Tailoring Polymer Properties Through Lignin Addition: A Recent Perspective on Lignin-Derived Polymer Modifications
Abstract
1. Introduction
2. Lignin as a Precursor in Polyurethanes (PUs)
2.1. Unmodified Lignin-Based Polyurethanes
2.2. Chemically Modified Lignin-Based Polyurethanes
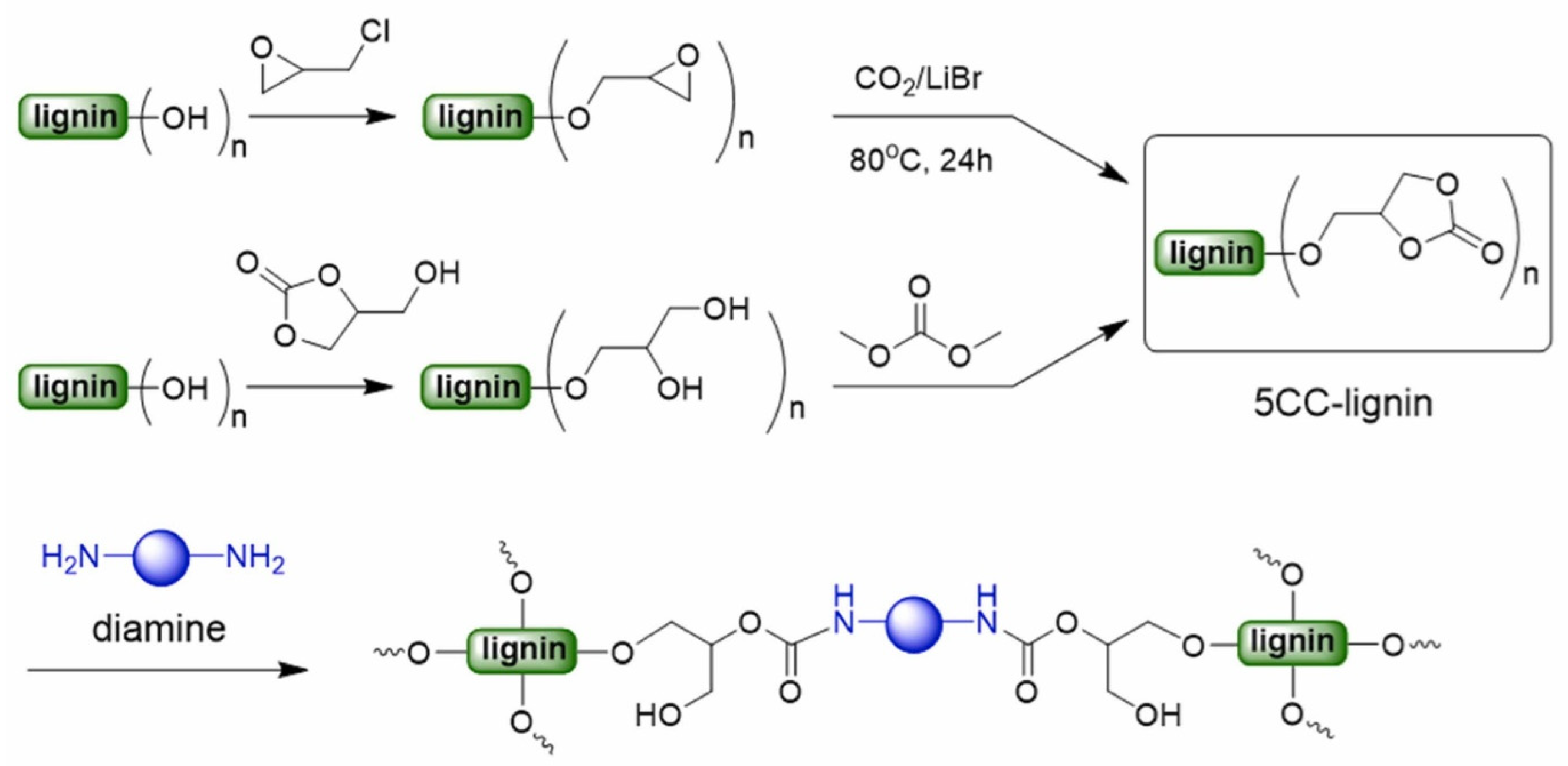
2.3. Non-Isocyanate Polyurethanes (NIPUs)
2.4. Waterborne Polyurethanes (WPUs)
3. Lignin as a Precursor in Thermosets and Crosslinked Polymer Networks
3.1. Epoxy Resins
3.2. Phenol-Formaldehyde Resins
4. Polylactic Acid (PLA) Composites
5. Other Strategies for Lignin Incorporation into Materials
5.1. Polymers with Covalently Attached Lignin
5.2. Lignin as Filler or Compatibilizer in Blends and Composites
6. Conclusions
- Versatility and challenges of lignin integration:Lignin’s structural heterogeneity, particularly its wide molecular weight distribution and variable functional composition, continues to hinder reproducibility and scalability in polymer applications. Moreover, inconsistencies in lignin quality across extraction methods (e.g., kraft, organosolv, soda, hydrolysis) introduce variability in downstream performance, limiting industrial uptake.
- Impact of lignin form and modification strategy:The chemical form of lignin (raw vs. modified) significantly influences its reactivity and compatibility with polymer matrices. Reactive modifications such as phenolation, oxyalkylation, and glycidylation have proven effective in enhancing functional group availability and reducing heterogeneity for improved performance in epoxy and polyurethane systems.
- Chemical vs. physical integration challenges:There is a lack of clear distinction between covalent bonding and physical blending in many studies, with insufficient analytical validation of the proposed integration mechanisms. This ambiguity complicates efforts to develop reliable structure–property relationships and challenges the classification of lignin-based systems as true copolymers, hybrid networks, or filled composites. Future studies should prioritize quantitative methods, such as 2D NMR, MALDI-TOF, FTIR, kinetic analysis, and chromatographic fractionation, to identify and distinguish covalent grafting from surface interactions or entanglement. In the context of PLA composites, this distinction is especially relevant, given that both esterification and filler-type approaches are widely reported but not always experimentally validated.
- Importance of life-cycle assessments (LCAs) and techno-economic analyses (TEAs) implementation:Beyond performance improvements, comprehensive life-cycle assessment (LCA) and techno-economic analysis (TEA) are essential for the real-world adoption of lignin-based materials [160,161]. TEA can help to optimize the production costs by evaluating the feasibility and scalability of lignin valorization routes including feedstock sourcing, process energy input, and purification requirements. Concurrently, LCA provides a quantitative evaluation of environmental impacts, including greenhouse gas emissions, water use, and toxicity. Incorporating TEA and LCA early in the development process will support scalable and sustainable innovations, ultimately accelerating the transition of lignin composites from laboratory research to commercial applications. However, few studies have systematically compared modified lignin-based products with conventional petrochemical analogs using these frameworks. Life-cycle assessments and techno-economic analyses are critical yet underused tools that can guide realistic implementation of lignin-based polymers. These tools support environmentally and economically sound material design and should be integrated into future development workflows.
- Sustainability and scalability considerations:The use of greener solvents and catalysts during lignin modification, the recovery and reuse of unreacted lignin fractions, and the minimization of purification steps are all areas where process intensification can dramatically improve material sustainability profiles. Scalable modification strategies, particularly those avoiding halogenation, heavy metal catalysis, or multistep derivatization, will be key to industrial uptake.
- Emerging functional applications:Beyond conventional thermosets and elastomers, lignin offers unique opportunities for next-generation applications. Its intrinsic UV-absorbing, flame-retardant, and antioxidant properties make it attractive for biomedical, packaging, and aerospace uses. The development of dynamic, reprocessable, and self-healing networks incorporating lignin, such as Diels–Alder-crosslinked PUs or vitrimeric lignin epoxies, represents a promising direction for coupling recyclability with mechanical robustness. Similarly, the intersection of lignin with nanotechnology, such as lignin-based nanoparticles or nanofibers, offers a route to high-performance hybrid materials with hierarchical structures and multifunctionality.
- Computational tools and high-throughput methods:Computational modeling and machine learning approaches remain largely untapped in the lignin polymer space. These tools can assist in decoding complex relationships between lignin structure and polymer performance, optimize blend formulations, and predict processing behavior under varied conditions. Coupled with automated synthesis and high-throughput screening, such strategies can accelerate the design of lignin-based materials tailored for target applications.
Author Contributions
Funding
Institutional Review Board Statement
Informed Consent Statement
Data Availability Statement
Conflicts of Interest
Abbreviations
| PUs | Polyurethanes |
| PLA | Polylactic acid |
| UV | Ultraviolet |
| HDIT | Hexamethylene diisocyanate trimer |
| PDMS | Polydimethylsiloxane |
| wt.% | Weight percentage |
| HIT | Hardness |
| EIT | Elastic modulus |
| PUFs | Polyurethane foams |
| PC | Propylene carbonate |
| MDI | Diphenylmethane-4,4′-diisocyanate |
| TGA | Thermogravimetric analysis |
| CUB | Catalytic upstream biorefining |
| RPFs | Rigid polyurethane foams |
| SEM | Scanning electron microscopy |
| DA | Diels–Alder |
| PCL | Polycaprolactone |
| Tg | Glass transition temperature |
| E′ | Storage modulus |
| TDI | Toluene diisocyanate |
| HL | Hydrolysis lignin |
| PhL | Phenolated lignin |
| pMDI | Poly[(phenyl isocyanate)-co-formaldehyde] |
| LP | Lignin-based polyols |
| PEG | Polyethylene glycol |
| PDA | Polydopamine |
| PA | Phytic acid |
| NIPUs | Non-isocyanate polyurethanes |
| CCs | Cyclic carbonates |
| 5CCs | Five-membered cyclic carbonates |
| CO2 | Carbon dioxide |
| RCF | Reductive catalytic fractionation |
| DETA | Diethylenetriamine |
| EDA | Ethylenediamine |
| FT-IR | Fourier Transform Infrared spectroscopy |
| GPC | Gel permeation chromatography |
| 6CCs | Six-membered cyclic carbonates |
| EEHL | Epoxidized enzymatic hydrolysis lignin |
| LNIPU | Lignin/non-isocyanate polyurethanes |
| WPU | Waterborne polyurethane |
| APTES | 3-aminopropyltriethoxy silane |
| LNPs | Lignin nanoparticles |
| E. coli | Escherichia coli |
| i/h ratio | The ratio of isocyanate to hydroxy functionalities |
| IPDI | Isophorone diisocyanate |
| DGEBA | Diglycidyl ether of bisphenol A |
| BPA | Bisphenol A |
| CA | Citric acid |
| ESO | Epoxidized soybean oil |
| GL | Glycidylated lignin |
| T5% | Degradation temperatures (5% weight loss) |
| EL | Enzymatic lignin |
| ECH | Epichlorohydrin |
| LER | Lignin epoxy resin |
| BADGE | Bisphenol A diglycidyl ether |
| LPAA | Lignin-based phenolic amine |
| KL | Kraft lignin |
| NLH | Nano-lignin |
| GKL | Glycidylated kraft lignin |
| BMKL | Ball-milled kraft lignin |
| 3D | Three dimensional |
| PHMS | Polyhydromethylsiloxane |
| PF | Phenol-formaldehyde |
| LPF | Lignin-based phenol-formaldehyde |
| DES | Deep eutectic solvent |
| PFC | Phenolic resin carbon |
| PHP | Phosphoric acid and hydrogen peroxide |
| AL | Alkali lignin |
| p/a ratio | The ratio of phenol to aldehyde |
| LMA | Lauryl methacrylate |
| CROP | Cationic ring-opening polymerization |
| EL | Ethyl acetate-extracted lignin |
| THF | Tetrahydrofuran |
| GLY | Glycidol |
| BF3 | Boron trifluoride |
| Tmax | Maximum weight loss temperatures |
| W/O | Water-in-oil |
| PLLA | Poly (L-lactic acid) |
| DCM | Dichloromethane |
| EGDE | Ethylene glycol diglycidyl ether |
| PEGDE | Poly (ethylene glycol) diglycidyl ether |
| ENR | Epoxidized natural rubber |
| EHA | 2-ethylhexyl acrylate |
| ROP | Ring-opening polymerization |
| TPU | Thermoplastic polyurethane |
| ALK | Modified alkali lignin |
| PBAT | Poly (butylene adipate-co-terephthalate) |
| Ta | Tannic acid |
| PVA | Poly (vinyl alcohol) |
| CEL | Cyanoethylated lignin |
| CNWs | Cellulose nano-whiskers |
| AgNP | Silver nanoparticle |
| LS | Lignin sulfonate |
| TDES | Ternary deep eutectic solvent |
| LCNF | Lignin-containing cellulose nanofibrils |
| TPS | Thermoplastic starch |
| w/v | Weight per volume |
| DPPH | 2,2-diphenyl-1-picrylhydrozyl |
| C. albicans | Candida albicans |
| CNF | Cellulose nanofibril |
| aL | Aminated lignin |
| Fe(NO3)3 | Ferric nitrate |
| CL | Lignin-containing cellulose |
| AlCl3 | Aluminum chloride |
| ZnCl2 | Zinc chloride |
| HNTs | Halloysite nanotubes |
| CUR | Curcumin |
| PCL | Poly(caprolactone) |
| SSE | Semi-solid extrusion |
| DPA | D-panthenol |
| EHL | Enzymatic hydrolysis lignin |
| MCE | Mixed cellulose ester |
| CNC | Nanocellulose crystals |
| TiO2 | Titanium dioxide |
| H2O2 | Hydrogen peroxide |
| PTIO | 2-phenyl-4,4,5,5-tetramethylimidazoline-3-oxide-1-oxyl |
| K2CO3 | Potassium carbonate |
| DLF | Lignin–furfural adhesive |
| IBOMA | Isobornyl methacrylate |
| ARGET ATRP | Activators regenerated by electron transfer for atom transfer radical polymerization |
| RAFT | Reversible addition-fragmentation chain transfer polymerization |
| BA | n-butyl acrylate |
| AA | Acrylic acid |
| SA | Sodium alginate |
| TCP | Tricalcium phosphate |
| PLGA | Poly(L-lactide-ε-caprolactone) |
| DSR | Dynamic shear rheology |
| CAI | Complex modulus aging index |
| MM | Mechanical Mixer |
| HSM | High-Shear Mixer |
| 6PPD | N-(1,3-dimethylbutyl)-N′-phenyl-p-phenylenediamine |
| DETA | Diethylenetriamine |
| PArIMAs | Aromatic polymethacrylates |
| TENGs | Triboelectric nanogenerators |
| NR | Natural rubber |
| SSBR | Solution-grade styrene-butadiene rubber |
| SCA | Silane coupling agent |
| RI | Reinforcement index |
| DL | Diethylamine-grafted lignin |
| CB | Carbon black |
| DMA | Dynamic mechanical analysis |
| XNBR | Carboxylated nitrile rubber |
| MDOE | Mixture design of experiments |
| NA | Not available |
References
- Rath, S.; Pradhan, D.; Du, H.; Mohapatra, S.; Thatoi, H. Transforming lignin into value-added products: Perspectives on lignin chemistry, lignin-based biocomposites, and pathways for augmenting ligninolytic enzyme production. Adv. Compos. Hybrid Mater. 2024, 7, 27. [Google Scholar] [CrossRef]
- Li, H.; Liang, Y.; Li, P.; He, C. Conversion of biomass lignin to high-value polyurethane: A review. J. Bioresour. Bioprod. 2020, 5, 163–179. [Google Scholar] [CrossRef]
- Shafiq, A.; Ahmad Bhatti, I.; Amjed, N.; Zeshan, M.; Zaheer, A.; Kamal, A.; Naz, S.; Rasheed, T. Lignin derived polyurethanes: Current advances and future prospects in synthesis and applications. Eur. Polym. J. 2024, 209, 112899. [Google Scholar] [CrossRef]
- Hasan, M.S.; Sardar, M.R.I.; Shafin, A.A.; Rahman, M.S.; Mahmud, M.; Hossen, M.M. A Brief Review on Applications of Lignin. J. Chem. Rev. 2023, 5, 56–82. [Google Scholar] [CrossRef]
- Karunarathna, M.S.; Smith, R.C. Valorization of Lignin as a Sustainable Component of Structural Materials and Composites: Advances from 2011 to 2019. Sustainability 2020, 12, 734. [Google Scholar] [CrossRef]
- Fabbri, F.; Bischof, S.; Mayr, S.; Gritsch, S.; Jimenez Bartolome, M.; Schwaiger, N.; Guebitz, G.M.; Weiss, R. The Biomodified Lignin Platform: A Review. Polymers 2023, 15, 1694. [Google Scholar] [CrossRef]
- Vasile, C.; Baican, M. Lignins as Promising Renewable Biopolymers and Bioactive Compounds for High-Performance Materials. Polymers 2023, 15, 3177. [Google Scholar] [CrossRef]
- Sauceda-Oloño, P.Y.; Kapuge Dona, N.L.; Smith, R.C. The quest for environmentally benign plastics: Advances in greener and more sustainable flame retardant formulations. Green Chem. Lett. Rev. 2024, 17, 2402403. [Google Scholar] [CrossRef]
- Sugiarto, S.; Leow, Y.; Tan, C.L.; Wang, G.; Kai, D. How far is Lignin from being a biomedical material? Bioact. Mater. 2022, 8, 71–94. [Google Scholar] [CrossRef]
- Abdullah, T.; İlyasoğlu, G.; Memić, A. Designing Lignin-Based Biomaterials as Carriers of Bioactive Molecules. Pharmaceutics 2023, 15, 1114. [Google Scholar] [CrossRef]
- Afewerki, S.; Edlund, U. Combined Catalysis: A Powerful Strategy for Engineering Multifunctional Sustainable Lignin-Based Materials. ACS Nano 2023, 17, 7093–7108. [Google Scholar] [CrossRef] [PubMed]
- Karagoz, P.; Khiawjan, S.; Marques, M.P.C.; Santzouk, S.; Bugg, T.D.H.; Lye, G.J. Pharmaceutical applications of lignin-derived chemicals and lignin-based materials: Linking lignin source and processing with clinical indication. Biomass Convers. Biorefin. 2023, 14, 26553–26574. [Google Scholar] [CrossRef] [PubMed]
- Lv, S.; Liang, S.; Zuo, J.; Zhang, S.; Wang, J.; Wei, D. Lignin-based anti-UV functional materials: Recent advances in preparation and application. Iran. Polym. J. 2023, 32, 1477–1497. [Google Scholar] [CrossRef]
- Mukheja, Y.; Kaur, J.; Pathania, K.; Sah, S.P.; Salunke, D.B.; Sangamwar, A.T.; Pawar, S.V. Recent advances in pharmaceutical and biotechnological applications of lignin-based materials. Int. J. Biol. Macromol. 2023, 241, 124601. [Google Scholar] [CrossRef]
- Mukherjee, S.; Mukhopadhyay, S. Recent progress in sulfur-containing technical lignin-based polymer composites. Express Polym. Lett. 2023, 17, 120–151. [Google Scholar] [CrossRef]
- Taher, M.A.; Wang, X.; Faridul Hasan, K.M.; Miah, M.R.; Zhu, J.; Chen, J. Lignin Modification for Enhanced Performance of Polymer Composites. ACS Appl. Bio Mater. 2023, 6, 5169–5192. [Google Scholar] [CrossRef]
- Kaushal, N.; Singh, A.K. Advancement in utilization of bio-based materials including cellulose, lignin, chitosan for bio-inspired surface coatings with special wetting behavior: A review on fabrication and applications. Int. J. Biol. Macromol. 2023, 246, 125709. [Google Scholar] [CrossRef]
- Abraham, B.; Syamnath, V.L.; Arun, K.B.; Fathima Zahra, P.M.; Anjusha, P.; Kothakotta, A.; Chen, Y.-H.; Ponnusamy, V.K.; Nisha, P. Lignin-based nanomaterials for food and pharmaceutical applications: Recent trends and future outlook. Sci. Total Environ. 2023, 881, 163316. [Google Scholar] [CrossRef]
- Khadem, E.; Ghafarzadeh, M.; Kharaziha, M.; Sun, F.; Zhang, X. Lignin derivatives-based hydrogels for biomedical applications. Int. J. Biol. Macromol. 2024, 261, 129877. [Google Scholar] [CrossRef]
- Zheng, Y.; Moreno, A.; Zhang, Y.; Sipponen, M.H.; Dai, L. Harnessing chemical functionality of lignin towards stimuli-responsive materials. Trends Chem. 2024, 6, 62–78. [Google Scholar] [CrossRef]
- Mo, J.; Wang, H.; Yan, M.; Huang, J.; Li, R.; Sun, D.; Lei, J.; Qiu, X.; Liu, W. Construction of interfacial dynamic bonds for high performance lignin/polymer biocomposites. Front. Chem. Sci. Eng. 2023, 17, 1372–1388. [Google Scholar] [CrossRef]
- Zubair, M.; Rauf, Z.; Fatima, S.; Ullah, A. Lignin-derived bionanocomposites as functional food packaging materials. Sustain. Food Technol. 2024, 2, 945–966. [Google Scholar] [CrossRef]
- Fadlallah, S.; Sinha Roy, P.; Garnier, G.; Saito, K.; Allais, F. Are lignin-derived monomers and polymers truly sustainable? An in-depth green metrics calculations approach. Green Chem. 2021, 23, 1495–1535. [Google Scholar] [CrossRef]
- Staccioli, L.; Rodrigues dos Santos, A.M.; Gallego, J.; Kalliola, A.; Fearon, O.; Ortiz, P.; Pitacco, W.; Carvalho, A. A life cycle assessment model to evaluate the environmental sustainability of lignin-based polyols. Sustain. Prod. Consum. 2024, 52, 624–639. [Google Scholar] [CrossRef]
- Jiang, L.; Wang, C.-G.; Chee, P.L.; Qu, C.; Fok, A.Z.; Yong, F.H.; Ong, Z.L.; Kai, D. Strategies for lignin depolymerization and reconstruction towards functional polymers. Sustain. Energy Fuels 2023, 7, 2953–2973. [Google Scholar] [CrossRef]
- Libretti, C.; Santos Correa, L.; Meier, M.A.R. From waste to resource: Advancements in sustainable lignin modification. Green Chem. 2024, 26, 4358–4386. [Google Scholar] [CrossRef]
- Wörner, M.; Werner, L.; Hornung, U.; Islongo Canabarro, N.; Baudouin, D.; Dahmen, N. The Impact of Sulfur-Containing Inorganic Compounds during the Depolymerization of Lignin by Hydrothermal Liquefaction of Black Liquor. Energy Fuels 2024, 38, 6036–6047. [Google Scholar] [CrossRef]
- Li, X.; Meng, Y.; Cheng, Z.; Li, B. Research Progress and Prospect of Stimuli-Responsive Lignin Functional Materials. Polymers 2023, 15, 3372. [Google Scholar] [CrossRef]
- Mondal, S.; Jatrana, A.; Maan, S.; Sharma, P. Lignin modification and valorization in medicine, cosmetics, environmental remediation and agriculture: A review. Environ. Chem. Lett. 2023, 21, 2171–2197. [Google Scholar] [CrossRef]
- Diaz-Baca, J.A.; Fatehi, P. Production and characterization of starch-lignin based materials: A review. Biotechnol. Adv. 2024, 70, 108281. [Google Scholar] [CrossRef]
- Miller, E.; Wolff, M.; Tindall, G.; Bethel, K.; Lynn, B.; Keppler, K.; Thies, M.C.; Davis, E.M. Fabrication and Characterization of Lignin-Based, Thermoresponsive Soft Composites Containing Fractionated and Cleaned Lignin. ACS Appl. Polym. Mater. 2023, 5, 342–354. [Google Scholar] [CrossRef]
- Cen, Q.; Chen, S.; Yang, D.; Zheng, D.; Qiu, X. Full Bio-Based Aerogel Incorporating Lignin for Excellent Flame Retardancy, Mechanical Resistance, and Thermal Insulation. ACS Sustain. Chem. Eng. 2023, 11, 4473–4484. [Google Scholar] [CrossRef]
- Hany, L.J.S.; Rahman, M.M.; Popy, R.S.; Ferdous, T.; Sarker, A.K.; Jahan, M.S. High strength hydrogel using phenolated lignin. Eur. J. Wood Wood Prod. 2024, 82, 1357–1367. [Google Scholar] [CrossRef]
- Hachimi Alaoui, C.; Réthoré, G.; Weiss, P.; Fatimi, A. Sustainable Biomass Lignin-Based Hydrogels: A Review on Properties, Formulation, and Biomedical Applications. Int. J. Mol. Sci. 2023, 24, 13493. [Google Scholar] [CrossRef]
- Luo, C.; He, Z.; Hu, X.; Zhang, Q.; Liang, Y.; Tang, H.; Wang, W.; Xue, D. Preparation of superabsorbent lignin-based composite inhibitor and research on its prevention and control characteristics of coal spontaneous combustion. Combust. Sci. Technol. 2024, 196, 608–628. [Google Scholar] [CrossRef]
- Wang, Q.; Gao, J.; Liu, S.; Wang, Y.; Wu, L. Lignin nanoparticle reinforced multifunctional polyvinyl alcohol/polyurethane composite hydrogel with excellent mechanical, UV-blocking, rheological and thermal properties. Int. J. Biol. Macromol. 2023, 232, 123338. [Google Scholar] [CrossRef]
- Li, S.; Luo, X.; Xiao, H.; Li, D.; Chen, Y. Nitrogen and Sulfur Codoped Hierarchical Porous Carbon Derived from Lignin for High-Performance Zinc Ion Capacitors. ACS Appl. Energy Mater. 2023, 6, 6700–6711. [Google Scholar] [CrossRef]
- Liu, F.; Feng, P.; Yuan, M.; Zhai, G.; Innocent, M.T.; Xiang, H.; Wu, Q.; Lu, Y.; Zhu, M. Continuous Preparation of a Flexible Carbon Nanotube Film from Lignin as a Sulfur Host Material for Lithium–Sulfur Batteries. ACS Sustain. Chem. Eng. 2023, 11, 16544–16553. [Google Scholar] [CrossRef]
- Tian, Y.; Yang, Z.; Wang, H.; Xiong, W.; Lin, X.; Wang, S.; Kong, F.; Li, P.; Xi, Y.; Zhang, F.; et al. Nitrogen-doped 3D carbon hybrids based on modified lignin as sulfur host for high-performance lithium-sulfur batteries. J. Power Sources 2024, 621, 235322. [Google Scholar] [CrossRef]
- dos Reis, G.S.; Petnikota, S.; de Oliveira, H.P.; de Brum, I.A.S.; Thyrel, M.; Dotto, G.L.; Lima, E.C.; Naushad, M.; Hu, T.; Lassi, U.; et al. Statistics design for the synthesis optimization of lignin-sulfonate sulfur-doped mesoporous carbon materials: Promising candidates as adsorbents and supercapacitors materials. Sci. Rep. 2024, 14, 23354. [Google Scholar] [CrossRef]
- Du, B.; Shi, X.; Zhu, H.; Xu, J.; Bai, Y.; Wang, Q.; Wang, X.; Zhou, J. Preparation and characterization of bifunctional wolfsbane-like magnetic Fe3O4 nanoparticles-decorated lignin-based carbon nanofibers composites for electromagnetic wave absorption and electrochemical energy storage. Int. J. Biol. Macromol. 2023, 246, 125574. [Google Scholar] [CrossRef] [PubMed]
- Jin, X.; Li, X.; Liu, X.; Du, L.; Su, L.; Ma, Y.; Ren, S. Simple lignin-based, light-driven shape memory polymers with excellent mechanical properties and wide range of glass transition temperatures. Int. J. Biol. Macromol. 2023, 228, 528–536. [Google Scholar] [CrossRef] [PubMed]
- Ma, X.; Wang, X.; Zhao, H.; Xu, X.; Cui, M.; Stott, N.E.; Chen, P.; Zhu, J.; Yan, N.; Chen, J. High-Performance, Light-Stimulation Healable, and Closed-Loop Recyclable Lignin-Based Covalent Adaptable Networks. Small 2023, 19, 2303215. [Google Scholar] [CrossRef] [PubMed]
- Zheng, Q.; Chai, L.; Du, B.; Li, W.; Fu, L.-H.; Chen, X. A pH-Sensitive Lignin-Based Material for Sustained Release of 8-Hydroxyquinoline. Polymers 2023, 15, 1867. [Google Scholar] [CrossRef]
- Zou, Z.; Ismail, B.B.; Zhang, X.; Yang, Z.; Liu, D.; Guo, M. Improving barrier and antibacterial properties of chitosan composite films by incorporating lignin nanoparticles and acylated soy protein isolate nanogel. Food Hydrocoll. 2023, 134, 108091. [Google Scholar] [CrossRef]
- Daassi, R.; Durand, K.; Rodrigue, D.; Stevanovic, T. Optimization of the Electrospray Process to Produce Lignin Nanoparticles for PLA-Based Food Packaging. Polymers 2023, 15, 2973. [Google Scholar] [CrossRef]
- Lage-Rivera, S.; Ares-Pernas, A.; Becerra Permuy, J.C.; Gosset, A.; Abad, M.-J. Enhancement of 3D Printability by FDM and Electrical Conductivity of PLA/MWCNT Filaments Using Lignin as Bio-Dispersant. Polymers 2023, 15, 999. [Google Scholar] [CrossRef]
- El-Ganainy, S.M.; Mosa, M.A.; Ismail, A.M.; Khalil, A.E. Lignin-Loaded Carbon Nanoparticles as a Promising Control Agent against Fusarium verticillioides in Maize: Physiological and Biochemical Analyses. Polymers 2023, 15, 1193. [Google Scholar] [CrossRef]
- Haider, M.K.; Kharaghani, D.; Sun, L.; Ullah, S.; Sarwar, M.N.; Ullah, A.; Khatri, M.; Yoshiko, Y.; Gopiraman, M.; Kim, I.S. Synthesized bioactive lignin nanoparticles/polycaprolactone nanofibers: A novel nanobiocomposite for bone tissue engineering. Biomater. Adv. 2023, 144, 213203. [Google Scholar] [CrossRef]
- Karunarathna, M.S.; Maladeniya, C.P.; Lauer, M.K.; Tennyson, A.G.; Smith, R.C. Durable composites by vulcanization of oleyl-esterified lignin. RSC Adv. 2023, 13, 3234–3240. [Google Scholar] [CrossRef]
- Tisdale, K.A.; Dona, N.L.K.; Maladeniya, C.P.; Smith, R.C. Green and Atom Economical Route to High Compressive Strength Lignin Oil-Sulfur Composites. J. Polym. Environ. 2024, 32, 4842–4854. [Google Scholar] [CrossRef]
- Tisdale, K.A.; Kapuge Dona, N.L.; Smith, R.C. The Influence of the Comonomer Ratio and Reaction Temperature on the Mechanical, Thermal, and Morphological Properties of Lignin Oil–Sulfur Composites. Molecules 2024, 29, 4209. [Google Scholar] [CrossRef] [PubMed]
- Maladeniya, C.P.; Kapuge Dona, N.L.; Smith, A.D.; Smith, R.C. Thermal and Mechanical Properties of Guaiacol–Fatty Acid–Sulfur Composites. Macromol 2023, 3, 681–692. [Google Scholar] [CrossRef]
- Kapuge Dona, N.L.; Sauceda-Oloño, P.Y.; Smith, R.C. Thermal and Mechanical Properties of Lignin Derivative–Sulfur Composites. J. Polym. Sci. 2024, 63, 789–799. [Google Scholar] [CrossRef]
- Iswanto, A.H.; Lubis, M.A.R.; Sutiawan, J.; Al-Edrus, S.S.O.; Lee, S.H.; Antov, P.; Kristak, L.; Reh, R.; Mardawati, E.; Santoso, A.; et al. Latest Advancements in the Development of High-Performance Lignin- and Tannin-Based Non-Isocyanate Polyurethane Adhesive for Wood Composites. Polymer 2023, 15, 3864. [Google Scholar] [CrossRef]
- Araujo, T.R.; Bresolin, D.; de Oliveira, D.; Sayer, C.; de Araujo, P.H.H.; de Oliveira, J.V. Conventional lignin functionalization for polyurethane applications and a future vision in the use of enzymes as an alternative method. Eur. Polym. J. 2023, 188, 111934. [Google Scholar] [CrossRef]
- Desai, Y.; Jariwala, S.; Gupta, R.K. Bio-Based Polyurethanes and Their Applications. In Polyurethanes: Preparation, Properties, and Applications Volume 2: Advanced Applications; ACS Symposium Series; American Chemical Society: San Francisco, CA, USA, 2023; Volume 1453, pp. 1–14. [Google Scholar]
- Chandna, S.; Olivares M, C.A.; Baranovskii, E.; Engelmann, G.; Boeker, A.; Tzschucke, C.C.; Haag, R. Lignin Upconversion by Functionalization and Network Formation. Angew. Chem. Int. Ed. 2024, 63, e202313945. [Google Scholar] [CrossRef]
- Shao, L.; Liu, N.; Wang, Z.; Zhan, P.; Zhang, L.; Wu, Z. Functional Lignin-based Polymers: Isolation, Synthetic Methods and High-valued Applications. ChemistrySelect 2023, 8, e202301633. [Google Scholar] [CrossRef]
- Hu, J.; Huang, M.; Zhou, X.; Luo, R.; Li, L.; Li, X. Research Status of Lignin-Based Polyurethane and Its Application in Flexible Electronics. Polymers 2024, 16, 2340. [Google Scholar] [CrossRef]
- Chen, J.; Yang, H.; Qian, Y.; Ouyang, X.; Yang, D.; Pang, Y.; Lei, L.; Qiu, X. Translucent Lignin-Based Omniphobic Polyurethane Coating with Antismudge and UV-Blocking Dual Functionalities. ACS Sustain. Chem. Eng. 2023, 11, 2613–2622. [Google Scholar] [CrossRef]
- Zhang, M.; Jeong, S.; Cho, W.; Ryu, J.; Zhang, B.; Crovella, P.; Ragauskas, A.J.; Wie, J.J.; Yoo, C.G. Green co-solvent-assisted one-pot synthesis of high-performance flexible lignin polyurethane foam. Chem. Eng. J. 2024, 499, 156142. [Google Scholar] [CrossRef]
- Li, C.; Jin, H.; Hou, M.; Guo, X.; Xiao, T.; Cao, X.; Jia, W.; Fatehi, P.; Shi, H. Fractionated lignin as a polyol in polyurethane fabrication. Int. J. Biol. Macromol. 2024, 256, 128290. [Google Scholar] [CrossRef] [PubMed]
- Liu, R.; Yang, Y.; Wu, Y.; Zhu, M.; Su, C.; Wang, Y.; Yao, Z.; Zhao, J.; Cao, H.; Cai, D. Rigid polyurethane foams refined by the lignin oligomers from catalytic upstream biorefining process. Sustain. Mater. Technol. 2023, 35, e00577. [Google Scholar] [CrossRef]
- Du, J.; Wang, H.; Huang, Z.; Liu, X.; Yin, X.; Wu, J.; Lin, W.; Lin, X.; Yi, G. Construction and mechanism study of lignin-based polyurethane with high strength and high self-healing properties. Int. J. Biol. Macromol. 2023, 248, 125925. [Google Scholar] [CrossRef]
- Falireas, P.G.; Gracia-Vitoria, J.; Hensen, A.; Vanbroekhoven, K.; Vendamme, R. Incorporating Phenolated Lignin into Polyurethane Materials: Impact on Mechanical, Thermal, and Adhesion Performance. Ind. Eng. Chem. Res. 2024, 63, 3921–3935. [Google Scholar] [CrossRef]
- Liang, J.; Zhao, Z.; Zhou, T.; Fu, Y.; Tian, G.; Wang, Z. Fabrication of Bio-Based Flexible Polyurethane Foam with Biodegradation by Etherification of Kraft Lignin. ACS Appl. Polym. Mater. 2024, 6, 4441–4448. [Google Scholar] [CrossRef]
- Chen, J.; Wu, J.; Zhong, Y.; Ma, X.; Lv, W.; Zhao, H.; Zhu, J.; Yan, N. Multifunctional superhydrophilic/underwater superoleophobic lignin-based polyurethane foam for highly efficient oil-water separation and water purification. Sep. Purif. Technol. 2023, 311, 123284. [Google Scholar] [CrossRef]
- Yang, Y.; Cao, H.; Liu, R.; Wang, Y.; Zhu, M.; Su, C.; Lv, X.; Zhao, J.; Qin, P.; Cai, D. Fabrication of ultraviolet resistant and anti-bacterial non-isocyanate polyurethanes using the oligomers from the reductive catalytic fractionated lignin oil. Ind. Crops Prod. 2023, 193, 116213. [Google Scholar] [CrossRef]
- Najafi, S.K.; Najafi, F.; Pizzi, A.; Khorshidi, F.H.; Behrooz, R. Effect of Amine Type on Lignin Modification to Evaluate Its Reactivity in Polyol Construction for Non-Isocyanate Polyurethanes (NIPU). J. Renew. Mater. 2023, 11, 2171. [Google Scholar] [CrossRef]
- Zhang, T.; Xue, B.; Yan, Q.; Yuan, Y.; Tan, J.; Guan, Y.; Wen, J.; Li, X.; Zhao, W. New kinds of lignin/non-isocyanate polyurethane hybrid polymers: Facile synthesis, smart properties and adhesive applications. Ind. Crops Prod. 2023, 199, 116706. [Google Scholar] [CrossRef]
- Ng, Q.Y.; Low, J.H.; Pang, M.M.; Idumah, C.I. Properties Enhancement of Waterborne Polyurethane Bio-composite Films with 3-aminopropyltriethoxy Silane Functionalized Lignin. J. Polym. Environ. 2023, 31, 688–697. [Google Scholar] [CrossRef]
- Fan, D.; Huang, Y.; Niu, Y.; Lv, Y.; Li, G. Sustainable waterborne polyurethane/lignin nanoparticles composites: Durability meets degradability. Polymer 2024, 305, 127179. [Google Scholar] [CrossRef]
- Kim, B.M.; Choi, J.S.; Jang, S.; Park, H.; Lee, S.Y.; Jung, J.; Park, J. Sustainable Strategies for Synthesizing Lignin-Incorporated Bio-Based Waterborne Polyurethane with Tunable Characteristics. Polymers 2023, 15, 3987. [Google Scholar] [CrossRef] [PubMed]
- Aminzai, M.T.; Azizi, N.; Nural, Y.; Yabalak, E. A Review on Recent Advances in Polymer-Assisted Green and Sustainable Technology for Remediation of Pharmaceuticals from Water and Wastewater. Water Air Soil Pollut. 2023, 234, 681. [Google Scholar] [CrossRef]
- He, Z.; Wang, M.; Ma, S. Porous lignin-based composites for oil/water separation: A review. Int. J. Biol. Macromol. 2024, 260, 129569. [Google Scholar] [CrossRef]
- Yang, Y.; Wang, Y.; Zhu, M.; Zhao, J.; Cai, D.; Cao, H. Valorization of lignin for renewable non-isocyanate polyurethanes: A state-of-the-art review. Mater. Today Sustain. 2023, 22, 100367. [Google Scholar] [CrossRef]
- Li, D.; Xue, B.; Zhao, Q.; Wang, W.; Li, X.; Wen, J.; Wang, Z.; Zhao, W. Green synthesis of lignin-based non-isocyanate polyurethanes as reusable, self-healable and removable adhesives. Eur. Polym. J. 2024, 221, 113553. [Google Scholar] [CrossRef]
- Lin, L.; Tu, Y.; Li, Z.; Wu, H.; Mao, H.; Wang, C. Synthesis and application of multifunctional lignin-modified cationic waterborne polyurethane in textiles. Int. J. Biol. Macromol. 2024, 262, 130063. [Google Scholar] [CrossRef]
- Lu, X.; Gu, X. A review on lignin-based epoxy resins: Lignin effects on their synthesis and properties. Int. J. Biol. Macromol. 2023, 229, 778–790. [Google Scholar] [CrossRef]
- Arya, A.; Ahamad, A.; Kumar, P.; Chandra, A. A review on lignin based nanocomposites: Fabrication, characterization and application. Mater. Today Proc. 2023, 78, A10. [Google Scholar] [CrossRef]
- Zhou, S.; Huang, K.; Xu, X.; Wang, B.; Zhang, W.; Su, Y.; Hu, K.; Zhang, C.; Zhu, J.; Weng, G.; et al. Rigid-and-Flexible, Degradable, Fully Biobased Thermosets from Lignin and Soybean Oil: Synthesis and Properties. ACS Sustain. Chem. Eng. 2023, 11, 3466–3473. [Google Scholar] [CrossRef]
- Song, P.; Du, L.; Pang, J.; Jiang, G.; Shen, J.; Ma, Y.; Ren, S.; Li, S. Preparation and properties of lignin-based vitrimer system containing dynamic covalent bonds for reusable and recyclable epoxy asphalt. Ind. Crops Prod. 2023, 197, 116498. [Google Scholar] [CrossRef]
- Zou, S.-L.; Xiao, L.-P.; Li, X.-Y.; Yin, W.-Z.; Sun, R.-C. Lignin-based composites with enhanced mechanical properties by acetone fractionation and epoxidation modification. iScience 2023, 26, 106187. [Google Scholar] [CrossRef] [PubMed]
- Li, X.; Li, X.; Ye, J.; Shen, L.; Tan, W.; Luo, X. Preparation and characterization of black liquor lignin-based epoxy composite film. Mater. Lett. 2023, 337, 133998. [Google Scholar] [CrossRef]
- Pappa, C.P.; Cailotto, S.; Gigli, M.; Crestini, C.; Triantafyllidis, K.S. Kraft (Nano)Lignin as Reactive Additive in Epoxy Polymer Bio-Composites. Polymers 2024, 16, 553. [Google Scholar] [CrossRef]
- Xue, M.; Hu, S.; Zhang, S.; Ou, J.; Chen, H.; Liao, Y.; Yue, F. Flexible and Heat-Resisting Lignin-Based Epoxy Resins by Hardwood Kraft Low-Molecular-Weight Lignin as a Sustainable Substitute for Bisphenol A. ACS Sustain. Chem. Eng. 2023, 11, 16774–16784. [Google Scholar] [CrossRef]
- Bagheri, S.; Nejad, M. Fully biobased composite made with epoxidized-lignin, reinforced with bamboo fibers. Polym. Compos. 2023, 44, 3926–3938. [Google Scholar] [CrossRef]
- Gavrilović-Grmuša, I.; Rančić, M.; Tešić, T.; Stupar, S.; Milošević, M.; Gržetić, J. Bio-Epoxy Resins Based on Lignin and Tannic Acids as Wood Adhesives—Characterization and Bonding Properties. Polymers 2024, 16, 2602. [Google Scholar] [CrossRef]
- Li, G.; Li, C.; Li, P.; Sun, R.; Cao, L.; Zhu, P. Lignin-based silicone-modified epoxy resin with enhanced strength and toughness. Int. J. Adhes. Adhes. 2024, 128, 103564. [Google Scholar] [CrossRef]
- Rodrigues, J.S.; de Freitas, A.d.S.M.; Maciel, C.C.; Mendes, S.F.; Diment, D.; Balakshin, M.; Botaro, V.R. Selection of kraft lignin fractions as a partial substitute for phenol in synthesis of phenolic resins: Structure-property correlation. Ind. Crops Prod. 2023, 191, 115948. [Google Scholar] [CrossRef]
- Li, P.; Yang, C.; Yi, D.; Li, S.; Wang, M.; Wang, H.; Jin, Y.; Wu, W. Preparation of spherical porous carbon from lignin-derived phenolic resin and its application in supercapacitor electrodes. Int. J. Biol. Macromol. 2023, 252, 126271. [Google Scholar] [CrossRef] [PubMed]
- Galdino, D.S.; Kondo, M.Y.; De Araujo, V.A.; Ferrufino, G.L.; Faustino, E.; Santos, H.F.; Christoforo, A.L.; Luna, C.M.; Campos, C.I. Thermal and Gluing Properties of Phenol-Based Resin with Lignin for Potential Application in Structural Composites. Polymers 2023, 15, 357. [Google Scholar] [CrossRef] [PubMed]
- Bansode, A.; Portilla Villarreal, L.A.; Wang, Y.; Asafu-Adjaye, O.; Via, B.K.; Farag, R.; Vega Erramuspe, I.B.; Auad, M.L. Kraft Lignin Periodate Oxidation for Biobased Wood Panel Resins. ACS Appl. Polym. Mater. 2023, 5, 4118–4126. [Google Scholar] [CrossRef]
- Zhao, L.; Li, W.; Cheng, Y.; Zhao, J.; Tian, D.; Huang, M.; Shen, F. Preparation and evaluation of lignin-phenol-formaldehyde resin as wood adhesive using unmodified lignin. Ind. Crops Prod. 2024, 211, 118168. [Google Scholar] [CrossRef]
- Gaudenzi, E.; Cardone, F.; Lu, X.; Canestrari, F. The use of lignin for sustainable asphalt pavements: A literature review. Constr. Build. Mater. 2023, 362, 129773. [Google Scholar] [CrossRef]
- Peng, Z.; Jiang, X.; Si, C.; Joao Cárdenas-Oscanoa, A.; Huang, C. Advances of Modified Lignin as Substitute to Develop Lignin-Based Phenol-Formaldehyde Resin Adhesives. ChemSusChem 2023, 16, e202300174. [Google Scholar] [CrossRef]
- Fazeli, M.; Mukherjee, S.; Baniasadi, H.; Abidnejad, R.; Mujtaba, M.; Lipponen, J.; Seppala, J.; Rojas, O.J. Lignin beyond the status quo: Recent and emerging composite applications. Green Chem. 2024, 26, 593–630. [Google Scholar] [CrossRef]
- Ye, H.; You, T.; Nawaz, H.; Xu, F. A comprehensive review on polylactic acid/lignin composites—Structure, synthesis, performance, compatibilization, and applications. Int. J. Biol. Macromol. 2024, 280, 135886. [Google Scholar] [CrossRef]
- Shi, K.; Liu, G.; Sun, H.; Weng, Y. Polylactic Acid/Lignin Composites: A Review. Polymers 2023, 15, 2807. [Google Scholar] [CrossRef]
- Rajeshkumar, G.; Arvindh Seshadri, S.; Devnani, G.L.; Sanjay, M.R.; Siengchin, S.; Prakash Maran, J.; Al-Dhabi, N.A.; Karuppiah, P.; Mariadhas, V.A.; Sivarajasekar, N.; et al. Environment friendly, renewable and sustainable poly lactic acid (PLA) based natural fiber reinforced composites—A comprehensive review. J. Clean. Prod. 2021, 310, 127483. [Google Scholar] [CrossRef]
- Shi, K.; Liu, G.; Sun, H.; Yang, B.; Weng, Y. Grafting Polymerization of Long-Chain Hydrophobic Acrylic Monomer onto Lignin and Its Application in Poly(Lactic Acid)-Based Wholly Green UV Barrier Composite Films. ACS Omega 2023, 8, 26926–26937. [Google Scholar] [CrossRef] [PubMed]
- Kim, D.; Kim, J.-C.; Kim, J.; Cho, Y.-M.; Yoon, C.-H.; Shin, J.-H.; Kwak, H.W.; Choi, I.-G. Enhancement of elongation at break and UV-protective properties of poly(lactic acid) film with cationic ring opening polymerized (CROP)-lignin. Int. J. Biol. Macromol. 2023, 253, 127293. [Google Scholar] [CrossRef] [PubMed]
- Yu, S.; Lu, Y.; Guo, S.; Guo, T.; Takagi, A.; Kamkar, M.; Rojas, O.J. Lignin-Polylactide Reverse Emulsions for Water and UV-Resistant Composite Films. ACS Sustain. Chem. Eng. 2023, 11, 12503–12513. [Google Scholar] [CrossRef]
- Banpean, A.; Hararak, B.; Winotapun, C.; Wijaranakul, P.; Kitchaicharoenporn, S.; Naimlang, S. Lignin nanoparticles as sustainable biobased nucleating agents of poly(L-lactic acid): Crystallization behavior and effect of particle sizes. J. Mater. Sci. 2023, 58, 6823–6838. [Google Scholar] [CrossRef]
- Shakoor Shar, A.; Wang, N.; Chen, T.; Zhao, X.; Weng, Y. Development of PLA/Lignin Bio-Composites Compatibilized by Ethylene Glycol Diglycidyl Ether and Poly (ethylene glycol) Diglycidyl Ether. Polymers 2023, 15, 4049. [Google Scholar] [CrossRef]
- Ou, W.-X.; Weng, Y.; Zeng, J.-B.; Li, Y.-D. Fully biobased poly(lactic acid)/lignin composites compatibilized by epoxidized natural rubber. Int. J. Biol. Macromol. 2023, 236, 123960. [Google Scholar] [CrossRef]
- Ding, R.; Duan, Z.; Sun, Y.; Yuan, Q.; Tien, T.T.; Zúniga, M.G.; Oh, E.; Nam, J.-D.; Suhr, J. Enhancement of 3D printability and mechanical properties of polylactic acid/lignin biocomposites via interface engineering. Ind. Crops Prod. 2023, 194, 116286. [Google Scholar] [CrossRef]
- Makri, S.P.; Xanthopoulou, E.; Valera, M.A.; Mangas, A.; Marra, G.; Ruiz, V.; Koltsakidis, S.; Tzetzis, D.; Zoikis Karathanasis, A.; Deligkiozi, I.; et al. Poly(Lactic Acid) Composites with Lignin and Nanolignin Synthesized by In Situ Reactive Processing. Polymers 2023, 15, 2386. [Google Scholar] [CrossRef]
- Murillo-Morales, G.; Sethupathy, S.; Zhang, M.; Xu, L.; Ghaznavi, A.; Xu, J.; Yang, B.; Sun, J.; Zhu, D. Characterization and 3D printing of a biodegradable polylactic acid/thermoplastic polyurethane blend with laccase-modified lignin as a nucleating agent. Int. J. Biol. Macromol. 2023, 236, 123881. [Google Scholar] [CrossRef]
- Ju, Z.; Brosse, N.; Hoppe, S.; Wang, Z.; Ziegler-Devin, I.; Zhang, H.; Shu, B. Thermal and mechanical properties of polyethylene glycol (PEG)-modified lignin/polylactic acid (PLA) biocomposites. Int. J. Biol. Macromol. 2024, 262, 129997. [Google Scholar] [CrossRef]
- Beniwal, P.; Toor, A.P. Functionalisation of lignin with urethane linkages and their strengthening effect on PLA composites. Int. J. Biol. Macromol. 2024, 258, 129005. [Google Scholar] [CrossRef] [PubMed]
- Li, B.; Zhu, X.; Xu, C.; Zhang, X.; Fan, Y.; Yu, J. Sustainable strategy for lignin etherification and its promotion of anti-UV aging PLA biocomposite. Chem. Eng. J. 2024, 500, 156746. [Google Scholar] [CrossRef]
- Cao, L.; Chen, P.; Qi, B.; Qi, Z.; Chang, L.; Shan, J.; Sun, C.; Tan, H.; Zhang, Y. A new strategy to prepare bio-based polylactic acid modifier for multi-functionality: Dopamine-grafted modified lignin. Mater. Today Commun. 2024, 41, 110857. [Google Scholar] [CrossRef]
- Zhang, B.; Qiang, G.; Barta, K.; Sun, Z. Bio–based polymers from lignin. Innov. Mater. 2024, 2, 100062. [Google Scholar] [CrossRef]
- Boarino, A.; Klok, H.-A. Opportunities and Challenges for Lignin Valorization in Food Packaging, Antimicrobial, and Agricultural Applications. Biomacromolecules 2023, 24, 1065–1077. [Google Scholar] [CrossRef]
- Ruwoldt, J.; Blindheim, F.H.; Chinga-Carrasco, G. Functional surfaces, films, and coatings with lignin—A critical review. RSC Adv. 2023, 13, 12529–12553. [Google Scholar] [CrossRef]
- Santos, C.C.O.; Ferreira, F.V.; Pinheiro, I.F.; Lona, L.M.F. Lignin valorization through polymer grafting by ring-opening polymerization and its application in health, packaging, and coating. J. Environ. Chem. Eng. 2023, 11, 109691. [Google Scholar] [CrossRef]
- Wang, D.; Gu, Y.; Feng, S.; Yang, W.; Dai, H.; Xiao, H.; Han, J. Lignin-containing biodegradable UV-blocking films: A review. Green Chem. 2023, 25, 9020–9044. [Google Scholar] [CrossRef]
- Olonisakin, K.; Wen, A.; He, S.; Lin, H.; Tao, W.; Chen, S.; Lin, W.; Li, R.; Zhang, X.-x.; Yang, W. The Development of Biodegradable PBAT-Lignin-Tannic Acid Composite Film: Properties, Biodegradability, and Potential Barrier Application in Food Packaging. Food Bioprocess Technol. 2023, 16, 1525–1540. [Google Scholar] [CrossRef]
- Waqas Ali Shah, S.; Ma, K.; Ullah, R.; Ali, E.A.; Qayum, A.; Zahoor; Uddin, N.; Zhu, D. Laccase and dye-decolorizing peroxidase-modified lignin incorporated with keratin-based biodegradable film: An elucidation of structural characterization, antibacterial and antioxidant properties. Food Chem. X 2023, 20, 101035. [Google Scholar] [CrossRef]
- Dong, T.; Chen, W.; Cai, C.; Bai, F.; Zhou, Z.; Wang, J.; Li, X. Water-stable, strong, biodegradable lignocellulose straws replacement for plastic straws. Chem. Eng. J. 2023, 451, 138970. [Google Scholar] [CrossRef]
- Baniasadi, H.; Lipponen, S.; Asplund, M.; Seppälä, J. High-concentration lignin biocomposites with low-melting point biopolyamide. Chem. Eng. J. 2023, 451, 138564. [Google Scholar] [CrossRef]
- Tian, D.; Zhang, J.; Hu, J.; Huang, M.; Zhao, L.; Lei, Y.; Zou, J.; Zhang, S.; Shen, F. A new water-soluble lignin incorporation enhanced the barrier performance of liquid mulching film. Chem. Eng. J. 2023, 452, 139383. [Google Scholar] [CrossRef]
- Xu, T.; Gao, H.; Zhou, J.; He, M.; Ji, X.; Dai, H.; Rojas, O.J. Design of AgNPs doped chitosan/sodium lignin sulfonate/polypyrrole films with antibacterial and endotoxin adsorption functions. Int. J. Biol. Macromol. 2023, 229, 321–328. [Google Scholar] [CrossRef]
- Xie, J.; Xu, J.; Zhang, Z.; Wang, B.; Zhu, S.; Li, J.; Chen, K. New ternary deep eutectic solvents with cycle performance for efficient pretreated radiata pine forming to lignin containing cellulose nanofibrils. Chem. Eng. J. 2023, 451, 138591. [Google Scholar] [CrossRef]
- Sun, X.; Li, Q.; Wu, H.; Zhou, Z.; Feng, S.; Deng, P.; Zou, H.; Tian, D.; Lu, C. Sustainable Starch/Lignin Nanoparticle Composites Biofilms for Food Packaging Applications. Polymers 2023, 15, 1959. [Google Scholar] [CrossRef]
- Rodrigues, J.S.; de Freitas, A.d.S.M.; Lopes, H.S.M.; Pires, A.A.F.; Lemes, A.P.; Ferreira, M.; Botaro, V.R. Improvement of UV stability of thermoplastic starch matrix by addition of selected lignin fraction—Photooxidative degradation. Int. J. Biol. Macromol. 2023, 230, 123142. [Google Scholar] [CrossRef]
- Pham, C.D.; Truong, T.M.; Ly, T.B.; Le, P.K. Application of Lignin from Cellulose Isolation Process in the Fabrication of Chitosan/Lignin Film for UV-Light Blocking and Anti-oxidation. Waste Biomass Valorization 2023, 15, 1881–1894. [Google Scholar] [CrossRef]
- Ou, J.; Hu, S.; Yao, L.; Chen, Y.; Qi, H.; Yue, F. Simultaneous strengthening and toughening lignin/cellulose nanofibril composite films: Effects from flexible hydrogen bonds. Chem. Eng. J. 2023, 453, 139770. [Google Scholar] [CrossRef]
- Gao, S.; Zhu, C.; Ma, L.; Liu, C.; Zhang, H.; Zhang, S. Preparation of an Aminated Lignin/Fe(III)/Polyvinyl Alcohol Film: A Packaging Material with UV Resistance and Slow-Release Function. Foods 2023, 12, 2794. [Google Scholar] [CrossRef]
- Jiang, H.; Chu, Q.; Ma, J.; Wu, S.; Shao, L.; Zhou, X. Dissolution of lignocellulose with high lignin content in AlCl3/ZnCl2 aqueous system and properties of the regenerated cellulose film. Int. J. Biol. Macromol. 2023, 234, 123590. [Google Scholar] [CrossRef] [PubMed]
- Zolfaghari, S.; Soltaninejad, A.; Okoro, O.V.; Shavandi, A.; Denayer, J.F.M.; Sadeghi, M.; Karimi, K. Starch biocomposites preparation by incorporating organosolv lignins from potato crop residues. Int. J. Biol. Macromol. 2024, 259, 129140. [Google Scholar] [CrossRef] [PubMed]
- Warale, D.; Shabeena, M.; Prabhu, A.; Kouser, S.; Manasa, D.J.; Nagaraja, G.K. Sustainable organosolv-lignin coated nanosilver-halloysites reinforced poly (vinyl alcohol) nanocomposites for wound healing application. Int. J. Biol. Macromol. 2024, 257, 128628. [Google Scholar] [CrossRef] [PubMed]
- Domínguez-Robles, J.; Cuartas-Gómez, E.; Dynes, S.; Utomo, E.; Anjani, Q.K.; Detamornrat, U.; Donnelly, R.F.; Moreno-Castellanos, N.; Larrañeta, E. Poly(caprolactone)/lignin-based 3D-printed dressings loaded with a novel combination of bioactive agents for wound-healing applications. Sustain. Mater. Technol. 2023, 35, e00581. [Google Scholar] [CrossRef]
- Wang, Q.-M.; Liu, Z.-H.; Lü, Q.-F. Lignin modified Ti3C2Tx assisted construction of functionalized interface for separation of oil/water mixture and dye wastewater. Colloids Surf. A Physicochem. Eng. Asp. 2023, 656, 130371. [Google Scholar] [CrossRef]
- Huang, J.; Li, M.; Ren, C.; Huang, W.; Miao, Y.; Wu, Q.; Wang, S. Construction of HLNPs/Fe3O4 based superhydrophobic coating with excellent abrasion resistance, UV resistance, flame retardation and oil absorbency. J. Environ. Chem. Eng. 2023, 11, 109046. [Google Scholar] [CrossRef]
- Zhang, Y.-Q.; An, Q.-D.; Xiao, Z.-Y.; Zhu, K.-R.; Dong, X.-L.; Zhai, S.-R. PDMS/magnetic lignin sponge for oil/water separation. Int. J. Biol. Macromol. 2023, 253, 127368. [Google Scholar] [CrossRef]
- Zhang, J.; Jiang, F.; Lu, Y.; Wei, S.; Xu, H.; Zhang, J.; Ge, Y.; Li, Z. Lignin microparticles-reinforced cellulose filter paper for simultaneous removal of emulsified oils and dyes. Int. J. Biol. Macromol. 2023, 230, 123120. [Google Scholar] [CrossRef]
- Guo, Z.; Wang, M.; Qiao, L.; Wang, J.; He, Z. Photothermal, Magnetic, and Superhydrophobic PU Sponge Decorated with a Fe3O4/MXene/Lignin Composite for Efficient Oil/Water Separation. Langmuir 2023, 39, 16935–16953. [Google Scholar] [CrossRef]
- Nisar, S.; Raza, Z.A. Corn straw lignin—A sustainable bioinspired finish for superhydrophobic and UV-protective cellulose fabric. Int. J. Biol. Macromol. 2024, 257, 128393. [Google Scholar] [CrossRef]
- Yu, H.; Wang, B.; Wang, Y.; Xu, E.; Wang, R.; Wu, S.; Wu, W.; Ji, B.; Feng, X.; Xu, H.; et al. Lignin Nanoparticles with High Phenolic Content as Efficient Antioxidant and Sun-Blocker for Food and Cosmetics. ACS Sustain. Chem. Eng. 2023, 11, 4082–4092. [Google Scholar] [CrossRef]
- Zhan, B.; Zhang, L.; Deng, Y.; Yan, L. A multifunctional lignin-based composite ultra-adhesive for wood processing. Green Chem. 2023, 25, 10061–10071. [Google Scholar] [CrossRef]
- Wu, M.; Wu, M.; Zhang, M.; Jiang, F.; Zhou, L. Preparation of all biomass lignin-based thermoplastic elastomers by ARGET ATRP. Ind. Crops Prod. 2023, 193, 116236. [Google Scholar] [CrossRef]
- Ou, Y.; Xing, Y.; Yang, Z.; Huang, J.; He, J.; Jiang, F.; Zhang, Y. Strong and ultrafast stimulus-healable lignin-based composite elastomers with excellent adhesion properties. Int. J. Biol. Macromol. 2024, 256, 128507. [Google Scholar] [CrossRef]
- Jiang, B.; Jiao, H.; Guo, X.; Chen, G.; Guo, J.; Wu, W.; Jin, Y.; Cao, G.; Liang, Z. Chemistry, Processing, Structures, Properties, and Applications of Lignin-Based Materials for Additive Manufacturing. Adv. Sci. 2023, 10, 2206055. [Google Scholar] [CrossRef]
- Shah, S.W.A.; Xu, Q.; Ullah, M.W.; Zahoor; Sethupathy, S.; Morales, G.M.; Sun, J.; Zhu, D. Lignin-based additive materials: A review of current status, challenges, and future perspectives. Addit. Manuf. 2023, 74, 103711. [Google Scholar] [CrossRef]
- Silva-Barroso, A.S.; Cabral, C.S.D.; Ferreira, P.; Moreira, A.F.; Correia, I.J. Lignin-enriched tricalcium phosphate/sodium alginate 3D scaffolds for application in bone tissue regeneration. Int. J. Biol. Macromol. 2023, 239, 124258. [Google Scholar] [CrossRef]
- Norouzi, M.; Rafienia, M.; Hosseini, S. Characterization and biological evaluation of new PLGA/fibrin/lignin biocomposite electrospun scaffolds. Phys. Scr. 2023, 98, 095506. [Google Scholar] [CrossRef]
- Su, Y.; Tang, S.; Cai, M.; Nie, Y.; Hu, B.; Wu, S.; Cheng, C. Thermal oxidative aging mechanism of lignin modified bitumen. Constr. Build. Mater. 2023, 363, 129863. [Google Scholar] [CrossRef]
- Rezazad Gohari, A.; Lamothe, S.; Bilodeau, J.-P.; Mansourian, A.; Carter, A. Laboratory Study on Influence of Blending Conditions on Chemo-Thermal Characteristics of Lignin-Modified Bitumen. Appl. Sci. 2023, 13, 7766. [Google Scholar] [CrossRef]
- Wu, Z.; Lin, X.; Teng, J.; Li, M.; Song, J.; Huang, C.; Wang, R.; Ying, H.; Zhang, L.; Zhu, C. Recent Advances of Lignin Functionalization for High-Performance and Advanced Functional Rubber Composites. Biomacromolecules 2023, 24, 4553–4567. [Google Scholar] [CrossRef] [PubMed]
- Chung, J.-Y.; Hwang, U.; Kim, J.; Kim, N.-Y.; Nam, J.; Jung, J.; Kim, S.-H.; Cho, J.K.; Lee, B.; Park, I.-K.; et al. Amine-Functionalized Lignin as an Eco-Friendly Antioxidant for Rubber Compounds. ACS Sustain. Chem. Eng. 2023, 11, 2303–2313. [Google Scholar] [CrossRef]
- Laanesoo, S.; Bonjour, O.; Sedrik, R.; Tamsalu, I.; Jannasch, P.; Vares, L. Combining isosorbide and lignin-related benzoic acids for high-Tg polymethacrylates. Eur. Polym. J. 2024, 202, 112595. [Google Scholar] [CrossRef]
- Feng, Y.; Yu, J.; Shao, C.; Sun, R. Advances toward sustainable lignin-based gel for energy storage and smart sensing. Pap. Biomater. 2023, 8, 20–36. [Google Scholar] [CrossRef]
- Nanthagal, K.; Khoonsap, S.; Harnchana, V.; Suphasorn, P.; Chanlek, N.; Sinthiptharakoon, K.; Lapawae, K.; Amnuaypanich, S. Unprecedented Triboelectric Effect of Lignin on Enhancing the Electrical Outputs of Natural-Rubber-Based Triboelectric Nanogenerators (TENGs). ACS Sustain. Chem. Eng. 2023, 11, 1311–1323. [Google Scholar] [CrossRef]
- Chowdhury, S.G.; Ghosh, S.; Pal, A.; Pal, K.; Chanda, J.; Samui, B.K.; Bhattacharyya, S.K.; Mukhopadhya, R.; Bandyopadhyay, A. Evaluation of lignin as potential green filler in an optimally designed solution grade styrene–butadiene rubber (SSBR) based tyre tread compound. Plast. Rubber Compos. 2023, 52, 63–74. [Google Scholar] [CrossRef]
- Qiu, J.; Yuan, S.; Xiao, H.; Liu, J.; Shen, T.; Tan, Z.; Zhuang, W.; Ying, H.; Li, M.; Zhu, C. Study on lignin amination for lignin/SiO2 nano-hybrids towards sustainable natural rubber composites. Int. J. Biol. Macromol. 2023, 233, 123547. [Google Scholar] [CrossRef]
- Campos, G.N.; da Rocha, E.B.D.; Furtado, C.R.G.; de Figueiredo, M.A.G.; de Sousa, A.M.F. Using carboxyl groups to improve the compatibility of XNBR/lignin composites. Polym. Compos. 2023, 45, 4124–4137. [Google Scholar] [CrossRef]
- Moretti, C.; Corona, B.; Hoefnagels, R.; Vural-Gürsel, I.; Gosselink, R.; Junginger, M. Review of life cycle assessments of lignin and derived products: Lessons learned. Sci. Total Environ. 2021, 770, 144656. [Google Scholar] [CrossRef]
- Scown, C.D.; Baral, N.R.; Yang, M.; Vora, N.; Huntington, T. Technoeconomic analysis for biofuels and bioproducts. Curr. Opin. Biotechnol. 2021, 67, 58–64. [Google Scholar] [CrossRef]
















































































| Lignin Type | Lignin Treatment/Modification Method | NCO Source | Application | Optimal Lignin wt.% | Reported Key Properties | Ref. |
|---|---|---|---|---|---|---|
| Pine alkali lignin | Purification | HDI | Coating | 6.1% | Hardness: 260.1 MPa Elastic modulus: 4.7 GPa Good UV-blocking properties | [61] |
| Organosolv lignin | Dissolved in propylene carbonate | MDI [i/h ratio = 1] | Rigid and flexible foams | 20% | 95% shape recovery after cyclic compression | [62] |
| Industrial alkali lignin | Fractionation | Octamethylene diisocyanate [i/h ratio = 1] | Rigid foams | 15% | Tensile strength: 0.9 MPa Elongation at break: >500% | [63] |
| Lignin from sawdust | Catalytic upstream biorefining | pMDI | Rigid foams | 30% | Compressive strength: >0.25 MPa | [64] |
| Alkali lignin | Hydroxylation | TDI | Elastomers | 22.2% | Tensile strength: 25.2 MPa Elongation at break: 500% | [65] |
| Hydrolyzed lignin | Acid-catalyzed phenolation | pMDI or HDI [i/h ratio = 0.95] | Films and adhesive | 50% | Tensile strength: 47.6 MPa | [66] |
| Kraft lignin | Liquefaction | HDI [i/h ratio = 1] | Rigid foams | 60% | Compressive stress: 86.80 kPa Compressive strain: 70% Thermal conductivity: 0.0401 W/mK | [67] |
| Enzymatic hydrolyzed lignin | Liquefaction | HDI | Rigid foams | NA | >99% oil–water separation Adsorption capacity: 98.2 mg/CuSO4 g | [68] |
| Lignin oligomers from sawdust | Reductive catalytic fractionation and oxypropylation | NA | NIPU films | 17% | Tensile strength: 12.5 MPa Young’s modulus: 63 MPa | [69] |
| Black liquor lignin | Amination | NA | NIPU foam | NA | Higher hydroxyl number in amine-modified lignin | [70] |
| Enzymatic hydrolyzed lignin | Epoxidation | NA | NIPU film | 40.36% | Tensile strength: 20.25 MPa Young’s modulus: 280 MPa Toughness: 5.51 MJ/m3 | [71] |
| Kraft lignin | Functionalization with APTES | NA | WPU films | 0.5% | Tensile strength: 8.77 MPa Elongation at break: ~25% | [72] |
| Enzymatic hydrolyzed lignin | Solvent shifting | Isophorone diisocyanate (IPDI) | WPU emulsions | 5% | Tensile strength: >25 MPa Young’s modulus: 322 MPa | [73] |
| Lignosulfonate | NA | IPDI | WPU composites | 7% | Tensile strength: 5.57 MPa Antibacterial activity: 97.27% for E. coli | [74] |
| Lignin Type | Lignin Treatment/Modification Method | Resin Matrix | Application | Optimal Lignin wt.% | Reported Key Properties | Ref. |
|---|---|---|---|---|---|---|
| Enzymatic hydrolyzed lignin | Glycidylation and multi-carboxylation | Epoxied soya bean oil, citric acid | Epoxy thermosets | 80% | Ultimate tensile strength: 33.2 ± 2.1 MPa Tensile modulus: 480.5 ± 41.7 MPa | [82] |
| Enzymatic lignin | Glycidylation and esterification | PEG 400 and base asphalt | Epoxy asphalt as a pavement material | 20% | Ultimate tensile strength: 331.61 MPa Tensile strain: 382.4% | [83] |
| Industrial alkali lignin | Fractionation and glycidylation | Polyetheramine (JD400), diglycidyl ether (BADGE) | Epoxy thermosets | 10% | Ultimate tensile strength: 5.42 ± 0.34 MPa Elongation at break: 255.32 ± 3.16% | [84] |
| Black liquor lignin | Mannich reaction | Bisphenol A-based epoxy resin (E901) | Epoxy composite film | 70% | Ultimate tensile strength: 30 MPa | [85] |
| Kraft lignin (KL) | Ball milling (BMKL) Ultrasonication (NLH) Glycidylation (GKL) | Diglycidyl ether of bisphenol A (DGEBA), and curing agent aliphatic polyoxypropylene α,ω-diamine (Jeffamine D-230) | Epoxy resin | 3% KL | Ultimate tensile strength: 89.1 ± 5.7 MPa Strain at break: 6.3 ± 0.4% | [86] |
| 6% BMKL | Ultimate tensile strength: 71.6 ± 4.3 MPa Strain at break: 5.9 ± 0.4% | |||||
| 9% NLH | Ultimate tensile strength: 80.5 ± 6.1 MPa Strain at break: 7.4 ± 0.6% | |||||
| 9% GKL | Ultimate tensile strength: 80.8 ± 1.5 MPa Strain at break: 6.8 ± 0.3% | |||||
| Kraft lignin | Fractionation and glycidylation | DGEBA, and curing agent polyether amine (D-400) | Epoxy resin | 60% | Ultimate tensile strength 14.7 ± 0.2 MPa Elongation at break 194.3 ± 5.7% | [87] |
| Kraft lignin | Epoxidation | Amine-based NT-1515 curing agent, and Bamboo fibers | Epoxy resin | 25% fiber addition | Storage modulus: 2.63 GPa Flexural strength: 116 MPa Flexural modulus: 5.69 GPa | [88] |
| Kraft lignin | Epoxidation | DGEBA, and tannic acid | Adhesive | 5% | Shear strength: 10.57 MPa | [89] |
| Acidic lignin | Grafting silicon chains and etherification | Bisphenol F epoxy resin (DGEBF) and polyether amine (D230) | Epoxy resin composites (electronic packaging) | 3% | Compared to neat EP: impact strength ↑16.25%, tensile ↑25.81%, bending modulus ↑16.21%, and bending strength ↑42.43% | [90] |
| Kraft lignin | Fractionation using a solvent system | Formaldehyde [p/a ratio = 1.7] | PF resin | 25% of the soluble fraction | Bonding strength > 4 MPa | [91] |
| Alkaline lignin | Treated with the DES system | Phenol and formaldehyde [p/a ratio = 1.2] | Supercapacitor electrodes | 30% | Capacitance: 112.4 F/g Energy density: 3.9 Wh/kg Power density: 125 Wk/g | [92] |
| Kraft lignin | Phenolation | Formaldehyde [p/a ratio = 0.5] | Wood adhesive | 30% | Shear strength 3.41 MPa | [93] |
| Kraft lignin | Periodate Oxidation | Phenol and formaldehyde [p/a ratio = 3.84] | Wood adhesive | 49% unmodified lignin | Dry shear strength: >2.75 MPa | [94] |
| Alkali lignin | Treated with phosphoric acid and hydrogen peroxide (PHP-lignin) | Phenol and formaldehyde [p/a ratio = 0.5] | Wood adhesive | PHP-lignin | Ultimate bonding strength 2.16 MPa | [95] |
| Lignin Type | Lignin Treatment Method | Monomer/Polymer Matrix | Application | Optimal Lignin Details | Reported Key Properties | Ref. |
|---|---|---|---|---|---|---|
| Commercial lignin | NA | Lauryl methacrylate | Composite films | 5 wt.% Lg-g-PLMA | Strain at break: 8.1% Toughness: 245.6 MJ/m3 | [102] |
| Kraft lignin | Ethyl acetate extraction and methylation | Glycidol | PLA films | 10 wt.% | Elongation at break: 297.7% Toughness: 39.92 MJ/m3 Blocked 99.52% of UV-A | [103] |
| Alkali lignin | NA | PLA granules | PLA films and sunscreen | 90 wt.% | Stronger UV shielding, in the UV-A range | [104] |
| Softwood kraft lignin | Fractionation, followed by ultrasonication (SLNs) | Poly(L-lactic acid) (PLLA) | Films | 1 wt.% | Enhanced crystallization rate, crystallinity, and nucleation density with SLNs | [105] |
| Commercial lignin | Etherification with EGDE or PEGDE | PLA | Packaging material | 5 phr with EGDE | O2 barrier property: 58.3% Tensile strength: >60 MPa | [106] |
| Lignin from corncob refinery residues | Alkali pretreatment | Epoxidized natural rubber/PLA | Disposable tableware, packaging materials and toys | 20 wt.% | Tensile strength: 45.31 MPa Young’s modulus: 2.36 GPa | [107] |
| Kraft lignin | Grafting 2-ethylhexyl acrylate (e-Lignin) | PLA | 3D printing | 2.5 wt.% with e-Lignin | Tensile strength: >60 MPa Young’s modulus: >3 GPa Toughness: >2 MJ/m3 | [108] |
| Kraft lignin and kraft nano-lignin | NA | PLA, L-Lactide | Films | 0.5 wt.% nano-lignin | Hardness: 265 MPa Elastic modulus: 6098 MPa | [109] |
| Alkali lignin | Laccase enzymatic degradation (EL) | PLA | 3D printing | 1.25 wt.% with EL | Tensile strength: >40 MPa Elastic modulus: 2.2 GPa | [110] |
| Soda lignin from Beech sawdust | Steam-explosion pretreatment and modified with PEG | PLA | 3D printing | 10 wt.% PEG-modified lignin | Tensile strength: >60 MPa Elongation at break: >6% Elastic modulus: >3.5 GPa | [111] |
| Commercial lignin | Urethanization of lignin with HDI | PLA | Films | 14 wt.% | Tensile strength: 36.5 MPa Elongation at break: 110% Elastic modulus: 5.56 GPa | [112] |
| Alkali lignin | Etherification | PLA | Composite films | 3 wt.% | Tensile strength: >25 MPa Young’s modulus: 1.3 GPa | [113] |
| Alkali lignin | Fractionation and Dopamine-grafting (OL@DA) | PLA | Composite films | 0.5 wt.% of OL@DA | Tensile strength: >50 MPa Elongation at break: 14% Impact strength: ~16 kJ/m3 | [114] |
| Lignin Type/ Source | Lignin Treatment/Modification Method | Polymer Matrix | Application | Optimal Lignin Details | Reported Key Properties | Ref. |
|---|---|---|---|---|---|---|
| Dealkaline lignin | Microencapsulated in epoxidized soybean oil | Poly(butylene adipate-co-terephthalate) (PBAT), Tannic acid | Films | 1 wt.% | Tensile strength: 7.27 MPa Elongation at break: 439.87% | [120] |
| Alkali lignin | Enzymatic modification/decolorization | Keratin | Films | 50 wt.% of DML | Tensile strength: 14.8 MPa Elongation at break: 23.7% | [121] |
| Alkali lignin | Grafting n-octadecyl isocyanate | Castor oil and 1,12-diaminododecane | Films | 20 wt.% | Tensile strength: 35 MPa Elongation at break: 80% Toughness: >600 J/m3 | [123] |
| Dealkaline lignin | Cyanoethylation | Poly(vinyl alcohol) (PVA) | Films | 1 wt.% | Tensile strength: 31.1 MPa Elongation at break: 218% | [124] |
| Sodium lignin sulfonate | Electrostatic adsorption | Chitosan | Films | 1 wt.% | Endotoxin adsorption efficiency: 87.6% | [125] |
| Lignin from Radiata Pine | Treated with ternary DES to form lignin-containing cellulose nanofibrils (LCNF) | Cellulase | Films | LCNF treated at 130 °C | Tensile strength: 52.0 MPa Elongation at break: 8.4% Tensile modulus: 4.2 GPa | [126] |
| Lignin from Moso bamboo | Pre-hydrolysis and treated with DES | Starch | Films | 2 wt.% | Tensile strength: 48.9 MPa Elastic modulus: 2288.8 MPa | [127] |
| Kraft lignin from Eucalyptus wood | Fractionation with ethyl acetate | Starch | Films | 4 wt.% soluble fraction of lignin | Tensile strength: >14 MPa Elastic modulus: 69.24 MPa | [128] |
| Black liquor lignin from rice straw | Alkylation | Chitosan | Films | 8 wt.% | DPHH scavenging activity: 93.25% | [129] |
| Kraft lignin | Phenolation | Cellulose and PVA | Films | 2 h treated lignin | Tensile strength: >40 MPa Toughness: 55 MJ/m3 | [130] |
| Dealkaline lignin | Amination via Mannich reaction | PVA | Films | 30 wt.% | Tensile strength: 3.6 MPa Elongation at break: 107.8% | [131] |
| Lignin from Masson pine | DES pretreatment (choline chloride and lactic acid) | Cellulose | Films | Treated at 140 °C for 4 h | Tensile Stress: >50 MPa 100% absorption of UVB | [132] |
| Organosolv lignin from potato crop residues | Solvent extraction | Starch | Films | 1 wt.% | Tensile strength: >2 MPa Young’s modulus: 69 MPa | [133] |
| Organosolv lignin | Incorporation of silver-embedded clay | PVA | Films | 5 wt.% | Tensile strength: 28.56 MPa Elongation at break: 59% | [134] |
| Softwood kraft lignin | NA | Poly(caprolactone) (PCL) | 3D-printed dressing material | 10 wt.% | Bacterial adhesion reduction: 96.6% | [135] |
| Enzymatic hydrolysis lignin | Functionalization with Ti3C2Tx | NA | Coating | 33.3 wt.% | Oil–water separation efficiency: >99.5% | [136] |
| Enzymatic hydrolysis lignin | Hydrothermal treatment with Fe3O4 | Polydimethylsiloxane (PDMS) | Coating | 25 wt.% | Oil/organic wastes adsorption capacity: 17.17–24.78 g/g | [137] |
| Industrial lignin | Enzymatic and alkaline treatment | NA | Adhesives and sunscreens | 5 wt.% | DPHH scavenging activity: 76.12% UVA protection | [142] |
| Alkali lignin | DES pretreatment | Furfural | Adhesives/coatings | 33.3 wt.% | Bonding strength: 4.54 MPa | [143] |
| Organosolv lignin | Esterification | Lauryl methacrylate and isobornyl methacrylate | Elastomers and adhesives | 16.5 wt.% | Fracture strength: 6.58 MPa Elongation at break: 337% | [144] |
| Enzymatic lignin | Purification | n-butyl acrylate and acrylic acid | Elastomers and adhesives | 11.8 wt.% | Tensile strength: 14.0 MPa Elongation at break: 510% | [145] |
| Kraft lignin | NA | Sodium alginate and tricalcium phosphate | 3D-printed scaffolds | 33.3 wt.% | Compressive strength: >20 MPa Modulus: 90 MPa | [148] |
| Alkali lignin | NA | Poly(L-lactide-ε-caprolcatone) (PLGA) | Scaffolds | 10 wt.% | Tensile strength: 64.46 MPa Elongation at break: 28.29% | [149] |
| Herbal lignin | NA | Bitumen (asphalt) | Pavement binders | 15 wt.% after aging at 58 °C | Complex shear modulus: 7432 Pa Rutting factor: >2.2 kPa | [150] |
| Kraft lignin from softwood | NA | Bitumen | Pavement binders | 10 wt.% after aging at 58 °C | Complex shear modulus increased by 51% Rutting factor: 3.22 kPa | [151] |
| Kraft lignin | Amination | Natural/butadiene rubber | Elastomers/tires | 2 phr | Tensile stress: 20 MPa Improved antioxidant and ozone aging resistance | [153] |
| Lignin derivatives | Esterification | Methacrylate | Coating | NA | Broad Tg range: 80–160 °C | [154] |
| Commercial grade kraft lignin | Depolymerization using ultrasound irradiation | Natural rubber and polyacrylamide | Triboelectric nanogenerators | 40 wt.% | Power density: 1411 mW/m2 | [156] |
| Commercial lignin | NA | Styrene-butadiene rubber | Tire treads | 10 wt.% | Tensile strength: 14.7 MPa Elongation at break: 604% | [157] |
| Soda lignin | Amination | Natural rubber | Fillers in tires | ~32 wt.% | Tensile strength: 23.7 MPa Elongation at break: 565% | [158] |
| Hardwood kraft lignin | NA | Carboxylated nitrile rubber | Fillers in rubbers | 40 phr | Shore A hardness: 77 HA Tear strength: 64 kN/m Tensile strength: 16.5 MPa Elongation at break: 434% | [159] |
Disclaimer/Publisher’s Note: The statements, opinions and data contained in all publications are solely those of the individual author(s) and contributor(s) and not of MDPI and/or the editor(s). MDPI and/or the editor(s) disclaim responsibility for any injury to people or property resulting from any ideas, methods, instructions or products referred to in the content. |
© 2025 by the authors. Licensee MDPI, Basel, Switzerland. This article is an open access article distributed under the terms and conditions of the Creative Commons Attribution (CC BY) license (https://creativecommons.org/licenses/by/4.0/).
Share and Cite
Kapuge Dona, N.L.; Smith, R.C. Tailoring Polymer Properties Through Lignin Addition: A Recent Perspective on Lignin-Derived Polymer Modifications. Molecules 2025, 30, 2455. https://doi.org/10.3390/molecules30112455
Kapuge Dona NL, Smith RC. Tailoring Polymer Properties Through Lignin Addition: A Recent Perspective on Lignin-Derived Polymer Modifications. Molecules. 2025; 30(11):2455. https://doi.org/10.3390/molecules30112455
Chicago/Turabian StyleKapuge Dona, Nawoda L., and Rhett C. Smith. 2025. "Tailoring Polymer Properties Through Lignin Addition: A Recent Perspective on Lignin-Derived Polymer Modifications" Molecules 30, no. 11: 2455. https://doi.org/10.3390/molecules30112455
APA StyleKapuge Dona, N. L., & Smith, R. C. (2025). Tailoring Polymer Properties Through Lignin Addition: A Recent Perspective on Lignin-Derived Polymer Modifications. Molecules, 30(11), 2455. https://doi.org/10.3390/molecules30112455

