A Novel Aptamer-Imprinted Polymer-Based Electrochemical Biosensor for the Detection of Lead in Aquatic Products
Abstract
1. Introduction
2. Materials and Methods
2.1. Materials and Apparatus
2.2. The Preparation of AuNPs-Modified GCE
2.3. The Preparation of Aptamer-Imprinted Polymer of Pb(II)
2.4. Electrochemical Measurements
2.5. The Pretreatment of Food Samples
3. Results and Discussion
3.1. The Principle of the Developed Aptamer-Imprinted Polymer-Based Biosensor for the Detection of Pb(II)
3.2. The Morphology Characterization of the Prepared Electrodes
3.3. The Electrochemical Characterization of the Fabricated Biosensor
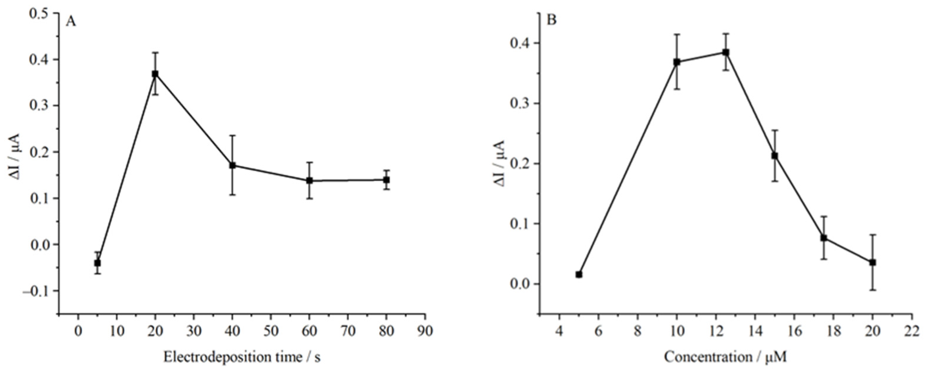
3.4. Optimization of Experimental Conditions
3.5. Analytical Performance of the Developed Biosensor
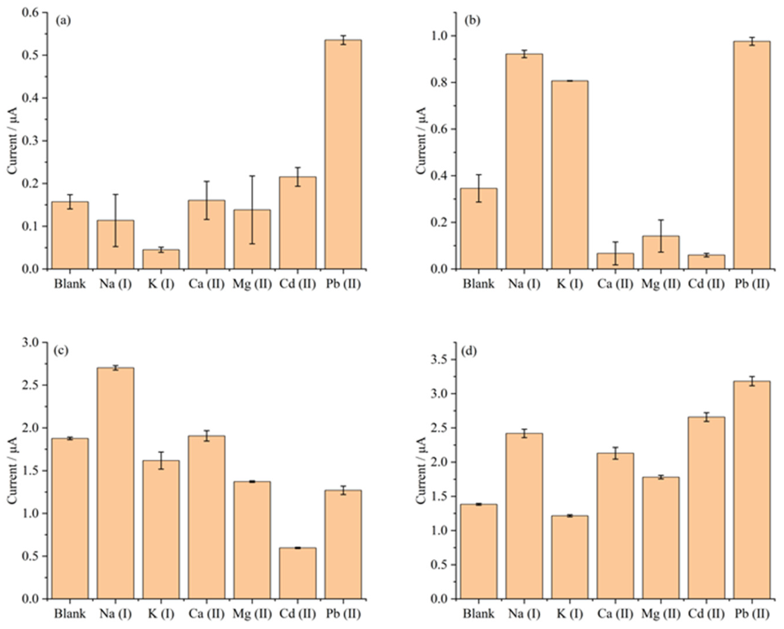
3.6. Selectivity of the Developed Biosensor
3.7. Stability of the Developed Biosensor
3.8. Application in Real Samples
4. Conclusions
Supplementary Materials
Author Contributions
Funding
Institutional Review Board Statement
Informed Consent Statement
Data Availability Statement
Conflicts of Interest
References
- Soto-Jiménez, M.F.; Arellano-Fiore, C.; Rocha-Velarde, R.; Jara-Marini, M.E.; Ruelas-Inzunza, J.; Voltolina, D.; Frías-Espericueta, M.G.; Quintero-Alvarez, J.M.; Páez-Osuna, F. Biological responses of a simulated marine food chain to lead addition. Environ. Toxicol. Chem. 2011, 30, 1611–1617. [Google Scholar] [CrossRef] [PubMed]
- Miclean, M.; Cadar, O.; Levei, E.A.; Roman, R.; Ozunu, A.; Levei, L. Metal (Pb, Cu, Cd, and Zn) transfer along food chain and health risk assessment through raw milk consumption from free-range cows. Int. J. Environ. Res. Public Health 2019, 16, 4064. [Google Scholar] [CrossRef] [PubMed]
- Canfield, R.L.; Henderson, C.R., Jr.; Cory-Slechta, D.A.; Cox, C.; Jusko, T.A.; Lanphear, B.P. Intellectual impairment in children with blood lead concentrations below 10 μg per deciliter. N. Engl. J. Med. 2003, 348, 1517–1526. [Google Scholar] [CrossRef] [PubMed]
- Boran, A.M.; Al-Bashir, N.A.; Al-Khatib, A.J.; Qattan, I.T.; Alanazi, S.A.; Massadeh, A.M. Investigating the relationship between mental retardation and lead intoxication. Eur. Sci. J. 2013, 9, 62–76. [Google Scholar]
- Liu, Y.; McDermott, S.; Lawson, A.; Aelion, C.M. The relationship between mental retardation and developmental delays in children and the levels of arsenic, mercury and lead in soil samples taken near their mother’s residence during pregnancy. Int. J. Hyg. Environ. 2010, 213, 116–123. [Google Scholar] [CrossRef]
- Bihaqi, S.W. Early life exposure to lead (Pb) and changes in DNA methylation: Relevance to Alzheimer’s disease. Rev. Environ. Health 2019, 34, 187–195. [Google Scholar] [CrossRef] [PubMed]
- Qian, Y.; Tiffany-Castiglioni, E. Lead-induced endoplasmic reticulum (ER) stress responses in the nervous system. Neurochem. Res. 2003, 28, 153–162. [Google Scholar] [CrossRef]
- Zhao, Y.; Li, Q.; Zhu, T.; He, J.; Xue, P.; Zheng, W.; Yao, Y.; Qu, W.; Zhou, Z.; Lu, R. Lead in synergism with IFNγ acts on bone marrow-resident macrophages to increase the quiescence of hematopoietic stem cells. Toxicol. Sci. 2021, 180, 369–382. [Google Scholar] [CrossRef]
- Sun, X.; Xie, Y.; Wu, L.; Zhu, W.; Hu, J.; Lu, R.; Xu, W. Lead acetate reduces the ability of human umbilical cord mesenchymal stem cells to support hematopoiesis in vitro. Mol. Med. Rep. 2012, 6, 827–832. [Google Scholar] [CrossRef]
- Kumar, S. Occupational and environmental exposure to lead and reproductive health impairment: An overview. Indian J. Occup. Environ. Med. 2018, 22, 128. [Google Scholar]
- Cuomo, D.; Foster, M.J.; Threadgill, D. Systemic review of genetic and epigenetic factors underlying differential toxicity to environmental lead (Pb) exposure. Environ. Sci. Pollut. Res. 2022, 29, 35583–35598. [Google Scholar] [CrossRef] [PubMed]
- Lipy, E.P.; Hakim, M.; Mohanta, L.C.; Islam, D.; Lyzu, C.; Roy, D.C.; Jahan, I.; Akhter, S.; Raknuzzaman, M.; Abu Sayed, M. Assessment of Heavy Metal Concentration in Water, Sediment and Common Fish Species of Dhaleshwari River in Bangladesh and their Health Implications. Biol. Trace Elem. Res. 2021, 199, 4295–4307. [Google Scholar] [CrossRef] [PubMed]
- Yu, J.; Yang, S.; Lu, Q.; Sun, D.; Zheng, J.; Zhang, X.; Wang, X.; Yang, W. Evaluation of liquid cathode glow discharge-atomic emission spectrometry for determination of copper and lead in ores samples. Talanta 2017, 164, 216–221. [Google Scholar] [CrossRef]
- Altundag, H.; Tuzen, M. Comparison of dry, wet and microwave digestion methods for the multi element determination in some dried fruit samples by ICP-OES. Food Chem. Toxicol. 2011, 49, 2800–2807. [Google Scholar] [CrossRef] [PubMed]
- Trzcinka-Ochocka, M.; Brodzka, R.; Janasik, B. Useful and fast method for blood lead and cadmium determination using ICP-MS and GF-AAS; validation parameters. J. Clin. Lab. Anal. 2016, 30, 130–139. [Google Scholar] [CrossRef]
- Shah, A.; Zahid, A.; Khan, A.; Iftikhar, F.J.; Nisar, J.; Fernandez, C.; Akhter, M.S.; Almutawah, A.A.; Heinz-Bernhard, K. Development of a highly sensitive electrochemical sensing platform for the trace level detection of lead ions. J. Electrochem. Soc. 2019, 166, B3136. [Google Scholar] [CrossRef]
- Kong, Y.; Wu, T.; Wu, D.; Zhang, Y.; Wang, Y.; Du, B.; Wei, Q. An electrochemical sensor based on Fe3O4@PANI nanocomposites for sensitive detection of Pb2+ and Cd2+. Anal. Methods 2018, 10, 4784–4792. [Google Scholar] [CrossRef]
- Wang, L.; Lei, T.; Ren, Z.; Jiang, X.; Yang, X.; Bai, H.; Wang, S. Fe3O4@PDA@MnO2 core-shell nanocomposites for sensitive electrochemical detection of trace Pb(II) in water. J. Electroanal. Chem. 2020, 864, 114065. [Google Scholar] [CrossRef]
- Hassanzadeh-Afruzi, F.; Esmailzadeh, F.; Asgharnasl, S.; Ganjali, F.; Taheri-Ledari, R.; Maleki, A. Efficient removal of Pb(II)/Cu(II) from aqueous samples by a guanidine-functionalized SBA-15/Fe3O4. Sep. Purif. Technol. 2022, 291, 120956. [Google Scholar] [CrossRef]
- Lin, T.J.; Chung, M.F. Using monoclonal antibody to determine lead ions with a localized surface plasmon resonance fiber-optic biosensor. Sensors 2008, 8, 582–593. [Google Scholar] [CrossRef]
- Abu-Ali, H.; Nabok, A.; Smith, T. Development of novel and highly specific ssDNA-aptamer-based electrochemical biosensor for rapid detection of mercury(II) and lead(II) ions in water. Chemosensors 2019, 7, 27. [Google Scholar] [CrossRef]
- Yadav, R.; Berlina, A.N.; Zherdev, A.V.; Gaur, M.; Dzantiev, B. Rapid and selective electrochemical detection of pb2+ ions using aptamer-conjugated alloy nanoparticles. SN Appl. Sci. 2020, 2, 2077. [Google Scholar] [CrossRef]
- Taghdisi, S.M.; Danesh, N.M.; Ramezani, M.; Alibolandi, M.; Abnous, K. Voltammetric determination of lead(II) by using exonuclease(III) and gold nanoparticles, and by exploiting the conformational change of the complementary strand of an aptamer. Microchim. Acta 2017, 184, 2783–2790. [Google Scholar] [CrossRef]
- Ma, W.; Liu, L.; Zhang, X.; Liu, X.; Xu, Y.; Li, S.; Zeng, M. Heterostructured nanochannels with modulated ionic current rectification for ultrasensitive detection of Hg2+. J. Mater. Chem. C 2022, 10, 16388–16396. [Google Scholar] [CrossRef]
- Ye, W.; Yu, M.; Wang, F.; Li, Y.; Wang, C. Multiplexed detection of heavy metal ions by single plasmonic nanosensors. Biosens. Bioelectron. 2022, 196, 113688. [Google Scholar] [CrossRef]
- Faradilla, P.; Setiyanto, H.; Manurung, R.V.; Saraswaty, V. Electrochemical sensor based on screen printed carbon electrode–zinc oxide nano particles/molecularly imprinted-polymer (SPCE–ZnONPs/MIP) for detection of sodium dodecyl sulfate (SDS). RSC Adv. 2022, 12, 743–752. [Google Scholar] [CrossRef]
- Alizadeh, T.; Amjadi, S. Preparation of nano-sized Pb2+ imprinted polymer and its application as the chemical interface of an electrochemical sensor for toxic lead determination in different real samples. J. Hazard. Mater. 2011, 190, 451–459. [Google Scholar] [CrossRef]
- Wang, Z.; Qin, Y.; Wang, C.; Sun, L.; Lu, X.; Lu, X. Preparation of electrochemical sensor for lead(II) based on molecularly imprinted film. Appl. Surf. Sci. 2012, 258, 2017–2021. [Google Scholar]
- Li, S.; Ma, X.; Pang, C.; Tian, H.; Xu, Z.; Yang, Y.; Lv, D.; Ge, H. Fluorometric aptasensor for cadmium(II) by using an aptamer-imprinted polymer as the recognition element. Microchim. Acta 2019, 186, 823. [Google Scholar] [CrossRef]
- Wu, S.; Dai, X.; Cheng, T.; Li, S. Highly sensitive and selective ion-imprinted polymers based on one-step electrodeposition of chitosan-graphene nanocomposites for the determination of Cr (VI). Carbohydr. Polym. 2018, 195, 199–206. [Google Scholar] [CrossRef]
- Wu, Z.; Feng, W.; Feng, Y.; Liu, Q.; Xu, X.; Sekino, T.; Fujii, A.; Ozaki, M. Preparation and characterization of chitosan-grafted multiwalled carbon nanotubes and their electrochemical properties. Carbon 2007, 45, 1212–1218. [Google Scholar] [CrossRef]
- Rydzek, G.; Toulemon, D.; Garofalo, A.; Leuvrey, C.; Dayen, J.F.; Felder-Flesch, D.; Schaaf, P.; Jierry, L.; Begin-Colin, S.; Pichon, B.P. Selective Nanotrench Filling by One-Pot Electroclick Self-Constructed Nanoparticle Films. Small 2015, 11, 4638–4642. [Google Scholar] [CrossRef]
- Liu, J.; Wang, X.; Wang, T.; Li, D.; Xi, F.; Wang, J.; Wang, E. Functionalization of monolithic and porous three-dimensional graphene by one-step chitosan electrodeposition for enzymatic biosensor. ACS Appl. Mater. Interfaces 2014, 6, 19997–20002. [Google Scholar] [CrossRef] [PubMed]
- March, G.; Nguyen, T.D.; Piro, B. Modified electrodes used for electrochemical detection of metal ions in environmental analysis. Biosensors 2015, 5, 241–275. [Google Scholar] [CrossRef] [PubMed]
- Zhou, S.; Han, X.; Fan, H.; Huang, J.; Liu, Y. Enhanced electrochemical performance for sensing Pb(II) based on graphene oxide incorporated mesoporous MnFe2O4 nanocomposites. J. Alloys Compd. 2018, 747, 447–454. [Google Scholar] [CrossRef]
- Dahaghin, Z.; Kilmartin, P.A.; Mousavi, H.Z. Novel ion imprinted polymer electrochemical sensor for the selective detection of lead(II). Food Chem. 2020, 303, 125374. [Google Scholar] [CrossRef] [PubMed]
- Zhang, Q.; Peng, D.; Huang, X. Effect of morphology of α-MnO2 nanocrystals on electrochemical detection of toxic metal ions. Electrochem. Commun. 2013, 34, 270–273. [Google Scholar] [CrossRef]
- Ruengpirasiri, P.; Punrat, E.; Chailapakul, O.; Chuanuwatanakul, S. Graphene Oxide-Modified Electrode Coated with in-situ Antimony Film for the Simultaneous Determination of Heavy Metals by Sequential Injection-Anodic Stripping Voltammetry. Electroanalysis 2017, 29, 1022–1030. [Google Scholar] [CrossRef]






| Sample | Spiked Concentration (μg/mL) | Pb(II) Concentration Determined by ICP-MS (μg/mL) | Recovery (%) | Pb(II) Concentration Determined by Sensor (μg/mL) | Recovery (%) | RSD (%) |
|---|---|---|---|---|---|---|
| 1 | 0.0 | 0.018 | / | ND | / | / |
| 2 | 0.1 | 0.109 | 109.00 | 0.08 | 79.74 | 2.95 |
| 3 | 1.0 | 1.081 | 108.10 | 0.96 | 95.75 | 0.78 |
| 4 | 2.0 | 2.288 | 114.40 | 1.96 | 97.93 | 4.51 |
Disclaimer/Publisher’s Note: The statements, opinions and data contained in all publications are solely those of the individual author(s) and contributor(s) and not of MDPI and/or the editor(s). MDPI and/or the editor(s) disclaim responsibility for any injury to people or property resulting from any ideas, methods, instructions or products referred to in the content. |
© 2022 by the authors. Licensee MDPI, Basel, Switzerland. This article is an open access article distributed under the terms and conditions of the Creative Commons Attribution (CC BY) license (https://creativecommons.org/licenses/by/4.0/).
Share and Cite
Zhu, N.; Liu, X.; Peng, K.; Cao, H.; Yuan, M.; Ye, T.; Wu, X.; Yin, F.; Yu, J.; Hao, L.; et al. A Novel Aptamer-Imprinted Polymer-Based Electrochemical Biosensor for the Detection of Lead in Aquatic Products. Molecules 2023, 28, 196. https://doi.org/10.3390/molecules28010196
Zhu N, Liu X, Peng K, Cao H, Yuan M, Ye T, Wu X, Yin F, Yu J, Hao L, et al. A Novel Aptamer-Imprinted Polymer-Based Electrochemical Biosensor for the Detection of Lead in Aquatic Products. Molecules. 2023; 28(1):196. https://doi.org/10.3390/molecules28010196
Chicago/Turabian StyleZhu, Nianxin, Xinna Liu, Kaimin Peng, Hui Cao, Min Yuan, Tai Ye, Xiuxiu Wu, Fengqin Yin, Jinsong Yu, Liling Hao, and et al. 2023. "A Novel Aptamer-Imprinted Polymer-Based Electrochemical Biosensor for the Detection of Lead in Aquatic Products" Molecules 28, no. 1: 196. https://doi.org/10.3390/molecules28010196
APA StyleZhu, N., Liu, X., Peng, K., Cao, H., Yuan, M., Ye, T., Wu, X., Yin, F., Yu, J., Hao, L., & Xu, F. (2023). A Novel Aptamer-Imprinted Polymer-Based Electrochemical Biosensor for the Detection of Lead in Aquatic Products. Molecules, 28(1), 196. https://doi.org/10.3390/molecules28010196
