Abstract
The great interest in studying the structure of human purine nucleoside phosphorylase (hPNP) and the continued search for effective inhibitors is due to the importance of the enzyme as a target in the therapy of T-cell proliferative diseases. In addition, hPNP inhibitors are used in organ transplant surgeries to provide immunodeficiency during and after the procedure. Previously, we showed that members of the well-known fleximer class of nucleosides are substrates of E. coli PNP. Fleximers have great promise as they have exhibited significant biological activity against a number of viruses of pandemic concern. Herein, we describe the synthesis and inhibition studies of a series of new fleximer compounds against hPNP and discuss their possible binding mode with the enzyme. At a concentration of 2 mM for the flex-7-deazapurines 1–4, a decrease in enzymatic activity by more than 50% was observed. 4-Amino-5-(1H-pyrrol-3-yl)pyridine 2 was the best inhibitor, with a Ki = 0.70 mM. Docking experiments have shown that ligand 2 is localized in the selected binding pocket Glu201, Asn243 and Phe200. The ability of the pyridine and pyrrole fragments to undergo rotation around the C–C bond allows for multiple binding modes in the active site of hPNP, which could provide several plausible bioactive conformations.
1. Introduction
Human purine nucleoside phosphorylase (hPNP) belongs to a family of enzymes involved in the purine salvage pathway of nucleoside biosynthesis, which promotes the utilization of purine bases [1]. Its primary role is to catalyze the cleavage of inosine, 2’-deoxyinosine, guanosine and 2’-deoxyguanosine (dG) to the corresponding base and sugar-1-phosphate via reversible phosphorolysis. PNP deficiency in humans leads to a decrease in the number of T cells and immunodeficiencies. Therefore, hPNP is considered an attractive target in the therapy of T-cell proliferative diseases, primarily T-cell leukemias and lymphomas, as well as psoriasis, multiple sclerosis, rheumatoid arthritis, etc. [2,3]. In addition, hPNP inhibitors are used in organ transplant surgeries to provide an immunodeficiency status during and after the procedure. In some cases, hPNP inhibitors are also able to enhance the activity of antiviral and antitumor nucleoside drugs [1,4] by inhibiting the premature metabolism of the nucleoside drug. All of these reasons explain the great interest in studying the structure of human purine nucleoside phosphorylase and the continued search for more effective inhibitors.
Most inhibitors of purine nucleoside phosphorylases are structural analogues of nucleoside substrates, modified in the nucleobase and/or the carbohydrate moiety. Using rational design, Schramm et. al. [5] discovered analogues of C-nucleosides—known as immucillins—which proved to be inhibitors for the transition state of PNP [6]. Several immucillins have successfully completed or are currently in various stages of clinical trials, including Immucillin-H (Forodesine®, Mundesine®), which was approved in Japan for treating relapsed or refractory peripheral T-cell lymphoma [7], and DADMe-immucillin H (DADMe-Immucillin-H, BCX4208, Ulodesine), which passed the second stage of clinical trials in the treatment of gout [8]. High levels of inhibitory activity were demonstrated by acyclic analogues of immucillins, namely DATMe-Immucillin-H and SerMe-Immucillin-H [1]. It should also be noted that many of the known hPNP inhibitors are derivatives of deazapurine bases.
We previously showed that fleximer analogues of aza/deazapurine heterocyclic bases are substrates of E. coli purine nucleoside phosphorylase [9] while their 5′-norcarbocyclic derivatives are noncompetitive inhibitors of the same enzyme [10]. Both groups of compounds are members of the well-known fleximer class of nucleosides. Fleximers are modified nucleosides where the bicyclic heterocyclic base is split into two separate moieties connected by a C–C bond [11]. This modification introduces additional flexibility into the molecule, which facilitates new structural interactions with the target enzyme. Fleximers have shown great promise and have exhibited significant biological activity against a number of viruses of pandemic concern [12,13,14].
Analysis of the literature on PNP inhibitors showed that aza and deaza analogues of purine bases, as well as nucleoside analogues with increased flexibility, including fleximeric and acyclic ones, have high potential in terms of PNP inhibitory properties. Thus, we designed and synthesized two new groups of compounds, in particular, fleximer analogues of 7-deazapurines and acyclic derivatives of previously synthesized pyrazole-containing bases. Herein, we describe the synthesis and inhibition studies of the new compounds against hPNP and discuss their possible binding modes with the enzyme.
2. Results and Discussion
2.1. Chemistry
To obtain new inhibitors of hPNP, we designed and synthesized two groups of modified fleximer bases. The first comprised pyrrole-containing fleximer bases 1–4, which were chosen due to the inhibitory activity exhibited by 7-deazahypoxanthine against E. coli PNP (Ki = 0.13 mM) [15]. Similarly, the acyclic 8-aza-7-deazapurine fleximers 13–16 were designed based on the structure of previously studied 5′-norcarbocyclic 8-aza-7-deazapurine fleximers, which showed weak inhibitory activity against E. coli PNP (Ki = 14–20 mM) [10] and acyclovir, which was able to inhibit hPNP (Ki = 90µM) [16].
The fleximer analogues of 7-deazapurine bases 1–4, containing pyrrole, as a five-membered heterocyclic moiety, and 2-aminopyridine, 4-aminopyridine/pyrimidine or 4(3H)-pyrimidone, as a six-membered heterocyclic component, were synthesized (Scheme 1) using Suzyki–Miyaura cross-coupling from commercially available N-TIPS pyrrole-3-boronic acid pinacol ester 5 and corresponding bromides 6–9 [17]. The triisopropylsilyl group was removed with tetrabutylammonium fluoride in THF and the pivaloyl groups by reflux in methanol with K2CO3. Target analogues 1–4 were obtained in moderate yields (Scheme 1).
Scheme 1.
Synthesis of fleximer analogues of 7-deazapurine bases. Reaction conditions: (a) Pd(PPh3)4, DME, NH4HCO3; (b) TBAF, THF; (c) K2CO3, MeOH, 65 °C.
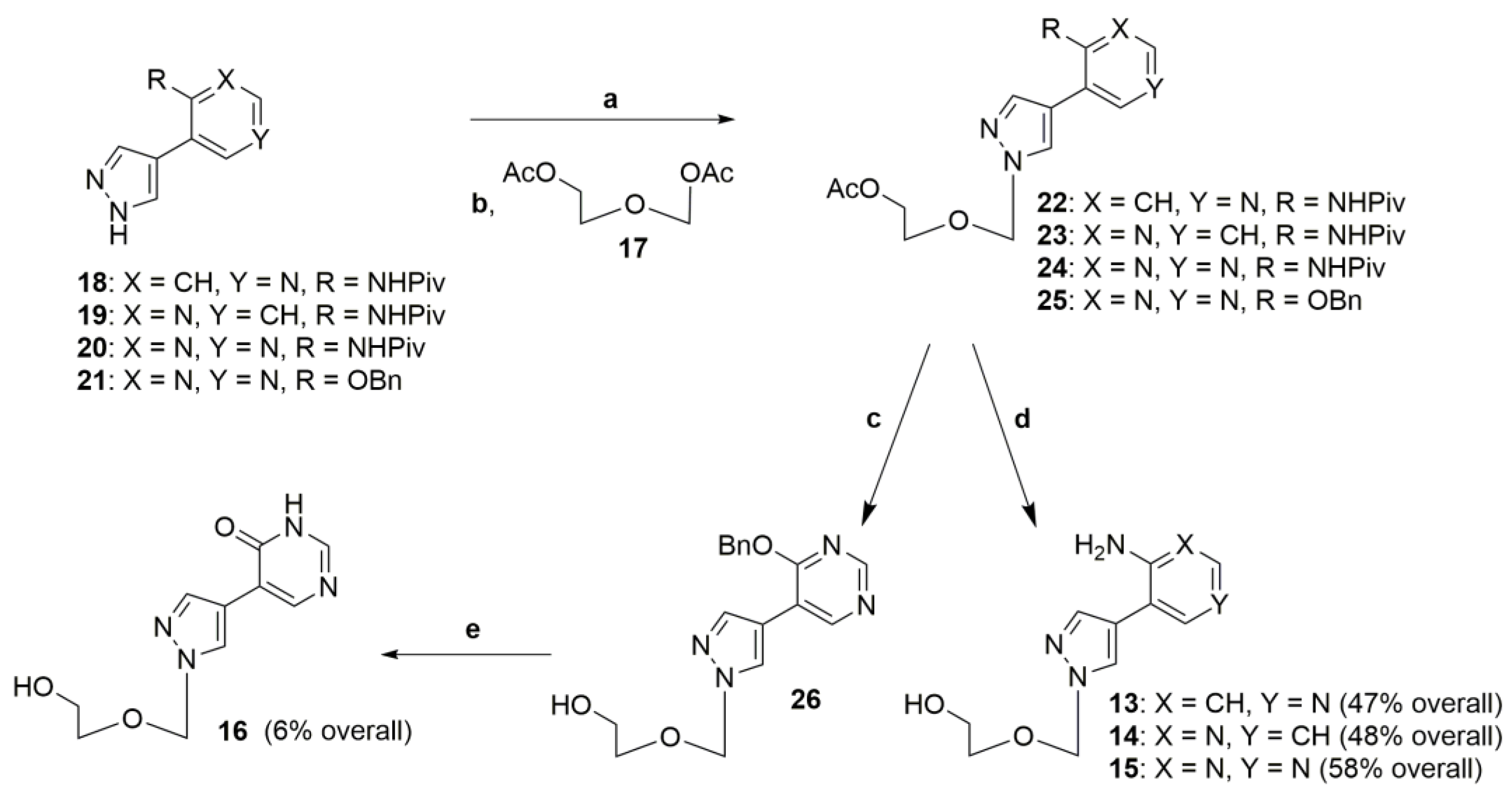
The second group of compounds synthesized was the acyclic fleximer analogues of 8-aza-7-deazapurine bases. As shown in Scheme 2, acyclic fleximers 13–16 were obtained using Vorbruggen conditions, as described previously [13]. Instead of the classical use of ribose tetraacetate, 2-acetoxyethylacetoxymethyl ester 17 was introduced (Scheme 2).
Scheme 2.
Synthesis of the acyclic fleximer analogues of 8-aza-7-deazapurine nucleosides. Reaction conditions: (a) HMDS, Py, (NH4)2SO4; (b) TMSOTf, CH3CN; (c) NH3/MeOH, 36 °C; (d) K2CO3, MeOH, 65 °C; (e) Pd/C, H2, MeOH.
For the synthesis of acyclic analogues 22–25, protected fleximer bases 18–21 [9] were refluxed in 1,1,1,3,3,3-hexamethyldisilazane (HMDS) with ammonium sulfate and pyridine for 4 h (Scheme 2). After evaporation of the solvents, the residue was dissolved in acetonitrile followed by addition of trimethylsilyl trifluoromethanesulfonate (TMSOTf) and 2-acetoxyethylacetoxymethyl ester 17. The acetyl and pivaloyl protecting groups of compounds 22–24 were removed simultaneously by reflux in MeOH with K2CO3. Products 13–15 were obtained in a 69–74% yield. The acetyl group of compound 25 was removed with 7N ammonia in methanol. Further hydrogenation with 10% palladium−charcoal catalyst gave analogue 16 with a 14% yield.
2.2. Inhibition Studies
Compounds 1–4 and 13–16 were then studied as potential inhibitors of hPNP (Figure 1). At a concentration of 2 mM for flexible analogues of 7-deazapurines 1–4, a decrease in enzymatic activity by more than 50% was observed. Flex-acyclovir analogues 13–16 did not appear to be inhibitors, although at a concentration of 0.5 mM, acyclovir slightly reduced the rate of inosine phosphorolysis, as reported by Rabuffetti et al. [1].
Figure 1.
Rate of inosine phosphorolysis for compounds 1–4 and 13–16.
The inhibition constants of compounds 1–4 are shown in Table 1, which reveal that the most pronounced inhibition occurred in the presence of compound 2. The flex-hypoxanthine analogue 1 showed better binding to the enzyme active site than the flex-adenine analogue 4. The inhibition constant for 7-deazaguanine (7DG) is 0.2 mM, which is lower than the constants for the investigated compounds [18].
Table 1.
Kinetic parameters of inosine phosphorolysis inhibition.
Non-competitive inhibition was observed in all cases (Figure S1, see Supplementary Materials). This may be caused by the formation of a dead-end complex upon the binding of the heterocyclic base and an inorganic phosphate at the active site of the human enzyme. This was seen for various heterocyclic bases, including 7-deazahypoxanthine, in the case of E. coli PNP [10].
2.3. Molecular Modeling
Compound 2 was chosen for computational studies. Before docking, four crystallographic structures of human purine nucleoside phosphorylases from the Protein Database were analyzed. This was a necessary step to determine the most frequent atomic interactions (hydrogen bonds, π–π stacking, etc.) of the PNP active site with various ligands [19]. The following complexes were chosen: with the natural substrate inosine [20] and with inhibitors, including Immucillin H, 7-deazaguanine (7DG) [18] and acyclovir [16] (Figure S2, see Supplementary Materials). Using the ProteinsPlus web service (https://proteins.plus accessed on 15 December 2022) and a special PoseView tool, two-dimensional diagrams of the selected complexes were created [21,22].
Note that, in all cases, the same patterns were responsible for the binding of the purine heterocyclic base and its orientation at the site of enzyme binding. The following amino acid residues of the protein side chains were identified: hydrogen bonding with Glu201 and Asn243, and π–π stacking with Phe200. It is, therefore, assumed that the inhibition of hPNP by flex-base 2 occurs due to interaction with these amino acid residues (Figure 2).
Figure 2.
Docking results of flex-base 2 with 3INY with protein–ligand interaction 2D maps (bond lengths in angstroms). Models (A–C) are the most energetically favorable docking results (see Table 2).
Structures of flex-base 2 were generated and structural optimizations were performed by using HyperChem software [23]. Quantum chemical analysis of 2 shows that the pyrrole and pyridine fragments are located in different planes (are non-coplanar).
Docking of 2 was then performed in a limited area in a volume of 12 Å × 10 Å × 10 Å, which is sufficient to accommodate the ligand inside the receptor. After clustering, the resulting ligand–protein complexes were ranked according to the established binding energies. The states with the lowest energy and specific conservative ligand–protein interactions were selected as potentially possible. Interactions of protein–ligands were measured using the BIOVIA Discovery Studio Visualizer 2021.
Docking experiments showed that 2 is localized in the selected binding pocket. The free energy of binding (ΔG) is listed in Table 2.
Table 2.
Docking results of top-ranked poses for compound 2.
Three models were chosen from various positions of the fleximer base 2 in the hPNP active site. In the selected models, a similar interaction pattern is observed in the binding site: the base is positioned in the same plane as 7DG, one of the aromatic rings is oriented perpendicular to the Phe200 side residue and the amino group (at the pyridine ring) and the proton at nitrogen (pyrrole ring) participate in the formation of hydrogen bonds with Glu201 and Asn243.
Model A is characterized by the minimum energy ΔG. Model B is similar to the arrangement of 7DG in crystal structure of the hPNP [18]. However, model B is less energetically favorable than models A and C. It is somewhat difficult to assess the exact position of 2 in the active site, which leads to the inhibitory activity. In our opinion, due to the flexibility of flex-base 2, various binding options are possible in the hPNP active site and inhibition of the enzyme is presumably realized in one of the three variants presented.
3. Materials and Methods
Reactions were performed using commercially available reagents (Acros, Aldrich and Fluka). Anhydrous solvents were prepared according to standard procedures. Column chromatography was carried out on silica gel Kieselgel 60 (40–60 µm, straight phase) (3 × 20 cm) (Merck, Germany). Thin-layer chromatography (TLC) was performed on TLC Silica gel 60 F25 plates. The human PNP recombinant protein (Q01) was provided by Biozol Diagnostica Vertrieb GmbH (Eching, Germany). Human PNP stock solution: 0.15 mg/mL.
NMR spectra were recorded on Bruker Avance III spectrometer (Bruker BioSpin, Rheinstetten, Germany) with an operating frequency of 300 MHz for 1H-NMR and 75.5 MHz for 13C-NMR in CDCl3, CD3OD or DMSO-d6.
High-resolution mass spectra (HRMS) were obtained on a Bruker Daltonics micrOTOF-Q II instrument using electrospray ionization (ESI). The measurements were acquired in a negative ion mode with the following parameters: interface capillary voltage—3700 V; mass range from m/z 50 to 3000; external calibration (Electrospray Calibrant Solution, Fluka); nebulizer pressure—0.3 Bar; flow rate—3 µL/min; dry gas nitrogen (4.0 L/min); interface temperature was set at 180 or 190 °C. A syringe injection was used.
3.1. Chemistry
3.1.1. General Method for the Synthesis of Compounds 10–12 and 5-(1H-pyrrol-3-yl)pyrimidin-4(3H)-one 1
To the solution of compounds 6–9 (0.5–2.7 mmol) in DME, Pd(PPh3)4 (5mol%) was added. The mixture was stirred for 15 min. Then, N-TIPS pyrrole-3-boronic acid pinacol ester (1.5 eq) dissolved in DME and saturated NaHCO3 was added. The reaction mixture was refluxed for 4 h at room temperature. The progress of the reaction was monitored using TLC. The solvents were evaporated and the residue was dissolved in CHCl3 and extracted with water. Organic layer was washed with brine, dried using Na2SO4 and solvent was evaporated. Crude products were dissolved in THF and TBAF (1.1 eq) was added. After 5 min, the solvent was evaporated and the residues were purified using column chromatography on silica gel with an appropriate elution system.
4-Pivaloylamino-5-(1H-pyrrol-3-yl)pyridine (10). Compound 10 was synthesized from 3-bromo-4-pivaloylaminopyridine 7 (500 mg, 2.6 mmol) and N-TIPS pyrrole-3-boronic acid pinacol ester 5 (1 g, 2.8 mmol). After purification on a silica gel column eluting with chloroform: methanol (95:5), 10 was obtained as a yellow powder. Yield 210 mg, 63%. 1H NMR (300 MHz, Methanol-d4) δ 8.38 (1H, s), 8.32 (2H, s), 7.02–7.01 (2H, m), 6.33 (1H, dd, J = 2.5, 1.9 Hz), 1.22 (9H, s). 13C NMR (75 MHz, Methanol-d4) δ 177.9, 149.0, 147.2, 143.2, 123.3, 119.8, 117.2, 115.1, 113.7, 107.4, 39.8, 26.2.
2-Pivaloylamino-3-(1H-pyrrol-3-yl)pyridine (11). Compound 11 was synthesized from 3-bromo-2-pivaloylaminopyridine 8 (225 mg, 0.9 mmol) and N-TIPS pyrrole-3-boronic acid pinacol ester 5 (456 mg, 1.3 mmol). After purification on a silica gel column using chloroform: methanol (95:5) system for elution, the yield of compound 11 as pale-yellow powder was 71% (150 mg). 1H NMR (300 MHz, Chloroform-d) δ 9.74 (1H, s), 8.41 (1H, dd, J = 4.9, 1.9 Hz,), 7.70 (1H, dd, J = 7.6, 1.9 Hz), 7.12 (1H, dd, J = 7.6, 5.0 Hz), 6.99–6.95 (2H, m), 6.35–6.33 (1H, m), 1.25 (9H, s). 13C NMR (75 MHz, Chloroform-d) δ 176.3, 148.5, 145.3, 138.6, 124.2, 120.0, 119.8, 118.3, 117.3, 107.9, 40.1, 27.5.
4-Pivaloylamino-5-(1H-pyrrol-3-yl)pyrimidine (12). Compound 12 was synthesized starting from 4-pivaloylamino-5-bromopyrimidine 9 (520 mg, 2.68 mmol) and N-TIPS pyrrole-3-boronic acid pinacol ester 5 (1 g, 2.95 mmol). The reaction was purified on a silica gel column using chloroform: methanol (95:5) system for elution and 12 was obtained as white powder with 31% (200 mg) yield. 1H NMR (300 MHz, Chloroform-d) δ 9.48 (1H, s), 8.95 (1H, s), 8.56 (1H, s), 8.48 (1H, s), 7.10–6.96 (2H, m), 6.39–6.36 (1H, m), 1.26 (9H, s). 13C NMR (75 MHz, Chloroform-d) δ 175.7, 156.5, 156.3, 155.4, 120.5, 117.5, 114.7, 107.9, 27.3.
5-(1H-pyrrol-3-yl)pyrimidin-4(3H)-one (1). Compound 1 was synthesized starting from 5-bromopyrimidin-4(3H)-one 6 (100 mg, 0.57 mmol) and N-TIPS pyrrole-3-boronic acid pinacol ester 5 (300 mg, 0.86 mmol). The reaction was purified on a silica gel column using chloroform: methanol (9:1) system for elution and 1 was obtained as white powder in a 15% (24mg) yield. 1H NMR (300 MHz, DMSO-d6) δ 12.45 (1H, s), 10.91 (1H, s), 8.23 (1H, s), 7.97 (1H, s), 7.64–7.62 (1H, m), 6.80–6.78 (1H, m), 6.58–6.56 (1H, m). 13C NMR (75 MHz, DMSO-d6) δ 160.0, 146.7, 145.9, 123.5, 119.5, 118.8, 115.5, 105.5. HRMS m/z: calculated for C8H7N3O [M+H]+ 162.0662; found [M+H]+ 162.0662.
3.1.2. General Method for the Synthesis of Compounds 2–4
To a solution of fleximer base analogues 10–12 (0.6–0.8 mmol) in methanol, K2CO3 (2 eq) was added. The reaction mixture was refluxed for 3–4 h. The progress of the reaction was monitored using TLC. Solvent was evaporated and the residues were purified using column chromatography on silica gel with appropriate elution system.
4-Amino-5-(1H-pyrrol-3-yl)pyridine (2). Compound 2 was synthesized starting from compound 10 (210 mg; 0.87 mmol). Purification on a silica gel column using chloroform: methanol (8:2) system for elution gave 2 (110 mg) as an off-white powder. Yield 27%. 1H NMR (300 MHz, Methanol-d4) δ 8.04 (1H, s), 7.90 (1H, d, J = 5.9 Hz), 6.99 (1H, t, J = 1.8 Hz), 6.91 (1H, dd, J = 2.8, 1.9 Hz), 6.74–6.72 (1H, m), 6.33 (1H, dd, J = 2.7, 1.6 Hz). 13C NMR (75 MHz, Methanol-d4) δ 153.5, 145.3, 143.8, 118.8, 118.3, 116.3, 116.2, 108.8, 106.9. HRMS m/z: calculated for C9H9N3 [M+H]+ 160.0869; found [M+H]+ 160.0868.
2-Amino-3-(1H-pyrrol-3-yl)pyridine (3). Compound 3 was synthesized from compound 11 (150 mg; 0.62 mmol). Purification on a silica gel column using chloroform: methanol (8:2) system for elution gave 3 (76 mg) as a pale-yellow powder. Yield 48% 1H NMR (300 MHz, DMSO-d6) δ 11.02 (1H, s), 7.81 (1H, dd, J = 4.9, 1.8 Hz), 7.42 (1H, dd, J = 7.3, 1.9 Hz), 7.07 (1H, q, J = 2.1 Hz), 6.87 (1H, q, J = 2.4 Hz), 6.59–6.57 (1H, m), 6.33 (1H, q, J = 2.5 Hz), 5.47 (2H, s). 13C NMR (75 MHz, DMSO-d6) δ 156.7, 145.1, 135.8, 119.9, 119.1, 116.8, 116.6, 113.7, 107.4. HRMS m/z: calculated for C9H9N3 [M+H]+ 160.0869; found [M+H]+ 160.0867.
4-Amino-5-(1H-pyrrol-3-yl)pyrimidine (4). Compound 4 was synthesized starting from compound 12 (200 mg; 0.82 mmol). Purification on a silica gel column using chloroform: methanol (9:1) system for elution gave 4 (100 mg) as a white powder. Yield 23%. 1H NMR (300 MHz, Methanol-d4) δ 8.30 (1H, s), 8.08 (1H, s), 6.96 (1H, t, J = 1.8 Hz), 6.89 (1H, dd, J = 2.8, 1.9 Hz), 6.33 (1H, dd, J = 2.8, 1.7 Hz). 13C NMR (75 MHz, Methanol-d4) δ 154.8, 152.0, 119.6, 116.6, 115.2, 107.0. HRMS m/z: calculated for C8H8N4 [M+H]+ 161.0822; found [M+H]+ 161.0822.
Compounds 18–21 were synthesized as described earlier [9].
3.1.3. General Method for the Synthesis of Compounds 22–25
Compounds 18–21 (1 mmol) were refluxed in 1,1,1,3,3,3-hexamethyldisilazane (20 mL) with 50 mg of ammonium sulfate and pyridine (2 mL) for 4 h. Then, solvents were evaporated to dryness and dried under high vacuum. The residues were dissolved in acetonitrile (15 mL) followed by addition of trimethylsilyl trifluoromethanesulfonate (TMSOTf) (1.5 mmol) and (2-acetoxyetoxy)methyl acetate (1 mmol). The reaction mixture was stirred for 18 h. The progress of the reaction was monitored by TLC in the system. The product was purified by column chromatography on silica gel eluting with chloroform: methanol (98:2) or hexane: ethyl acetate (1:4) system.
4-Pivaloylamino-5-(1-((2-acetoxyethoxy)methyl)-pyrazol-4-yl)pyridine (22). Compound 22 was synthesized starting from compound 18 (61 mg; 0.25 mmol), TMSOTf (68 µL; 0.38 mmol) and (2-acetoxyetoxy)methyl acetate (40 µL; 0.25 mmol). Purification on a silica gel column using chloroform:methanol (99:1, then 97:3) system gave 22 (59 mg) as colorless oil. Yield 66%. 1H NMR (300 MHz, Methanol-d4) δ 8.57–8.45 (1H, m), 8.48–8.36 (1H, m), 8.16 (1H, d, J = 0.8 Hz), 8.02 (1H, d, J = 5.5 Hz), 7.85 (1H, d, J = 0.7 Hz), 5.60 (2H, s), 4.23–4.13 (2H, m), 3.86–3.71 (2H, m), 3.37 (1H, s), 2.03 (3H, s), 1.26 (9H, s). 13C NMR (75 MHz, Methanol-d4) δ 178.1, 171.2, 149.6, 148.2, 143.4, 139.4, 130.1, 117.3, 116.0, 80.4, 67.0, 62.9, 39.6, 29.3, 26.2, 19.3.
2-Pivaloylamino-5-(1-((2-acetoxyethoxy)methyl)-pyrazol-3-yl)pyridine (23). Compound 23 was synthesized starting from compound 19 (61 mg; 0.25 mmol), TMSOTf (68 µL; 0.38 mmol) and (2-acetoxyetoxy)methyl acetate (40 µL; 0.25 mmol). Purification on a silica gel column using chloroform:methanol (99:1, then 97:3) system gave 23 (62 mg) as colorless oil. Yield 69%. 1H NMR (300 MHz, Methanol-d4) δ 8.40 (1H, dd, J = 4.8, 1.8 Hz), 8.05 (1H, d, J = 0.8 Hz), 7.99 (1H, dd, J = 7.8, 1.8 Hz), 7.81 (1H, d, J = 0.8 Hz), 7.43 (1H, dd, J = 7.7, 4.9 Hz), 5.54 (2H, s), 4.21–4.13 (2H, m), 3.78–3.68 (2H, m), 2.03 (3H, s), 1.28 (9H, s). 13C NMR (75 MHz, Methanol-d4) δ 179.1, 171.2, 146.7, 139.1, 138.7, 129.6, 126.8, 123.0, 119.2, 80.2, 66.9, 62.8, 38.7, 29.3, 26.3, 19.3.
4-Pivaloylamino-5-(1-((2-acetoxyethoxy)methyl)-pyrazol-4-yl)pyrimidine (24). Compound 24 was synthesized starting from compound 20 (49 mg; 0.2 mmol), TMSOTf (55 µL; 0.3 mmol) and (2-acetoxyetoxy)methyl acetate (32 µL; 0.2 mmol). Purification on a silica gel column using chloroform:methanol (99:1, then 97:3) system gave 24 (57 mg) as colorless oil. Yield 79%. 1H NMR (300 MHz, Methanol-d4) δ 8.91 (1H, s), 8.82 (1H, s), 8.15 (1H, d, J = 0.8 Hz), 7.84 (1H, d, J = 0.8 Hz), 5.56 (2H, s), 4.82 (2H, s), 4.22–4.10 (2H, m), 3.80–3.71 (2H, m), 2.03 (3H, s), 1.27 (9H, s). 13C NMR (75 MHz, Methanol-d4) δ 177.9, 171.2, 157.2, 156.0, 138.8, 129.7, 80.3, 66.9, 62.8, 39.3, 26.24, 26.0, 19.3.
4-Benzyloxy-5-(1-((2-acetoxyethoxy)methyl)-1H-pyrazol-4-yl)pyrimidine (25). Compound 25 was synthesized starting from compound 21 (252 mg; 1 mmol), TMSOTf (333 µL; 1.5 mmol) and (2-acetoxyetoxy)methyl acetate (176 µL; 1 mmol). Purification on a silica gel column using hexane: ethyl acetate (1:4) system gave 25 (150 mg) as colorless oil. Yield 40%. 1H NMR (300 MHz, Chloroform-d) δ 8.49 (1H, s), 8.29 (1H, s), 8.25 (1H, s), 7.98 (1H, s), 5.51 (2H, s), 5.22 (2H, s), 4.19–4.16 (2H, m), 3.75–3.71 (2H, m), 2.06 (3H, s). 13C NMR (75 MHz, Chloroform-d) δ 170.9, 159.0, 148.3, 145.8, 137.7, 134.9, 130.3, 129.2, 128.6, 128.2, 120.3, 115.0, 80.8, 67.1, 63.0, 50.4, 20.8.
4-Benzyloxy-5-(1-((2-hydroxyethoxy)methyl)-1H-pyrazol-4-yl)pyrimidine (26). Compound 25 (100 mg; 0.27 mmol) was dissolved in NH3/MeOH and left at 37 0C for 3 h. Then, solvent was evaporated and the residue used in the following reaction without purification. 1H NMR (300 MHz, Methanol-d4) δ 8.51 (1H, s), 8.46 (1H, s), 8.36 (1H, s), 7.42–7.29 (5H, m), 5.54 (2H, s), 5.26 (2H, s), 3.65–3.56 (4H, m). 13C NMR (75 MHz, Methanol-d4) δ 159.4, 149.5, 147.0, 138.0, 135.9, 130.3, 128.5 (2C), 127.9, 127.7 (2C), 80.4, 70.4, 60.5, 49.8.
3.1.4. General Method for the Synthesis of Compounds 13–15
For solution of acyclic fleximer analogues 22–24 (0.15 mmol) in methanol (3 mL), K2CO3 (0.4 mmol) was added. The reaction mixture was refluxed for 3–4 h. The progress of the reaction was monitored using TLC. Solvent was evaporated and the residues were purified using column chromatography on silica gel with appropriate elution system.
4-Amino-5-(1-((2-hydroxyethoxy)methyl)-pyrazol-4-yl)pyridine (13). Compound 13 was synthesized starting from compound 22 (55 mg; 0.15 mmol). Purification on a silica gel column using chloroform: methanol (8:2) system for elution gave 13 (25 mg) as an off-white powder. Yield 71%. 1H NMR (300 MHz, Methanol-d4) δ 8.09 (2H, t, J = 1.8 Hz), 7.97 (1H, d, J = 5.9 Hz), 7.79 (1H, s), 6.76 (1H, d, J = 5.9 Hz), 5.58 (2H, s), 3.65–3.62 (4H, m). 13C NMR (75 MHz, Methanol-d4) δ 153.4, 146.8, 145.8, 139.0, 129.5, 116.4, 109.3, 80.5, 70.6, 60.5, 29.32. HRMS m/z: calculated for C11H14N4O2 [M+H]+ 235.1190; found [M+H]+ 235.1183.
2-Amino-3-(1-((2-hydroxyethoxy)methyl)-1H-pyrazol-4-yl)pyridine (14). Compound 14 was synthesized starting from compound 23 (55 mg; 0.15 mmol). Purification on a silica gel column using chloroform: methanol (8:2) system for elution gave 14 (24 mg) as an off-white powder. Yield 69%. 1H NMR (300 MHz, Methanol-d4) δ 8.11 (1H, s), 7.90 (1H, dd, J = 5.2, 1.8 Hz), 7.83 (1H, s), 7.57 (1H, dd, J = 7.4, 1.8 Hz), 6.74 (1H, dd, J = 7.4, 5.1 Hz), 5.57 (2H, s), 3.73–3.56 (5H, m). 13C NMR (75 MHz, Methanol-d4) δ 156.4, 145.3, 138.9, 137.6, 129.2, 119.0, 113.7, 80.5, 70.5, 60.5, 29.3. HRMS m/z: calculated for C11H14N4O2 [M+H]+ 235.1190; found [M+H]+ 235.1190.
4-Amino-5-(1-((2-hydroxyethoxy)methyl)-1H-pyrazol-4-yl)pyrimidine (15). Compound 15 was synthesized starting from compound 24 (54 mg; 0.15 mmol). Purification on a silica gel column using chloroform:methanol (8:2) system for elution gave 15 (26 mg) as an off-white powder. Yield 74%. 1H NMR (300 MHz, Methanol-d4) δ 8.35 (1H, s), 8.15–8.13 (2H, m), 7.83 (1H, s), 5.58 (2H, s), 3.69–3.62 (4H, m). 13C NMR (75 MHz, Methanol-d4) δ 161.5, 156.0, 152.5, 138.8, 129.6, 115.1, 110.4, 80.5, 70.6, 60.5, 29.3. HRMS m/z: calculated for C10H13N5O2 [M+H]+ 236.1142; found [M+H]+ 236.1137.
5-(1-((2-hydroxyethoxy)methyl)-1H-pyrazol-4-yl)pyrimidin-4(3H)-one (16). Compound 26 (0.27 mmol) was dissolved in methanol and 10 % Pd/C was added. Then, reaction mixture was treated with H2 for 2 h. The progress of the reaction was monitored using TLC. The reaction mixture was filtered through celite and solvent was evaporated. The residue was purified using preparative chromatography glass plate in chloroform:methanol (8:2) system. The yield of 16 was 14% (9 mg). 1H NMR (300 MHz, Methanol-d4) δ 8.51 (1H, s), 8.38 (1H, s), 8.14–8.12 (2H, m), 5.55 (2H, s), 3.66–3.57 (4H, m). 13C NMR (75 MHz, Methanol-d4) δ 163.5, 147.2, 137.9, 130.0, 114.9, 80.4, 70.5, 60.5, 35.5, 29.3. HRMS m/z: calculated for C10H12N4O3 [M+H]+ 237.0982; found [M+H]+ 237.0980.
3.2. Enzyme Inhibition
Each reaction mixture (100 μL, 50 mM KH2PO4, pH 7.0) contained human purine nucleoside phosphorylase (0.003 μg), 0.2 mM inosine and 2 mM of tested compounds 1–4, 13–16. For kinetic parameters: each reaction mixture (50 μL, 50 mM KH2PO4, pH 7.0) contained human purine nucleoside phosphorylase (0.003 μg), inosine (0.005–2 mM) and inhibitor (0, 0.5, 1 or 2 mM of 1, 2, 3 or 4). Specific activity of the PNP is 160 μmol/min*mg. Reaction mixtures were incubated for 2 min at 37 °C. Substrate and product quantities were determined using HPLC (Waters 1525, column Ascentis Express C18, 2.7 μm, 3.0 × 75 mm, eluent A 0.1% aqueous TFA, eluent B 0.1% TFA/70% acetonitrile in water, detection at 254 nm, UV-detector Waters 2489). Each experiment was repeated three times. Kinetic parameters were determined by nonlinear regression analysis using SciDAVis v2.3.0 software. Simple equation for non-competitive inhibition was used. V = Vmax*S/[(KM+S)*(1+Ci/Ki)].
3.3. Molecular Modelling and Docking Studies
Computational docking studies were conducted on protein–ligand docking server SwissDock, based on EADock DSS [24,25]. Structures of fleximer molecules were generated and structural optimizations were performed by using HyperChem software [23]. The ab initio amber FF 6–31G** method; RMS values 0.3 kcal/mol. Analysis of molecular structures and conformational searching from related docking data were performed using the UCSF Chimera program [26].
A crystallographic model of the human purine nucleoside phosphorylase was published and posted on the Protein Data Bank website (PDB ID code 3INY). It is the cryo-EM structure of the hPNP complex bound to its inhibitor 7-deazaguanine [18,27].
To confirm the docking result, a ‘pose selection’ method was selected to re-dock 7-deazaguanine with the active site PNP [28]. Values of the root-mean-square deviation of atomic positions (RMSD), docking pose, accuracy and coverage of contacts were compared with the co-crystallized structure. RMSD of atomic coordinates between two molecules was calculated using the PyMOL Molecular Graphics System, Version 2.5, Schrodinger, LLC. The obtained value has acceptable range of RMSD docking < 1.5 Å [13]. RMSD = 0.112 Å (279 to 279 atoms) (see Supplementary Materials (Figure S3)).
4. Conclusions
We synthesized two new groups of compounds, namely fleximer analogues of 7-deazapurines and acyclic derivatives of pyrazole-containing bases. The compounds were studied as potential inhibitors of hPNP. At a concentration of 2 mM for the flex-7-deazapurines 1–4, a decrease in enzymatic activity by more than 50% was observed. 4-Amino-5-(1H-pyrrol-3-yl)pyridine (2) was the best inhibitor, with a Ki = 0.70 mM. Flex-acyclic analogues 13–16 did not appear to be inhibitors. In order to understand the possible binding mode of the most active compound 2 and the enzyme, computer modeling was performed, which could also aid in additional investigations of hPNP inhibitors. Structures of the flex-base 2 were generated and structural optimizations were performed by using HyperChem soft. Quantum chemical analysis of 2 showed that the pyrrole and pyridine fragments are located in different planes (are non-coplanar). Docking experiments revealed that 2 is localized in the selected binding pocket interacting with Glu201, Asn243 and Phe200. The ability of the pyridine and pyrrole fragments to undergo rotation around the C–C bond allows for multiple binding options in the active site of hPNP, which could provide several plausible bioactive conformations.
Supplementary Materials
The following supporting information can be downloaded at: https://www.mdpi.com/article/10.3390/molecules28030928/s1, 1H, 13C and HRMS spectra of the target products, Figure S1: Lineweaver–Burk plots for the inosine phosphorolysis at concentrations of compounds 1, 2, 3 and 4 equal to 0, 0.5, 1 and 2 mM. (A) compound 1, (B) compound 2, (C) compound 3, (D) compound 4; Figure S2: 2D diagrams of complexes PNP with various type of ligands; Figure S3: Structure of the 3INY with re-docked 7-deazaguanine (An overlap the red wire—native ligand from PDB database; the red stick docked ligand. The box for docking ligands was highlighted in green (12 Å × 10 Å × 10 Å.).
Author Contributions
Conceptualization, chemical synthesis of compounds A.K., A.M. and E.M.; inhibition and kinetic studies, I.F.; computer modeling, B.E.; writing—original draft preparation, E.M., B.E.; writing—review and editing, A.K., E.M.; discussion of the results, review and editing I.K., K.S.-R., S.K., project administration, S.K. All authors have read and agreed to the published version of the manuscript.
Funding
This research was funded by the Russian Science Foundation, grant number 19-74-10048 (design and chemical synthesis), and by the Russian Science Foundation, grant number 21-13-00429 (enzymatic studies).
Institutional Review Board Statement
Not applicable.
Informed Consent Statement
Not applicable.
Data Availability Statement
The data presented in this study are available in the article and Supplementary Material.
Conflicts of Interest
The authors declare no conflict of interest.
References
- Rabuffetti, M.; Rinaldi, F.; Lo Bianco, A.; Speranza, G.; Ubiali, D.; de Moraes, M.C.; Rodrigues Pereira da Silva, L.C.; Massolini, G.; Calleri, E.; Lavecchia, A. Discovery of a Novel Inhibitor of Human Purine Nucleoside Phosphorylase by a Simple Hydrophilic Interaction Liquid Chromatography Enzymatic Assay. ChemMedChem 2021, 16, 1325–1334. [Google Scholar] [CrossRef] [PubMed]
- Bantia, S.; Parker, C.; Upshaw, R.; Cunningham, A.; Kotian, P.; Kilpatrick, J.M.; Morris, P.; Chand, P.; Babu, Y.S. Potent orally bioavailable purine nucleoside phosphorylase inhibitor BCX-4208 induces apoptosis in B- and T-lymphocytes—A novel treatment approach for autoimmune diseases, organ transplantation and hematologic malignancies. Int. Immunopharmacol. 2010, 10, 784–790. [Google Scholar] [CrossRef] [PubMed]
- Glavas-Obrovac, L.; Suver, M.; Hikishima, S.; Hashimoto, M.; Yokomatsu, T.; Magnowska, L.; Bzowska, A. Antiproliferative activity of purine nucleoside phosphorylase multisubstrate analogue inhibitors containing difluoromethylene phosphonic acid against leukaemia and lymphoma cells. Chem. Biol. Drug Des. 2010, 75, 392–399. [Google Scholar] [CrossRef] [PubMed]
- Bennett, L.L., Jr.; Allan, P.W.; Noker, P.E.; Rose, L.M.; Niwas, S.; Montgomery, J.A.; Erion, M.D. Purine nucleoside phosphorylase inhibitors: Biochemical and pharmacological studies with 9-benzyl-9-deazaguanine and related compounds. J. Pharmacol. Exp. Ther. 1993, 266, 707–714. [Google Scholar]
- Miles, R.W.; Tyler, P.C.; Furneaux, R.H.; Bagdassarian, C.K.; Schramm, V.L. One-third-the-sites transition-state inhibitors for purine nucleoside phosphorylase. Biochemistry 1998, 37, 8615–8621. [Google Scholar] [CrossRef] [PubMed]
- Kicska, G.A.; Long, L.; Horig, H.; Fairchild, C.; Tyler, P.C.; Furneaux, R.H.; Schramm, V.L.; Kaufman, H.L.; Immucillin, H. a powerful transition-state analog inhibitor of purine nucleoside phosphorylase, selectively inhibits human T lymphocytes. Proc. Natl. Acad. Sci. USA 2001, 98, 4593–4598. [Google Scholar] [CrossRef] [PubMed]
- Evans, G.B.; Schramm, V.L.; Tyler, P.C. The transition to magic bullets—Transition state analogue drug design. Medchemcomm 2018, 9, 1983–1993. [Google Scholar] [CrossRef] [PubMed]
- Evans, G.B.; Tyler, P.C.; Schramm, V.L. Immucillins in Infectious Diseases. ACS Infect. Dis. 2018, 4, 107–117. [Google Scholar] [CrossRef] [PubMed]
- Khandazhinskaya, A.; Eletskaya, B.; Fateev, I.; Kharitonova, M.; Konstantinova, I.; Barai, V.; Azhayev, A.; Hyvonen, M.T.; Keinanen, T.A.; Kochetkov, S.; et al. Novel fleximer pyrazole-containing adenosine analogues: Chemical, enzymatic and highly efficient biotechnological synthesis. Org. Biomol. Chem. 2021, 19, 7379–7389. [Google Scholar] [CrossRef] [PubMed]
- Khandazhinskaya, A.; Fateev, I.; Konstantinova, I.; Esipov, R.; Polyakov, K.; Seley-Radtke, K.; Kochetkov, S.; Matyugina, E. Synthesis of New 5’-Norcarbocyclic Aza/Deaza Purine Fleximers—Noncompetitive Inhibitors of E. coli Purine Nucleoside Phosphorylase. Front. Chem. 2022, 10, 867587. [Google Scholar] [CrossRef]
- Seley, K.L.; Salim, S.; Zhang, L.; O’Daniel, P.I. “Molecular chameleons”. Design and synthesis of a second series of flexible nucleosides. J. Org. Chem. 2005, 70, 1612–1619. [Google Scholar] [CrossRef] [PubMed]
- Thames, J.E.; Waters, C.D., 3rd; Valle, C.; Bassetto, M.; Aouadi, W.; Martin, B.; Selisko, B.; Falat, A.; Coutard, B.; Brancale, A.; et al. Synthesis and biological evaluation of novel flexible nucleoside analogues that inhibit flavivirus replication in vitro. Bioorg. Med. Chem. 2020, 28, 115713. [Google Scholar] [CrossRef] [PubMed]
- Peters, H.L.; Jochmans, D.; de Wilde, A.H.; Posthuma, C.C.; Snijder, E.J.; Neyts, J.; Seley-Radtke, K.L. Design, synthesis and evaluation of a series of acyclic fleximer nucleoside analogues with anti-coronavirus activity. Bioorg. Med. Chem. Lett. 2015, 25, 2923–2926. [Google Scholar] [CrossRef] [PubMed]
- Yates, M.K.; Raje, M.R.; Chatterjee, P.; Spiropoulou, C.F.; Bavari, S.; Flint, M.; Soloveva, V.; Seley-Radtke, K.L. Flex-nucleoside analogues—Novel therapeutics against filoviruses. Bioorg. Med. Chem. Lett. 2017, 27, 2800–2802. [Google Scholar] [CrossRef] [PubMed]
- Timofeev, V.I.; Zhukhlistova, N.E.; Abramchik, Y.A.; Fateev, I.I.; Kostromina, M.A.; Muravieva, T.I.; Esipov, R.S.; Kuranova, I.P. Crystal structure of Escherichia coli purine nucleoside phosphorylase in complex with 7-deazahypoxanthine. Acta Crystallogr. F Struct. Biol. Commun. 2018, 74 Pt 6, 355–362. [Google Scholar] [CrossRef]
- dos Santos, D.M.; Canduri, F.; Pereira, J.H.; Vinicius Bertacine Dias, M.; Silva, R.G.; Mendes, M.A.; Palma, M.S.; Basso, L.A.; de Azevedo, W.F.; Santos, D.S. Crystal structure of human purine nucleoside phosphorylase complexed with acyclovir. Biochem. Biophys. Res. Commun. 2003, 308, 553–559. [Google Scholar] [CrossRef] [PubMed]
- Matyugina, E.S.; Khandazhinskaya, A.L.; Kochetkov, S.N.; Seley-Radtke, K.L. Synthesis of 3-hetarylpyrroles by Suzuki–Miyaura cross-coupling. Mendeleev Commun. 2020, 30, 231–232. [Google Scholar] [CrossRef]
- Caceres, R.A.; Timmers, L.F.; Pauli, I.; Gava, L.M.; Ducati, R.G.; Basso, L.A.; Santos, D.S.; de Azevedo, W.F., Jr. Crystal structure and molecular dynamics studies of human purine nucleoside phosphorylase complexed with 7-deazaguanine. J. Struct. Biol. 2010, 169, 379–388. [Google Scholar] [CrossRef]
- Ferreira de Freitas, R.; Schapira, M. A systematic analysis of atomic protein-ligand interactions in the PDB. Medchemcomm 2017, 8, 1970–1981. [Google Scholar] [CrossRef]
- Canduri, F.; dos Santos, D.M.; Silva, R.G.; Mendes, M.A.; Basso, L.A.; Palma, M.S.; de Azevedo, W.F.; Santos, D.S. Structures of human purine nucleoside phosphorylase complexed with inosine and ddI. Biochem. Biophys. Res. Commun. 2004, 313, 907–914. [Google Scholar] [CrossRef]
- Fricker, P.C.; Gastreich, M.; Rarey, M. Automated drawing of structural molecular formulas under constraints. J. Chem. Inf. Comput. Sci. 2004, 44, 1065–1078. [Google Scholar] [CrossRef]
- Stierand, K.; Maass, P.C.; Rarey, M. Molecular complexes at a glance: Automated generation of two-dimensional complex diagrams. Bioinformatics 2006, 22, 1710–1716. [Google Scholar] [CrossRef] [PubMed]
- Froimowitz, M. Hyperchem(TM)—A Software Package for Computational Chemistry and Molecular Modeling. Biotechniques 1993, 14, 1010–1013. [Google Scholar] [PubMed]
- Grosdidier, A.; Zoete, V.; Michielin, O. Fast docking using the CHARMM force field with EADock DSS. J. Comput. Chem. 2011, 32, 2149–2159. [Google Scholar] [CrossRef] [PubMed]
- Grosdidier, A.; Zoete, V.; Michielin, O. SwissDock, a protein-small molecule docking web service based on EADock DSS. Nucleic Acids Res. 2011, 39, W270–W277. [Google Scholar] [CrossRef] [PubMed]
- Pettersen, E.F.; Goddard, T.D.; Huang, C.C.; Couch, G.S.; Greenblatt, D.M.; Meng, E.C.; Ferrin, T.E. UCSF Chimera—A visualization system for exploratory research and analysis. J. Comput. Chem. 2004, 25, 1605–1612. [Google Scholar] [CrossRef]
- Draper-Joyce, C.J.; Khoshouei, M.; Thal, D.M.; Liang, Y.L.; Nguyen, A.T.N.; Furness, S.G.B.; Venugopal, H.; Baltos, J.A.; Plitzko, J.M.; Danev, R.; et al. Structure of the adenosine-bound human adenosine A. Nature 2018, 558, 559–563. [Google Scholar] [CrossRef] [PubMed]
- Hevener, K.E.; Zhao, W.; Ball, D.M.; Babaoglu, K.; Qi, J.; White, S.W.; Lee, R.E. Validation of Molecular Docking Programs for Virtual Screening against Dihydropteroate Synthase. J. Chem. Inf. Model. 2009, 49, 444–460. [Google Scholar] [CrossRef] [PubMed]
Disclaimer/Publisher’s Note: The statements, opinions and data contained in all publications are solely those of the individual author(s) and contributor(s) and not of MDPI and/or the editor(s). MDPI and/or the editor(s) disclaim responsibility for any injury to people or property resulting from any ideas, methods, instructions or products referred to in the content. |
© 2023 by the authors. Licensee MDPI, Basel, Switzerland. This article is an open access article distributed under the terms and conditions of the Creative Commons Attribution (CC BY) license (https://creativecommons.org/licenses/by/4.0/).



