Herb and Flowers of Achillea millefolium subsp. millefolium L.: Structure and Histochemistry of Secretory Tissues and Phytochemistry of Essential Oils
Abstract
1. Introduction
2. Results
2.1. Secretory Structures of Flowers and Bracts
2.2. Non-Secretory and Secretory Structures of Stems and Leaves
2.3. Histochemical Analysis
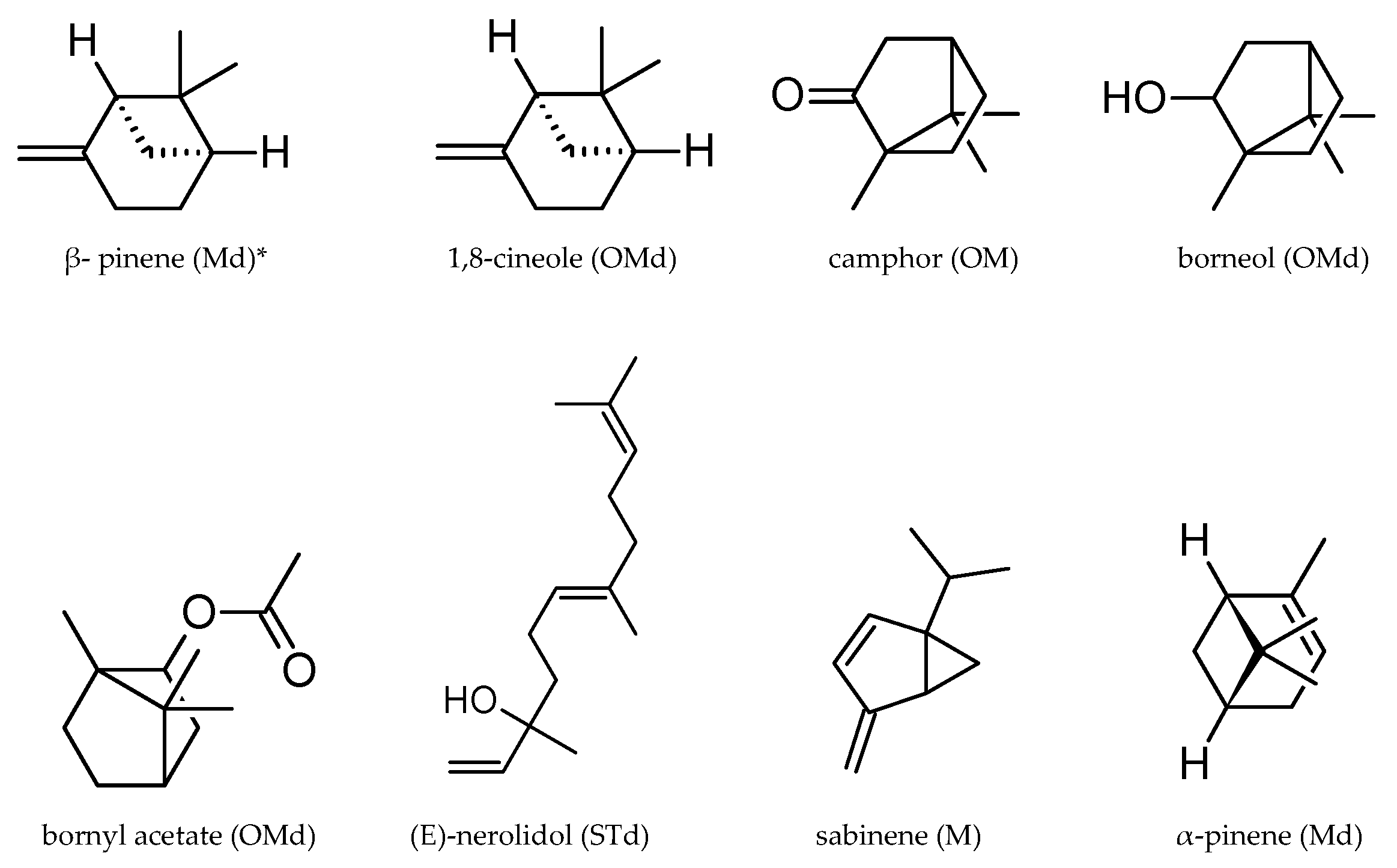
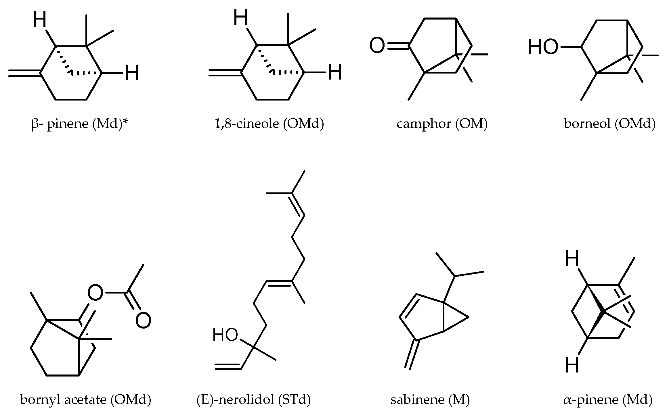
2.4. Analysis of the EO Composition
3. Discussion
3.1. Structure and Histochemistry
3.2. Quantity and Quality of EO
4. Materials and Methods
4.1. Plant Material
4.2. Microscopic Preparation
4.2.1. Light Microscopy (LM)
4.2.2. Scanning Electron Microscopy (SEM)
4.3. Histochemical Assays
4.4. Phytochemical Analysis
5. Conclusions
Author Contributions
Funding
Institutional Review Board Statement
Informed Consent Statement
Data Availability Statement
Conflicts of Interest
References
- Ehrendorfer, F.; Guo, Y.P. Multidisciplinary studies on Achillea sensu lato (Compositae-Anthemideae): New data on systematics and phylogeography. Willdenowia 2006, 36, 69–87. [Google Scholar] [CrossRef][Green Version]
- Zengin, G.; Aktumsek, A.; Ceylan, R.; Uysal, S.; Mocan, A.; Guler, G.O.; Mahomoodally, M.F.; Glamočlija, J.; Ćirićf, A.; Soković, M. Shedding light on the biological and chemical fingerprints of three Achillea species (A. biebersteinii, A. millefolium and A. teretifolia). Food Funct. 2017, 8, 1152–1165. [Google Scholar] [CrossRef]
- Afshari, M.; Rahimmalek, M.; Miroliaei, M. Variation in polyphenolic profiles, antioxidant and antimicrobial activity of different Achillea species as natural sources of antiglycative compounds. Chem. Biodivers. 2018, 15, e1800075. [Google Scholar] [CrossRef] [PubMed]
- Salehi, B.; Selamoglu, Z.; Sevindik, M.; Fahmy, N.M.; Al-Sayed, E.; El-Shazly, M.; Büsselberg, D. Achillea spp.: A comprehensive review on its ethnobotany, phytochemistry, phytopharmacology and industrial applications. Cell. Mol. Biol. 2020, 66, 78–103. [Google Scholar] [CrossRef] [PubMed]
- Barda, C.; Grafakou, M.E.; Tomou, E.M.; Skaltsa, H. Phytochemistry and evidence-based traditional uses of the genus Achillea L.: An update (2011–2021). Sci. Pharm. 2021, 89, 50. [Google Scholar] [CrossRef]
- Applequist, W.L.; Moerman, D.E. Yarrow (Achillea millefolium L.): A neglected panacea? A review of ethnobotany, bioactivity, and biomedical research. Econ. Bot. 2011, 65, 209–225. [Google Scholar] [CrossRef]
- Kohlmünzer, S. Farmakognozja; PZWL Wydawnictwo Lekarskie: Warszawa, Poland, 2020; p. 599. [Google Scholar]
- Guo, Y.P.; Saukel, J.; Ehrendorfer, F. AFLP trees versus scatterplots: Evolution and phylogeography of the polyploid complex Achillea millefolium agg. (Asteraceae). Taxon 2008, 57, 153–169. [Google Scholar] [CrossRef]
- Bączek, K.; Kosakowska, O.; Przybył, J.L.; Kuźma, P.; Ejdys, M.; Obiedziński, M.; Węglarz, Z. Intraspecific variability of yarrow (Achillea millefolium L. s.l.) in respect of developmental and chemical traits. Herba Pol. 2015, 61, 37–52. [Google Scholar] [CrossRef]
- Štrbac, F.; Bosco, A.; Amadesi, A.; Rinaldi, L.; Stojanović, D.; Simin, N.; Orčić, D.; Pušić, I.; Krnjajić, S.; Ratajac, R. In Vitro Ovicidal Activity of Two Chemotypes of the Yarrow (Achillea millefolium L.) Essential oil against ovine gastrointestinal nematode eggs. Arhiv Vet. Med. 2020, 13, 59–76. [Google Scholar] [CrossRef]
- The Plant List. Available online: www.theplantlist.org (accessed on 25 August 2023).
- Nowak, K.; Ogonowski, J.; Szulc, K. Application and characteristics of Achillea millefolium and its oil. Chemik 2010, 64, 103–110. [Google Scholar]
- Mohammed, H.A.; Abd-Elraouf, M.; Sulaiman, G.M.; Almahmoud, S.A.; Hamada, F.A.; Khan, R.A.; Hegazy, M.M.; Abd-El-Wahab, M.F.; Kedra, T.A.; Ismail, A. Variability in the volatile constituents and biological activities of Achillea millefolium L. essential oils obtained from different plant parts and by different solvents. Arab. J. Chem. 2023, 16, 105103. [Google Scholar] [CrossRef]
- Abou Baker, D.H. Achillea millefolium L. ethyl acetate fraction induces apoptosis and cell cycle arrest in human cervical cancer (HeLa) cells. Ann. Agric. Sci. 2020, 65, 42–48. [Google Scholar] [CrossRef]
- Gaweł-Bęben, K.; Strzępek-Gomółka, M.; Czop, M.; Sakipova, Z.; Głowniak, K.; Kukula-Koch, W. Achillea millefolium L. and Achillea biebersteinii Afan. hydroglycolic extracts–bioactive ingredients for cosmetic use. Molecules 2020, 25, 3368. [Google Scholar] [CrossRef]
- Strzępek-Gomółka, M.; Gaweł-Bęben, K.; Kukula-Koch, W. Achillea species as sources of active phytochemicals for dermatological and cosmetic applications. Oxid. Med. Cell. Longev. 2021, 3, 6643827. [Google Scholar] [CrossRef] [PubMed]
- Łuczaj, Ł.; Pieroni, A.; Tardío, J.; Pardo-de-Santayana, M.; Sõukand, R.; Svanberg, I.; Kalle, R. Wild food plant use in 21st century Europe: The disappearance of old traditions and the search for new cuisines involving wild edibles. Acta Soc. Bot. Pol. 2012, 81, 359–370. [Google Scholar] [CrossRef]
- European Pharmacopoeia 11. Yarrow. Millefolii herba. 2023. Available online: https://www.edqm.eu/en/european-pharmacopoeia-ph.-eur.-11th-edition (accessed on 16 June 2023).
- Daniel, P.S.; Lourenço, E.L.B.; Sete da Cruz, R.M.; de Souza Goncalves, C.H.; Marques Das Almas, L.R.; Hoscheid, J.; da Silva, C.; Jacomass, E.; Junior, R.B.; Alberton, O. Composition and antimicrobial activity of essential oil of yarrow (Achillea millefolium L.). Aust. J. Crop Sci. 2020, 14, 545–550. [Google Scholar] [CrossRef]
- Askari, F.; Mirza, M.; Tafti, M.M. Effect of density and year of cultivation on essential oil content and chemical compounds of Achillea millefolium subsp. elbursensis. Indian J. Nat. Prod. Resour. 2021, 12, 122–127. [Google Scholar]
- Boris, A.J.; Takahama, S.; Weakley, A.T.; Debus, B.M.; Shaw, S.L.; Edgerton, E.S.; Joo, T.; Ng, N.L.; Dillner, A.M. Quantifying organic matter and functional groups in particulate matter filter samples from the southeastern United States—Part 2: Spatiotemporal trends. Atmos. Meas. Tech. 2021, 14, 4355–4374. [Google Scholar] [CrossRef]
- Ni, Z.; Wu, Y.; Zhang, K.; Dong, M.; Sauriol, F.; Huo, C.; Gu, Y.; Shi, Q. A monoterpene and two sesquiterpenoids from the flowers of Achillea millefolium. Chem. Nat. Compd. 2013, 49, 450–453. [Google Scholar] [CrossRef]
- Arias-Durán, L.; Estrada-Soto, S.; Hernández-Morales, M.; Millán-Pacheco, C.; Navarrete-Vázquez, G.; Villalobos-Molina, R.; Ibarra-Barajas, M.; Almanza-Pérez, J.C. Antihypertensive and vasorelaxant effect of leucodin and achillin isolated from Achillea millefolium through calcium channel blockade and NO production: In vivo, functional ex vivo and in silico studies. J. Ethnopharmacol. 2021, 273, 113948. [Google Scholar] [CrossRef]
- Leino, T.O.; Sieger, P.; Yli-Kauhaluoma, J.; Wallén, E.A.A.; Kley, J.T. The azulene scaffold from a medicinal chemist’s perspective: Physicochemical and in vitro parameters relevant for drug discovery. Eur. J. Med. Chem. 2022, 237, 114374. [Google Scholar] [CrossRef] [PubMed]
- Villanueva-Bermejo, D.; Zahran, F.; Troconis, D.; Villalva, M.; Reglero, G.; Fornari, T. Selective precipitation of phenolic compounds from Achillea millefolium L. extracts by supercritical anti-solvent technique. J. Supercrit. Fluids 2017, 120, 52–58. [Google Scholar] [CrossRef]
- Salomon, L.; Lorenz, P.; Bunse, M.; Spring, O.; Stintzing, F.C.; Kammerer, D.R. 2021 Comparison of the Phenolic Compound Profile and Antioxidant Potential of Achillea atrata L. and Achillea millefolium L. Molecules 2021, 26, 1530. [Google Scholar] [CrossRef] [PubMed]
- Edreva, A.; Vitkova, A.; Gesheva, E. Field-Cultivated plants from Achillea millefolium group: Total flavonoid content, antiradical and antioxidant activities in stems and leaves, and ratio of plant parts. Genet. Plant Physiol. 2019, 9, 3–10. [Google Scholar]
- Farhadi, N.; Babaei, K.; Farsaraei, S.; Moghaddam, M.; Pirbaloti, A.G. Changes in essential oil compositions, total phenol, flavonoids and antioxidant capacity of Achillea millefolium at different growth stages. Ind. Crops Prod. 2020, 152, 112570–112576. [Google Scholar] [CrossRef]
- Grigore, A.; Colceru-Mihul, S.; Bazdoaca, C.; Yuksel, R.; Ionita, C.; Glava, L. Antimicrobial activity of an Achillea millefolium L. Proceedings 2020, 57, 34. [Google Scholar] [CrossRef]
- Adil, M.; Dastagir, G.; Bakht, J.; Ambrin, A. Phytochemical screening and antimicrobial activity of medicinally important Achillea millefolium L. and Chaerophyllum villosum Wall Exdc. Pak. J. Bot. 2020, 52, 971–974. [Google Scholar] [CrossRef]
- Karimi, A.; Niazkar, H.R.; Azar, P.S.; Tutunchi, H.; Karimi, M.; Asghariazar, V.; Kooshki, F. Protective effect of hydro-alcoholic extract of Achillea millefolium on renal injury and biochemical factors in streptozotocin-induced diabetic rats. Nutr. Food Sci. 2021, 51, 1068–1083. [Google Scholar] [CrossRef]
- Jahromi, G.P.; Imani, E.; Nasehi, M.; Shahriari, A. Effect of Achillea millefolium aqueous extract on memory deficit and anxiety caused by stroke in ovariectomized rats. J. Herbmed Pharmacol. 2019, 8, 153–159. [Google Scholar] [CrossRef]
- Varzaneh, F.E.; Nahidi, F.; Mojab, F.; Pourhoseingholi, M.A. Effect of Achillea millefolium on the intensity and duration of menstrual bleeding of women with menorrhagia. Iran. J. Obstet. Gynecol. Infertil. 2020, 23, 67–77. [Google Scholar] [CrossRef]
- Niazipoor, G.; AghaAlikhani, M.; Mokhtassi-Bidgoli, A.; Vitalini, S. Essential oil profile of yarrow (Achillea spp. and Tanacetum spp.) ecotypes and their allelopathic potential to suppress redroot pigweed (Amaranthus retroflexus L.). Res. Sq. 2023, in press. [Google Scholar] [CrossRef]
- Alomair, M.K.; Alabduladheem, L.S.; Almajed, M.A.; Alobaid, A.A.; Alkhalifah, E.A.; Younis, N.S.; Mohamed, M.E. Achillea millefolium essential oil mitigates peptic ulcer in rats through Nrf2/HO-1 pathway. Molecules 2022, 27, 7908. [Google Scholar] [CrossRef]
- Alzomor, A.K.Y.; Al-Absi, N.H.; Al-hssany, A.F.; Al-Salahi, H.S.; Almushra’a, A.A. Investigate the effects of Achillea millefolium plant extract as a hepatoprotection on carbon tetrachloride-induced liver toxicity in female rats. Saudi J. Med. Pharm. Sci. 2022, 8, 227–233. [Google Scholar] [CrossRef]
- Becker, L.C.; Bergfeld, W.F.; Belsito, D.V.; Hill, R.A.; Klaassen, C.D.; Liebler, D.C.; Marks, M.G., Jr.; Shank, R.C.; Slaga, T.J.; Snyder, P.W.; et al. Safety assessment of Achillea millefolium as used in cosmetics. Int. J. Toxicol. 2016, 35 (Suppl. S3), 5S–15S. [Google Scholar] [CrossRef] [PubMed]
- Calapai, G.; Casciaro, M.; Miroddi, M.; Calapai, F.; Navarra, M.; Gangemi, S. Montelukast-induced adverse drug reactions: A review of case reports in the literature. Pharmacology 2014, 94, 60–70. [Google Scholar] [CrossRef]
- Hamzic, A.; Ginko, E.; Delic, N.; Kozarevic, E.C.; Izic, B.; Hamzic, D.; Sarić-Kundalic, B. Therapeutic effect of ointment for psoriasis based on Achillea millefolium L., Calendula officinalis L. and Salvia officinalis L. Technol. Acta 2022, 15, 69–79. [Google Scholar]
- Syakri, S.; Ismail, I.; Amal, N.M.; Masjidi, N.A.; Tahir, K.A. Characterization and anti-aging tests of peel-off gel masks made from ethanolic extract of yarrow (Achillea millefolium). Open Access Maced. J. Med. Sci. 2021, 9, 1156–1161. [Google Scholar] [CrossRef]
- CosIng Cosmetic Ingredient Database. Available online: https://ec.europa.eu/growth/sectors/cosmetics/cosing_en (accessed on 15 July 2023).
- Mistry, N. Guidelines for formulating anti-pollution products. Cosmetics 2017, 4, 57. [Google Scholar] [CrossRef]
- Tadić, V.; Arsić, I.; Zvezdanović, J.; Zugić, A.; Cvetković, D.; Pavkov, S. The estimation of the traditionally used yarrow (Achillea millefolium L. Asteraceae) oil extracts with anti-inflamatory potential in topical application. J. Ethnopharmacol. 2017, 199, 138–148. [Google Scholar] [CrossRef]
- Łuczaj, Ł. Changes in Assumption Day Herbal Bouquets in Poland: A nineteenth century study revisited. Econ. Bot. 2011, 65, 66–75. [Google Scholar] [CrossRef]
- Mohammadhosseini, M.; Sarker, S.D.; Akbarzadeh, A. Chemical composition of the essential oils and extracts of Achillea species and their biological activities: A review. J. Ethnopharmacol. 2017, 199, 257–315. [Google Scholar] [CrossRef] [PubMed]
- Kalle, R.; Sõukand, R.; Pieroni, A. Devil is in the details: Use of wild food plants in historical Võromaa and Setomaa, present-day Estonia. Foods 2020, 9, 570. [Google Scholar] [CrossRef] [PubMed]
- Darnahal, E.; Jamshidi, M.; Jafarlou, M.; Hasheminia, S. Insecticidal and repellent effects of essential oilsfrom different parts of Achillea millefolium against adult of Oryzaephilus surinamensis L. (Coleoptera, Silvanidae). Appl. Plant Prot. 2018, 7. in press. [Google Scholar]
- Figueiredo, A.C.; Pais, M.S.S. Ultrastructural aspects of the glandular cells from the secretory trichomes and from the cell suspension cultures of Achillea millefolium L. ssp. millefolium. Ann. Bot. 1994, 74, 179–190. [Google Scholar] [CrossRef]
- Aytas Akcin, T.; Akcin, A. Morphological and anatomical characteristics and taxonomical significance of achene micromorphology of Achillea phrygia and A. gypsicola (Asteraceae), endemic to Turkey. Nord. J. Bot. 2010, 28, 65–73. [Google Scholar] [CrossRef]
- Afshari, M.; Rahimmalek, M. Variation in essential oil composition, bioactive compounds, anatomical and antioxidant activity of Achillea aucheri, an endemic species of Iran, at different phenological stages. Chem. Biodivers. 2018, 15, e1800319. [Google Scholar] [CrossRef] [PubMed]
- Ilham, M.; Mukarromah, S.R.; Rakashiwi, G.A.; Indriati, D.I.; Yoku, B.F.; Purnama, P.R.; Junairiah, J.; Prasongsuk, S.; Purnobasuki, H.; Wahyuni, D.K. Morpho-anatomical characterization and DNA barcoding of Achillea millefolium L. Biodiversitas 2022, 23, 1958–1969. [Google Scholar] [CrossRef]
- Tekin, M.; Akdere, Ş. Anatomical investigations of the Turkish critically endangered species: Achillea sivasica Çelik et Akpulat (Asteraceae). Acta Bot. Croat. 2021, 80, 91–98. [Google Scholar] [CrossRef]
- Haratym, W.; Weryszko-Chmielewska, E.; Konarska, A. Microstructural and histochemical analysis of aboveground organs of Centaurea cyanus used in herbal medicine. Protoplasma 2020, 257, 285–298. [Google Scholar] [CrossRef]
- Mercado, M.I.; Marcial, G.; Catalán, J.V.; Grau, A.; Catalán, C.A.; Ponessa, G.I. Morphoanatomy, histochemistry, essential oil, and other secondary metabolites of Artemisia copa (Asteraceae). Bot. Lett. 2021, 168, 577–593. [Google Scholar] [CrossRef]
- Paes de Almeida, V.; Heiden, G.; Raman, V.; Novatski, A.; Bussade, J.E.; Farago, P.V.; Manfron, J. Microscopy and histochemistry of leaves and stems of Baccharis subgenus Coridifoliae (Asteraceae) through LM and SEM-EDS. Microsc. Microanal. 2021, 27, 1273–1289. [Google Scholar] [CrossRef]
- Orav, A.; Arak, E.; Raal, A. Phytochemical analysis of the essential oil of Achillea millefolium L. from various European Countries. Nat. Prod. Res. 2006, 20, 1082–1088. [Google Scholar] [CrossRef] [PubMed]
- Mazandarani, M.; Mirdeilami, S.Z.; Pessarakli, M. Essential oil composition and antibacterial activity of Achillea millefolium L. from different regions in North east of Iran. J. Med. Plants Res. 2013, 7, 1063–1069. [Google Scholar]
- Aćimović, M.; Zorić, M.; Zheljazkov, V.D.; Pezo, L.; Čabarkapa, I.; Stanković Jeremić, J.; Cvetković, M. Chemical characterization and antibacterial activity of essential oil of medicinal plants from Eastern Serbia. Molecules 2020, 25, 5482. [Google Scholar] [CrossRef]
- Turk, B.; Baričevič, D.; Batič, F. Essential oil content, chamazulene content and antioxidative properties of Achillea millefolium agg. extracts from Slovenia. Acta Agric. Slov. 2021, 117, 1–10. [Google Scholar] [CrossRef]
- Garzoli, S.; Cicaloni, V.; Salvini, L.; Trespidi, G.; Iriti, M.; Vitalini, S. SPME-GC-MS Analysis of the volatile profile of three fresh yarrow (Achillea millefolium L.) Morphotypes from different regions of Northern Italy. Separations 2023, 10, 51. [Google Scholar] [CrossRef]
- Ferreira, J.F.S.; Janick, J. Floral morphology of Artemisia annua with special reference to trichomes. Int. J. Plant. Sci. 1995, 156, 807–815. [Google Scholar]
- Cornara, L.; Bononi, M.; Tateo, F.; Serrato-Valenti, G.; Mariotti, M.G. Trichomes on vegetative and reproductive organs of Stevia rebaudiana (Asteraceae). Structure and secretory products. Plant Biosyst. 2001, 135, 25–37. [Google Scholar] [CrossRef]
- Heinrich, G.; Pfeifhofe, H.W.; Stabentheiner, E.; Sawidis, T. Glandular hairs Sigesbeckia jorullensis Kunth (Asteraceae): Morphology, histochemistry and composition of essential oil. Ann. Bot. 2002, 89, 459–469. [Google Scholar] [CrossRef]
- Sulborska, A. Micromorphology of flowers, anatomy and ultrastructure of Chamomilla recutita (L.) Rausch. (Asteraceae) nectary. Acta Agrobot. 2011, 64, 23–34. [Google Scholar] [CrossRef]
- Sulborska, A. Structure and distribution of glandular and non-glandular trichomes on above-ground organs in Inula helenium L. (Asteraceae). Acta Agrobot. 2013, 66, 25–34. [Google Scholar] [CrossRef]
- Reed, A.; Rudall, P.J.; Brockington, S.F.; Glover, B.J. Conical petal epidermal cells, regulated by the MYB transcription factor MIXTA, have an ancient origin within the angiosperms. J. Exp. Bot. 2022, 73, 5490–5502. [Google Scholar] [CrossRef] [PubMed]
- Ojeda, D.I.; Valido, A.; Fernández de Castro, A.G.; Ortega-Olivencia, A.; Fuertes-Aguilar, J.; Carvalho, J.A.; Santos-Guerra, A. Pollinator shifts drive petal epidermal evolution on the Macaronesian Islands bird-flowered species. Biol. Lett. 2016, 12, 20160022. [Google Scholar] [CrossRef] [PubMed]
- Bailes, E.J.; Glover, B.J. Intraspecific variation in the petal epidermal cell morphology of Vicia faba L. (Fabaceae). Flora 2018, 244–245, 29–36. [Google Scholar] [CrossRef] [PubMed]
- Stavenga, D.G.; Staal, M.; Van der Kooi, C.J. Conical epidermal cells cause velvety coloration and enhanced patterning in Mandevilla flowers. Faraday Discuss. 2020, 223, 98–106. [Google Scholar] [CrossRef]
- Bączek, K.; Kosakowska, O.; Przybył, J.; Kuczerenko, A.; Pióro-Jabrucka, E.; Węglarz, Z. Zróżnicowanie chemiczne dziko rosnących populacji krwawnika pospolitego (Achillea millefolium L.). J. Agronom. 2013, 15, 89–94. [Google Scholar]
- Zawiślak, G.; Nurzyńska-Wierdak, R. Plon surowca uprawianych oraz dziko rosnących roślin krwawnika pospolitego (Achillea millefolium L.) i wrotyczu pospolitego (Tanacetum vulgare L.). Ann. Horti. 2017, 27, 27–35. [Google Scholar] [CrossRef]
- Benedek, B.; Rothwangl-Wiltschnigg, K.; Rozema, E.; Gjoncaj, N.; Reznicek, G.; Jurenitsch, J.; Kopp, B.; Glasl, S. Yarrow (Achillea millefolium L. sl): Pharmaceutical quality of commercial samples. Pharmazie 2008, 63, 23–26. [Google Scholar] [CrossRef]
- Rohloff, J.; Skagen, E.B.; Steen, A.H.; Iversen, T.H. Production of yarrow (Achillea millefolium L.) in Norway: Essential oil content and quality. J. Agric. Food Chem. 2000, 48, 6205–62059. [Google Scholar] [CrossRef]
- Orav, A.; Kailas, T.; Ivask, K. Composition of the essential oil from Achillea millefolium L. from Estonia. J. Essent. Oil Res. 2001, 13, 290–294. [Google Scholar] [CrossRef]
- Judzentiene, A.; Mockute, D. Essential oil composition of two yarrow taxonomic forms. Cent. Eur. J. Biol. 2010, 5, 346–352. [Google Scholar] [CrossRef]
- Zawiślak, G.; Nurzyńska-Wierdak, R. Rozwój roślin oraz skład chemiczny olejku eterycznego krwawnika pospolitego (Achillea millefolium L.) uprawianego w warunkach klimatu umiarkowanego. Ann. Horti. 2017, 27, 31–38. [Google Scholar] [CrossRef]
- Guz, L.; Wawrzykowski, J.; Adaszek, Ł. Anti-babesial potential and chemical composition of essential oil from yarrow Achillea millefolium. Pol. J. Vet. Sci. 2021, 24, 79–84. [Google Scholar] [CrossRef]
- Dąbrowska, J. 2023. Rozmieszczenie azulenowych i bezazulenowych form Achillea L. w Czechach. Herbalism 2023, 8, 152–165. [Google Scholar] [CrossRef]
- Candan, F.; Unlu, M.; Tepe, B.; Daferera, D.; Polissiou, M.; Sökmen, A.; Akpulat, H.A. Antioxidant and antimicrobial activity of the essential oil and methanol extracts of Achillea millefolium subsp. millefolium Afan. (Asteraceae). J. Ethnopharmacol. 2003, 87, 215–220. [Google Scholar] [CrossRef] [PubMed]
- Azizi, M.; Chizzola, R.; Ghani, A.; Oroojalian, F. Composition at different development stages of the essential oil of four Achillea species grown in Iran. Nat. Prod. Commun. 2010, 5, 283–290. [Google Scholar] [CrossRef]
- Mockute, D.; Judzentiene, A. Variability of the essential oils composition of Achillea millefolium ssp. millefolium growing wild in Lithuania. Biochem. Syst. Ecol. 2003, 31, 1033–1045. [Google Scholar] [CrossRef]
- Chan, W.-K.; Tan, L.T.-H.; Chan, K.-G., 3rd; Lee, L.-H.; Go, B.-H. (E)-nerolidol: A sesquiterpene alcohol with multi-faceted pharmacological and biological activities. Molecules 2016, 21, 529. [Google Scholar] [CrossRef]
- Vespermann, K.A.C.; Paulino, B.N.; Barcelos, M.C.S.; Pessôa, M.G.; Pastore, G.M.; Molina, G. Biotransformation of α- and β-pinene into flavor compounds. Appl. Microbiol. Biotechnol. 2017, 101, 1805–1817. [Google Scholar] [CrossRef]
- Arunachalam, S.; Nagoor Meeran, M.F.; Azimullah, S.; Sharma, C.; Goyal, S.N.; Ojha, S. (E)-nerolidol attenuates oxidative stress, inflammation, and apoptosis by modulating Nrf2/MAPK signaling pathways in doxorubicin-induced acute cardiotoxicity in rats. Antioxidants 2021, 10, 984. [Google Scholar] [CrossRef]
- Nyamwihura, R.J.; Ogungbe, I.V. The pinene scaffold: Its occurrence, chemistry, synthetic utility, and pharmacological importance. RSC Adv. 2022, 12, 11346–11375. [Google Scholar] [CrossRef] [PubMed]
- Hoch, C.C.; Petry, J.; Griesbaum, L.; Weiser, T.; Werner, K.; Ploch, M.; Verschoor, A.; Multhoff, G.; Dezfouli, A.B.; Wollenberg, B. 1,8-cineole (eucalyptol): A versatile phytochemical with therapeutic applications across multiple diseases. Biomed. Pharmacother. 2023, 167, 115467. [Google Scholar] [CrossRef] [PubMed]
- O’Brien, T.P.; McCully, M.E. The Study of Plant Structure: Principles and Selected Methods; Termarcarphi Pty. Ltd.: Melbourne, Australia, 1981. [Google Scholar]
- Johansen, D.A. Plant Microtechnique, 1st ed.; London McGraw Hill: London, UK, 1940. [Google Scholar]
- Lison, L. Histochimie et Cytochimie Animales, 3rd ed.; Gauthier-Villars: Paris, France, 1960. [Google Scholar]
- Kirk, P.W. Neutral red as a lipid fluorochrome. Stain Technol. 1970, 45, 1–4. [Google Scholar] [CrossRef] [PubMed]
- Conn, H.J. Biological Stains: A Handbook on the Nature and Uses of the Dyes Employed in the Biological Laboratory, 9th ed.; Williams & Wilkins: Baltimore, MD, USA, 1977. [Google Scholar]
- Cain, A.J. The use of Nile blue in the examination of lipids. Q. J. Microsc. Sci. 1947, 88, 383–392. [Google Scholar]
- Jensen, W.A. Botanical Histochemistry Principles and Practice, 1st ed.; WH Freeman and Company: San Francisco, CA, USA, 1962. [Google Scholar]
- Geissman, T.A.; Griffin, T.S. Sesquiterpene lactones: Acid-catalysed color reactions as an aid in structure determination. Phytochemistry 1971, 10, 2475–2485. [Google Scholar] [CrossRef]
- Cappelletti, E.M.; Caniato, R.; Appendino, G. Localization of the cytotoxic hydroperoxyeudesmanolides in Artemisia umbelliformis. Biochem. Syst. Ecol. 1986, 14, 183–190. [Google Scholar] [CrossRef]
- Van Den Dool, H.; Kratz, P.D. A generalization of the retention index system including linear temperature programmed gas-liquid partition chromatography. J. Chromatogr. 1963, 11, 463–471. [Google Scholar] [CrossRef]








| Plant Organ | Height of Trichome (μm) | Width of Trichome (μm) | ||
|---|---|---|---|---|
| Min–Mix | Mean ± SD | Min–Max | Mean ± SD | |
| Stem | 38.55–48.83 | 43.46 ± 5.56 | 30.84–64.25 | 42.28 ± 15.67 |
| Leaf | 51.40–53.97 | 52.69 ± 1.10 | 35.98–38.55 | 37.70 ± 0.89 |
| Disc flower | 64.25–82.10 | 71.32 ± 10.20 | 84.81–107.94 | 98.51 ± 15.21 |
| Ray flower | 56.54–82.24 | 69.39 ± 9.84 | 77.10–92.52 | 83.70 ± 8.65 |
| Receptacular bract | 64.25–79.67 | 71.96 ± 7.45 | 77.50–95.09 | 86.10 ± 8.76 |
| Plant Organ | Length of Trichome (μm) | Width of Trichome (μm) | ||
|---|---|---|---|---|
| Min–Max | Mean ± SD | Min–Max | Mean ± SD | |
| Stem | 765.6–2705.12 | 1621.17 ± 759.89 | 14.14–46.26 | 27.72 ± 14.33 |
| Leaf | 459.45–2807.75 | 1410.0 ± 896.21 | 16.30–34.28 | 24.66 ± 10.87 |
| Receptacular bract | 256.68–342.24 | 299.46 ± 38.90 | 15.42–17.99 | 16.91 ± 1.48 |
| Involuclar bract | 59.11–95.09 | 84.24 ± 9.85 | 12.85–17.99 | 16.0 ± 1.37 |
| Metabolite | Reagent | Color | Ray Flowers | Inflorescence Stem | ||
|---|---|---|---|---|---|---|
| Glandular Trichomes | Non-Glandular Trichomes | Glandular Trichomes | Secretory Canals | |||
| Total lipids/ Essential oil | Sudan IV | orange | + | + | + | + |
| Neutral red | red | + | + | + | + | |
| Acidic lipids | Nile blue | blue | + | + | − | − |
| Neutral lipids | Nile blue | pink, violet | + | − | + | + |
| Sesquiterpenes | Conc. sulphuric acid | yellow | + | − | − | − |
| No | Compound | Class * | Retention Time (min.) | Retention Index Acc. to Kovats | Herb % | Flowers % |
|---|---|---|---|---|---|---|
| 1 | xylene | M | 5.25 | 869 | 0.87 | 0.82 |
| 2 | tricyclene | M | 6.63 | 922 | 0.17 | 0.13 |
| 3 | α-thujene | M | 6.72 | 925 | 0.20 | 0.25 |
| 4 | α-pinene | Md | 6.95 | 933 | 5.29 | 3.83 |
| 5 | camphene | M | 7.46 | 949 | 3.20 | 2.29 |
| 6 | benzaldehyde | OM | 7.92 | 964 | 0.09 | 0.12 |
| 7 | sabinene | M | 8.16 | 973 | 4.18 | 6.04 |
| 8 | β-pinene | Md | 8.33 | 978 | 9.90 | 12.22 |
| 9 | myrcene | M | 8.67 | 989 | 0.16 | 0.14 |
| 10 | α-phellandrene | M | 9.25 | 1007 | 0.07 | 0.10 |
| 11 | α-terpinene | M | 9.60 | 1017 | 0.15 | 0.29 |
| 12 | p-cymene | M | 9.88 | 1025 | 1.29 | 1.06 |
| 13 | limonene | M | 10.03 | 1030 | 0.60 | 0.42 |
| 14 | β-phellandrene | M | 10.08 | 1031 | 0.11 | 0.19 |
| 15 | 1.8-cineole | OMd | 10.16 | 1033 | 5.83 | 6.45 |
| 16 | (Z)-β-ocimene | Md | 10.24 | 1036 | 0.12 | 0.13 |
| 17 | (E)-β-ocimene | M | 10.60 | 1046 | 0.20 | 0.23 |
| 18 | γ-terpinene | M | 11.03 | 1059 | 0.83 | 0.96 |
| 19 | cis-sabinene hydrate | OMd | 11.49 | 1072 | 0.33 | 0.21 |
| 20 | terpinolene | M | 11.98 | 1086 | 0.10 | 0.14 |
| 21 | linalool | OMd | 12.51 | 1101 | 0.08 | 0.08 |
| 22 | trans-sabinene hydrate | OMd | 12.58 | 1103 | 0.24 | 0.22 |
| 23 | cis-p menth-2-en-1-ol | OM | 13.40 | 1127 | 0.05 | 0.07 |
| 24 | trans-pinocarveol | OMd | 14.00 | 1144 | 0.24 | 0.22 |
| 25 | camphor | OM | 14.23 | 1151 | 5.81 | 5.28 |
| 26 | cis-chrysanthenol | Md | 14.78 | 1166 | 0.45 | 0.72 |
| 27 | δ-terpineol | OMd | 15.04 | 1173 | 0.10 | 0.09 |
| 28 | borneol | OMd | 15.12 | 1176 | 6.18 | 5.25 |
| 29 | terpinen-4-ol | OMd | 15.39 | 1183 | 0.80 | 1.23 |
| 30 | α-terpineol | OMd | 15.91 | 1198 | 1.66 | 1.78 |
| 31 | trans-carveol | Md | 16.75 | 1222 | 0.09 | 0.10 |
| 32 | cis-chrysanthenyl acetate | OMd | 18.01 | 1259 | 0.20 | 0.14 |
| 33 | bornyl acetate | OMd | 18.95 | 1287 | 9.23 | 4.81 |
| 34 | thymol | OMd | 19.23 | 1295 | 0.32 | 0.22 |
| 35 | piperitenone | OM | 20.82 | 1343 | 0.13 | - |
| 36 | eugenol | OMd | 21.23 | 1356 | 0.37 | 0.18 |
| 37 | piperitenone oxide | OM | 21.54 | 1365 | 0.12 | - |
| 38 | α-copaene | ST | 21.94 | 1377 | 0.29 | 0.24 |
| 39 | β-elemene | ST | 22.38 | 1391 | 0.88 | 0.66 |
| 40 | (E)-caryophyllene | ST | 23.35 | 1422 | 3.38 | 3.95 |
| 41 | α-humulene | ST | 24.48 | 1458 | 0.58 | 0.69 |
| 42 | β-chamigrene | ST | 25.03 | 1475 | 0.25 | 0.25 |
| 43 | γ-curcumene | ST | 25.14 | 1479 | 0.22 | 0.36 |
| 44 | germacrene D | ST | 25.27 | 1483 | 2.91 | 3.33 |
| 45 | α-zingiberene | ST | 25.69 | 1497 | 0.08 | 0.22 |
| 46 | epi-cubebol | STd | 25.73 | 1498 | 0.29 | 0.25 |
| 47 | α-cuprenene | ST | 25.85 | 1502 | 0.06 | 0.16 |
| 48 | sesquicineole | STd | 26.25 | 1515 | 0.55 | 0.47 |
| 49 | cubebol | STd | 26.34 | 1518 | 0.28 | 0.17 |
| 50 | δ-cadinene | ST | 26.40 | 1521 | 0.53 | 0.79 |
| 51 | β-sesquiphellandrene | STd | 26.55 | 1526 | 0.12 | 0.22 |
| 52 | elemol | STd | 27.32 | 1552 | 1.26 | 0.26 |
| 53 | (E)-nerolidol | STd | 27.65 | 1563 | 3.47 | 7.34 |
| 54 | spathulenol | STd | 28.19 | 1581 | 1.51 | 0.91 |
| 55 | caryophyllene oxide | OSTd | 28.34 | 1586 | 3.54 | 2.70 |
| 56 | viridiflorol | STd | 28.70 | 1598 | 0.92 | 1.14 |
| 57 | humulene epoxide II | OST | 29.15 | 1614 | 0.35 | 0.33 |
| 58 | eremoligenol | STd | 29.55 | 1628 | 0.97 | 2.13 |
| 59 | γ-eudesmol | STd | 29.77 | 1636 | 0.55 | 0.62 |
| 60 | caryophylla-4(14).8(15)-dien-5-α-ol | STd | 29.93 | 1642 | 0.83 | 0.65 |
| 61 | epi-α-cadinol | STd | 30.04 | 1646 | 0.41 | 0.86 |
| 62 | aromadendrene epoxide | OST | 30.19 | 1651 | 0.32 | 0.33 |
| 63 | himachalol | STd | 30.42 | 1660 | 1.98 | 1.38 |
| 64 | neo-intermedeol | STd | 30.52 | 1663 | 2.76 | 1.62 |
| 65 | 14-hydroxy-9-epi-(E)-caryophyllene | STd | 30.84 | 1675 | 0.90 | 0.77 |
| 66 | germacra-4(15).5.10(14)-trien-1α-ol | STd | 31.25 | 1689 | 2.29 | 2.66 |
| 67 | amorpha-4.9-dien-2-ol | STd | 31.42 | 1695 | 0.24 | 0.46 |
| 68 | shyobunol | STd | 31.53 | 1699 | 0.16 | 0.14 |
| 69 | (2Z,6E)-farnesol | STd | 32.03 | 1718 | 0.58 | 1.39 |
| 70 | 6S,7R-bisabolone | OSTd | 32.81 | 1747 | 3.02 | 1.17 |
| Total % | 96.24 | 95.04 | ||||
Disclaimer/Publisher’s Note: The statements, opinions and data contained in all publications are solely those of the individual author(s) and contributor(s) and not of MDPI and/or the editor(s). MDPI and/or the editor(s) disclaim responsibility for any injury to people or property resulting from any ideas, methods, instructions or products referred to in the content. |
© 2023 by the authors. Licensee MDPI, Basel, Switzerland. This article is an open access article distributed under the terms and conditions of the Creative Commons Attribution (CC BY) license (https://creativecommons.org/licenses/by/4.0/).
Share and Cite
Konarska, A.; Weryszko-Chmielewska, E.; Sulborska-Różycka, A.; Kiełtyka-Dadasiewicz, A.; Dmitruk, M.; Gorzel, M. Herb and Flowers of Achillea millefolium subsp. millefolium L.: Structure and Histochemistry of Secretory Tissues and Phytochemistry of Essential Oils. Molecules 2023, 28, 7791. https://doi.org/10.3390/molecules28237791
Konarska A, Weryszko-Chmielewska E, Sulborska-Różycka A, Kiełtyka-Dadasiewicz A, Dmitruk M, Gorzel M. Herb and Flowers of Achillea millefolium subsp. millefolium L.: Structure and Histochemistry of Secretory Tissues and Phytochemistry of Essential Oils. Molecules. 2023; 28(23):7791. https://doi.org/10.3390/molecules28237791
Chicago/Turabian StyleKonarska, Agata, Elżbieta Weryszko-Chmielewska, Aneta Sulborska-Różycka, Anna Kiełtyka-Dadasiewicz, Marta Dmitruk, and Małgorzata Gorzel. 2023. "Herb and Flowers of Achillea millefolium subsp. millefolium L.: Structure and Histochemistry of Secretory Tissues and Phytochemistry of Essential Oils" Molecules 28, no. 23: 7791. https://doi.org/10.3390/molecules28237791
APA StyleKonarska, A., Weryszko-Chmielewska, E., Sulborska-Różycka, A., Kiełtyka-Dadasiewicz, A., Dmitruk, M., & Gorzel, M. (2023). Herb and Flowers of Achillea millefolium subsp. millefolium L.: Structure and Histochemistry of Secretory Tissues and Phytochemistry of Essential Oils. Molecules, 28(23), 7791. https://doi.org/10.3390/molecules28237791

