Facile Recycling of Waste Biomass for Preparation of Hierarchical Porous Carbon with High-Performance Electromagnetic Wave Absorption
Abstract
1. Introduction
2. Results
2.1. Preparation of Hierarchical Pore XSS Biomass Carbon
2.2. Characterization of Hierarchical Pore
2.3. Characterization of XSS Biomass Carbon
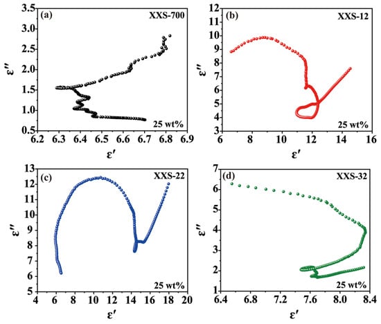
2.4. EMW Absorption
2.5. Mechanism of EMW Adsorption
3. Materials and Methods
3.1. Reagents and Materials
3.2. Preparation of XSS Biomass Carbon and EMW Absorber
3.3. Characterization and EMW Analysis
4. Conclusions
Author Contributions
Funding
Institutional Review Board Statement
Informed Consent Statement
Data Availability Statement
Conflicts of Interest
References
- Shi, Q.; Zhao, Y.; Li, M.; Li, B.; Hu, Z. 3D lamellar skeletal network of porous carbon derived from hull of water chestnut with excellent microwave absorption properties. J. Colloid Interface Sci. 2023, 641, 449–458. [Google Scholar] [CrossRef] [PubMed]
- Sun, J.; Chen, J.; Ge, H.; Sun, H.; Yang, Y.; Zhang, Y. Biomass-derived carbon decorated with Ni0.5Co0.5Fe2O4 particles towards excellent microwave absorption performance. Compos. Part A Appl. Sci. Manuf. 2022, 156, 106850. [Google Scholar] [CrossRef]
- Zhao, H.; Jin, C.; Lu, P.; Xiao, Z.; Cheng, Y. Biomass-derived ultralight superior microwave absorber towards X and Ku bands. J. Colloid Interface Sci. 2022, 626, 13–22. [Google Scholar] [CrossRef] [PubMed]
- Wang, B.; Wu, Q.; Fu, Y.; Liu, T. A review on carbon/magnetic metal composites for microwave absorption. J. Mater. Sci. Technol. 2021, 86, 91–109. [Google Scholar] [CrossRef]
- Fang, X.; Li, W.; Chen, X.; Wu, Z.; Zhang, Z.; Zou, Y. Controlling the microstructure of biomass-derived porous carbon to assemble structural absorber for broadening bandwidth. Carbon 2022, 198, 70–79. [Google Scholar] [CrossRef]
- Lin, X.; Hong, J.; Wang, C.-C.; Su, M.; Zhou, S.-F. CoZnO/C@BCN nanocomposites derived from bimetallic hybrid ZIFs for enhanced electromagnetic wave absorption. J. Mater. Chem. A 2023, 11, 17737–17747. [Google Scholar] [CrossRef]
- Lin, X.; Zhou, Y.; Hong, J.; Wei, X.; Liu, B.; Wang, C.C. Facile preparation of ZIF-8/ZIF-67-derived biomass carbon composites for highly efficient electromagnetic wave absorption. Chinese Chem. Lett. 2024. [Google Scholar] [CrossRef]
- Wang, F.; Gao, Y.; Fu, H. Almost 100% electron transfer regime over Fe-Co dual-atom catalyst toward pollutants removal: Regulation of peroxymonosulfate adsorption mode. Appl. Catal. B-Environ. Energy 2023, 339, 123178. [Google Scholar] [CrossRef]
- Wang, Y.; Di, X.; Lu, Z.; Wu, X. Rational construction of hierarchical Co@C@NPC nanocomposites derived from bimetallic hybrid ZIFs/biomass for boosting the microwave absorption. J. Colloid Interface Sci. 2021, 589, 462–471. [Google Scholar] [CrossRef]
- Zhou, M.; Gu, W.; Wang, G.; Zheng, J.; Pei, C.; Fan, F.; Ji, G. Sustainable wood-based composites for microwave absorption and electromagnetic interference shielding. J. Mater. Chem. A 2020, 8, 24267–24283. [Google Scholar] [CrossRef]
- Xie, F.; Zhang, Y.; Meng, R.; Zhang, T.; Gong, X. Bio-carbon/FexOy composite materials with a wideband electromagnetic wave absorption. J. Mater. Sci. Mater. Electron. 2021, 32, 20856–20866. [Google Scholar] [CrossRef]
- Wang, H.; Zhang, Y.; Wang, Q.; Jia, C.; Cai, P.; Chen, G.; Dong, C.; Guan, H. Biomass carbon derived from pine nut shells decorated with NiO nanoflakes for enhanced microwave absorption properties. RSC Adv. 2019, 9, 9126–9135. [Google Scholar] [CrossRef] [PubMed]
- Liu, J.; Wang, G.; Liu, C.; Tong, Y.; Liu, C.; Sun, H.; Wu, S.; Zhao, Y.; Guo, X.; Feng, Y. Novel lightweight and efficient electromagnetic waves absorbing performance of biomass porous carbon/polymer-derived composite ceramics. Ceram. Int. Part A 2023, 49, 13742–13751. [Google Scholar] [CrossRef]
- Li, T.; Zhi, D.-D.; Guo, Z.-H.; Li, J.-Z.; Chen, Y.; Meng, F.-B. 3D porous biomass-derived carbon materials: Biomass sources, controllable transformation and microwave absorption application. Green. Chem. 2022, 24, 647–674. [Google Scholar] [CrossRef]
- Tian, Y.; Estevez, D.; Wei, H.; Peng, M.; Zhou, L.; Xu, P.; Wu, C.; Yan, M.; Wang, H.; Peng, H.-X.; et al. Chitosan-derived carbon aerogels with multiscale features for efficient microwave absorption. Chem. Eng. J. 2021, 421, 129781. [Google Scholar] [CrossRef]
- Qiang, R.; Feng, S.; Chen, Y.; Ma, Q.; Chen, B. Recent progress in biomass-derived carbonaceous composites for enhanced microwave absorption. J. Colloid Interface Sci. 2022, 606, 406–423. [Google Scholar] [CrossRef]
- Zhou, X.; Jia, Z.; Feng, A.; Wang, K.; Liu, X.; Chen, L.; Cao, H.; Wu, G. Dependency of tunable electromagnetic wave absorption performance on morphology-controlled 3D porous carbon fabricated by biomass. Compos. Commun. 2020, 21, 100404. [Google Scholar] [CrossRef]
- Qiu, X.; Wang, L.; Zhu, H.; Guan, Y.; Zhang, Q. Lightweight and efficient microwave absorbing materials based on walnut shell-derived nano-porous carbon. Nanoscale 2017, 9, 7408–7418. [Google Scholar] [CrossRef]
- Li, Z.; Lin, H.; Wu, S.; Su, X.; Wang, T.; Zhao, W.; Jiang, Y.; Ling, H.; Meng, A.; Zhang, M. Rice husk derived porous carbon embedded with Co3Fe7 nanoparticles towards microwave absorption. Compos. Sci. Technol. 2022, 229, 109673. [Google Scholar] [CrossRef]
- Hassan, M.; Liu, Y.; Naidu, R.; Parikh, S.J.; Du, J.; Qi, F.; Willett, I.R. Influences of feedstock sources and pyrolysis temperature on the properties of biochar and functionality as adsorbents: A meta-analysis. Sci. Total Environ. 2020, 744, 140714. [Google Scholar] [CrossRef]
- Hassan, M.; Naidu, R.; Du, J.; Liu, Y.; Qi, F. Critical review of magnetic biosorbents: Their preparation, application, and regeneration for wastewater treatment. Sci. Total Environ. 2020, 702, 134893. [Google Scholar] [CrossRef] [PubMed]
- Zeng, Z.; Jin, H.; Chen, M.; Li, W.; Zhou, L.; Xue, X.; Zhang, Z. Microstructure design of lightweight, flexible, and high electromagnetic shielding porous multiwalled carbon nanotube/polymer composites. Small 2017, 13, 1701388. [Google Scholar] [CrossRef]
- Singh, S.K.; Prakash, H.; Akhtar, M.J.; Kar, K.K. Lightweight and high-performance microwave absorbing heteroatom-doped carbon derived from chicken feather fibers. ACS Sustain. Chem. Eng. 2018, 6, 5381–5393. [Google Scholar] [CrossRef]
- Wu, S.; Fu, H.; Hu, X.; Ding, C.; Yan, X.; Gu, H.; Ren, X.; Zhang, H.; Wen, G.; Huang, X. High aspect-ratio sycamore biomass microtube constructed permittivity adjustable ultralight microwave absorbent. J. Colloid Interface Sci. 2022, 622, 719–727. [Google Scholar] [CrossRef]
- Xi, J.; Zhou, E.; Liu, Y.; Gao, W.; Ying, J.; Chen, Z.; Gao, C. Wood-based straightway channel structure for high performance microwave absorption. Carbon 2017, 124, 492–498. [Google Scholar] [CrossRef]
- Zhou, P.; Wang, X.; Wang, L.; Zhang, J.; Song, Z.; Qiu, X.; Yu, M.; Zhang, Q. Walnut shell-derived nanoporous carbon@Fe3O4 composites for outstanding microwave absorption performance. J. Alloys Compd. 2019, 805, 1071–1080. [Google Scholar] [CrossRef]
- Fu, J.; Yang, W.; Hou, L.; Chen, Z.; Qu, T.; Yang, H.; Li, Y. Enhanced electromagnetic microwave absorption performance of lightweight bowl-like carbon nanoparticles. Ind. Eng. Chem. Res. 2017, 56, 11460–11466. [Google Scholar] [CrossRef]
- Zhou, X.; Jia, Z.; Feng, A.; Wang, X.; Liu, J.; Zhang, M.; Cao, H.; Wu, G. Synthesis of fish skin-derived 3D carbon foams with broadened bandwidth and excellent electromagnetic wave absorption performance. Carbon 2019, 152, 827–836. [Google Scholar] [CrossRef]
- Guo, L.; Gao, S.-S.; An, Q.-D.; Xiao, Z.-Y.; Zhai, S.-R.; Yang, D.-J.; Cui, L. Dopamine-derived cavities/Fe3O4 nanoparticles-encapsulated carbonaceous composites with self-generated three-dimensional network structure as an excellent microwave absorber. RSC. Adv. 2019, 9, 766–780. [Google Scholar] [CrossRef]
- Meng, F.; Wang, H.; Huang, F.; Guo, Y.; Wang, Z.; Hui, D.; Zhou, Z. Graphene-based microwave absorbing composites: A review and prospective. Compos. Part B-Eng. 2018, 137, 260–277. [Google Scholar] [CrossRef]
- Wang, J.; Li, J.; Guo, Y.; Tian, W.; Liu, Y.; Wu, B.; Deng, L.; Mahmood, N.; Jian, X. Polymer-based nanocomposites: Role of interface for effective microwave absorption. Mater. Today. Phys. 2023, 31, 100981. [Google Scholar] [CrossRef]
- Zhao, H.; Cheng, Y.; Ma, J.; Zhang, Y.; Ji, G.; Du, Y. A sustainable route from biomass cotton to construct lightweight and high-performance microwave absorber. Chem. Eng. J. 2018, 339, 432–444. [Google Scholar] [CrossRef]
- Yin, X.; Kong, L.; Zhang, L.; Cheng, L.; Travitzky, N.; Greil, P. Electromagnetic properties of Si–C–N based ceramics and composites. Int. Mater. Rev. 2014, 59, 326–355. [Google Scholar] [CrossRef]
- Liang, X.; Quan, B.; Ji, G.; Liu, W.; Zhao, H.; Dai, S.; Lv, J.; Du, Y. Tunable dielectric performance derived from the metal–organic framework/reduced graphene oxide hybrid with broadband absorption. ACS Sustain. Chem. Eng. 2017, 5, 10570–10579. [Google Scholar] [CrossRef]
- Liang, X.; Wang, G.; Gu, W.; Ji, G. Prussian blue analogue derived carbon-based composites toward lightweight microwave absorption. Carbon 2021, 177, 97–106. [Google Scholar] [CrossRef]
- Zhang, F.; Cui, W.; Wang, B.; Xu, B.; Liu, X.; Liu, X.; Jia, Z.; Wu, G. Morphology-control synthesis of polyaniline decorative porous carbon with remarkable electromagnetic wave absorption capabilities. Compos. Part. B-Eng. 2021, 204, 108491. [Google Scholar] [CrossRef]
- Mallesh, S.; Jang, W.; Kim, K.H. Facile synthesis of cube-like Fe3O4-graphene oxide nanocomposites with excellent microwave absorption performance. Phys. Lett. A 2021, 389, 127069. [Google Scholar] [CrossRef]
- Guan, H.; Wang, H.; Zhang, Y.; Dong, C.; Chen, G.; Wang, Y.; Xie, J. Microwave absorption performance of Ni(OH)2 decorating biomass carbon composites from Jackfruit peel. Appl. Surf. Sci. 2018, 447, 261–268. [Google Scholar] [CrossRef]
- Wang, L.; Guan, H.; Hu, J.; Huang, Q.; Dong, C.; Qian, W.; Wang, Y. Jute-based porous biomass carbon composited by Fe3O4 nanoparticles as an excellent microwave absorber. J. Alloys Compd. 2019, 803, 1119–1126. [Google Scholar] [CrossRef]
- Gou, G.; Meng, F.; Wang, H.; Jiang, M.; Wei, W.; Zhou, Z. Wheat straw-derived magnetic carbon foams: In-situ preparation and tunable high-performance microwave absorption. Nano Res. 2019, 12, 1423–1429. [Google Scholar] [CrossRef]
- Yang, Q.; Shi, Y.; Fang, Y.; Dong, Y.; Ni, Q.; Zhu, Y.; Fu, Y. Construction of polyaniline aligned on magnetic functionalized biomass carbon giving excellent microwave absorption properties. Compo. Sci. Technol. 2019, 174, 176–183. [Google Scholar] [CrossRef]
- Wu, Z.; Tian, K.; Huang, T.; Hu, W.; Xie, F.; Wang, J.; Su, M.; Li, L. Hierarchically Porous Carbons Derived from Biomasses with Excellent Microwave Absorption Performance. ACS Appl. Mater. Interfaces 2018, 10, 11108–11115. [Google Scholar] [CrossRef] [PubMed]








| Sample | SBET [m2/g] | Pore Volume [cm3/g] | Pore Size [nm] |
|---|---|---|---|
| XSS-12 | 713.50 | 0.39 | 2.20 |
| XSS-22 | 574.35 | 0.31 | 2.17 |
| XSS-32 | 561.25 | 0.29 | 2.06 |
| Sample | Filler Loading [wt%] | Thickness [mm] | RLmin [dB] | EAB [GHz] | Refs |
|---|---|---|---|---|---|
| Walnut shell | 70 | 2.0 | −42.4 | 2.2 | [26] |
| Cotton | 25 | 1.65 | −51.2 | 4.4 | [32] |
| Fe3O4/rGO | 50 | 1.5 | −30.0 | 4.0 | [36] |
| Ni(OH)2/AC | 50 | 6 | −23.6 | 2 | [38] |
| Fe3O4/PJBC | 50 | 4 | −39.5 | 5 | [39] |
| Wheat straw | 30 | 4.7 | −43.6 | 3.3 | [40] |
| Loofah sponge | 30 | 2.7 | −44.8 | 4.69 | [41] |
| Spinach stem | 30 | 2.7 | −62.2 | 7.3 | [42] |
| XSS-700 | 25 | 1.9 | −14.1 | 1.52 | This work |
| XSS-12 | 25 | 2.6 | −38.9 | 3.28 | This work |
| XSS-22 | 25 | 1.4 | −19.7 | 2.32 | This work |
| XSS-32 | 25 | 1.8 | −37.9 | 2.8 | This work |
| XSS-700 | 30 | 1.8 | −28.9 | 3.76 | This work |
| XSS-12 | 30 | 1.2 | −18.1 | 3.2 | This work |
| XSS-22 | 30 | 1.1 | −12.9 | 2.4 | This work |
| XSS-32 | 30 | 1.8 | −38.2 | 3.92 | This work |
Disclaimer/Publisher’s Note: The statements, opinions and data contained in all publications are solely those of the individual author(s) and contributor(s) and not of MDPI and/or the editor(s). MDPI and/or the editor(s) disclaim responsibility for any injury to people or property resulting from any ideas, methods, instructions or products referred to in the content. |
© 2024 by the authors. Licensee MDPI, Basel, Switzerland. This article is an open access article distributed under the terms and conditions of the Creative Commons Attribution (CC BY) license (https://creativecommons.org/licenses/by/4.0/).
Share and Cite
Zhou, Y.; He, J.; Hong, J.; Xie, H.; Lin, X. Facile Recycling of Waste Biomass for Preparation of Hierarchical Porous Carbon with High-Performance Electromagnetic Wave Absorption. Molecules 2024, 29, 2455. https://doi.org/10.3390/molecules29112455
Zhou Y, He J, Hong J, Xie H, Lin X. Facile Recycling of Waste Biomass for Preparation of Hierarchical Porous Carbon with High-Performance Electromagnetic Wave Absorption. Molecules. 2024; 29(11):2455. https://doi.org/10.3390/molecules29112455
Chicago/Turabian StyleZhou, Yihui, Jingjing He, Jiafu Hong, Haihe Xie, and Xuexia Lin. 2024. "Facile Recycling of Waste Biomass for Preparation of Hierarchical Porous Carbon with High-Performance Electromagnetic Wave Absorption" Molecules 29, no. 11: 2455. https://doi.org/10.3390/molecules29112455
APA StyleZhou, Y., He, J., Hong, J., Xie, H., & Lin, X. (2024). Facile Recycling of Waste Biomass for Preparation of Hierarchical Porous Carbon with High-Performance Electromagnetic Wave Absorption. Molecules, 29(11), 2455. https://doi.org/10.3390/molecules29112455

