Taste Masking of Promethazine Hydrochloride Using l-Arginine Polyamide-Based Nanocapsules
Abstract
1. Introduction
2. Results and Discussion
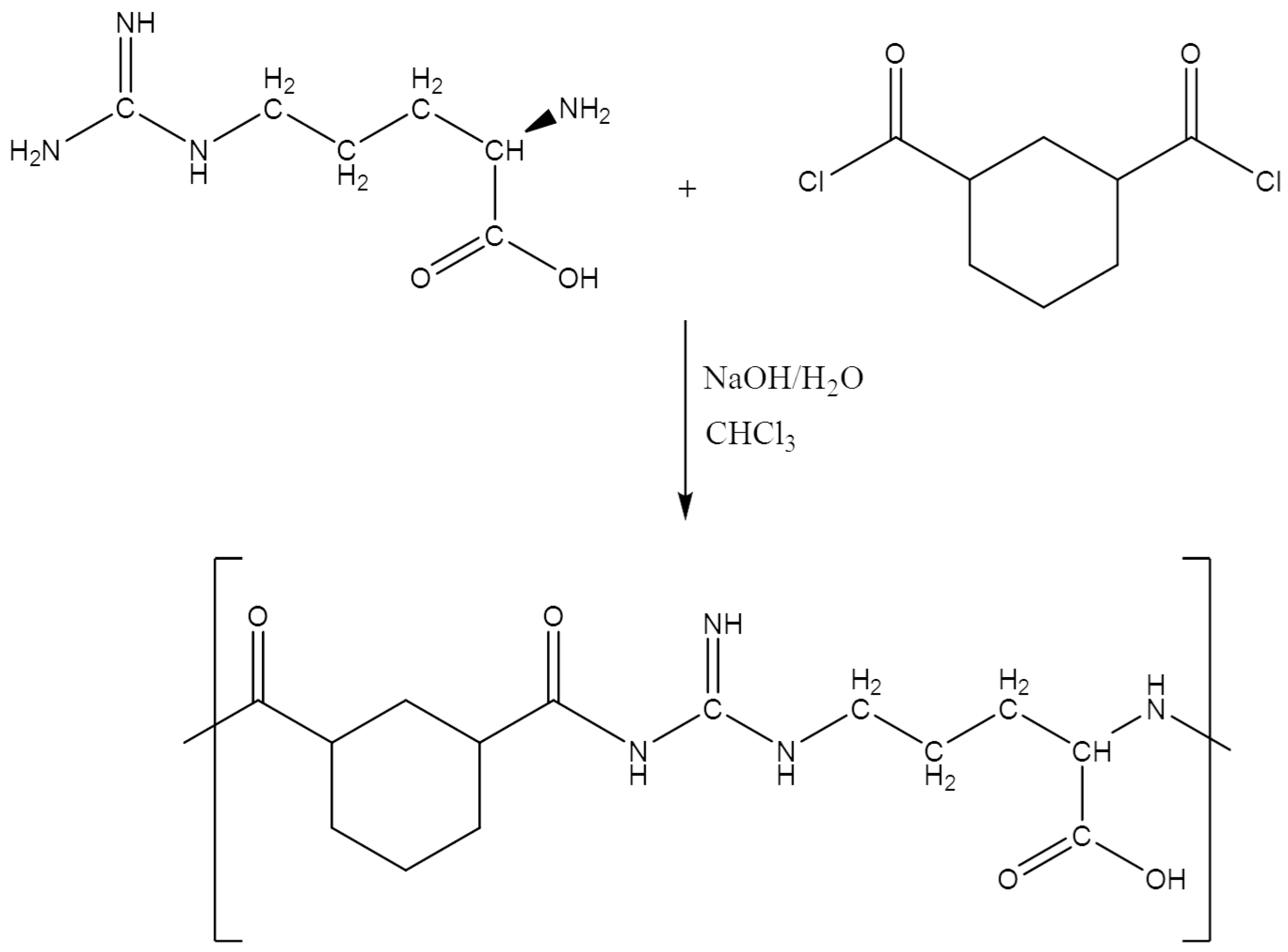
2.1. Synthesis of Polyamide Based on l-Arginine (Arg-PA) and Polyamide Based on l-Arginine Loaded with PMZ Nanocapsules (PMZ/Arg-PA NCs)
2.2. Fourier Transform Infrared (FTIR) Spectroscopy Analysis
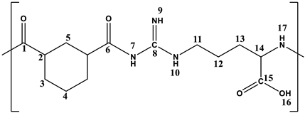
2.3. Nuclear Magnetic Resonance (NMR) Spectroscopy
2.4. Particle Size, Zeta Potential, and TEM Analysis
2.5. Differential Scanning Calorimetry (DSC) Analysis
2.6. X-ray Diffraction Analysis
2.7. HPLC Method for the Quantification of Promethazine
2.8. In Vitro Assessment of Taste Masking
2.9. In Vivo Assessment of Taste Masking
2.10. Release Study
3. Materials and Methods
3.1. Material
3.2. Methods
3.2.1. Synthesis of Polyamide Based on l-Arginine (Arg-PA)
3.2.2. Synthesis of Polyamide Nanocapsules Loaded with PMZ (PMZ/Arg-PA) NCs
3.2.3. Molecular Weight Measurement
3.2.4. Entrapment and Encapsulation Efficiency
3.2.5. Quantification of PMZ Using HPLC
3.2.6. Fourier Transform Infrared Spectroscopy (FTIR) Analysis
3.2.7. Nuclear Magnetic Resonance Spectroscopy (NMR) Analysis
3.2.8. Particle Size Analysis (PSA)/Measurement
3.2.9. X-ray Diffraction Studies (XRD)
3.2.10. Transmission Electron Microscopy (TEM) Analysis
3.2.11. Differential Scanning Calorimetry Analysis (DSC)
3.2.12. In Vitro Assessment of Taste Masking Using a Release Study
3.2.13. Release Study
3.2.14. Animal Study
Animal Husbandry and Care
Palatability Assessment
- Control group: the mice were provided with distilled water.
- Free drug group: the mice in this group were provided with PMZ suspended in distilled water at 1.5 mg/mL.
- Polymer–drug group: the mice in this group were provided with PMZ/Arg-PA NCs suspended in distilled water at 6 mg/mL (the PMZ content was 1.56 mg/mL).
3.2.15. Statistical Analysis
4. Conclusions
Supplementary Materials
Author Contributions
Funding
Institutional Review Board Statement
Informed Consent Statement
Data Availability Statement
Acknowledgments
Conflicts of Interest
Sample Availability
References
- Haware, R.V.; Chaudhari, P.D.; Parakh, S.R.; Bauer-Brandl, A. Development of a Melting Tablet Containing Promethazine HCl Against Motion Sickness. AAPS PharmSciTech 2008, 9, 1006–1015. [Google Scholar] [CrossRef] [PubMed]
- Ganguly, I.; Abraham, S.; Bharath, S.; Madhavan, V. Development of Fast Dissolving Sublingual Wafers of Promethazine Hydrochloride. Iran J. Pharm. Sci. 2014, 10, 71. Available online: http://www.ijps.ir/article_12241.html (accessed on 21 August 2022).
- Alyami, H.S.; Ibrahim, M.A.; Alyami, M.H.; Dahmash, E.Z.; Almeanazel, O.T.; Algahtani, T.S.; Alanazi, F.; Alshora, D.H. Formulation of sublingual promethazine hydrochloride tablets for rapid relief of motion sickness. Saudi Pharm. J. 2021, 29, 478–486. [Google Scholar] [CrossRef]
- Khan, D.; Kirby, D.; Bryson, S.; Shah, M.; Mohammed, A.R. Paediatric specific dosage forms: Patient and formulation considerations. Int. J. Pharm. 2022, 616, 121501. [Google Scholar] [CrossRef] [PubMed]
- Klingmann, V.; Spomer, N.; Lerch, C.; Stoltenberg, I.; Frömke, C.; Bosse, H.M.; Breitkreutz, J.; Meissner, T. Favorable Acceptance of Mini-Tablets Compared with Syrup: A Randomized Controlled Trial in Infants and Preschool Children. J. Pediatr. 2013, 163, 1728–1732. [Google Scholar] [CrossRef] [PubMed]
- Alyami, H.; Dahmash, E.; Alyami, F.; Dahmash, D.; Huynh, C.; Terry, D.; Mohammed, A.R. Dosage form preference consultation study in children and young adults: Paving the way for patient-centred and patient-informed dosage form development. Eur. J. Hosp. Pharm. 2017, 24, 332–337. [Google Scholar] [CrossRef]
- Kristensen, H.G. WHO guideline development of paediatric medicines: Points to consider in pharmaceutical development. Int. J. Pharm. 2012, 435, 134–135. [Google Scholar] [CrossRef]
- Douroumis, D. Practical approaches of taste masking technologies in oral solid forms. Expert Opin. Drug Deliv. 2007, 4, 417–426. [Google Scholar] [CrossRef]
- Krieser, K.; Emanuelli, J.; Daudt, R.M.; Bilatto, S.; Willig, J.B.; Guterres, S.S.; Pohlmann, A.R.; Buffon, A.; Correa, D.S.; Külkamp-Guerreiro, I.C. Taste-masked nanoparticles containing Saquinavir for pediatric oral administration. Mater. Sci. Eng. C 2020, 117, 111315. [Google Scholar] [CrossRef]
- He, Y.; Xia, D.-N.; Li, Q.-X.; Tao, J.-S.; Gan, Y.; Wang, C. Enhancement of cellular uptake, transport and oral absorption of protease inhibitor saquinavir by nanocrystal formulation. Acta Pharmacol. Sin. 2015, 36, 1151–1160. [Google Scholar] [CrossRef]
- Tarawneh, S.F.A.; Dahmash, E.Z.; Alyami, H.; Abu-Doleh, S.M.; Al-Ali, S.; Iyire, A.; Abuthawabeh, R. Mechanistic modelling of targeted pulmonary delivery of dactinomycin iron oxide-loaded nanoparticles for lung cancer therapy. Pharm. Dev. Technol. 2022, 1–12. [Google Scholar] [CrossRef] [PubMed]
- Kuo, Y.-C.; Chung, C.-Y. Solid lipid nanoparticles comprising internal Compritol 888 ATO, tripalmitin and cacao butter for encapsulating and releasing stavudine, delavirdine and saquinavir. Colloids Surf. B Biointerfaces 2011, 88, 682–690. [Google Scholar] [CrossRef] [PubMed]
- Marji, S.M.; Bayan, M.F.; Jaradat, A. Facile Fabrication of Methyl Gallate Encapsulated Folate ZIF-L Nanoframeworks as a pH Responsive Drug Delivery System for Anti-Biofilm and Anticancer Therapy. Biomimetics 2022, 7, 242. [Google Scholar] [CrossRef]
- Al-Natour, M.A.; Alazzo, A.; Ghaemmaghami, A.; Kim, D.-H.; Alexander, C. LC-MS metabolomics comparisons of cancer cell and macrophage responses to methotrexate and polymer-encapsulated methotrexate. Int. J. Pharm. X 2019, 1. [Google Scholar] [CrossRef] [PubMed]
- Jaradat, A. Synthesis of Heparin Conjugated Silica Nanoparticles for Nanomedicine Applications. Ph.D. Thesis, University of Nottingham, Nottingham, UK, 2020. [Google Scholar]
- Obeidat, W.M.; Gharaibeh, S.F.; Jaradat, A. The Influence of Drugs Solubilities and Chitosan-TPP Formulation Parameters on the Mean Hydrodynamic Diameters and Drugs Entrapment Efficiencies into Chitosan-TPP Nanoparticles. AAPS PharmSciTech 2022, 23, 1–16. [Google Scholar] [CrossRef] [PubMed]
- Ramana, L.N.; Sharma, S.; Sethuraman, S.; Ranga, U.; Krishnan, U.M. Investigation on the stability of saquinavir loaded liposomes: Implication on stealth, release characteristics and cytotoxicity. Int. J. Pharm. 2012, 431, 120–129. [Google Scholar] [CrossRef]
- Honarmand, E.; Motaghedifard, M.H.; Ghamari, M. Electroanalytical approach for determination of promethazine hydrochloride on gold nanoparticles-incorporated carbon paste electrode as a nanosensor. RSC Adv. 2014, 4, 35511–35521. [Google Scholar] [CrossRef]
- Sharma, G.; Pawar, V.K.; Garg, G.; Awasthi, R.; Kulkarni, G.T. Taste masking of promethazine hydrochloride using eudragit E100 via solid dispersion technique to develop fast disintegrating tablets. Der. Pharm. Lett. 2010, 2, 83–9437. [Google Scholar]
- Kolhe, S.; Ghadge, T.; Dhole, S.N. Formulation and evaluation of taste masked fast disintegrating tablet of promethazine hydrochloride. IOSR J. Pharm. 2013, 3, 1–11. [Google Scholar] [CrossRef]
- He, M.; Potuck, A.; Kohn, J.C.; Fung, K.; Reinhart-King, C.A.; Chu, C.C. Self-Assembled Cationic Biodegradable Nanoparticles from pH-Responsive Amino-Acid-Based Poly(Ester Urea Urethane)s and Their Application As a Drug Delivery Vehicle. Biomacromolecules 2016, 17, 523–537. [Google Scholar] [CrossRef] [PubMed]
- Pang, X.; Wu, J.; Reinhart-King, C.; Chu, C.-C. Synthesis and characterization of functionalized water soluble cationic poly(ester amide)s. J. Polym. Sci. Part A: Polym. Chem. 2010, 48, 3758–3766. [Google Scholar] [CrossRef]
- Dahmash, E.Z.; Ali, D.K.; Alyami, H.S.; AbdulKarim, H.; Alyami, M.H.; Aodah, A.H. Novel Thymoquinone Nanoparticles Using Poly(ester amide) Based on L-Arginine-Targeting Pulmonary Drug Delivery. Polymers 2022, 14, 1082. [Google Scholar] [CrossRef] [PubMed]
- Ali, D.; Al-Zuheiri, A.M.; Sweileh, B.A. pH and reduction sensitive bio-based polyamides derived from renewable dicarboxylic acid monomers and cystine amino acid. Int. J. Polym. Anal. Charact. 2017, 22, 361–373. [Google Scholar] [CrossRef]
- Alyami, M.H.; Dahmash, E.Z.; Ali, D.K.; Alyami, H.S.; AbdulKarim, H.; Alsudir, S.A. Novel Fluticasone Propionate and Salmeterol Fixed-Dose Combination Nano-Encapsulated Particles Using Polyamide Based on L-Lysine. Pharmaceuticals 2022, 15, 321. [Google Scholar] [CrossRef] [PubMed]
- Jyothi, N.V.N.; Prasanna, P.M.; Sakarkar, S.N.; Prabha, K.S.; Ramaiah, P.S.; Srawan, G. Microencapsulation techniques, factors influencing encapsulation efficiency. J. Microencapsul. 2010, 27, 187–197. [Google Scholar] [CrossRef] [PubMed]
- Yeo, Y.; Park, K. Control of encapsulation efficiency and initial burst in polymeric microparticle systems. Arch. Pharmacal Res. 2004, 27, 1–12. [Google Scholar] [CrossRef]
- Esmaeili, A.; Ebrahimzadeh, M. Preparation of Polyamide Nanocapsules of Aloe vera L. Delivery with In Vivo Studies. AAPS PharmSciTech 2015, 16, 242–249. [Google Scholar] [CrossRef] [PubMed]
- Perignon, C.; Ongmayeb, G.; Neufeld, R.; Frere, Y.; Poncelet, D. Microencapsulation by interfacial polymerisation: Membrane formation and structure. J. Microencapsul. 2015, 32, 1–15. [Google Scholar] [CrossRef] [PubMed]
- Ripoll, L.; Clement, Y. Polyamide Microparticles Containing Vitamin C by Interfacial Polymerization: An Approach by Design of Experimentation. Cosmetics 2016, 3, 38. [Google Scholar] [CrossRef]
- Gereli, G.; Seki, Y.; Murat Kusoglu, I.; Yurdakoc, K. Equilibrium and kinetics for the sorption of promethazine hydrochloride onto K10 montmorillonite. J. Colloid Interface Sci. 2006, 299, 155–162. [Google Scholar] [CrossRef]
- Porter, S.L.; Coulter, S.M.; Pentlavalli, S.; Laverty, G. Pharmaceutical Formulation and Characterization of Dipeptide Nanotubes for Drug Delivery Applications. Macromol. Biosci. 2020, 20, 2000115. [Google Scholar] [CrossRef]
- Honary, S.; Zahir, F. Effect of zeta potential on the properties of nano-drug delivery systems-a review (Part 2). Trop. J. Pharm. Res. 2013, 12, 265–273. [Google Scholar]
- Jaradat, A.; Macedo, M.H.; Sousa, F.; Arkill, K.; Alexander, C.; Aylott, J.; Sarmento, B. Prediction of the enhanced insulin absorption across a triple co-cultured intestinal model using mucus penetrating PLGA nanoparticles. Int. J. Pharm. 2020, 585, 119516. [Google Scholar] [CrossRef]
- Hu, S.; Sun, L.; Liu, M.; Zhu, H.; Guo, H.; Sun, H.; Sun, H. A highly dispersible silica pH nanosensor with expanded measurement ranges. New J. Chem. 2015, 39, 4568–4574. [Google Scholar] [CrossRef]
- Zhu, Y.; Fang, Y.; Borchardt, L.; Kaskel, S. PEGylated hollow mesoporous silica nanoparticles as potential drug delivery vehicles. Microporous Mesoporous Mater. 2011, 141, 199–206. [Google Scholar] [CrossRef]
- Ambrogi, V.; Nocchetti, M.; Latterini, L. Promethazine–Montmorillonite Inclusion Complex To Enhance Drug Photostability. Langmuir 2014, 30, 14612–14620. [Google Scholar] [CrossRef]
- Elwerfalli, A.M.; Al-Kinani, A.; Alany, R.G.; ElShaer, A. Nano-engineering chitosan particles to sustain the release of promethazine from orodispersables. Carbohydr. Polym. 2015, 131, 447–461. [Google Scholar] [CrossRef] [PubMed]
- Choi, I.-H.; Jeong, Y.-G.; Kim, J.-S. Relation between the amount of glycerol, glass transition temperature, and ion content of styrene-methacrylate ionomers. Polymer 2022, 254, 125030. [Google Scholar] [CrossRef]
- Pouplin, M.; Redl, A.; Gontard, N. Glass Transition of Wheat Gluten Plasticized with Water, Glycerol, or Sorbitol. J. Agric. Food Chem. 1999, 47, 538–543. [Google Scholar] [CrossRef] [PubMed]
- Myllärinen, P.; Partanen, R.; Seppälä, J.; Forssell, P. Effect of glycerol on behaviour of amylose and amylopectin films. Carbohydr. Polym. 2002, 50, 355–361. [Google Scholar] [CrossRef]
- Lim, H.; Hoag, S.W. Plasticizer Effects on Physical–Mechanical Properties of Solvent Cast Soluplus® Films. AAPS PharmSciTech 2013, 14, 903–910. [Google Scholar] [CrossRef]
- Immergut, E.H.; Mark, H.F. Principles of Plasticization. In Plasticization and Plasticizer Processes; Platzer, N., Ed.; ACS Publications: Washington, DC, USA, 1965; pp. 1–26. Available online: https://pubs.acs.org/doi/10.1021/ba-1965-0048 (accessed on 21 August 2022).
- Sarmento, B.; Ferreira, D.; Veiga, F.; Ribeiro, A. Characterization of insulin-loaded alginate nanoparticles produced by ionotropic pre-gelation through DSC and FTIR studies. Carbohydr. Polym. 2006, 66, 1–7. [Google Scholar] [CrossRef]
- Silva, M.S.; Cocenza, D.S.; Grillo, R.; de Melo, N.F.S.; Tonello, P.O.S.; deOliveira, L.C.; Cassimiro, D.L.; Rosa, A.H.; Fraceto, L.F. Paraquat-loaded alginate/chitosan nanoparticles: Preparation, characterization and soil sorption studies. J. Hazard. Mater. 2011, 190, 366–374. [Google Scholar] [CrossRef] [PubMed]
- Aina, A.; Gupta, M.; Boukari, Y.; Morris, A.; Billa, N.; Doughty, S. Monitoring model drug microencapsulation in PLGA scaffolds using X-ray powder diffraction. Saudi Pharm. J. 2016, 24, 227–231. [Google Scholar] [CrossRef] [PubMed]
- Patil, S.; Babbar, A.; Mathur, R.; Mishra, A.; Sawant, K. Mucoadhesive Chitosan Microspheres of Carvedilol for Nasal Administration. J. Drug Target. 2010, 18, 321–331. [Google Scholar] [CrossRef]
- ICH Expert Working Group. Validation of analytical procedures: Text and methodology Q2(R1). In Proceedings of the International Conference on Harmonisation of Technical Requirements for Registration of Pharmaceuticals for Human Use, Geneva, Switzerland, 25–27 April 2005. [Google Scholar]
- Mura, E.; Taruno, A.; Yagi, M.; Yokota, K.; Hayashi, Y. Innate and acquired tolerance to bitter stimuli in mice. PLoS ONE 2018, 13, e0210032. [Google Scholar] [CrossRef]
- Wu, S.V.; Chen, M.C.; Rozengurt, E. Genomic organization, expression, and function of bitter taste receptors (T2R) in mouse and rat. Physiol. Genom. 2005, 22, 139–149. [Google Scholar] [CrossRef]
- Lossow, K.; Hübner, S.; Roudnitzky, N.; Slack, J.P.; Pollastro, F.; Behrens, M.; Meyerhof, W. Comprehensive Analysis of Mouse Bitter Taste Receptors Reveals Different Molecular Receptive Ranges for Orthologous Receptors in Mice and Humans. J. Biol. Chem. 2016, 291, 15358–15377. [Google Scholar] [CrossRef] [PubMed]
- Sclafani, A.; Ackroff, K. Role of lipolysis in postoral and oral fat preferences in mice. Am. J. Physiol. Integr. Comp. Physiol. 2018, 315, R434–R441. [Google Scholar] [CrossRef]
- Gaillard, D.; Stratford, J.M. Measurement of Behavioral Taste Responses in Mice: Two-Bottle Preference, Lickometer, and Conditioned Taste-Aversion Tests. Curr. Protoc. Mouse Biol. 2016, 6, 380–407. [Google Scholar] [CrossRef]
- Bruschi, M.L. Mathematical models of drug release. In Strategies to Modify the Drug Release from Pharmaceutical Systems; Woodhead Publishing: Cambridge, UK, 2015; pp. 63–86. [Google Scholar]
- Gouda, R.; Baishya, H.; Qing, Z. Application of Mathematical Models in Drug Release Kinetics of Carbidopa and Levodopa ER Tablets. J. Dev. Drugs 2017, 6, 1–8. [Google Scholar]
- Mouffok, M.; Abdelmalek, I.; Mesli, A.; Moulay, A.A. Investigation of Factors Affecting Particle Size Distribution and Sustained Release of a Water-Soluble Drug from Cellulose Derivatives Microspheres. Chem. Afr. 2022, 1–11. [Google Scholar] [CrossRef]
- Cellet, T.S.P.; Pereira, G.M.; Muniz, E.C.; Silva, R.; Rubira, A.F. Hydroxyapatite nanowhiskers embedded in chondroitin sulfate microspheres as colon targeted drug delivery systems. J. Mater. Chem. B 2015, 3, 6837–6846. [Google Scholar] [CrossRef] [PubMed]
- Institutional Animal Care & Use Committee (IACUC). Animal Husbandry & Housing. Available online: https://animalcare.umich.edu/animal-use/animal-husbandry-housing (accessed on 21 August 2022).








| Formula | Amount of PMZ (mg) | Organic: Aqueous Medium Volume (mL) | Monomers (l-Arginine: 1,3-Cyclohexane Dicarboxylic Chloride) (g) | Number of Washing Cycles | EE * (%) | EC ** (%) |
|---|---|---|---|---|---|---|
| F1 | 10 | 5: 25 | 0.52: 0.5 | 1 | 29.10 | 2.51 |
| F2 | 100 | 5: 25 | 0.52: 0.5 | 1 | 24.55 | 13.21 |
| F3 | 100 | 5: 25 | 0.52: 0.5 | 2 | 19.89 | 11.05 |
| F4 | 200 | 5: 25 | 0.52: 0.5 | 2 | 18.55 | 12.22 |
| F5 | 500 | 5: 25 | 0.52: 0.5 | 2 | 8.54 | 9.87 |
| F6 | 100 | 10: 25 | 0.52: 0.5 | 3 | 93.5 | 26.58 |
| OH Amide (cm−1) Stretch | CH (cm−1) Aromatic | CH (cm−1) Aliphatic | NH Amide (cm−1) Stretch | -C-N (cm−1) | -COOH (cm−1) | -CON (cm−1) | |
|---|---|---|---|---|---|---|---|
| PMZ | 2985 | 2893 | - | 1455 | 1699 | - | |
| Arg-PA | 3332–2529 | 2995 | 2912 | 3181 | 1449 | 1711 | 1671 |
| PMZ/Arg-PA | 3329–2541 | 2986 | 2913 | 3131 | 1446 | 1702 | 1669 |
![]() | |||||||||||||||||
| Chemical Shift (ppm) | |||||||||||||||||
|---|---|---|---|---|---|---|---|---|---|---|---|---|---|---|---|---|---|
| 1 | 2 | 3 | 4 | 5 | 6 | 7 | 8 | 9 | 10 | 11 | 12 | 13 | 14 | 15 | 16 | 17 | |
| 1H | - | 2.20-1.10 | - | 8.86 | - | 4.32 | 9.41 | 3.11 | 2.20-1.10 | 3.61 | - | 13.11 | 9.01 | ||||
| 13C | 169.2 | 43.4 | 22.2 | 15.6 | 42.0 | 168.3 | - | 157.5 | - | - | 56.5 | 32.7 | 29.7 | 65.4 | 176.7 | 2- | - |
| Material | Particle Size (nm) Mean ± SD, n = 3 | PDA * Mean ± SD, n = 3 | Zeta Potential (mV) Mean ± SD, n = 3 |
|---|---|---|---|
| PMZ | 1587 ± 262.75 | 0.467 ± 0.06 | 8.41 ± 0.78 |
| Arg-PA | 189.33 ± 29.69 | 0.26 ± 0.03 | −0.53 ± 0.95 |
| PMZ/Arg-PA NCs | 193.63 ± 39.1 | 0.42 ± 0.05 | −31.7 ± 1.25 |
| Regression Equation (Calibration Curve) | Area under the Curve = 0.6267X (Concentration) − 2.4862 (R2: 0.9992) | |
|---|---|---|
| Limit of detection (LOD) µg/mL | 4.06 | |
| Limit of quantification (LOQ) µg/ml | 12.31 | |
| Range (µg/mL) | 7.813–125 | |
| Intraday% recovery (mean ± SD) (n = 3) | Interday% recovery (mean ± SD) (n = 9) | |
| 98.64 ± 4.18 | 97.94 ± 5.74 |
| 100.95 ± 6.15 | 99.07 ± 3.12 |
| 99.75 ± 4.22 | 101.25 ± 4.46 |
| Precision (concentration 31.25 µg/mL) (mean ± SD, RSD) (n = 10) | 99.69 ± 2.25, 1.98% | |
| % Released [PMZ Concentration (µg/mL)] | ||||
|---|---|---|---|---|
| Time (Minutes) | F1 (5.02 mg/200 mg Formula) | F2 (26.42 mg/200 mg Formula) | F3 (22.1 mg/200 mg Formula) | F6 (53.16 mg/200 mg Formula) |
| 0 | 0.00 [0.0] | 0.00 [0.00] | 0.00 [0.00] | 0.00 [0.00] |
| 1 | 1.01 ± 0.01 [2.53 ± 0.03] | 2.43 ± 0.22 [32.1 ± 2.86] | 0.01 ± 0.001 [0.08 ± 0.001] | 0.00 [0.00] |
| 2 | 2.56 ± 0.44 [6.43 ± 1.09] | 6.76 ± 0.12 [89.3 ± 1.61] | 2.67 ± 0.06 [ 29.54 ± 0.006] | 0.00 [0.00] |
| 3 | 6.23 ± 0.81 [15.63 ± 2.03] | 14.2 ± 2.54 [187.58 ± 34.02] | 2.82 ± 0.23 [31.16 ± 2.43] | 0.00 [0.00] |
| 4 | - | 16.5 ± 4.59 [217.97 ± 60.64] | 2.87 ± 0.61 [31.68 ± 6.75] | 0.50 ± 0.01 [13.29 ± 0.27] |
| 5 | 7.41 ± 1.12 [18.61 ± 2.78] | 17.2 ± 3.88 [227.21 ± 49.83] | 4.40 ± 0.98 [48.62 ± 10.54] | 0.62 ± 0.08 [16.39 ± 2.03] |
| 6 | - | - | 0.71 ± 0.08 [18.96 ± 1.99] | |
| 7 | - | - | 0.76 ± 0.11 [20.29 ± 2.79] | |
| 8 | - | - | 0.79 ± 0.21 [20.91 ± 5.45] | |
| 9 | - | - | 0.87 ± 0.08 [23.21 ± 1.99] | |
| 10 | 6.35 ± 1.05 [70.17 ± 11.42] | 0.91 ± 0.02 [24.28 ± 0.61] | ||
| The Fitted Mathematical Model | Equation | PMZ-R2 | PMZ-n |
|---|---|---|---|
| Zero order | y = 26.523X + 8.248 | 0.8796 | |
| First order | y = 0.332X + 0.945 | 0.5601 | |
| Higuchi model | y = 28.081X − 11.319 | 0.9935 | |
| Hixson Crowell model | y = −0.7478X − 2.186 | 0.6827 | |
| Korsmeyer–Peppas model | y = 2.461X + 1.779 | 0.9934 | 2.46 |
Disclaimer/Publisher’s Note: The statements, opinions and data contained in all publications are solely those of the individual author(s) and contributor(s) and not of MDPI and/or the editor(s). MDPI and/or the editor(s) disclaim responsibility for any injury to people or property resulting from any ideas, methods, instructions or products referred to in the content. |
© 2023 by the authors. Licensee MDPI, Basel, Switzerland. This article is an open access article distributed under the terms and conditions of the Creative Commons Attribution (CC BY) license (https://creativecommons.org/licenses/by/4.0/).
Share and Cite
Alyami, H.S.; Ali, D.K.; Jarrar, Q.; Jaradat, A.; Aburass, H.; Mohammed, A.A.; Alyami, M.H.; Aodah, A.H.; Dahmash, E.Z. Taste Masking of Promethazine Hydrochloride Using l-Arginine Polyamide-Based Nanocapsules. Molecules 2023, 28, 748. https://doi.org/10.3390/molecules28020748
Alyami HS, Ali DK, Jarrar Q, Jaradat A, Aburass H, Mohammed AA, Alyami MH, Aodah AH, Dahmash EZ. Taste Masking of Promethazine Hydrochloride Using l-Arginine Polyamide-Based Nanocapsules. Molecules. 2023; 28(2):748. https://doi.org/10.3390/molecules28020748
Chicago/Turabian StyleAlyami, Hamad S., Dalia Khalil Ali, Qais Jarrar, Abdolelah Jaradat, Hadeel Aburass, Abdul Aleem Mohammed, Mohammad H. Alyami, Alhassan H. Aodah, and Eman Zmaily Dahmash. 2023. "Taste Masking of Promethazine Hydrochloride Using l-Arginine Polyamide-Based Nanocapsules" Molecules 28, no. 2: 748. https://doi.org/10.3390/molecules28020748
APA StyleAlyami, H. S., Ali, D. K., Jarrar, Q., Jaradat, A., Aburass, H., Mohammed, A. A., Alyami, M. H., Aodah, A. H., & Dahmash, E. Z. (2023). Taste Masking of Promethazine Hydrochloride Using l-Arginine Polyamide-Based Nanocapsules. Molecules, 28(2), 748. https://doi.org/10.3390/molecules28020748


