Gas Control 2019, 90, 102801. [Google Scholar] [CrossRef]
- Huang, K.; Zhang, X.; Wu, Y.; Wu, Y.-T. Hydrophobic Protic Ionic Liquids Tethered with Tertiary Amine Group for Highly Efficient and Selective Absorption of H2S from CO2. AIChE J. 2016, 62, 4480–4490. [Google Scholar] [CrossRef]
- Chen, Y.; Rodenbücher, C.; Morice, A.; Tipp, F.; Kowalski, P.M.; Korte, C. Understanding the Mid-Infrared Spectra of Protic Ionic Liquids by Density Functional Theory. J. Phys. Chem. B 2024, 128, 11723–11729. [Google Scholar] [CrossRef]
- Schott, J.A.; Do-Thanh, C.-L.; Shan, W.; Puskar, N.G.; Dai, S.; Mahurin, S.M. FTIR investigation of the interfacial properties and mechanisms of CO2 sorption in porous ionic liquids. Green Chem. Eng. 2021, 2, 392–401. [Google Scholar] [CrossRef]
- Cao, Y.; Mu, T. Comprehensive Investigation on the Thermal Stability of 66 Ionic Liquids by Thermogravimetric Analysis. Ind. Eng. Chem. Res. 2014, 53, 8651–8664. [Google Scholar] [CrossRef]
- Zailani, N.H.O.; Yunus, N.M.; Ab Rahim, A.H.; Bustam, M.A. Thermophysical Properties of Newly Synthesized Ammonium-Based Protic Ionic Liquids: Effect of Temperature, Anion and Alkyl Chain Length. Processes 2020, 8, 742. [Google Scholar] [CrossRef]
- Shimizu, Y.; Ohte, Y.; Yamamura, Y.; Tsuzuki, S.; Saito, K. Comparative Study of Imidazolium- and Pyrrolidinium-Based Ionic Liquids: Thermodynamic Properties. J. Phys. Chem. B 2012, 116, 5406–5413. [Google Scholar] [CrossRef]
- Ge, R.; Hardacre, C.; Jacquemin, J.; Nancarrow, P.; Rooney, D.W. Heat Capacities of Ionic Liquids as a Function of Temperature at 0.1 MPa. Measurement and Prediction. J. Chem. Eng. Data 2008, 53, 2148–2153. [Google Scholar] [CrossRef]
- Xie, Y.; Zhang, Y.; Lu, X.; Ji, X. Energy consumption analysis for CO2 separation using imidazolium-based ionic liquids. Appl. Energy 2014, 136, 325–335. [Google Scholar] [CrossRef]
- Santos, D.; Santos, M.; Franceschi, E.; Dariva, C.; Barison, A.; Mattedi, S. Experimental Density of Ionic Liquids and Thermodynamic Modeling with Group Contribution Equation of State Based on the Lattice Fluid Theory. J. Chem. Eng. Data 2016, 61, 348–353. [Google Scholar] [CrossRef]
- Ghatee, M.H.; Zare, M.; Moosavi, F.; Zolghadr, A.R. Temperature-Dependent Density and Viscosity of the Ionic Liquids 1-Alkyl-3-methylimidazolium Iodides: Experiment and Molecular Dynamics Simulation. J. Chem. Eng. Data 2010, 55, 3084–3088. [Google Scholar] [CrossRef]
- Bakis, E.; Goloviznina, K.; Vaz, I.C.M.; Sloboda, D.; Hazens, D.; Valkovska, V.; Klimenkovs, I.; Padua, A.; Costa Gomes, M. Unravelling free volume in branched-cation ionic liquids based on silicon. Chem. Sci. 2022, 13, 9062–9073. [Google Scholar] [CrossRef] [PubMed]
- Kim, Y.S.; Choi, W.Y.; Jang, J.H.; Yoo, K.P.; Lee, C.S. Solubility measurement and prediction of carbon dioxide in ionic liquids. Fluid Phase Equilibria 2005, 228–229, 439–445. [Google Scholar] [CrossRef]
- Glasser, L. Lattice and phase transition thermodynamics of ionic liquids. Thermochim. Acta 2004, 421, 87–93. [Google Scholar] [CrossRef]
- Bhattacharjee, A.; Coutinho, J.A.; Freire, M.G.; Carvalho, P.J. Thermophysical properties of two ammonium-based protic ionic liquids. J. Solut. Chem. 2015, 44, 703–717. [Google Scholar] [CrossRef]
- Filippov, A.; Taher, M.; Shah, F.U.; Glavatskih, S.; Antzutkin, O.N. The effect of the cation alkyl chain length on density and diffusion in dialkylpyrrolidinium bis(mandelato)borate ionic liquids. Phys. Chem. Chem. Phys. 2014, 16, 26798–26805. [Google Scholar] [CrossRef] [PubMed]
- Tariq, M.; Forte, P.A.S.; Gomes, M.F.C.; Lopes, J.N.C.; Rebelo, L.P.N. Densities and refractive indices of imidazolium- and phosphonium-based ionic liquids: Effect of temperature, alkyl chain length, and anion. J. Chem. Thermodyn. 2009, 41, 790–798. [Google Scholar] [CrossRef]
- Mejía, I.; Stanley, K.; Canales, R.; Brennecke, J.F. On the High-Pressure Solubilities of Carbon Dioxide in Several Ionic Liquids. J. Chem. Eng. Data 2013, 58, 2642–2653. [Google Scholar] [CrossRef]
- Kumełan, J.; Pérez-Salado Kamps, Á.; Tuma, D.; Maurer, G. Solubility of CO2 in the Ionic Liquids [bmim][CH3SO4] and [bmim][PF6]. J. Chem. Eng. Data 2006, 51, 1802–1807. [Google Scholar] [CrossRef]
- Huang, Y.; Cui, G.; Wang, H.; Li, Z.; Wang, J. Absorption and thermodynamic properties of CO2 by amido-containing anion-functionalized ionic liquids. RSC Adv. 2019, 9, 1882–1888. [Google Scholar] [CrossRef]
- Torralba-Calleja, E.; Skinner, J.; Gutiérrez-Tauste, D. CO2 Capture in Ionic Liquids: A Review of Solubilities and Experimental Methods. J. Chem. 2013, 2013, 473584. [Google Scholar] [CrossRef]
- Quaye, E.; Henni, A.; Shirif, E. Carbon Dioxide Solubility in Three Bis Tri (Fluromethylsulfonyl) Imide-Based Ionic Liquids. Molecules 2024, 29, 2784. [Google Scholar] [CrossRef]
- Rayer, A.; Henni, A.; Tontiwachwuthikul, P. High Pressure Physical Solubility of Carbon Dioxide (CO2) in Mixed Polyethylene Glycol Dimethyl Ethers (Genosorb 1753). Can. J. Chem. Eng. 2012, 90, 576–583. [Google Scholar] [CrossRef]
- Hu, Y.; Li, X.; Liu, J.; Li, L.; Zhang, L. Experimental investigation of CO2 absorption enthalpy in conventional imidazolium ionic liquids. Greenh. Gases Sci. Technol. 2018, 8, 713–720. [Google Scholar] [CrossRef]
- Aki, S.N.V.K.; Mellein, B.R.; Saurer, E.M.; Brennecke, J.F. High-Pressure Phase Behavior of Carbon Dioxide with Imidazolium-Based Ionic Liquids. J. Phys. Chem. B 2004, 108, 20355–20365. [Google Scholar] [CrossRef]
- Mirzaei, M.; Sharifi, A.; Abaee, M.S. Experimental study on solubility of CO2 and CH4 in the ionic liquid 1-benzyl-3-methylimidazolium nitrate. J. Supercrit. Fluids 2023, 199, 105963. [Google Scholar] [CrossRef]
- Ramdin, M.; Amplianitis, A.; Bazhenov, S.; Volkov, A.; Volkov, V.; Vlugt, T.J.H.; de Loos, T.W. Solubility of CO2 and CH4 in Ionic Liquids: Ideal CO2/CH4 Selectivity. Ind. Eng. Chem. Res. 2014, 53, 15427–15435. [Google Scholar] [CrossRef]
- Dashti, A.; Riasat Harami, H.; Rezakazemi, M.; Shirazian, S. Estimating CH4 and CO2 solubilities in ionic liquids using computational intelligence approaches. J. Mol. Liq. 2018, 271, 661–669. [Google Scholar] [CrossRef]
- Yunus, N.M.; Halim, N.H.; Wilfred, C.D.; Murugesan, T.; Lim, J.W.; Show, P.L. Thermophysical Properties and CO2 Absorption of Ammonium-Based Protic Ionic Liquids Containing Acetate and Butyrate Anions. Processes 2019, 7, 820. [Google Scholar] [CrossRef]
- Goodrich, B.F.; de la Fuente, J.C.; Gurkan, B.E.; Lopez, Z.K.; Price, E.A.; Huang, Y.; Brennecke, J.F. Effect of Water and Temperature on Absorption of CO2 by Amine-Functionalized Anion-Tethered Ionic Liquids. J. Phys. Chem. B 2011, 115, 9140–9150. [Google Scholar] [CrossRef]
- Gonzalez-Miquel, M.; Bedia, J.; Abrusci, C.; Palomar, J.; Rodriguez, F. Anion Effects on Kinetics and Thermodynamics of CO2 Absorption in Ionic Liquids. J. Phys. Chem. B 2013, 117, 3398–3406. [Google Scholar] [CrossRef]
- Anthony, J.L.; Anderson, J.L.; Maginn, E.J.; Brennecke, J.F. Anion Effects on Gas Solubility in Ionic Liquids. J. Phys. Chem. B 2005, 109, 6366–6374. [Google Scholar] [CrossRef]
- Palomar, J.; Gonzalez-Miquel, M.; Polo, A.; Rodriguez, F. Understanding the Physical Absorption of CO2 in Ionic Liquids Using the COSMO-RS Method. Ind. Eng. Chem. Res. 2011, 50, 3452–3463. [Google Scholar] [CrossRef]















| PILs/HPILs | Tonset (K) | Tmax (K) |
|---|---|---|
| [DEA][Cl] | 478.33 | 508.26 |
| [TEA][Cl] | 480.36 | 511.00 |
| [BEHA][Cl] | 478.18 | 505.73 |
| [DEA][Tf2N] | 635.13 | 677.41 |
| [TEA][Tf2N] | 672.09 | 710.75 |
| [BEHA][Tf2N] | 614.62 | 651.91 |
| HPILs | Density (g·cm−3) |
|---|---|
| [DEA][Tf2N] | 1.6510 |
| [TEA][Tf2N] | 1.4377 |
| [BEHA][Tf2N] | 1.2004 |
| HPILs | D1 | D0 | SD |
|---|---|---|---|
| [TEA][Tf2N] | −0.0008 | 1.6722 | 0.0126 |
| [BEHA][Tf2N] | −0.0007 | 1.4082 | 0.0112 |
| Temperature (K) | Molar Mass (g mol−1) | (K−1) | (cm3 mol−1) | (J K−1 mol−1) | Ulatt (kJ mol−1) | V (nm3) | Rm (cm3 mol−1) | Vf (cm3 mol−1) |
|---|---|---|---|---|---|---|---|---|
| [TEA][Tf2N] | 382.35 | |||||||
| 293.15 | 5.55 | 2.658 | 579.64 | 411.94 | 0.4413 | 65.20 | 200.58 | |
| 303.15 | 5.58 | 2.666 | 581.37 | 411.62 | 0.4427 | 64.93 | 201.68 | |
| 313.15 | 5.61 | 2.682 | 584.69 | 411.01 | 0.4454 | 64.93 | 203.30 | |
| 323.15 | 5.64 | 2.699 | 588.18 | 410.37 | 0.4482 | 64.97 | 205.00 | |
| 333.15 | 5.67 | 2.716 | 591.68 | 409.73 | 0.4510 | 65.02 | 206.57 | |
| [BEHA][Tf2N] | 522.62 | |||||||
| 293.15 | 5.80 | 4.352 | 930.23 | 365.25 | 0.7226 | 112.44 | 322.72 | |
| 303.15 | 5.83 | 4.369 | 933.77 | 364.90 | 0.7254 | 112.10 | 324.76 | |
| 313.15 | 5.86 | 4.391 | 938.40 | 364.46 | 0.7292 | 111.91 | 327.19 | |
| 323.15 | 5.90 | 4.429 | 946.18 | 363.72 | 0.7354 | 112.12 | 330.74 | |
| 333.15 | 5.93 | 4.452 | 950.95 | 363.27 | 0.7392 | 111.98 | 333.18 |
| HPILs | R1 | R0 | SD |
|---|---|---|---|
| [TEA][Tf2N] | −0.0003 | 1.4848 | 0.0042 |
| [BEHA][Tf2N] | −0.0003 | 1.5247 | 0.0054 |
| HPILs | KH (bar) | ||
|---|---|---|---|
| T = 298.15 K | T = 313.15 K | T = 333.15 K | |
| [DEA][Tf2N] | 38.70 | 39.29 | 44.09 |
| [TEA][Tf2N] | 30.12 | 32.81 | 36.33 |
| [BEHA][Tf2N] | 25.15 | 28.28 | 33.87 |
| HPILs | ||
|---|---|---|
| [DEA][Tf2N] | −3.14 | −10.02 |
| [TEA][Tf2N] | −4.42 | −14.03 |
| [BEHA][Tf2N] | −7.05 | −22.38 |
| HPILs | KH (bar) | |
|---|---|---|
| CO2 (T = 298.15 K) | CH4 (T = 298.15 K) | |
| [DEA][Tf2N] | 38.70 | 48.05 |
| [TEA][Tf2N] | 30.12 | 35.92 |
| [BEHA][Tf2N] | 25.15 | 32.33 |
Disclaimer/Publisher’s Note: The statements, opinions and data contained in all publications are solely those of the individual author(s) and contributor(s) and not of MDPI and/or the editor(s). MDPI and/or the editor(s) disclaim responsibility for any injury to people or property resulting from any ideas, methods, instructions or products referred to in the content. |
© 2025 by the authors. Licensee MDPI, Basel, Switzerland. This article is an open access article distributed under the terms and conditions of the Creative Commons Attribution (CC BY) license (https://creativecommons.org/licenses/by/4.0/).
Share and Cite
Mazlan, N.A.M.; Teoh, M.W.Q.; Rahim, A.H.A.; Purwiandono, G.; Yunus, N.M. Tuning CO2 Absorption in Hydrophobic Protic Ionic Liquids via Temperature and Structure. Molecules 2025, 30, 4674. https://doi.org/10.3390/molecules30244674
Mazlan NAM, Teoh MWQ, Rahim AHA, Purwiandono G, Yunus NM. Tuning CO2 Absorption in Hydrophobic Protic Ionic Liquids via Temperature and Structure. Molecules. 2025; 30(24):4674. https://doi.org/10.3390/molecules30244674
Chicago/Turabian StyleMazlan, Nurin Athirah Mohd, Madelyn Wen Qian Teoh, Asyraf Hanim Ab Rahim, Gani Purwiandono, and Normawati M. Yunus. 2025. "Tuning CO2 Absorption in Hydrophobic Protic Ionic Liquids via Temperature and Structure" Molecules 30, no. 24: 4674. https://doi.org/10.3390/molecules30244674
APA StyleMazlan, N. A. M., Teoh, M. W. Q., Rahim, A. H. A., Purwiandono, G., & Yunus, N. M. (2025). Tuning CO2 Absorption in Hydrophobic Protic Ionic Liquids via Temperature and Structure. Molecules, 30(24), 4674. https://doi.org/10.3390/molecules30244674

