Andrographolide and Its Derivatives: A Comprehensive Review of Anti-Infective Properties and Clinical Potential
Abstract
1. Introduction
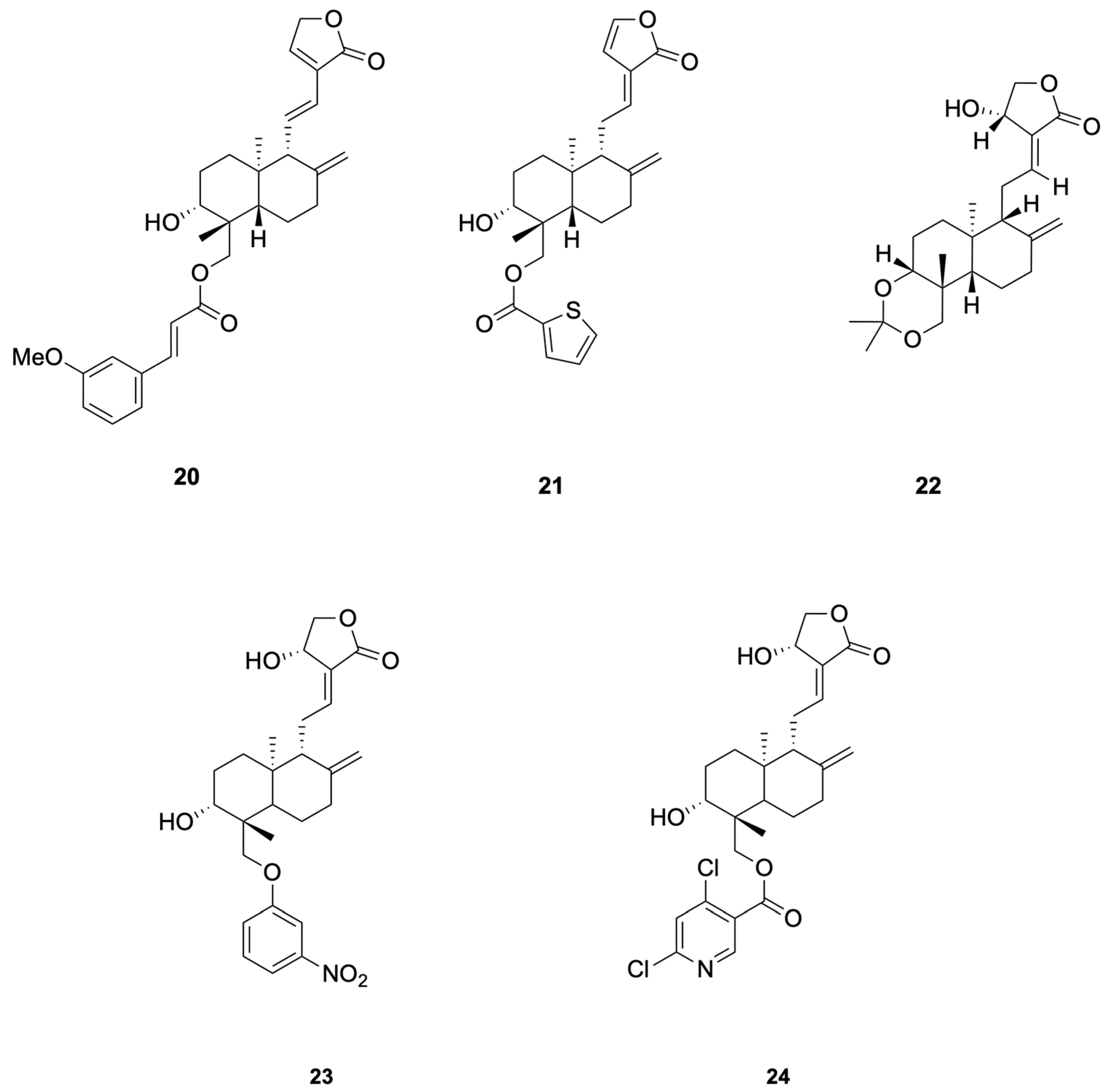
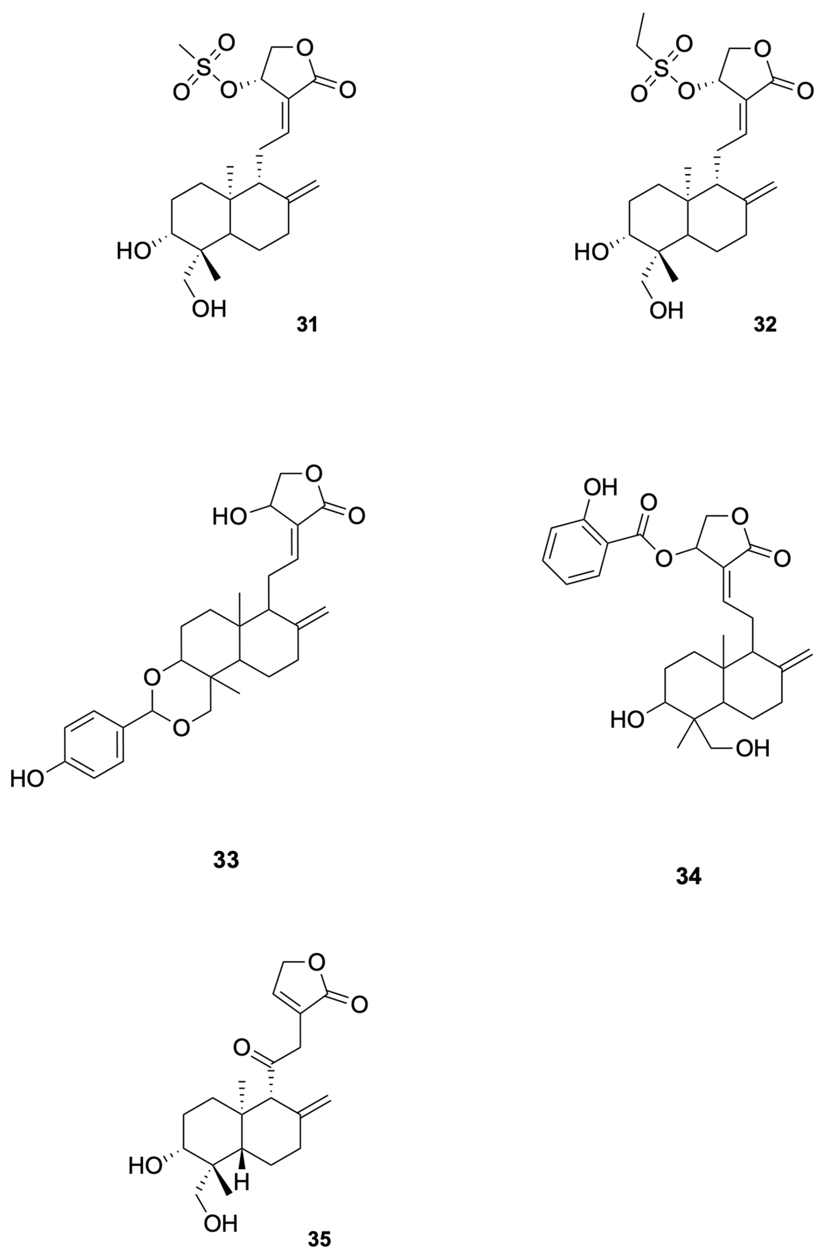
2. Structural Diversity and Representative Synthetic Derivatives
2.1. Parent Skeleton and Key Functional Groups
2.2. Overview of Semi-Synthetic Strategies: Esterification, Oxidation, Michael Addition, Salification, and Hybrid Design
2.2.1. Esterification
2.2.2. Oxidation
2.2.3. Michael Addition
2.2.4. Salification
2.2.5. Hybrid Design
3. Pathogen-Classified Anti-Infective Profile and Mechanisms
3.1. Antiviral Activity
3.1.1. RNA Viruses
Anti-SARSCoV2 Activity
Anti-Influenza A (H1N1) Virus Activity
Anti-Dengue and Anti-Zika Viruses’ Activity
Anti-Chikungunya Virus Activity
Anti-Enterovirus Virus Activity
3.1.2. DNA Viruses
Anti-Hepatitis B Virus Activity
Anti-Herpes Simplex Virus Activity
3.1.3. Retroviruses
Anti-Human Immunodeficiency Virus Activity
3.2. Antibacterial Activity
3.2.1. Against Gram-Positive Bacteria
Staphylococcus aureus (MRSA)
Enterococcus faecalis
3.2.2. Against Gram-Negative Bacteria
Escherichia coli
Pseudomonas aeruginosa
3.3. Antifungal Activity
3.4. Antiparasitic Activity
3.4.1. Plasmodium spp. (Malaria)
3.4.2. Leishmania spp. (Leishmaniasis)
4. Pharmacokinetics & Formulation Challenges
4.1. Oral Bioavailability: First-Pass Effect & β-Glucuronidation
4.2. Enabling Delivery to Enhance Exposure and Tissue Targeting
4.3. Parenteral and Alternative Routes
4.4. Exposure–Response and On-Target Engagement
4.5. Clinical and Regulatory Context
5. Conclusions
Supplementary Materials
Author Contributions
Funding
Data Availability Statement
Conflicts of Interest
Abbreviations
| ARDS | Acute Respiratory Distress Syndrome |
| ACE2 | Angiotensin-Converting Enzyme 2 |
| Mpro | Main Protease |
| RdRp | RNA-dependent RNA Polymerase |
| HSPA1A | Heat Shock Protein A1A |
| PGK1 | Phosphoglycerate Kinase 1 |
| 3CLpro | 3C-like Protease |
| VP0 | Viral Protein 0 |
| VP2 | Viral Protein 2 |
| IRES | Internal Ribosome Entry Site |
| HBsAg | Hepatitis B Surface Antigen |
| HBeAg | Hepatitis B e Antigen |
| gp120 | Glycoprotein 120 |
| FITC | Fluorescein Isothiocyanate |
| SEM | Scanning Electron Microscopy |
| QS | Quorum Sensing |
| CWI | Cell Wall Integrity |
| TOPO II | Topoisomerase II |
| UGT | UDP-Glucuronosyltransferase |
| PLGA | Poly(Lactic-co-Glycolic Acid) |
| PEG | Polyethylene Glycol |
| DTA | Differential Thermal Analysis |
| TGA | Thermogravimetric Analysis |
References
- Chao, W.-W.; Lin, B.-F. Isolation and identification of bioactive compounds in Andrographis paniculata (Chuanxinlian). Chin. Med. 2010, 5, 17. [Google Scholar] [CrossRef]
- Sheeja, K.; Shihab, P.; Kuttan, G. Antioxidant and anti-inflammatory activities of the plant Andrographis paniculata Nees. Immunopharmacol. Immunotoxicol. 2006, 28, 129–140. [Google Scholar] [CrossRef]
- Hossain, S.; Urbi, Z.; Karuniawati, H.; Mohiuddin, R.B.; Qrimida, A.M.; Allzrag, A.M.M.; Ming, L.C.; Pagano, E.; Capasso, R. Andrographis paniculata (burm. F.) wall. Ex nees: An updated review of phytochemistry, antimicrobial pharmacology, and clinical safety and efficacy. Life 2021, 11, 348. [Google Scholar] [CrossRef]
- Chao, W.-W.; Kuo, Y.-H.; Lin, B.-F. Anti-inflammatory activity of new compounds from Andrographis paniculata by NF-κB transactivation inhibition. J. Agric. Food Chem. 2010, 58, 2505–2512. [Google Scholar] [CrossRef] [PubMed]
- Harikrishnan, A.; Veena, V.; Kancharla, R.; Chavan, S.; Rajabathar, J.R.; Al-Lohedan, H.; Pandiaraj, S.; Karuppiah, P.; Arokiyaraj, S. Anti-breast cancer activity of bioactive metabolites from Andrographis paniculata through inhibition of PI3K activity in triple negative breast cancer (MDA-MB-231) cells. J. Mol. Struct. 2023, 1294, 136506. [Google Scholar] [CrossRef]
- Deshmukh, R.; Jain, A.K.; Singh, R.; Das Paul, S.; Harwansh, R.K. Andrographis paniculata and andrographolide-a snapshot on recent advances in nano drug delivery systems against cancer. Curr. Drug Deliv. 2024, 21, 631–644. [Google Scholar] [CrossRef]
- Subarmaniam, T.; Rusli, R.N.M.; Perumal, K.V.; Yong, Y.K.; Hadizah, S.; Othman, F.; Salem, K.; Shafie, N.H.; Hasham, R.; Yin, K.B.; et al. The potential chemopreventive effect of Andrographis paniculata on 1, 2-dimethylhydrazine and high-fat-diet-induced colorectal cancer in sprague dawley rats. Int. J. Mol. Sci. 2023, 24, 5224. [Google Scholar] [CrossRef] [PubMed]
- Chen, C.-C.; Lii, C.-K.; Lin, Y.-H.; Shie, P.-H.; Yang, Y.-C.; Huang, C.-S.; Chen, H.-W. Andrographis paniculata improves insulin resistance in high-fat diet-induced obese mice and TNFα-treated 3T3-L1 adipocytes. Am. J. Chin. Med. 2020, 48, 1073–1090. [Google Scholar] [CrossRef]
- Islam, M.T.; Ali, E.S.; Mubarak, M.S. Anti-obesity effect of plant diterpenes and their derivatives: A review. Phytother. Res. 2020, 34, 1216–1225. [Google Scholar] [CrossRef]
- Akhtar, M.T.; Sarib, M.S.B.M.; Ismail, I.S.; Abas, F.; Ismail, A.; Lajis, N.H.; Shaari, K. Anti-diabetic activity and metabolic changes induced by Andrographis paniculata plant extract in obese diabetic rats. Molecules 2016, 21, 1026. [Google Scholar] [CrossRef]
- Komalasari, T.; Harimurti, S. A Review on the Anti-Diabetic Activity of Andrographis paniculata (Burm. f.) Nees Based In-Vivo Study. Int. J. Public Health Sci. 2015, 4, 256–263. [Google Scholar] [CrossRef]
- Jadhav, A.K.; Karuppayil, S.M. Andrographis paniculata (Burm. F) Wall ex Nees: Antiviral properties. Phytother. Res. 2021, 35, 5365–5373. [Google Scholar]
- Berteina-Raboin, S. Comprehensive overview of antibacterial drugs and natural antibacterial compounds found in food plants. Antibiotics 2025, 14, 185. [Google Scholar] [CrossRef] [PubMed]
- Apsari, P.I.B.; Suryana, I.K.; Satriyasa, B.K.; Laksmi, D.A.A.S.; Wati, D.K.; Wirasuta, I.M.A.G. Towards Andrographolide as Antimalarial: A Systematic Review. Biomed. Pharmacol. J. 2025, 18, 499–515. [Google Scholar] [CrossRef]
- Amanda, L.P.; Azhari, H.M.; Ferdi, R.; Iqbal, I.; Andhini, P.; Azzya, P.A.; Permata, S.I. A Scoping Review pharmacology of Andrographis paniculata. Indones. J. Health Pharm. 2025, 1, 33–45. [Google Scholar]
- Dai, Y.; Chen, S.-R.; Chai, L.; Zhao, J.; Wang, Y.; Wang, Y. Overview of pharmacological activities of Andrographis paniculata and its major compound andrographolide. Crit. Rev. Food Sci. Nutr. 2019, 59 (Suppl. S1), S17–S29. [Google Scholar] [CrossRef]
- Cai, Q.; Zhang, W.; Sun, Y.; Xu, L.; Wang, M.; Wang, X.; Wang, S.; Ni, Z. Study on the mechanism of andrographolide activation. Front. Neurosci. 2022, 16, 977376. [Google Scholar] [CrossRef] [PubMed]
- Li, X.; Yuan, W.; Wu, J.; Zhen, J.; Sun, Q.; Yu, M. Andrographolide, a natural anti-inflammatory agent: An Update. Front. Pharmacol. 2022, 13, 920435. [Google Scholar] [CrossRef] [PubMed]
- Mussard, E.; Cesaro, A.; Lespessailles, E.; Legrain, B.; Berteina-Raboin, S.; Toumi, H. Andrographolide, a natural antioxidant: An update. Antioxidants 2019, 8, 571. [Google Scholar] [CrossRef]
- Shan, X.; Li, S.; Liu, J.; Wang, C.; Wei, Y.; Shi, J.; Zhang, X.; Gu, L. The Therapeutic Potential of Andrographolide and Its Derivatives in Inflammatory Diseases. Pharmacol. Res. Perspect. 2025, 13, e70161. [Google Scholar] [CrossRef]
- Yang, C.-H.; Yen, T.-L.; Hsu, C.-Y.; Thomas, P.-A.; Sheu, J.-R.; Jayakumar, T. Multi-targeting andrographolide, a novel NF-κB inhibitor, as a potential therapeutic agent for stroke. Int. J. Mol. Sci. 2017, 18, 1638. [Google Scholar] [CrossRef] [PubMed]
- Lee, C. Therapeutic modulation of virus-induced oxidative stress via the Nrf2-dependent antioxidative pathway. Oxidative Med. Cell Longev. 2018, 2018, 6208067. [Google Scholar] [CrossRef]
- Shakib, P.; Kalani, H.; Ho, J.; Dolatshah, M.; Amiri, S.; Cheraghipour, K. A Systematic Review on Curcumin and Anti-Plasmodium berghei Effects. Curr. Drug Discov. Technol. 2022, 19, 67–72. [Google Scholar]
- Rahul, M.; Boini, T.; Lakshminarayana, M.; Radhakrishnan, T.; Sudayadas, R.K. Approaches to improve solubility, stability and the clinical potential of andrographolide: A review. J. Young Pharm. 2022, 14, 15. [Google Scholar] [CrossRef]
- Zeng, B.; Wei, A.; Zhou, Q.; Yuan, M.; Lei, K.; Liu, Y.; Song, J.; Guo, L.; Ye, Q. Andrographolide: A review of its pharmacology, pharmacokinetics, toxicity and clinical trials and pharmaceutical researches. Phytother. Res. 2022, 36, 336–364. [Google Scholar] [CrossRef]
- Wang, M.; Cao, R.; Zhang, L.; Yang, X.; Liu, J.; Xu, M.; Shi, Z.; Hu, Z.; Zhong, W.; Xiao, G. Remdesivir and Chloroquine Effectively Inhibit the Recently Emerged Novel Coronavirus (2019-nCoV) In Vitro. Cell Res. 2020, 30, 269–271. [Google Scholar] [CrossRef]
- Wu, C.; Liu, Y.; Yang, Y.; Zhang, P.; Zhong, W.; Wang, Y.; Wang, Q.; Xu, Y.; Li, M.; Li, X.; et al. Analysis of Therapeutic Targets for SARS-CoV-2 and Discovery of Potential Drugs by Computational Methods. Acta Pharm. Sin. B 2020, 10, 766–788. [Google Scholar] [CrossRef] [PubMed]
- EUCAST. Breakpoint Tables for Interpretation of MICs and Zone Diameters, Version 14.0. 2024. Available online: https://www.eucast.org/clinical_breakpoints (accessed on 17 October 2025).
- CLSI. Performance Standards for Antimicrobial Susceptibility Testing, 32nd ed.; CLSI Supplement M100; Clinical and Laboratory Standards Institute: Wayne, PA, USA, 2022; Available online: https://clsi.org/shop/standards/m100/ (accessed on 17 October 2025).
- CDC. Candida auris: Antifungal Susceptibility Testing. 2024. Available online: https://www.cdc.gov/candida-auris/hcp/laboratories/antifungal-susceptibility-testing.html (accessed on 17 October 2025).
- Fairhurst, R.M.; Dondorp, A.M. Artemisinin-Resistant Plasmodium falciparum Malaria. Microbiol. Spectr. 2016, 4, 409–429. [Google Scholar] [CrossRef] [PubMed]
- Purkait, B.; Kumar, A.; Nandi, N.; Sardar, A.H.; Das, S.; Kumar, S.; Pandey, K.; Ravidas, V.; Kumar, M.; De, T.; et al. Mechanism of Amphotericin B Resistance in Clinical Isolates of Leishmania donovani. Antimicrob. Agents Chemother. 2012, 56, 1031–1041. [Google Scholar] [CrossRef]
- Lim, J.C.W.; Chan, T.K.; Ng, D.S.; Sagineedu, S.R.; Stanslas, J.; Wong, W.F. Andrographolide and its analogues: Versatile bioactive molecules for combating inflammation and cancer. Clin. Exp. Pharmacol. Physiol. 2012, 39, 300–310. [Google Scholar] [CrossRef]
- Ren, X.; Xu, W.; Sun, J.; Dong, B.; Awala, H.; Wang, L. Current trends on repurposing and pharmacological enhancement of andrographolide. Curr. Med. Chem. 2021, 28, 2346–2368. [Google Scholar] [CrossRef]
- Intharuksa, A.; Arunotayanun, W.; Yooin, W.; Sirisa-Ard, P. A comprehensive review of Andrographis paniculata (Burm. f.) Nees and its constituents as potential lead compounds for COVID-19 drug discovery. Molecules 2022, 27, 4479. [Google Scholar] [CrossRef]
- Aromdee, C. Modifications of andrographolide to increase some biological activities: A patent review (2006–2011). Expert Opin. Ther. Pat. 2012, 22, 169–180. [Google Scholar] [CrossRef]
- Lim, X.Y.; Chan, J.S.W.; Tan, T.Y.C.; Teh, B.P.; Razak, M.R.M.A.; Mohamad, S.; Mohamed, A.F.S. Andrographis paniculata (Burm. F.) wall. ex nees, andrographolide, and andrographolide analogues as SARS-CoV-2 antivirals? A rapid review. Nat. Prod. Commun. 2021, 16, 1934578X211016610. [Google Scholar] [CrossRef]
- He, Z.; Yuan, J.; Zhang, Y.; Li, R.; Mo, M.; Wang, Y.; Ti, H. Recent advances towards natural plants as potential inhibitors of SARS-Cov-2 targets. Pharm. Biol. 2023, 61, 1186–1210. [Google Scholar] [CrossRef]
- Aromdee, C. Andrographolide: Progression in its modifications and applications–a patent review (2012–2014). Expert Opin. Ther. Pat. 2014, 24, 1129–1138. [Google Scholar] [CrossRef]
- Chen, X.; Ren, J.; Yang, J.; Zhu, Z.; Chen, R.; Zhang, L. A critical review of Andrographis paniculata. Med. Plant Biol. 2023, 2, 15. [Google Scholar] [CrossRef]
- Messire, G.; Rollin, P.; Gillaizeau, I.; Berteina-Raboin, S. Synthetic modifications of andrographolide targeting new potential anticancer drug candidates: A comprehensive overview. Molecules 2024, 29, 2884. [Google Scholar] [CrossRef]
- Menon, V.; Bhat, S. Anticancer activity of andrographolide semisynthetic derivatives. Nat. Prod. Commun. 2010, 5, 717–720. [Google Scholar] [CrossRef]
- Preet, R.; Chakraborty, B.; Siddharth, S.; Mohapatra, P.; Das, D.; Satapathy, S.R.; Das, S.; Maiti, N.C.; Maulik, P.R.; Kundu, C.N.; et al. Synthesis and biological evaluation of andrographolide analogues as anti-cancer agents. Eur. J. Med. Chem. 2014, 85, 95–106. [Google Scholar] [CrossRef] [PubMed]
- Kasemsuk, T.; Piyachaturawat, P.; Bunthawong, R.; Sirion, U.; Suksen, K.; Suksamrarn, A.; Saeeng, R. One-pot three steps cascade synthesis of novel isoandrographolide analogues and their cytotoxic activity. Eur. J. Med. Chem. 2017, 138, 952–963. [Google Scholar] [CrossRef]
- Singh, M.; Ravichandiran, V.; Bharitkar, Y.P.; Hazra, A. Natural products containing olefinic bond: Important substrates for semi-synthetic modification towards value addition. Curr. Org. Chem. 2020, 24, 709–745. [Google Scholar] [CrossRef]
- Wang, W.; Yang, Y.; Liu, Y.; Sun, D.; Li, H.; Chen, L. Recent Progress in Andrographolide Derivatization: Structural Modification and Biological Activity. Mini Rev. Med. Chem. 2022, 22, 1559–1584. [Google Scholar] [CrossRef]
- Jing, M.; Li, Z.; Zhang, Z.; Wang, Y.; Xu, L.; Yu, P. Synthesis and biological evaluation of andrographolide derivatives as potential anti-inflammatory agents. J. Pharm. Biomed. Sci. 2017, 7, 94–99. [Google Scholar]
- Gao, L.; Wang, F.; Chen, Y.; Li, F.; Han, B.; Liu, D. The antithrombotic activity of natural and synthetic coumarins. Fitoterapia 2021, 154, 104947. [Google Scholar] [CrossRef]
- Hu, B.; Guo, H.; Zhou, P.; Shi, Z.L. Characteristics of SARS-CoV-2 and COVID-19. Nat. Rev. Microbiol. 2021, 19, 141–154. [Google Scholar] [CrossRef]
- Zhang, D.-Q.; Ma, Q.-H.; Yang, M.-C.; Belyakova, Y.Y.; Yang, Z.-F.; Radulov, P.S.; Chen, R.-H.; Yang, L.-J.; Wei, J.-Y.; Peng, Y.-T.; et al. Peroxide derivatives as SARS-CoV-2 entry inhibitors. Virus Res. 2024, 340, 199295. [Google Scholar] [CrossRef]
- Wiersinga, W.J.; Rhodes, A.; Cheng, A.C.; Peacock, S.J.; Prescott, H.C. Pathophysiology, Transmission, Diagnosis, and Treatment of Coronavirus Disease 2019 (COVID-19): A Review. Jama 2020, 324, 782–793. [Google Scholar] [CrossRef]
- Shi, T.-H.; Huang, Y.-L.; Chen, C.-C.; Pi, W.-C.; Hsu, Y.-L.; Lo, L.-C.; Chen, W.-Y.; Fu, S.-L.; Lin, C.-H. Andrographolide and its fluorescent derivative inhibit the main proteases of 2019-nCoV and SARS-CoV through covalent linkage. Biochem. Biophys. Res. Commun. 2020, 533, 467–473. [Google Scholar] [CrossRef] [PubMed]
- Schulte, B.; König, M.; Escher, B.I.; Wittenburg, S.; Proj, M.; Wolf, V.; Lemke, C.; Schnakenburg, G.; Sosič, I.; Streeck, H.; et al. Andrographolide Derivatives Target the KEAP1/NRF2 Axis and Possess Potent Anti-SARS-CoV-2 Activity. ChemMedChem 2022, 17, e202100732. [Google Scholar] [CrossRef] [PubMed]
- Suriya, U.; Intamalee, P.; Saeeng, R.; Wilasluck, P.; Deetanya, P.; Wangkanont, K.; Kanjanasirirat, P.; Wongwitayasombat, C.; Nutho, B. Design and Evaluation of Andrographolide Analogues as SARS-CoV-2 Main Protease Inhibitors: Molecular Modeling and in vitro Studies. Drug Des. Dev. Ther. 2025, 19, 3907–3924. [Google Scholar] [CrossRef] [PubMed]
- Rahman, M.U.; Ayoob, I.; Rehman, S.U.; Bhat, K.A.; Ara, T. Microwave-Assisted Synthesis of Andrographolide Derivatives and Evaluation of β-Glucosidase Inhibition. SynOpen 2018, 2, 330–342. [Google Scholar] [CrossRef]
- Novel Swine-Origin Influenza A (H1N1) Virus Investigation Team. Emergence of a novel swine-origin influenza A (H1N1) virus in humans. N. Engl. J. Med. 2009, 360, 2605–2615. [Google Scholar]
- Chen, J.-X.; Xue, H.-J.; Ye, W.-C.; Fang, B.-H.; Liu, Y.-H.; Yuan, S.-H.; Yu, P.; Wang, Y.-Q. Activity of andrographolide and its derivatives against influenza virus in vivo and in vitro. Biol. Pharm. Bull. 2009, 32, 1385–1391. [Google Scholar] [CrossRef]
- Murugesan, A.; Manoharan, M. Dengue Virus, in Emerging and Reemerging Viral Pathogens; Elsevier: Amsterdam, The Netherlands, 2020; pp. 281–359. [Google Scholar]
- Henchal, E.A.; Putnak, J.R. The dengue viruses. Clin. Microbiol. Rev. 1990, 3, 376–396. [Google Scholar] [CrossRef] [PubMed]
- Petersen, L.R.; Jamieson, D.J.; Powers, A.M.; Honein, M.A. Zika virus. N. Engl. J. Med. 2016, 374, 1552–1563. [Google Scholar] [CrossRef]
- Li, F.; Khanom, W.; Sun, X.; Paemanee, A.; Roytrakul, S.; Wang, D.; Smith, D.R.; Zhou, G.-C. Andrographolide and its 14-aryloxy analogues inhibit zika and dengue virus infection. Molecules 2020, 25, 5037. [Google Scholar] [CrossRef]
- Li, F.; Lee, E.M.; Sun, X.; Wang, D.; Tang, H.; Zhou, G.-C. Design, synthesis and discovery of andrographolide derivatives against Zika virus infection. Eur. J. Med. Chem. 2020, 187, 111925. [Google Scholar] [CrossRef]
- Pialoux, G.; Gaüzère, B.-A.; Jauréguiberry, S.; Strobel, M. Chikungunya, an epidemic arbovirosis. Lancet Infect. Dis. 2007, 7, 319–327. [Google Scholar] [CrossRef]
- Tran, Q.T.N.; Lee, R.C.H.; Liu, H.J.; Ran, D.; Low, V.Z.L.; To, D.Q.; Chu, J.J.H.; Chai, C.L.L. Discovery and development of labdane-oxindole hybrids as small-molecule inhibitors against chikungunya virus infection. Eur. J. Med. Chem. 2022, 230, 114110. [Google Scholar] [CrossRef] [PubMed]
- Solomon, T.; Lewthwaite, P.; Perera, D.; Cardosa, M.J.; McMinn, P.; Ooi, M.H. Virology, epidemiology, pathogenesis, and control of enterovirus 71. Lancet Infect. Dis. 2010, 10, 778–790. [Google Scholar] [CrossRef]
- Dai, K.; Tan, J.K.; Qian, W.; Lee, R.C.H.; Chu, J.J.H.; Zhou, G.-C. Discovery of 14S-(2′-chloro-4′-nitrophenoxy)-8R/S,17-epoxy andrographolide as EV-A71 infection inhibitor. Biochem. Pharmacol. 2021, 194, 114820. [Google Scholar] [CrossRef]
- Tan, J.K.; Chen, R.; Lee, R.C.H.; Li, F.; Dai, K.; Zhou, G.-C.; Chu, J.J.H. Discovery of Novel Andrographolide Derivatives as Antiviral Inhibitors against Human Enterovirus A71. Pharmaceuticals 2022, 15, 115. [Google Scholar] [CrossRef]
- Lee, W.M. Hepatitis B virus infection. N. Engl. J. Med. 1997, 337, 1733–1745. [Google Scholar] [CrossRef]
- Chen, H.; Ma, Y.-B.; Huang, X.-Y.; Geng, C.-A.; Zhao, Y.; Wang, L.-J.; Guo, R.-H.; Liang, W.-J.; Zhang, X.-M.; Chen, J.-J. Synthesis, structure-activity relationships and biological evaluation of dehydroandrographolide and andrographolide derivatives as novel anti-hepatitis B virus agents. Bioorganic Med. Chem. Lett. 2014, 24, 2353–2359. [Google Scholar] [CrossRef]
- Whitley, R.J.; Roizman, B. Herpes simplex virus infections. Lancet 2001, 357, 1513–1518. [Google Scholar] [CrossRef] [PubMed]
- Priengprom, T.; Ekalaksananan, T.; Kongyingyoes, B.; Suebsasana, S.; Aromdee, C.; Pientong, C. Synergistic effects of acyclovir and 3, 19-isopropylideneandrographolide on herpes simplex virus wild types and drug-resistant strains. BMC Complement. Altern. Med. 2015, 15, 56. [Google Scholar] [CrossRef] [PubMed]
- Ruelas, D.S.; Greene, W.C. An integrated overview of HIV-1 latency. Cell 2013, 155, 519–529. [Google Scholar] [CrossRef] [PubMed]
- Uttekar, M.M.; Das, T.; Pawar, R.S.; Bhandari, B.; Menon, V.; Nutan; Gupta, S.K.; Bhat, S.V. Anti-HIV activity of semisynthetic derivatives of andrographolide and computational study of HIV-1 gp120 protein binding. Eur. J. Med. Chem. 2012, 56, 368–374. [Google Scholar] [CrossRef] [PubMed]
- Ondusko, D.S.; Nolt, D. Staphylococcus aureus. Pediatr. Rev. 2018, 39, 287–298. [Google Scholar] [CrossRef]
- Patil, H.S.; Jadhav, D.D.; Paul, A.; Mulani, F.A.; Karegaonkar, S.J.; Thulasiram, H.V. Regioselective and efficient enzymatic synthesis of antimicrobial andrographolide derivatives. Bioorganic Med. Chem. Lett. 2018, 28, 1132–1137. [Google Scholar] [CrossRef]
- Van Tyne, D.; Martin, M.J.; Gilmore, M.S. Structure, function, and biology of the Enterococcus faecalis cytolysin. Toxins 2013, 5, 895–911. [Google Scholar] [CrossRef]
- Li, F.; Li, X.-M.; Sheng, D.; Chen, S.-R.; Nie, X.; Liu, Z.; Wang, D.; Zhao, Q.; Wang, Y.; Wang, Y.; et al. Discovery and preliminary SAR of 14-aryloxy-andrographolide derivatives as antibacterial agents with immunosuppressant activity. RSC Adv. 2018, 8, 9440–9456. [Google Scholar] [CrossRef]
- Nataro, J.P.; Kaper, J.B. Diarrheagenic Escherichia coli. Clin. Microbiol. Rev. 1998, 11, 142–201. [Google Scholar] [CrossRef]
- Wu, W.; Jin, Y.; Bai, F.; Jin, S. Pseudomonas aeruginosa. In Molecular Medical Microbiology; Elsevier: Amsterdam, The Netherlands, 2015; pp. 753–767. [Google Scholar]
- Wang, Z.; Yu, P.; Zhang, G.; Xu, L.; Wang, D.; Wang, L.; Zeng, X.; Wang, Y. Design, synthesis and antibacterial activity of novel andrographolide derivatives. Bioorganic Med. Chem. 2010, 18, 4269–4274. [Google Scholar] [CrossRef] [PubMed]
- Agarwal, D.; Singh, P.; Vihar, V.C.V.; Neelbud, B. Synthesis, characterization and antibacterial activity of C (14)-sulfonyl ester-type andrographolide derivatives. J. Global. Biosci 2015, 4, 2348–2354. [Google Scholar]
- Tuteja, R. Malaria—An overview. FEBS J. 2007, 274, 4670–4679. [Google Scholar] [CrossRef] [PubMed]
- Haynes, R.H.; Cheu, K.W.; N’Da, D.; Coghi, P.; Monti, D. Considerations on the mechanism of action of artemisinin antimalarials: Part 1-The’carbon radical’and’heme’hypotheses. Infect. Disord. Drug Targets Disord. 2013, 13, 217–277. [Google Scholar] [CrossRef]
- Tiwari, M.K.; Coghi, P.; Agrawal, P.; Shyamlal, B.R.K.; Yang, L.J.; Yadav, L.; Peng, Y.; Sharma, R.; Yadav, D.K.; Sahal, D.; et al. Design, synthesis, Structure-Activity relationship and docking studies of novel functionalized Arylvinyl-1, 2, 4-Trioxanes as potent antiplasmodial as well as anticancer agents. ChemMedChem 2020, 15, 1216–1228. [Google Scholar] [CrossRef]
- Limsong, J.; Benjavongkulchai, E.; Kuvatanasuchati, J. Inhibitory effect of some herbal extracts on adherence of Streptococcus mutans. J. Ethnopharmacol. 2004, 92, 281–289. [Google Scholar] [CrossRef]
- Chander, R.; Srivastava, V.; Tandon, J.S.; Kapoor, N.K. Antihepatotoxic activity of diterpenes of Andrographis paniculata (Kal-Megh) against Plasmodium berghei-induced hepatic damage in Mastomys natalensis. Int. J. Pharmacogn. 1995, 33, 135–138. [Google Scholar] [CrossRef]
- Misra, P.; Pal, N.L.; Guru, P.Y.; Katiyar, J.C.; Srivastava, V.; Tandon, J.S. Antimalarial activity of Andrographis paniculata (Kalmegh) against Plasmodium berghei NK 65 in Mastomys natalensis. Int. J. Pharmacogn. 1992, 30, 263–274. [Google Scholar] [CrossRef]
- Megantara, S.; Fauzan, M.A.; Saputri, F.A.; Sofian, F.F. Pharmacophore Screening and Molecular Docking of Andrographolide and Its Derivatives on Plasmepsin as Anti-Malarial Drug. J. Glob. Pharma Technol. 2020, 12, 62–71. [Google Scholar]
- Torres-Guerrero, E.; Quintanilla-Cedillo, M.R.; Ruiz-Esmenjaud, J.; Arenas, R. Leishmaniasis: A review. F1000Research 2017, 6, 750. [Google Scholar] [CrossRef] [PubMed]
- Sinha, J.; Mukhopadhyay, S.; Das, N.; Basu, M.K. Targeting of liposomal andrographolide to L. donovani-infected macrophages in vivo. Drug Deliv. 2000, 7, 209–213. [Google Scholar]
- Gupta, P.; Tandon, J.; Patnaik, G. Antiallergic activity of andrographolides isolated from Andrographis paniculata (Burm. F) Wall. Pharm. Biol. 1998, 36, 72–74. [Google Scholar] [CrossRef]
- Lala, S.; Nandy, A.K.; Mahato, S.B.; Basu, M.K. Delivery in vivo of 14-deoxy-11-oxoandrographolide, an antileishmanial agent, by different drug carriers. Indian J. Biochem. Biophys. 2003, 40, 169–174. [Google Scholar]
- Panossian, A.; Hovhannisyan, A.; Mamikonyan, G.; Abrahamian, H.; Hambardzumyan, E.; Gabrielian, E.; Goukasova, G.; Wikman, G.; Wagner, H. Pharmacokinetic and oral bioavailability of andrographolide from Andrographis paniculata fixed combination Kan Jang in rats and human. Phytomedicine 2000, 7, 351–364. [Google Scholar] [CrossRef]
- Lin, J.H.; Chiba, M.; Baillie, T.A. Is the role of the small intestine in first-pass metabolism overemphasized? Pharmacol. Rev. 1999, 51, 135–157. [Google Scholar] [CrossRef]
- Pawar, A.; Rajalakshmi, S.; Mehta, P.; Shaikh, K.; Bothiraja, C. Strategies for formulation development of andrographolide. RSC Adv. 2016, 6, 69282–69300. [Google Scholar] [CrossRef]
- Pekthong, D.; Martin, H.; Abadie, C.; Bonet, A.; Heyd, B.; Mantion, G.; Richert, L. Differential inhibition of rat and human hepatic cytochrome P450 by Andrographis paniculata extract and andrographolide. J. Ethnopharmacol. 2008, 115, 432–440. [Google Scholar] [CrossRef]
- Ooi, J.P.; Kuroyanagi, M.; Sulaiman, S.F.; Muhammad, T.S.T.; Tan, M.L. Andrographolide and 14-deoxy-11, 12-didehydroandrographolide inhibit cytochrome P450s in HepG2 hepatoma cells. Life Sci. 2011, 88, 447–454. [Google Scholar] [CrossRef]
- Ma, H.-Y.; Sun, D.-X.; Cao, Y.-F.; Ai, C.-Z.; Qu, Y.-Q.; Hu, C.-M.; Jiang, C.; Dong, P.-P.; Sun, X.-Y.; Hong, M.; et al. Herb–drug interaction prediction based on the high specific inhibition of andrographolide derivatives towards UDP-glucuronosyltransferase (UGT) 2B7. Toxicol. Appl. Pharmacol. 2014, 277, 86–94. [Google Scholar] [CrossRef]
- Wang, D.W.; Xiang, Y.J.; Wei, Z.L.; Yao, H.; Shen, T. Andrographolide and its derivatives are effective compounds for gastrointestinal protection: A review. Eur. Rev. Med. Pharmacol. Sci. 2021, 25, 2367–2382. [Google Scholar]
- Wu, H.; Wu, X.; Huang, L.; Ruan, C.; Liu, J.; Chen, X.; Liu, J.; Luo, H. Effects of andrographolide on mouse intestinal microflora based on high-throughput sequence analysis. Front. Vet. Sci. 2021, 8, 702885. [Google Scholar] [CrossRef]
- Tang, D.; Hu, W.; Fu, B.; Zhao, X.; You, G.; Xie, C.; Wang, H.Y.; Guo, X.; Zhang, Q.; Liu, Z.; et al. Gut microbiota-mediated C-sulfonate metabolism impairs the bioavailability and anti-cholestatic efficacy of andrographolide. Gut Microbes 2024, 16, 2387402. [Google Scholar] [CrossRef]
- Akbarzadeh, A.; Rezaei-Sadabady, R.; Davaran, S.; Joo, S.W.; Zarghami, N.; Hanifehpour, Y.; Samiei, M.; Kouhi, M.; Nejati-Koshki, K. Liposome: Classification, preparation, and applications. Nanoscale Res. Lett. 2013, 8, 102. [Google Scholar] [CrossRef]
- Szoka, F., Jr.; Papahadjopoulos, D. Comparative properties and methods of preparation of lipid vesicles (liposomes). Annu. Rev. Biophys. Bioeng. 1980, 9, 467–508. [Google Scholar] [CrossRef]
- Piazzini, V.; Landucci, E.; Graverini, G.; Pellegrini-Giampietro, D.E.; Bilia, A.R.; Bergonzi, M.C. Stealth and cationic nanoliposomes as drug delivery systems to increase andrographolide BBB permeability. Pharmaceutics 2018, 10, 128. [Google Scholar] [CrossRef]
- Jain, P.K.; Khurana, N.; Pounikar, Y.; Gajbhiye, A.; Kharya, M.D. Enhancement of absorption and hepatoprotective potential through soya-phosphatidylcholine-andrographolide vesicular system. J. Liposome Res. 2013, 23, 110–118. [Google Scholar] [CrossRef]
- Sur, S.; Rathore, A.; Dave, V.; Reddy, K.R.; Chouhan, R.S.; Sadhu, V. Recent developments in functionalized polymer nanoparticles for efficient drug delivery system. Nano-Struct. Nano-Objects 2019, 20, 100397. [Google Scholar] [CrossRef]
- Roy, P.; Das, S.; Bera, T.; Mondol, S.; Mukherjee, A. Andrographolide nanoparticles in leishmaniasis: Characterization and in vitro evaluations. Int. J. Nanomed. 2010, 5, 1113–1121. [Google Scholar] [CrossRef] [PubMed]
- Zhang, J.; Li, Y.; Gao, W.; A Repka, M.; Wang, Y.; Chen, M. Andrographolide-loaded PLGA-PEG-PLGA micelles to improve its bioavailability and anticancer efficacy. Expert Opin. Drug Deliv. 2014, 11, 1367–1380. [Google Scholar] [CrossRef] [PubMed]
- Mondal, S.; Roy, P.; Das, S.; Halder, A.; Mukherjee, A.; Bera, T. In vitro susceptibilities of wild and drug resistant Leishmania donovani amastigote stages to andrographolide nanoparticle: Role of vitamin E derivative TPGS for nanoparticle efficacy. PLoS ONE 2013, 8, e81492. [Google Scholar] [CrossRef] [PubMed]
- Das, S.; Pradhan, G.K.; Das, S.; Nath, D.; Saha, K.D. Enhanced protective activity of nano formulated andrographolide against arsenic induced liver damage. Chem. Biol. Interact. 2015, 242, 281–289. [Google Scholar] [CrossRef]
- Zhao, D.; Liao, K.; Ma, X.; Yan, X. Study of the supramolecular inclusion of β-cyclodextrin with andrographolide. J. Incl. Phenom. Macrocycl. Chem. 2002, 43, 259–264. [Google Scholar] [CrossRef]







| Pathogen Class | Representative Microorganisms | Typical In-Vitro Systems | Primary Potency Metrics | Selectivity Metric | Mechanism/SAR Anchors (Examples) | Reference/Control Drug (≈Benchmark) |
|---|---|---|---|---|---|---|
| Viruses | SARS-CoV-2; influenza A/H1N1; DENV; ZIKV; CHIKV; EV-A71; HBV; HSV-1/2 | Vero E6, A549, HEK293T/ACE2, Huh7, HepG2 | EC50/IC50 (µM); CC50 (µM) | SI = CC50/EC50 (or IC50) | Mpro/RdRp/host-stress pathways; C-14/C-19 esters; hybrid labdane scaffolds | SARS-CoV-2: Remdesivir EC50 ≈ 0.77 µM; Chloroquine EC50 ≈ 2–5 µM [26,27]. Influenza A/H1N1: Oseltamivir (low-µM) [26]. DENV/ZIKV: Ribavirin ≈ 10–12 µM [26]. |
| Bacteria | Staphylococcus aureus (MRSA); Enterococcus faecalis; Escherichia coli; Pseudomonas aeruginosa | Broth microdilution; time-kill; biofilm assays | MIC (µg·mL−1); CC50 (µM) when available | SI = CC50/EC50 (if available) | C-14 ester chain length vs. membrane interaction; energy metabolism pathways | MRSA: Ampicillin 1–8 µg/mL [28]. E. coli: Ciprofloxacin ≤ 0.25 µg/mL [27,28]. P. aeruginosa: Ceftazidime ≤ 1–4 µg/mL [29]. |
| Fungi | Candida albicans; Candida auris; Aspergillus fumigatus | Yeast/mold susceptibility microplate; ROS (DCFH-DA) assays | MIC (µg·mL−1) or EC50/IC50 (µM); CC50 (µM) | SI (if reported) | Mitochondrial ROS↑; MAPK and cell wall stress pathways | C. albicans: Fluconazole ≤ 8 µg/mL [29]. C. auris: Fluconazole ≥ 32–256 µg/mL [30]. A. fumigatus: Amphotericin B ≈ 1 µg/mL [29]. |
| Parasites | Plasmodium falciparum; Leishmania donovani | Asexual intraerythrocytic cycle; promastigote/amastigote assays | EC50/IC50 (µM); CC50 (µM) | SI = CC50/EC50 | Computational docking/MD supported hypotheses; biochemical confirmation required | P. falciparum: Chloroquine 0.1–0.3 µM [31]. L. donovani: Amphotericin B < 1 µM [32]. |
Disclaimer/Publisher’s Note: The statements, opinions and data contained in all publications are solely those of the individual author(s) and contributor(s) and not of MDPI and/or the editor(s). MDPI and/or the editor(s) disclaim responsibility for any injury to people or property resulting from any ideas, methods, instructions or products referred to in the content. |
© 2025 by the authors. Licensee MDPI, Basel, Switzerland. This article is an open access article distributed under the terms and conditions of the Creative Commons Attribution (CC BY) license (https://creativecommons.org/licenses/by/4.0/).
Share and Cite
Ren, Z.; Chen, Z.; Xie, Y.; Coghi, P. Andrographolide and Its Derivatives: A Comprehensive Review of Anti-Infective Properties and Clinical Potential. Molecules 2025, 30, 4273. https://doi.org/10.3390/molecules30214273
Ren Z, Chen Z, Xie Y, Coghi P. Andrographolide and Its Derivatives: A Comprehensive Review of Anti-Infective Properties and Clinical Potential. Molecules. 2025; 30(21):4273. https://doi.org/10.3390/molecules30214273
Chicago/Turabian StyleRen, Zimo, Zihan Chen, Yuhan Xie, and Paolo Coghi. 2025. "Andrographolide and Its Derivatives: A Comprehensive Review of Anti-Infective Properties and Clinical Potential" Molecules 30, no. 21: 4273. https://doi.org/10.3390/molecules30214273
APA StyleRen, Z., Chen, Z., Xie, Y., & Coghi, P. (2025). Andrographolide and Its Derivatives: A Comprehensive Review of Anti-Infective Properties and Clinical Potential. Molecules, 30(21), 4273. https://doi.org/10.3390/molecules30214273

