Binderless Faujasite Beads with Hierarchical Porosity for Selective CO2 Adsorption for Biogas Upgrading
Abstract
1. Introduction
2. Results and Discussion
2.1. Synthesis and Characterization of the Zeolitic Beads
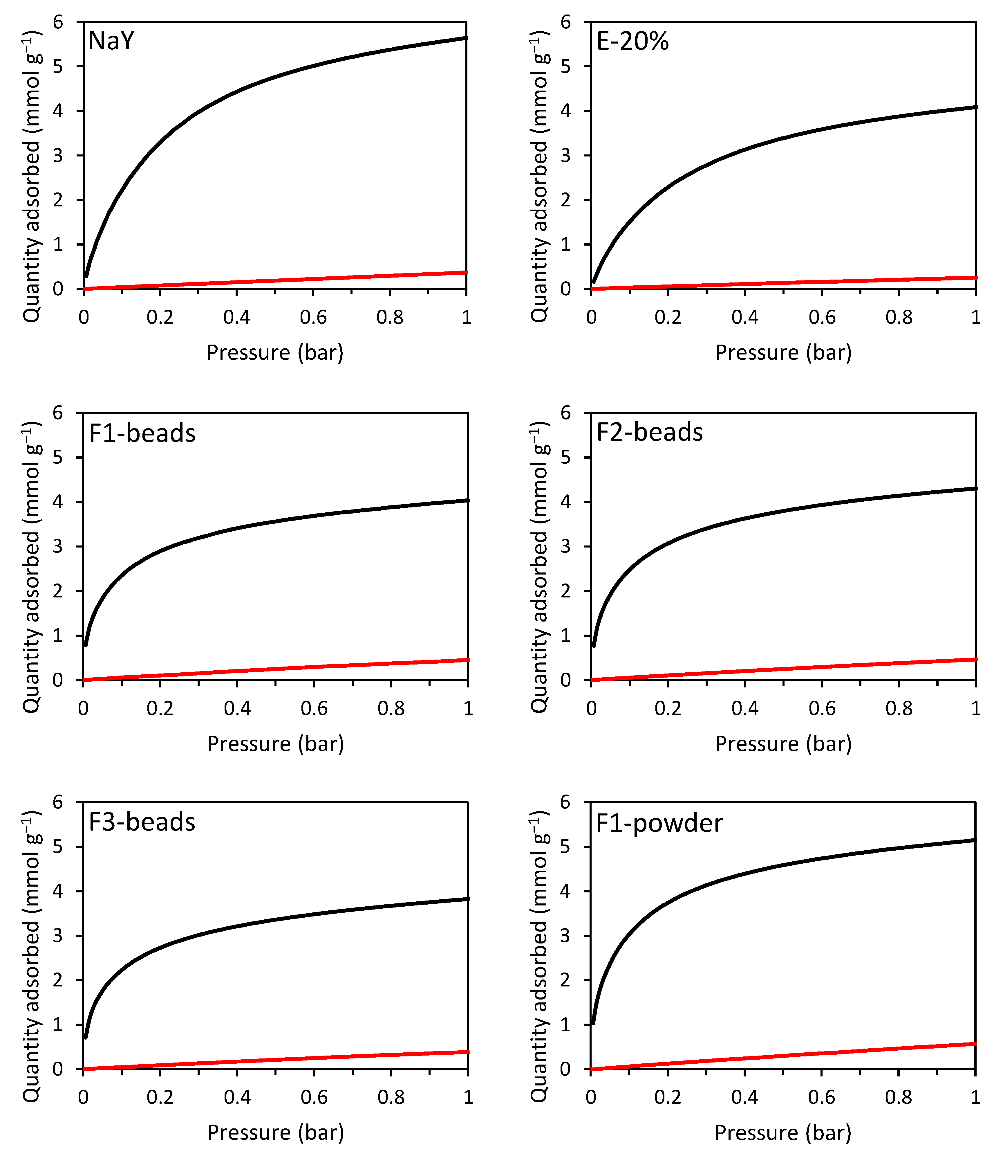
2.2. Application of the Zeolitic Beads for CO2 Adsorption
3. Materials and Methods
3.1. Materials
3.2. Synthesis of the Zeolitic Beads
3.3. Extrudates from Commercial Zeolite Y Powder
3.4. Characterization
4. Conclusions
Supplementary Materials
Author Contributions
Funding
Institutional Review Board Statement
Informed Consent Statement
Data Availability Statement
Acknowledgments
Conflicts of Interest
Sample Availability
References
- Ullah Khan, I.; Hafiz Dzarfan Othman, M.; Hashim, H.; Matsuura, T.; Ismail, A.F.; Rezaei-DashtArzhandi, M.; Wan Azelee, I. Biogas as a Renewable Energy Fuel—A Review of Biogas Upgrading, Utilisation and Storage. Energy Convers. Manag. 2017, 150, 277–294. [Google Scholar] [CrossRef]
- Petersson, A.; Wellinger, A. Biogas Upgrading Technologies—Developements and Innovations. IEA Bioenergy 2009, 20, 1–19. [Google Scholar]
- Angelidaki, I.; Treu, L.; Tsapekos, P.; Luo, G.; Campanaro, S.; Wenzel, H.; Kougias, P.G. Biogas Upgrading and Utilization: Current Status and Perspectives. Biotechnol. Adv. 2018, 36, 452–466. [Google Scholar] [CrossRef] [PubMed]
- Myhre, G.; Shindell, D.; Bréon, F.-M.; Collins, W.; Fuglestvedt, J.; Huang, J.; Koch, D.; Lamaruqe, J.-F.; Lee, D.; Mendoza, B.; et al. Anthropogenic and Natural Radiative Forcing. In Climate Change 2013: The Physical Science Basis. Contribution of Working Group I to the Fifth Assessment Report of the Intergovernmental Panel on Climate Change; Stocker, T.F., Qin, D., Plattner, G.-K., Tignor, M., Allen, S.K., Boschung, J., Nauels, A., Xia, Y., Bex, V., Midgley, P.M., Eds.; Cambridge University Press: Cambridge, UK; New York, NY, USA, 2013. [Google Scholar]
- Harrison, D.P. The Role of Solids in CO2 Capture: A Mini Review. Greenh. Gas Control Technol. 7 2005, 11, 1101–1106. [Google Scholar]
- Ho, M.T.; Allinson, G.W.; Wiley, D.E. Reducing the Cost of CO2 Capture from Flue Gases Using Pressure Swing Adsorption. Ind. Eng. Chem. Res. 2008, 47, 4883–4890. [Google Scholar] [CrossRef]
- Samanta, A.; Zhao, A.; Shimizu, G.K.H.; Sarkar, P.; Gupta, R. Post-Combustion CO2 Capture Using Solid Sorbents: A Review. Ind. Eng. Chem. Res. 2012, 51, 1438–1463. [Google Scholar] [CrossRef]
- Bae, T.H.; Hudson, M.R.; Mason, J.A.; Queen, W.L.; Dutton, J.J.; Sumida, K.; Micklash, K.J.; Kaye, S.S.; Brown, C.M.; Long, J.R. Evaluation of Cation-Exchanged Zeolite Adsorbents for Post-Combustion Carbon Dioxide Capture. Energy Environ. Sci. 2013, 6, 128–138. [Google Scholar] [CrossRef]
- Baerlocher, C.; McCusker, L.B. Database of Zeolite Structures. Available online: http://www.iza-structure.org/databases/ (accessed on 4 April 2022).
- Rouquerol, F.; Rouquerol, J.; Sing, K. Chapter 11—Adsorption by Clays, Pillared Layer Structures and Zeolites. In Adsorption by Powders and Porous Solids; Rouquerol, F., Rouquerol, J., Sing, K., Eds.; Academic Press: Cambridge, MA, USA, 1999; pp. 355–399. ISBN 9780125989206. [Google Scholar]
- Boer, D.G.; Langerak, J.; Pescarmona, P.P. Zeolites for CO2 Adsorption. ACS Appl. Energy Mater. 2023, in press. [Google Scholar] [CrossRef]
- Silva, J.A.C.; Schumann, K.; Rodrigues, A.E. Sorption and Kinetics of CO2 and CH4 in Binderless Beads of 13X Zeolite. Microporous Mesoporous Mater. 2012, 158, 219–228. [Google Scholar] [CrossRef]
- Akhtar, F.; Andersson, L.; Ogunwumi, S.; Hedin, N.; Bergström, L. Structuring Adsorbents and Catalysts by Processing of Porous Powders. J. Eur. Ceram. Soc. 2014, 34, 1643–1666. [Google Scholar] [CrossRef]
- Schumann, K.; Unger, B.; Brandt, A.; Scheffler, F. Investigation on the Pore Structure of Binderless Zeolite 13× Shapes. Microporous Mesoporous Mater. 2012, 154, 119–123. [Google Scholar] [CrossRef]
- Tosheva, L.; Valtchev, V.; Sterte, J. Silicalite-1 Containing Microspheres Prepared Using Shape-Directing Macro-Templates. Microporous Mesoporous Mater. 2000, 35–36, 621–629. [Google Scholar] [CrossRef]
- Tosheva, L.; Mihailova, B.; Valtchev, V.; Sterte, J. Zeolite Beta Spheres. Microporous Mesoporous Mater. 2001, 48, 31–37. [Google Scholar] [CrossRef]
- Tosheva, L.; Sterte, J. ZSM-5 Spheres Prepared by Resin Templating. Stud. Surf. Sci. Catal. 2002, 142, 183–190. [Google Scholar]
- Lin, K.; Lebedev, O.I.; Vana Tendeloo, G.; Jacobs, P.A.; Pescarmona, P.P. Titanosilicate Beads with Hierarchical Porosity: Synthesis and Application as Epoxidation Catalysts. Chem.-A Eur. J. 2010, 16, 13509–13518. [Google Scholar] [CrossRef] [PubMed]
- Lin, K.; Li, L.; Sels, B.F.; Jacobs, P.A.; Pescarmona, P.P. Titanosilicate Beads as Versatile Catalysts for the Conversion of Trioses to Lactates and for the Epoxidation of Alkenes. Catal. Today 2011, 173, 89–94. [Google Scholar] [CrossRef]
- Cheng, W.; Jiang, Y.; Xu, X.; Wang, Y.; Lin, K.; Pescarmona, P.P. Easily Recoverable Titanosilicate Zeolite Beads with Hierarchical Porosity: Preparation and Application as Oxidation Catalysts. J. Catal. 2016, 333, 139–148. [Google Scholar] [CrossRef]
- Yang, X.; Jiang, Y.; Li, Y.; Xu, X.; Li, D.; Lin, K. Mesoporous Silica Beads Containing Active and Stable Tin Species for the Baeyer-Villiger Oxidations of Cyclic Ketones. Microporous Mesoporous Mater. 2017, 253, 40–48. [Google Scholar] [CrossRef]
- Asgar Pour, Z.; Koelewijn, R.; El Hariri El Nokab, M.; Van der Wel, P.C.A.; Sebakhy, K.O.; Pescarmona, P.P. Binder-free Zeolite Beta Beads with Hierarchical Porosity: Synthesis and Application as Heterogeneous Catalysts for Anisole Acylation. ChemCatChem 2022, 14, e202200518. [Google Scholar] [CrossRef]
- Yu, L.; Gong, J.; Zeng, C.; Zhang, L. Synthesis of Binderless Zeolite X Microspheres and Their CO2 Adsorption Properties. Sep. Purif. Technol. 2013, 118, 188–195. [Google Scholar] [CrossRef]
- Karami, D.; Mahinpey, N. The Synthesis of Novel Zeolite Y Nanoparticles Using Mesoporous Silica with a Temperature Controlling Method. Can. J. Chem. Eng. 2014, 92, 671–675. [Google Scholar] [CrossRef]
- Boer, D.G.; Langerak, J.; Bakker, B.; Pescarmona, P.P. Binderless Zeolite LTA Beads with Hierarchical Porosity for Selective CO2 Adsorption in Biogas Upgrading. Microporous Mesoporous Mater. 2022, 344, 112208. [Google Scholar] [CrossRef]
- Brouwer, P. Theory of XRF, 3rd ed.; PANalytical B.V.: Almelo, The Netherlands, 2010; ISBN 90-9016758-7. [Google Scholar]
- Palomino, M.; Corma, A.; Rey, F.; Valencia, S. New Insights on CO2-Methane Separation Using LTA Zeolites with Different Si/Al Ratios and a First Comparison with MOFs. Langmuir 2010, 26, 1910–1917. [Google Scholar] [CrossRef] [PubMed]
- Asgar Pour, Z.; Boer, D.G.; Fang, S.; Tang, Z.; Pescarmona, P.P. Bimetallic Zeolite Beta Beads with Hierarchical Porosity as Brønsted-Lewis Solid Acid Catalysts for the Synthesis of Methyl Lactate. Catalysts 2021, 11, 1346. [Google Scholar] [CrossRef]
- Rodionova, L.I.; Knyazeva, E.E.; Konnov, S.V.; Ivanova, I.I. Application of Nanosized Zeolites in Petroleum Chemistry: Synthesis and Catalytic Properties (Review). Pet. Chem. 2019, 59, 455–470. [Google Scholar] [CrossRef]
- Kalhor, M.; Banibairami, S.; Mirshokraie, S.A. Ni@zeolite-Y Nanoporous; a Valuable and Efficient Nanocatalyst for the Synthesis of N-Benzimidazole-1,3-Thiazolidinones. Green Chem. Lett. Rev. 2018, 11, 334–344. [Google Scholar] [CrossRef]
- Choo, M.Y.; Juan, J.C.; Oi, L.E.; Ling, T.C.; Ng, E.P.; Rahman Noorsaadah, A.; Centi, G.; Lee, K.T. The Role of Nanosized Zeolite Y in the H2 -Free Catalytic Deoxygenation of Triolein. Catal. Sci. Technol. 2019, 9, 772–782. [Google Scholar] [CrossRef]
- Wynnyk, K.G.; Hojjati, B.; Marriott, R.A. High-Pressure Sour Gas and Water Adsorption on Zeolite 13X. Ind. Eng. Chem. Res. 2018, 57, 15357–15365. [Google Scholar] [CrossRef]
- Pirngruber, G.D.; Raybaud, P.; Belmabkhout, Y.; Čejka, J.; Zukal, A. The Role of the Extra-Framework Cations in the Adsorption of CO2 on Faujasite Y. Phys. Chem. Chem. Phys. 2010, 12, 13534–13546. [Google Scholar] [CrossRef]
- Maurin, G.; Llewellyn, P.L.; Bell, R.G. Adsorption Mechanism of Carbon Dioxide in Faujasites: Grand Canonical Monte Carlo Simulations and Microcalorimetry Measurements. J. Phys. Chem. B 2005, 109, 16084–16091. [Google Scholar] [CrossRef]
- Maurin, G.; Belmabkhout, Y.; Pirngruber, G.; Gaberova, L.; Llewellyn, P. CO2 Adsorption in LiY and NaY at High Temperature: Molecular Simulations Compared to Experiments. Adsorption 2007, 13, 453–460. [Google Scholar] [CrossRef]
- Wong-Ng, W.; Kaduk, J.A.; Huang, Q.; Espinal, L.; Li, L.; Burress, J.W. Investigation of NaY Zeolite with Adsorbed CO2 by Neutron Powder Diffraction. Microporous Mesoporous Mater. 2013, 172, 95–104. [Google Scholar] [CrossRef]
- Yang, K.; Yang, G.; Wu, J. Quantitatively Understanding the Insights into CO2 Adsorption on Faujasite from the Heterogeneity and Occupancy Sequence of Adsorption Sites. J. Phys. Chem. C 2021, 125, 15676–15686. [Google Scholar] [CrossRef]
- Dabbawala, A.A.; Ismail, I.; Vaithilingam, B.V.; Polychronopoulou, K.; Singaravel, G.; Morin, S.; Berthod, M.; Al Wahedi, Y. Synthesis of Hierarchical Porous Zeolite-Y for Enhanced CO2 Capture. Microporous Mesoporous Mater. 2020, 303, 110261. [Google Scholar] [CrossRef]
- Walton, K.S.; Abney, M.B.; LeVan, M.D. CO2 Adsorption in Y and X Zeolites Modified by Alkali Metal Cation Exchange. Microporous Mesoporous Mater. 2006, 91, 78–84. [Google Scholar] [CrossRef]
- Zukal, A.; Arean, C.O.; Delgado, M.R.; Nachtigall, P.; Pulido, A.; Mayerová, J.; Čejka, J. Combined Volumetric, Infrared Spectroscopic and Theoretical Investigation of CO2 Adsorption on Na-A Zeolite. Microporous Mesoporous Mater. 2011, 146, 97–105. [Google Scholar] [CrossRef]
- Gibson, J.A.A.; Mangano, E.; Shiko, E.; Greenaway, A.G.; Gromov, A.V.; Lozinska, M.M.; Friedrich, D.; Campbell, E.E.B.; Wright, P.A.; Brandani, S. Adsorption Materials and Processes for Carbon Capture from Gas-Fired Power Plants: AMPGas. Ind. Eng. Chem. Res. 2016, 55, 3840–3851. [Google Scholar] [CrossRef]
- Foster, M.D.; Rivin, I.; Treacy, M.M.J.; Friedrichs, O.D. A Geometric Solution to the Largest-Free-Sphere Problem in Zeolite Frameworks. Microporous Mesoporous Mater. 2006, 90, 32–38. [Google Scholar] [CrossRef]
- Nuhnen, A.; Janiak, C. A Practical Guide to Calculate the Isosteric Heat/Enthalpy of Adsorption: Via Adsorption Isotherms in Metal-Organic Frameworks, MOFs. Dalt. Trans. 2020, 49, 10295–10307. [Google Scholar] [CrossRef]






| Sample | Yield Beads (g) | Yield Powder (g) | Bead Diameter (mm) | Crystalline Phase(s) in the Beads | Degree of Crystallinity of the Beads (%) | Crystalline Phase in the Powder Side-Product |
|---|---|---|---|---|---|---|
| F1 | 0.22 | 2.73 | 0.59 ± 0.15 | FAU | 63 | FAU |
| F2 | 0.21 | 2.72 | 0.59 ± 0.17 | FAU + trace LTA | 67 | FAU |
| F3 | 0.19 | 2.97 | 0.50 ± 0.12 | FAU + LTA | 52 | FAU |
| Sample | BET Surface Area (m2 g−1) | T-Plot Micropore Volume (cm3 g−1) | BJH Pore Volume (cm3 g−1) | Si/Al Ratio | Na/Al Ratio | Na-Content (mol gmaterial−1) |
|---|---|---|---|---|---|---|
| F1-beads | 614 | 0.19 | 0.41 | 2.4 ± 0.006 | 0.83 ± 0.01 | 0.183 ± 0.003 |
| F2-beads | 539 | 0.20 | 0.30 | 2.1 ± 0.084 | 0.71 ± 0.01 | 0.173 ± 0.001 |
| F3-beads | 550 | 0.18 | 0.37 | 2.5 ± 0.163 | 0.75 ± 0.09 | 0.162 ± 0.011 |
| Commercial NaY | 824 | 0.36 | 0.07 | 2.8 ± 0.048 | 0.92 ± 0.07 | 0.185 ± 0.014 |
| E-20% | 521 | 0.24 | 0.08 | 2.2 ± 0.056 | - | - |
| F1-pow | 639 | 0.26 | 0.54 | 1.5 ± 0.001 | 0.81 ± 0.03 | 0.244 ± 0.008 |
| Sample | CO2 Adsorption (mmol g−1) | CH4 Adsorption (mmol g−1) | CO2/CH4 Selectivity a | ||
|---|---|---|---|---|---|
| at 1 bar CO2 | at 0.4 bar CO2 | at 1 bar CH4 | at 0.6 bar CH4 | ||
| NaY | 5.64 | 4.46 | 0.41 | 0.23 | 29.3 |
| E-20% | 4.09 | 3.16 | 0.24 | 0.16 | 28.8 |
| F1-beads | 4.04 | 3.42 | 0.45 | 0.30 | 17.0 |
| F2-beads | 4.31 | 3.65 | 0.46 | 0.30 | 18.3 |
| F3-beads | 3.82 | 3.22 | 0.38 | 0.25 | 19.1 |
| F1-pow | 5.15 | 4.41 | 0.57 | 0.36 | 18.2 |
| Ageing | 50 °C | 100 °C | |
|---|---|---|---|
| F1 | 7d | 5d | 4d |
| F2 | 8d | 4d | 2d |
| F3 | 8d | 3d | 2d |
Disclaimer/Publisher’s Note: The statements, opinions and data contained in all publications are solely those of the individual author(s) and contributor(s) and not of MDPI and/or the editor(s). MDPI and/or the editor(s) disclaim responsibility for any injury to people or property resulting from any ideas, methods, instructions or products referred to in the content. |
© 2023 by the authors. Licensee MDPI, Basel, Switzerland. This article is an open access article distributed under the terms and conditions of the Creative Commons Attribution (CC BY) license (https://creativecommons.org/licenses/by/4.0/).
Share and Cite
Boer, D.G.; Asgar Pour, Z.; Langerak, J.; Bakker, B.; Pescarmona, P.P. Binderless Faujasite Beads with Hierarchical Porosity for Selective CO2 Adsorption for Biogas Upgrading. Molecules 2023, 28, 2198. https://doi.org/10.3390/molecules28052198
Boer DG, Asgar Pour Z, Langerak J, Bakker B, Pescarmona PP. Binderless Faujasite Beads with Hierarchical Porosity for Selective CO2 Adsorption for Biogas Upgrading. Molecules. 2023; 28(5):2198. https://doi.org/10.3390/molecules28052198
Chicago/Turabian StyleBoer, Dina G., Zahra Asgar Pour, Jort Langerak, Benny Bakker, and Paolo P. Pescarmona. 2023. "Binderless Faujasite Beads with Hierarchical Porosity for Selective CO2 Adsorption for Biogas Upgrading" Molecules 28, no. 5: 2198. https://doi.org/10.3390/molecules28052198
APA StyleBoer, D. G., Asgar Pour, Z., Langerak, J., Bakker, B., & Pescarmona, P. P. (2023). Binderless Faujasite Beads with Hierarchical Porosity for Selective CO2 Adsorption for Biogas Upgrading. Molecules, 28(5), 2198. https://doi.org/10.3390/molecules28052198

