Exploring the Antidiabetic Properties of Polyalthia longifolia Leaf and Stem Extracts: In Vitro α-Glucosidase and Glycation Inhibition
Abstract
1. Introduction
2. Results
2.1. In Vitro Antidiabetic Properties
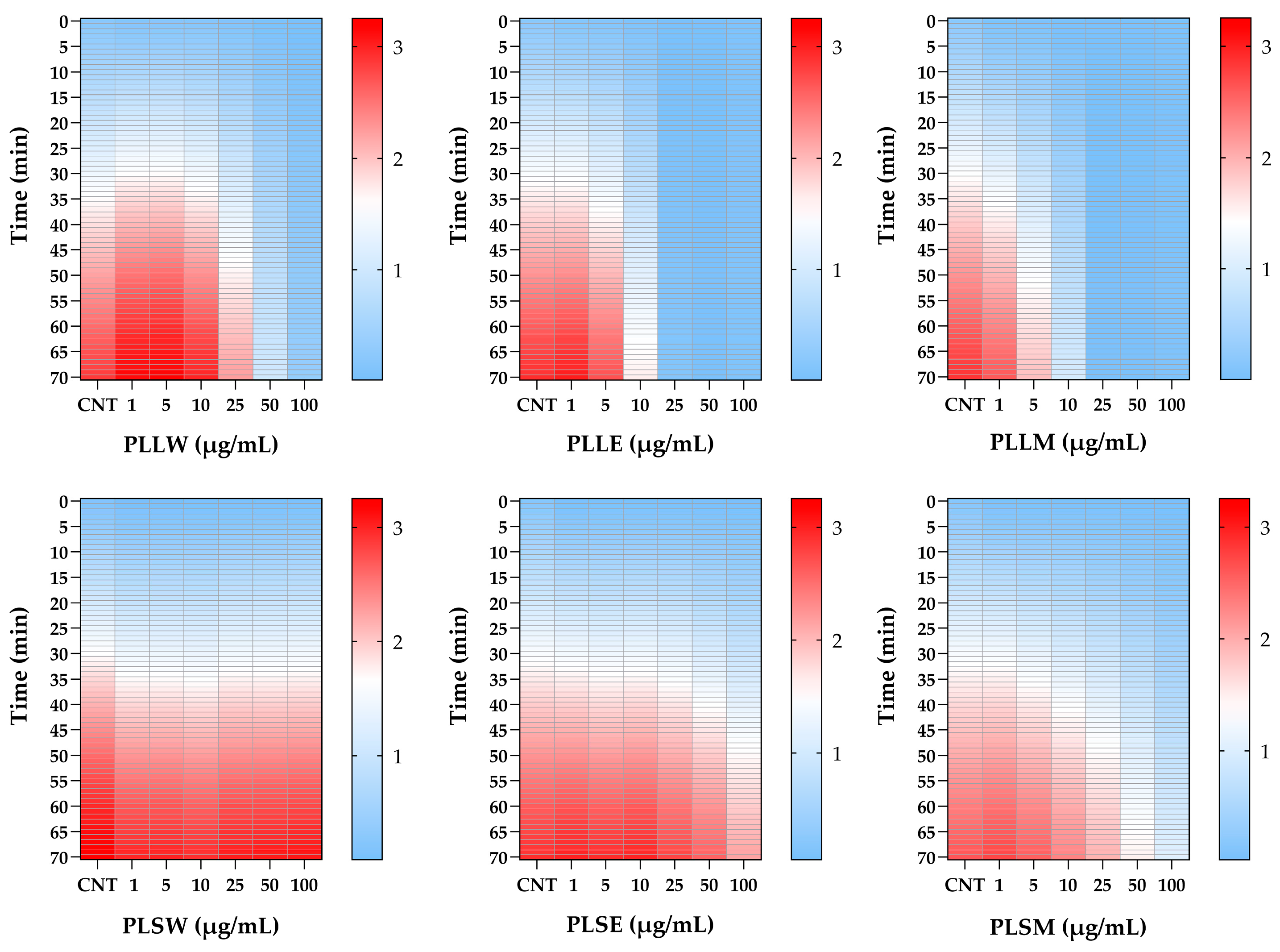
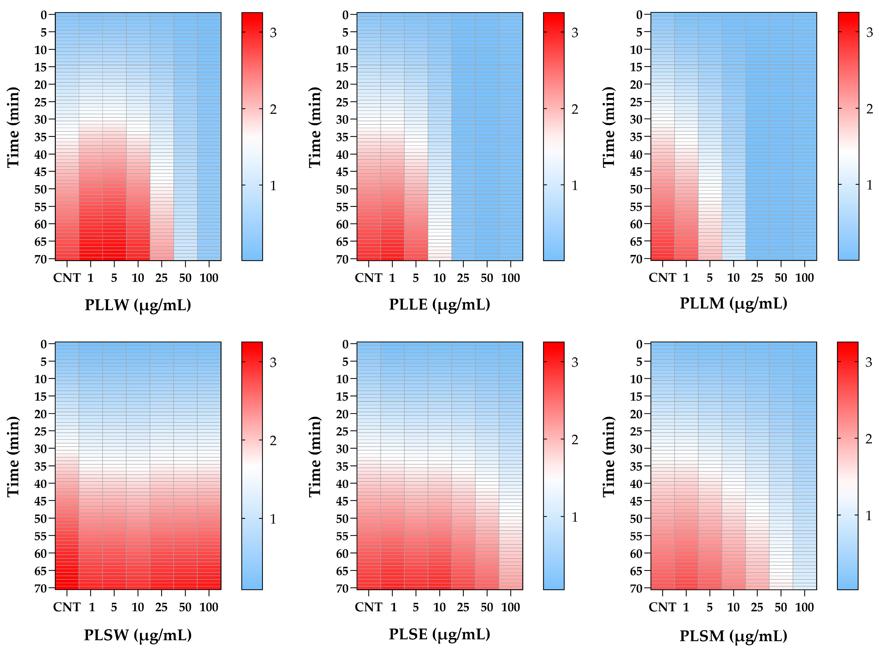
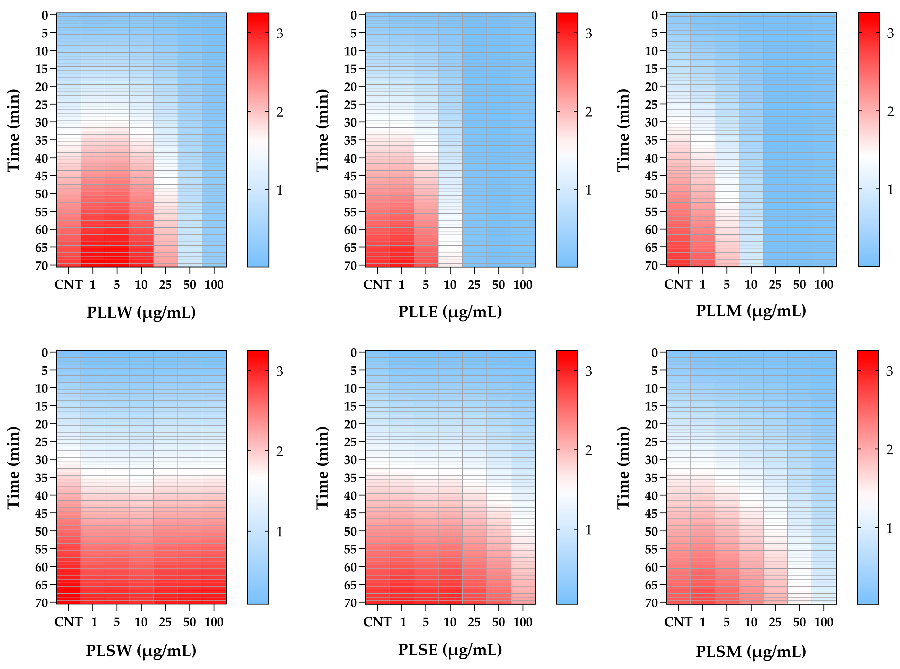
2.1.1. α-Glucosidase Inhibition
2.1.2. Albumin Glycation Inhibition
2.2. Total Phenol and Flavonoid Contents
2.3. Antiradical Scavenging Activity
2.4. HT-29 Viability
2.5. Phytochemical Characterization
3. Discussion
4. Materials and Methods
4.1. Chemical Reagents
4.2. Plant Extract Preparations
4.3. HPLC-DAD Analysis
4.4. Yeast α-Glucosidase Inhibition Assay
4.5. BSA Glycation Inhibition Assay
4.6. TPC and TFC Assays
4.7. ORAC Assay
4.8. HT-29 Cell Viability Assay
4.9. Data Analysis and Statistical Methods
5. Conclusions
Supplementary Materials
Author Contributions
Funding
Institutional Review Board Statement
Informed Consent Statement
Data Availability Statement
Conflicts of Interest
References
- Sun, H.; Saeedi, P.; Karuranga, S.; Pinkepank, M.; Ogurtsova, K.; Duncan, B.B.; Stein, C.; Basit, A.; Chan, J.C.N.; Mbanya, J.C.; et al. IDF Diabetes Atlas: Global, Regional and Country-Level Diabetes Prevalence Estimates for 2021 and Projections for 2045. Diabetes Res. Clin. Pract. 2022, 183, 109119. [Google Scholar] [CrossRef]
- Oyebode, O.; Kandala, N.-B.; Chilton, P.J.; Lilford, R.J. Use of Traditional Medicine in Middle-Income Countries: A WHO-SAGE Study. Health Policy Plan. 2016, 31, 984–991. [Google Scholar] [CrossRef] [PubMed]
- Malairajan, P.; Gopalakrishnan, G.; Narasimhan, S.; Veni, K.J.K. Evalution of Anti-Ulcer Activity of Polyalthia longifolia (Sonn.) Thwaites in Experimental Animals. Indian. J. Pharmacol. 2008, 40, 126–128. [Google Scholar] [CrossRef]
- Firdous, S.M.; Ahmed, S.N.; Hossain, S.M.; Ganguli, S.; Fayed, M.A.A. Polyalthia longifolia: Phytochemistry, Ethnomedicinal Importance, Nutritive Value, and Pharmacological Activities Review. Med. Chem. Res. 2022, 31, 1252–1264. [Google Scholar] [CrossRef]
- Yao, L.J.; Jalil, J.; Attiq, A.; Hui, C.C.; Zakaria, N.A. The Medicinal Uses, Toxicities and Anti-Inflammatory Activity of Polyalthia Species (Annonaceae). J. Ethnopharmacol. 2019, 229, 303–325. [Google Scholar] [CrossRef] [PubMed]
- Katkar, K.V.; Suthar, A.C.; Chauhan, V.S. The Chemistry, Pharmacologic, and Therapeutic Applications of Polyalthia longifolia. Pharmacogn. Rev. 2010, 4, 62–68. [Google Scholar] [CrossRef]
- Bisht, D.; Prakash, D.; Kumar, R.; Shakya, A.K.; Shrivastava, S. Phytochemical Profiling and Nephroprotective Potential of Ethanolic Leaf Extract of Polyalthia longifolia against Cisplatin-Induced Oxidative Stress in Rat Model. J. Ethnopharmacol. 2024, 326, 117922. [Google Scholar] [CrossRef]
- Sashidhara, K.V.; Singh, S.P.; Srivastava, A.; Puri, A.; Chhonker, Y.S.; Bhatta, R.S.; Shah, P.; Siddiqi, M.I. Discovery of a New Class of HMG-CoA Reductase Inhibitor from Polyalthia longifolia as Potential Lipid Lowering Agent. Eur. J. Med. Chem. 2011, 46, 5206–5211. [Google Scholar] [CrossRef]
- Jothy, S.L.; Yeng, C.; Sasidharan, S. Chromatographic and Spectral Fingerprinting of Polyalthia longifolia, a Source of Phytochemicals. BioResources 2013, 8, 5102–5119. [Google Scholar] [CrossRef]
- Savu, M.; Simo, M.K.; Fopokam, G.X.; Olaru, S.M.; Cioanca, O.; Boyom, F.F.; Stefan, M. New Insights into the Antimicrobial Potential of Polyalthia longifolia—Antibiofilm Activity and Synergistic Effect in Combination with Penicillin against Staphylococcus aureus. Microorganisms 2022, 10, 1943. [Google Scholar] [CrossRef]
- Nair, R.; Shukla, V.; Chanda, S. Assessment of Polyalthia longifolia var. pendula for Hypoglycemic and Antihyperglycemic Activity. J. Clin. Diagn. Res. 2007, 1, 116–121. [Google Scholar]
- Sivashanmugam, A.T.; Chatterjee, T.K. In Vitro and in Vivo Antidiabetic Activity of Polyalthia longifolia (Sonner.) Thw. Leaves. Orient. Pharm. Exp. Med. 2013, 13, 289–300. [Google Scholar] [CrossRef]
- Brindhadevi, K.; Subramanian, S.A.; Kim, P.T.; Wadaan, M.A.; Selvam, D.R.; Kim, S.J. Antimicrobial and Anti-Diabetic Efficiency of Polyalthia longifolia Leaf Extracts and Major Compounds Characterization. Environ. Res. 2024, 246, 118061. [Google Scholar] [CrossRef]
- Khalid, M.; Petroianu, G.; Adem, A. Advanced Glycation End Products and Diabetes Mellitus: Mechanisms and Perspectives. Biomolecules 2022, 12, 542. [Google Scholar] [CrossRef]
- Valle-Sánchez, S.L.; Rodríguez-Ramírez, R.; Ávila-Villa, L.A.; Villa-Lerma, A.G.; Davidov-Pardo, G.; Wall-Medrano, A.; González-Córdova, A.F. Natural Inhibitory Compounds of Advanced Glycation End Products (AGEs) from the Maillard Reaction. In Studies in Natural Products Chemistry; Elsevier: Amsterdam, The Netherlands, 2023; Volume 79, pp. 341–381. ISBN 978-0-443-18961-6. [Google Scholar]
- Zgutka, K.; Tkacz, M.; Tomasiak, P.; Tarnowski, M. A Role for Advanced Glycation End Products in Molecular Ageing. Int. J. Mol. Sci. 2023, 24, 9881. [Google Scholar] [CrossRef] [PubMed]
- Abbas, G.; Al-Harrasi, A.S.; Hussain, H. α-Glucosidase Enzyme Inhibitors from Natural Products. In Discovery and Development of Antidiabetic Agents from Natural Products; Elsevier: Amsterdam, The Netherlands, 2017; pp. 251–269. ISBN 978-0-12-809450-1. [Google Scholar]
- Goutelle, S.; Maurin, M.; Rougier, F.; Barbaut, X.; Bourguignon, L.; Ducher, M.; Maire, P. The Hill Equation: A Review of Its Capabilities in Pharmacological Modelling. Fundam. Clin. Pharmacol. 2008, 22, 633–648. [Google Scholar] [CrossRef] [PubMed]
- Zhang, Y.; Zhang, Z.; Tu, C.; Chen, X.; He, R. Advanced Glycation End Products in Disease Development and Potential Interventions. Antioxidants 2025, 14, 492. [Google Scholar] [CrossRef]
- Islam, K.; Islam, R.; Nguyen, I.; Malik, H.; Pirzadah, H.; Shrestha, B.; Lentz, I.B.; Shekoohi, S.; Kaye, A.D. Diabetes Mellitus and Associated Vascular Disease: Pathogenesis, Complications, and Evolving Treatments. Adv. Ther. 2025, 42, 2659–2678. [Google Scholar] [CrossRef] [PubMed]
- Chen, Y.; Yu, L.; Wang, Y.; Wei, Y.; Xu, Y.; He, T.; He, R. D-Ribose Contributes to the Glycation of Serum Protein. Biochim. Et Biophys. Acta Mol. Basis Dis. 2019, 1865, 2285–2292. [Google Scholar] [CrossRef]
- Sun, W.; Shahrajabian, M.H. Therapeutic Potential of Phenolic Compounds in Medicinal Plants—Natural Health Products for Human Health. Molecules 2023, 28, 1845. [Google Scholar] [CrossRef] [PubMed]
- Clemente-Suárez, V.J.; Martín-Rodríguez, A.; Beltrán-Velasco, A.I.; Rubio-Zarapuz, A.; Martínez-Guardado, I.; Valcárcel-Martín, R.; Tornero-Aguilera, J.F. Functional and Therapeutic Roles of Plant-Derived Antioxidants in Type 2 Diabetes Mellitus: Mechanisms, Challenges, and Considerations for Special Populations. Antioxidants 2025, 14, 725. [Google Scholar] [CrossRef]
- Matić, P.; Sabljić, M.; Jakobek, L. Validation of Spectrophotometric Methods for the Determination of Total Polyphenol and Total Flavonoid Content. J. AOAC Int. 2017, 100, 1795–1803. [Google Scholar] [CrossRef]
- Giardino, I.; Edelstein, D.; Brownlee, M. BCL-2 Expression or Antioxidants Prevent Hyperglycemia-Induced Formation of Intracellular Advanced Glycation Endproducts in Bovine Endothelial Cells. J. Clin. Investig. 1996, 97, 1422–1428. [Google Scholar] [CrossRef] [PubMed]
- Nowotny, K.; Jung, T.; Höhn, A.; Weber, D.; Grune, T. Advanced Glycation End Products and Oxidative Stress in Type 2 Diabetes Mellitus. Biomolecules 2015, 5, 194–222. [Google Scholar] [CrossRef] [PubMed]
- Kalogerakou, T.; Antoniadou, M. The Role of Dietary Antioxidants, Food Supplements and Functional Foods for Energy Enhancement in Healthcare Professionals. Antioxidants 2024, 13, 1508. [Google Scholar] [CrossRef] [PubMed]
- Munteanu, I.G.; Apetrei, C. Analytical Methods Used in Determining Antioxidant Activity: A Review. Int. J. Mol. Sci. 2021, 22, 3380. [Google Scholar] [CrossRef]
- Martínez-Maqueda, D.; Miralles, B.; Recio, I. HT29 Cell Line. In The Impact of Food Bioactives on Health; Verhoeckx, K., Cotter, P., López-Expósito, I., Kleiveland, C., Lea, T., Mackie, A., Requena, T., Swiatecka, D., Wichers, H., Eds.; Springer International Publishing: Cham, Switzerland, 2015; pp. 113–124. ISBN 978-3-319-15791-7. [Google Scholar]
- Froldi, G.; Baronchelli, F.; Marin, E.; Grison, M. Antiglycation Activity and HT-29 Cellular Uptake of Aloe-Emodin, Aloin, and Aloe arborescens Leaf Extracts. Molecules 2019, 24, 2128. [Google Scholar] [CrossRef]
- Adaramol, F.B.; Cooposamy, R.M.; Olajuyigbe, O.O. Antimicrobial Activity, Bioactive Constituents, and Functional Groups in Aqueous Methanol Extract of Polyalthia longifolia (Sonn.) Thwaites Leaves. Pharmacogn. Mag. 2021, 17, 594–604. [Google Scholar]
- Seetharaman, T.R. Flavonoids from the Leaves of Annona squamosa and Polyalthia longifolia. Fitoterapia 1986, 57, 198–199. [Google Scholar]
- Doshi, G.; Chaskar, P.; Une, H.; Zine, S. Solicitation of HPLC and HPTLC Techniques for Determination of Rutin from Polyalthia longifolia Thwaites. Pharmacogn. Res. 2014, 6, 234–239. [Google Scholar] [CrossRef]
- Rai, A.K.; Singh, S.P.; Pandey, A.R.; Ansari, A.; Ahmad, S.; Sashidhara, K.V.; Tamrakar, A.K. Flavonoids from Polyalthia longifolia Prevents Advanced Glycation End Products Formation and Protein Oxidation Aligned with Fructose-Induced Protein Glycation. Nat. Product Res. 2021, 35, 2921–2925. [Google Scholar] [CrossRef]
- Sashidhara, K.V.; Singh, S.P.; Srivastava, A.; Puri, A. Identification of the Antioxidant Principles of Polyalthia longifolia Var. pendula Using TEAC Assay. Nat. Product Res. 2011, 25, 918–926. [Google Scholar] [CrossRef] [PubMed]
- Chang, X.; Yue, R. Therapeutic Potential of Luteolin for Diabetes Mellitus and Its Complications. Chin. J. Integr. Med. 2025, 31, 566–576. [Google Scholar] [CrossRef]
- Ríos, J.-L.; Giner, R.; Marín, M.; Recio, M. A Pharmacological Update of Ellagic Acid. Planta Med. 2018, 84, 1068–1093. [Google Scholar] [CrossRef]
- Naraki, K.; Ghasemzadeh Rahbardar, M.; Ajiboye, B.O.; Hosseinzadeh, H. The Effect of Ellagic Acid on the Metabolic Syndrome: A Review Article. Heliyon 2023, 9, e21844. [Google Scholar] [CrossRef]
- Wen, L.; Wu, D.; Tan, X.; Zhong, M.; Xing, J.; Li, W.; Li, D.; Cao, F. The Role of Catechins in Regulating Diabetes: An Update Review. Nutrients 2022, 14, 4681. [Google Scholar] [CrossRef] [PubMed]
- Colon, M.; Nerin, C. Role of Catechins in the Antioxidant Capacity of an Active Film Containing Green Tea, Green Coffee, and Grapefruit Extracts. J. Agric. Food Chem. 2012, 60, 9842–9849. [Google Scholar] [CrossRef] [PubMed]
- Li, K.; Yao, F.; Xue, Q.; Fan, H.; Yang, L.; Li, X.; Sun, L.; Liu, Y. Inhibitory Effects against α-Glucosidase and α-Amylase of the Flavonoids-Rich Extract from Scutellaria baicalensis Shoots and Interpretation of Structure–Activity Relationship of Its Eight Flavonoids by a Refined Assign-Score Method. Chem. Cent. J. 2018, 12, 82. [Google Scholar] [CrossRef]
- Djeujo, F.M.; Ragazzi, E.; Urettini, M.; Sauro, B.; Cichero, E.; Tonelli, M.; Froldi, G. Magnolol and Luteolin Inhibition of α-Glucosidase Activity: Kinetics and Type of Interaction Detected by In Vitro and In Silico Studies. Pharmaceuticals 2022, 15, 205. [Google Scholar] [CrossRef]
- Ibrahim, R.B.; Usman, L.A.; Oladiji, E.O.; Adebola, A.O.; Akande, M.O. Gas Chromatography-Mass Spectroscopic Profile, In Vitro Antidiabetic and Radical Scavenging Potentials of Polyalthia longifolia Leaf Phenolic Extract. Niger. J. Pure Appl. Sci. 2025, 38, 5132–5142. [Google Scholar] [CrossRef]
- Rahman, M.M.; Islam, M.R.; Shohag, S.; Hossain, M.E.; Rahaman, M.S.; Islam, F.; Ahmed, M.; Mitra, S.; Khandaker, M.U.; Idris, A.M.; et al. The Multifunctional Role of Herbal Products in the Management of Diabetes and Obesity: A Comprehensive Review. Molecules 2022, 27, 1713. [Google Scholar] [CrossRef]
- Bailey, C.J. Metformin: Historical Overview. Diabetologia 2017, 60, 1566–1576. [Google Scholar] [CrossRef] [PubMed]
- Khairuzzaman, M.; Azad, A.K.; Habib, A.; Rahman, A.; Ferdous, J.; Islam, A.; Rahman, T.; Chowdhury, G.T.A. Hypoglycemic and Analgesic Activity of Ethanol Extract of Polyalthia longifolia Leaves on Experimental Mice. PharmacologyOnLine 2018, 3, 229–234. [Google Scholar]
- Ibrahim, A.; Umar, I.A.; Aimola, I.A.; Mohammed, A. Inhibition of Key Enzymes Linked to Diabetes by Annona senegalensis Pers (Annonaceae) Leaf in Vitro. J. Herb. Med. 2019, 16, 100248. [Google Scholar] [CrossRef]
- Agu, K.C.; Eluehike, N.; Ofeimun, R.O.; Abile, D.; Ideho, G.; Ogedengbe, M.O.; Onose, P.O.; Elekofehinti, O.O. Possible Anti-Diabetic Potentials of Annona muricata (Soursop): Inhibition of α-Amylase and α-Glucosidase Activities. Clin. Phytoscience 2019, 5, 21. [Google Scholar] [CrossRef]
- Bhatia, A.; Singh, B.; Arora, R.; Arora, S. In Vitro Evaluation of the α-Glucosidase Inhibitory Potential of Methanolic Extracts of Traditionally Used Antidiabetic Plants. BMC Complement. Altern. Med. 2019, 19, 74. [Google Scholar] [CrossRef]
- Jothy, S.L.; Aziz, A.; Chen, Y.; Sasidharan, S. Antioxidant Activity and Hepatoprotective Potential of Polyalthia longifolia and Cassia spectabilis Leaves against Paracetamol-Induced Liver Injury. Evid.-Based Complement. Altern. Med. 2012, 2012, 561284. [Google Scholar] [CrossRef] [PubMed]
- Yang, L.; Wen, K.-S.; Ruan, X.; Zhao, Y.-X.; Wei, F.; Wang, Q. Response of Plant Secondary Metabolites to Environmental Factors. Molecules 2018, 23, 762. [Google Scholar] [CrossRef] [PubMed]
- Chang, F.-R.; Hwang, T.-L.; Yang, Y.-L.; Li, C.-E.; Wu, C.-C.; Issa, H.; Hsieh, W.-B.; Wu, Y.-C. Anti-Inflammatory and Cytotoxic Diterpenes from Formosan Polyalthia longifolia var. pendula. Planta Med. 2006, 72, 1344–1347. [Google Scholar] [CrossRef]
- Chen, C.-Y.; Chang, F.-R.; Shih, Y.-C.; Hsieh, T.-J.; Chia, Y.-C.; Tseng, H.-Y.; Chen, H.-C.; Chen, S.-J.; Hsu, M.-C.; Wu, Y.-C. Cytotoxic Constituents of Polyalthia longifolia var. pendula. J. Nat. Prod. 2000, 63, 1475–1478. [Google Scholar] [CrossRef]
- Saleem, R.; Ahmed, M.; Ahmed, S.I.; Azeem, M.; Khan, R.A.; Rasool, N.; Saleem, H.; Noor, F.; Faizi, S. Hypotensive Activity and Toxicology of Constituents from Root Bark of Polyalthia longifolia var. pendula. Phytother. Res. 2005, 19, 881–884. [Google Scholar] [CrossRef] [PubMed]
- Lee, T.-H.; Wang, M.-J.; Chen, P.-Y.; Wu, T.-Y.; Wen, W.-C.; Tsai, F.-Y.; Lee, C.-K. Constituents of Polyalthia longifolia var. pendula. J. Nat. Prod. 2009, 72, 1960–1963. [Google Scholar] [CrossRef]
- Sampath, M.; Vasanthi, M. Isolation, Structural Elucidation of Flavonoids from Polyalthia longifolia (Sonn.) Thawaites and Evaluation of Antibacterial, Antioxidant and Anticancer Potential. Int. J. Pharm. Pharm. Sci. 2013, 5, 336–341. [Google Scholar]
- Sampath, M. Isolation and Identification of Gallic Acid from Polyalthia longifolia (Sonn.) Thawaites. Int. J. Pharma Bio Sci. 2013, 4, 966–972. [Google Scholar]
- Dattatray, T.V.; Baburao, S.P.; Shivaji, C.S. Comprehensive Review on Polyalthia longifolia. J. Tradit. Med. Res. 2021, 6, 19. [Google Scholar]
- Laddha, A.P.; Kulkarni, Y.A. Pharmacokinetics, Pharmacodynamics, Toxicity, and Formulations of Daidzein: An Important Isoflavone. Phytother. Res. 2023, 37, 2578–2604. [Google Scholar] [CrossRef] [PubMed]
- De Araújo, F.F.; De Paulo Farias, D.; Neri-Numa, I.A.; Pastore, G.M. Polyphenols and Their Applications: An Approach in Food Chemistry and Innovation Potential. Food Chem. 2021, 338, 127535. [Google Scholar] [CrossRef]
- Ghasemzadeh, A.; Ghasemzadeh, N. Ali Ghasemzadeh Flavonoids and Phenolic Acids: Role and Biochemical Activity in Plants and Human. J. Med. Plants Res. 2011, 5, 6697–6703. [Google Scholar] [CrossRef]
- Wei, Y.; Chen, L.; Chen, J.; Ge, L.; He, R.Q. Rapid Glycation with D-Ribose Induces Globular Amyloid-like Aggregations of BSA with High Cytotoxicity to SH-SY5Y Cells. BMC Cell Biol. 2009, 10, 10. [Google Scholar] [CrossRef]
- Djeujo, F.M.; Francesconi, V.; Gonella, M.; Ragazzi, E.; Tonelli, M.; Froldi, G. Anti-α-Glucosidase and Antiglycation Activities of α-Mangostin and New Xanthenone Derivatives: Enzymatic Kinetics and Mechanistic Insights through In Vitro Studies. Molecules 2022, 27, 547. [Google Scholar] [CrossRef] [PubMed]
- Ainsworth, E.A.; Gillespie, K.M. Estimation of Total Phenolic Content and Other Oxidation Substrates in Plant Tissues Using Folin–Ciocalteu Reagent. Nat. Protoc. 2007, 2, 875–877. [Google Scholar] [CrossRef] [PubMed]
- Huang, D.; Ou, B.; Prior, R.L. The Chemistry behind Antioxidant Capacity Assays. J. Agric. Food Chem. 2005, 53, 1841–1856. [Google Scholar] [CrossRef] [PubMed]
- Ou, B.; Hampsch-Woodill, M.; Prior, R.L. Development and Validation of an Improved Oxygen Radical Absorbance Capacity Assay Using Fluorescein as the Fluorescent Probe. J. Agric. Food Chem. 2001, 49, 4619–4626. [Google Scholar] [CrossRef] [PubMed]
- Van Meerloo, J.; Kaspers, G.J.L.; Cloos, J. Cell Sensitivity Assays: The MTT Assay. In Cancer Cell Culture; Cree, I.A., Ed.; Methods in Molecular Biology; Humana Press: Totowa, NJ, USA, 2011; Volume 731, pp. 237–245. ISBN 978-1-61779-079-9. [Google Scholar]
- Chen, Z.; Bertin, R.; Froldi, G. EC50 Estimation of Antioxidant Activity in DPPH Assay Using Several Statistical Programs. Food Chem. 2013, 138, 414–420. [Google Scholar] [CrossRef]
- Morais, P.C.; Silva, D.C. Mathematical Modeling for an MTT Assay in Fluorine-Containing Graphene Quantum Dots. Nanomaterials 2022, 12, 413. [Google Scholar] [CrossRef]








| P. longifolia Extract | α-Glucosidase Inhibition IC50 µg/mL (95% CI) | α-Glucosidase Inhibition nH | Primary Effect |
|---|---|---|---|
| PLLW | 36.87 (34.72–39.52) | 2.44 | Weak inhibition |
| PLLE | 10.44 (9.66–11.32) | 3.02 | Potent inhibition |
| PLLM | 7.31 (6.61–8.21) | 2.65 | Most potent inhibition |
| PLSW | -- | -- | No inhibition |
| PLSE | ≥100 | -- | Very weak inhibition |
| PLSM | ≥100 | -- | Very weak inhibition |
| PLLW | PLLE | PLLM | PLSW | PLSE | PLSM | |
|---|---|---|---|---|---|---|
| TPC GAE mg/g | 8.57 ± 0.30 | 38.24 ± 1.88 **** | 54.74 ± 1.90 **** | 10.98 ± 0.79 | 36.65 ± 1.57 **** | 43.76 ± 2.01 **** |
| TFC QE mg/g | 0.32 ± 0.03 | 6.21 ± 0.51 **** | 6.13 ± 0.94 **** | 0.26 ± 0.03 | 1.06 ± 0.06 | 2.81 ± 0.16 ** |
| TFC/TPC (%) | 3.73 | 16.24 | 11.20 | 2.37 | 2.89 | 6.42 |
| TEAC µmol TE /g | 228 ± 22 | 1242 ± 70 *** | 1558 ± 144 **** | 739 ± 121 | 2130 ± 235 **** | 2207 ± 256 **** |
| TEAC/TPC µmol TE/mg GAE | 26.60 | 32.48 | 28.46 | 67.30 | 58.12 | 50.43 |
| Plant-Derived Extracts | IC50 (95% CI) µg/mL | MEC µg/mL | nH |
|---|---|---|---|
| PLLW | ND | ND | ND |
| PLLE | 33.24 (25.31–44.08) | 50 | −1.36 |
| PLLM | 24.12 (18.32–32.19) | 25 | −1.11 |
| PLSW | ND | ND | ND |
| PLSE | 56.71 (43.32–76.33) | 50 | −1.15 |
| PLSM | 72.46 (51.66–108.20) | 25 | −0.76 |
| Compound | Class | Rt (min) | UV-Vis λmax (nm) | PLLW | PLLE | PLLM | PLSW | PLSE | PLSM |
|---|---|---|---|---|---|---|---|---|---|
| Gallic ac. | Phenolic ac. | 2.537 | 270 | -- | -- | + | -- | -- | -- |
| Chlorogenic ac. | Phenolic ac. | 5.509 | 322 | -- | -- | -- | -- | -- | -- |
| (+)-Catechin | Flavan-3-ol | 6.573 | 280 | -- | + | + | -- | + | + |
| Epicatechin | Flavan-3-ol | 7.019 | 278 | -- | + | + | -- | + | + |
| Caffeic ac. | Hydroxycinnamic ac. | 7.796 | 325 | + | + | -- | + | -- | -- |
| Ellagic ac. | Phenolic ac. | 7.891 | 256 | + | +++ | ++ | -- | + | + |
| Rosmarinic ac. | Phenolic ac. | 9.521 | 330 | -- | ++ | -- | -- | ++ | -- |
| Luteolin | Flavonoid | 9.813 | 348 | -- | + | + | -- | -- | -- |
| Quercetin | Flavonoid | 9.981 | 257; 376 | -- | -- | -- | -- | -- | -- |
| Kaempferol | Flavonoid | 10.753 | 265; 364 | -- | -- | -- | -- | + | + |
| Baicalein | Flavonoid | 10.918 | 277 | + | + | + | + | + | + |
Disclaimer/Publisher’s Note: The statements, opinions and data contained in all publications are solely those of the individual author(s) and contributor(s) and not of MDPI and/or the editor(s). MDPI and/or the editor(s) disclaim responsibility for any injury to people or property resulting from any ideas, methods, instructions or products referred to in the content. |
© 2025 by the authors. Licensee MDPI, Basel, Switzerland. This article is an open access article distributed under the terms and conditions of the Creative Commons Attribution (CC BY) license (https://creativecommons.org/licenses/by/4.0/).
Share and Cite
Froldi, G.; Simo, M.K.; Tomasi, L.; Tadiotto, G.; Djeujo, F.M.; Fopokam, X.G.; Souana, E.; Sameza, M.L.; Jazet, P.M.; Fekam Boyom, F. Exploring the Antidiabetic Properties of Polyalthia longifolia Leaf and Stem Extracts: In Vitro α-Glucosidase and Glycation Inhibition. Molecules 2025, 30, 4264. https://doi.org/10.3390/molecules30214264
Froldi G, Simo MK, Tomasi L, Tadiotto G, Djeujo FM, Fopokam XG, Souana E, Sameza ML, Jazet PM, Fekam Boyom F. Exploring the Antidiabetic Properties of Polyalthia longifolia Leaf and Stem Extracts: In Vitro α-Glucosidase and Glycation Inhibition. Molecules. 2025; 30(21):4264. https://doi.org/10.3390/molecules30214264
Chicago/Turabian StyleFroldi, Guglielmina, Marguerite Kamdem Simo, Laura Tomasi, Giulia Tadiotto, Francine Medjiofack Djeujo, Xavier Gabriel Fopokam, Emmanuel Souana, Modeste Lambert Sameza, Pierre Michel Jazet, and Fabrice Fekam Boyom. 2025. "Exploring the Antidiabetic Properties of Polyalthia longifolia Leaf and Stem Extracts: In Vitro α-Glucosidase and Glycation Inhibition" Molecules 30, no. 21: 4264. https://doi.org/10.3390/molecules30214264
APA StyleFroldi, G., Simo, M. K., Tomasi, L., Tadiotto, G., Djeujo, F. M., Fopokam, X. G., Souana, E., Sameza, M. L., Jazet, P. M., & Fekam Boyom, F. (2025). Exploring the Antidiabetic Properties of Polyalthia longifolia Leaf and Stem Extracts: In Vitro α-Glucosidase and Glycation Inhibition. Molecules, 30(21), 4264. https://doi.org/10.3390/molecules30214264

